The Correlation Luminosity-Velocity Dispersion of Galaxies and Active Galactic Nuclei
Abstract
1. Introduction
2. State of the Art of the ETGs and AGN Space
2.1. The ETGs
2.2. The AGN
3. The Relation of ETGs
3.1. The ETGs Data Sample in Use
3.2. The FJ Relation for ETGs
3.3. Discussion of the Stellar FJ
4. The of AGN
4.1. Populations of AGN
4.2. Virial Estimates
4.3. Scaling Laws Based on H
4.4. Two Aliii1860 Relations
4.4.1. -Derived Relation
4.4.2. An Aliii1860 Scaling Law Equivalent to Equation (14)
4.5. A FJ Law for Extreme Population A Type-1 AGN
4.6. Velocity Dispersion Measurements for Extreme Population-A AGN
4.7. The Hubble Diagram
xA
4.8. Orientation Dependent Luminosity-Line Broadening Relation
Population A
5. The Law for AGN
6. Summary and Conclusions
- Galaxies of all types share the FJ relation. The classical interpretation is that light L makes the role of mass M and that the correlation is generated by the virialization of the stellar systems. The different slope followed by bright and faint galaxies is likely an indication that the use of the light parameter L introduces a systematic difference for the two types of objects or that the degree of virialization is different. The scatter of the relation seems almost equivalent at all masses.
- In addition to the classical interpretation of the FJ relation, we have shown that it is possible to think at L and as variable mutually connected with the evolution experienced by every galaxy. Using indeed the relation with two free time-dependent parameters and , one can verify that the parameter enters in all the projections of the FP, providing the direction of motion of any objects forced by the evolutionary effects (e.g., mergers, accretion, star formation, etc.). Many characteristics features of the scaling relations can be understood adopting this “temporal” view of the FJ: the best example is the "zone of exclusion" (ZoE), the region empty of galaxies in the plane, that clearly have its origin in the fact that at large ’s galaxies can only move in a direction with slope .
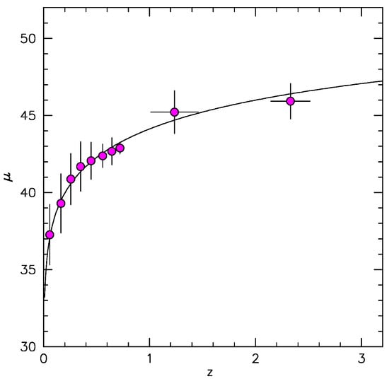
- Regarding AGN, we have proposed several alternative scaling laws to estimate the black hole mass taking into account, at least tentatively, the effect of orientation and on the line broadening and on the BLR radius, respectively. The validity of these scaling law should be tested against derived from reverberation mapping and estimates of the obtained with photoionization method. In the near future, spectro-astrometry from GRAVITY holds the promise of estimate the BLR radius for hundreds of intermediate redshift AGN [217], much beyond the first (and already extremely valuable) estimates of the virial factor for low z AGN [218]. Simple scaling laws applicable to the huge influx of data coming from DESI, Euclid, etc. [219] will retain of course a value to permit straightforward mass estimates for samples that will be tenfold and more in size with respect to the ones available to-date. This might prove useful for cosmological applications [220], too. Figure 10 wants to emphasize the overall consistency of H distance moduli estimates by averaging over redshift bins.
- The virial luminosity equation for AGN is a reinstatement of a law that appears universal in the form , holding from stars to clusters of galaxies. In the case of AGN, the dominance of Keplerian motions and the restriction to a very limited range of for the xA sources imply a well-defined scaling between luminosity and FWHM or with exponent 4, analogous to the 21 cm line broadening that is due to (mainly) Keplerian motion in galaxy disks [221,222]. The agreement between the magnitudes estimates is not the results of a circular argument, but rather, an indication of the fundamental correctness of the compact central object scenario and of the dominance of virial motions in at least a substantial part of the BLR. Yet, the fact that the agreement with the prediction of the virial luminosity for quasars is somewhat sample dependent means that we are not understanding in full the line broadening phenomenology of type 1 AGN.
Author Contributions
Funding
Data Availability Statement
Conflicts of Interest
Appendix A. Measurement of Velocity Dispersion for xA Sources
Appendix A.1. Empirical Model of the Spectrum and σ Measurements
- A total of 52 Population A AGNs covering a wide range in redshift and luminosity ( erg/s), for which H and intermediate ionization line observations were available [185].


Appendix A.2. The Quality Parameter Q
| 1 | The size of the z∼0.1 sample of Bernardi et al. [72] contains more than 15,000 ETGs with . |
| 2 | The derived masses span the range to and the radii range from few tens to few hundred pc. |
| 3 | We consider here equal representations of the FP both the and parameter spaces, being . |
| 4 | We could not use the relations of Dalla Bontà et al. [187] reported in their Table 3 since their sample contains a large fraction of Population B sources. |
References
- Minkowski, R. Internal Dispersion of Velocities in Other Galaxies. Probl.-Extra-Galact. Res. 1962, 15, 112. [Google Scholar]
- Morton, D.C.; Chevalier, R.A. Velocity dispersions in galaxies. II. The ellipticals NGC 1889, 3115, 4473, 4494. Astrophys. J. 1973, 179, 55–68. [Google Scholar] [CrossRef]
- Faber, S.M.; Jackson, R.E. Velocity dispersions and mass-to-light ratios for elliptical galaxies. Astrophys. J. 1976, 204, 668–683. [Google Scholar] [CrossRef]
- D’Onofrio, M.; Cariddi, S.; Chiosi, C.; Chiosi, E.; Marziani, P. On the Origin of the Fundamental Plane and Faber-Jackson Relations: Implications for the Star Formation Problem. Astrophys. J. 2017, 838, 163. [Google Scholar] [CrossRef]
- de Vaucouleurs, G. The extragalactic distance scale and the Hubble constant. Observatory 1982, 102, 178–194. [Google Scholar]
- de Vaucouleurs, G. Five crucial tests of the cosmic distance scale using the Galaxy as fundamental standard. Nature 1982, 299, 303–307. [Google Scholar] [CrossRef]
- Paturel, G.; Garnier, R. The use of velocity dispersion in globular clusters as a distance indicator. Astron. Astrophys. 1992, 254, 93–95. [Google Scholar]
- Teerikorpi, P. On Öpik’s distance evaluation method in a cosmological context. Astron. Astrophys. 2011, 531, A10. [Google Scholar] [CrossRef]
- Marziani, P.; Sulentic, J.W. Highly accreting quasars: Sample definition and possible cosmological implications. Mon. Not. R. Astron. Soc. 2014, 442, 1211–1229. [Google Scholar] [CrossRef]
- D’Onofrio, M.; Chiosi, C.; Sciarratta, M.; Marziani, P. The parallelism between galaxy clusters and early-type galaxies. II. Clues on the origin of the scaling relations. Astron. Astrophys. 2020, 641, A94. [Google Scholar] [CrossRef]
- Seyfert, C.K. Nuclear Emission in Spiral Nebulae. Astrophys. J. 1943, 97, 28. [Google Scholar] [CrossRef]
- Shields, G.A. A Brief History of Active Galactic Nuclei. Publ. Astron. Soc. Pac. 1999, 111, 661–678. [Google Scholar] [CrossRef]
- Mathews, W.G.; Capriotti, E.R. Structure and dynamics of the broad line region. In Astrophysics of Active Galaxies and Quasi-Stellar Objects; Miller, J.S., Ed.; Oxford University Press: Oxford, UK, 1985; pp. 185–233. [Google Scholar]
- Sulentic, J.W.; Marziani, P.; Dultzin-Hacyan, D. Phenomenology of Broad Emission Lines in Active Galactic Nuclei. Annu. Rev. Astron. Astrophys. 2000, 38, 521–571. [Google Scholar] [CrossRef]
- Netzer, H. The Physics and Evolution of Active Galactic Nuclei; Cambridge University Press: Cambridge, UK, 2013. [Google Scholar]
- D’Onofrio, M.; Marziani, P.; Sulentic, J.W. (Eds.) Fifty Years of Quasars from Early Observations and Ideas to Future Research; Astrophysics and Space Science Library; Springer: Berlin/Heidelberg, Germany, 2012; Volume 386. [Google Scholar]
- Gaskell, C.M. A redshift difference between high and low ionization emission-line regions in QSOs—Evidence for radial motions. Astrophys. J. 1982, 263, 79–86. [Google Scholar] [CrossRef]
- Tytler, D.; Fan, X.M. Systematic QSO emission-line velocity shifts and new unbiased redshifts. Astrophys. J. Suppl. Ser. 1992, 79, 1–36. [Google Scholar] [CrossRef]
- Sulentic, J.W.; Marziani, P.; Dultzin-Hacyan, D.; Calvani, M.; Moles, M. First direct comparison of high and low ionization line kinematics in active galactic nuclei. Astrophys. J. 1995, 445, L85–L89. [Google Scholar] [CrossRef]
- Leighly, K.M.; Moore, J.R. Hubble Space Telescope STIS Ultraviolet Spectral Evidence of Outflow in Extreme Narrow-Line Seyfert 1 Galaxies. I. Data and Analysis. Astrophys. J. 2004, 611, 107–124. [Google Scholar] [CrossRef]
- Wang, H.; Wang, T.; Zhou, H.; Liu, B.; Wang, J.; Yuan, W.; Dong, X. Coexistence of Gravitationally-bound and Radiation-driven C IV Emission Line Regions in Active Galactic Nuclei. Astrophys. J. 2011, 738, 85. [Google Scholar] [CrossRef]
- Vestergaard, M.; Peterson, B.M. Determining Central Black Hole Masses in Distant Active Galaxies and Quasars. II. Improved Optical and UV Scaling Relationships. Astrophys. J. 2006, 641, 689–709. [Google Scholar] [CrossRef]
- Marziani, P.; Dultzin-Hacyan, D.; Sulentic, J.W. Accretion onto Supermassive Black Holes in Quasars: Learning from Optical/UV Observations. In New Developments in Black Hole Research; Kreitler, P.V., Ed.; Nova Press: New York, NY, USA, 2006; p. 123. [Google Scholar]
- Marziani, P.; Sulentic, J.W. Estimating black hole masses in quasars using broad optical and UV emission lines. NARev 2012, 56, 49–63. [Google Scholar] [CrossRef]
- Shen, Y.; Liu, X. Comparing Single-epoch Virial Black Hole Mass Estimators for Luminous Quasars. Astrophys. J. 2012, 753, 125. [Google Scholar] [CrossRef]
- Shen, Y. The mass of quasars. Bull. Astron. Soc. India 2013, 41, 61–115. [Google Scholar]
- Du, P.; Wang, J.M. The Radius-Luminosity Relationship Depends on Optical Spectra in Active Galactic Nuclei. Astrophys. J. 2019, 886, 42. [Google Scholar] [CrossRef]
- Martínez-Aldama, M.L.; Czerny, B.; Kawka, D.; Karas, V.; Panda, S.; Zajaček, M.; Życki, P.T. Can Reverberation-measured Quasars Be Used for Cosmology? Astrophys. J. 2019, 883, 170. [Google Scholar] [CrossRef]
- D’Onofrio, M.; Burigana, C. Questions of Modern Cosmology: Galileo’s Legacy; Springer: Berlin/Heidelberg, Germany, 2009. [Google Scholar] [CrossRef]
- Baldwin, J.A. Luminosity Indicators in the Spectra of Quasi-Stellar Objects. Astrophys. J. 1977, 214, 679–684. [Google Scholar] [CrossRef]
- Baldwin, J.A.; Burke, W.L.; Gaskell, C.M.; Wampler, E.J. Relative quasar luminosities determined from emission line strengths. Nature 1978, 273, 431–435. [Google Scholar] [CrossRef]
- Bian, W.H.; Fang, L.L.; Huang, K.L.; Wang, J.M. The C IV Baldwin effect in quasi-stellar objects from Seventh Data Release of the Sloan Digital Sky Survey. Mon. Not. R. Astron. Soc. 2012, 427, 2881–2888. [Google Scholar] [CrossRef]
- Boroson, T.A.; Green, R.F. The emission-line properties of low-redshift quasi-stellar objects. Astrophys. J. Suppl. Ser. 1992, 80, 109–135. [Google Scholar] [CrossRef]
- Sulentic, J.W.; Marziani, P.; Zwitter, T.; Dultzin-Hacyan, D.; Calvani, M. The Demise of the Classical Broad-Line Region in the Luminous Quasar PG 1416-129. Astrophys. J. 2000, 545, L15–L18. [Google Scholar] [CrossRef]
- Marziani, P.; Sulentic, J.W.; Zwitter, T.; Dultzin-Hacyan, D.; Calvani, M. Searching for the Physical Drivers of the Eigenvector 1 Correlation Space. Astrophys. J. 2001, 558, 553–560. [Google Scholar] [CrossRef]
- Sulentic, J.W.; Marziani, P.; Zamanov, R.; Bachev, R.; Calvani, M.; Dultzin-Hacyan, D. Average Quasar Spectra in the Context of Eigenvector 1. Astrophys. J. 2002, 566, L71–L75. [Google Scholar] [CrossRef]
- Marziani, P.; Bon, E.; Bon, N.; D’Onofrio, M.; Punsly, B.; Śniegowska, M.; Czerny, B.; Panda, S.; Martnez Aldama, M.L.; del Olmo, A.; et al. The main sequence of quasars: The taming of the extremes. Astron. Nachrichten 2022, 343, e210082. [Google Scholar] [CrossRef]
- Marziani, P.; Sulentic, J.W.; Stirpe, G.M.; Zamfir, S.; Calvani, M. VLT/ISAAC spectra of the Hβ region in intermediate-redshift quasars. III. Hβ broad-line profile analysis and inferences about BLR structure. Astron. Astrophys. 2009, 495, 83–112. [Google Scholar] [CrossRef]
- Deconto-Machado, A.; del Olmo Orozco, A.; Marziani, P.; Perea, J.; Stirpe, G.M. High-redshift quasars along the main sequence. Astron. Astrophys. 2023, 669, A83. [Google Scholar] [CrossRef]
- Marziani, P.; Dultzin, D.; Sulentic, J.W.; Del Olmo, A.; Negrete, C.A.; Martinez-Aldama, M.L.; D’Onofrio, M.; Bon, E.; Bon, N.; Stirpe, G.M. A main sequence for quasars. Front. Astron. Space Sci. 2018, 5, 6. [Google Scholar] [CrossRef]
- Giustini, M.; Proga, D. A global view of the inner accretion and ejection flow around super massive black holes. Radiation-driven accretion disk winds in a physical context. Astron. Astrophys. 2019, 630, A94. [Google Scholar] [CrossRef]
- Du, P.; Lu, K.X.; Hu, C.; Qiu, J.; Li, Y.R.; Huang, Y.K.; Wang, F.; Bai, J.M.; Bian, W.H.; Yuan, Y.F.; et al. Supermassive Black Holes with High Accretion Rates in Active Galactic Nuclei. VI. Velocity-resolved Reverberation Mapping of the Hβ Line. Astrophys. J. 2016, 820, 27. [Google Scholar] [CrossRef]
- Sulentic, J.W.; Zheng, W.; Arp, H.C. N2841-UB3: A QSO with Unusually Strong Optical Fe II Emission. Publ. Astron. Soc. Pac. 1990, 102, 1275. [Google Scholar] [CrossRef]
- Lipari, S.; Terlevich, R.; Macchetto, F. Extreme optical Fe II emission in luminous IRAS active galactic nuclei. Astrophys. J. 1993, 406, 451–456. [Google Scholar] [CrossRef]
- Graham, M.J.; Clowes, R.G.; Campusano, L.E. A quasar with ultrastrong, ultraviolet Fe II emission. Mon. Not. R. Astron. Soc. 1996, 279, 1349–1356. [Google Scholar] [CrossRef]
- Boroson, T.A. Black Hole Mass and Eddington Ratio as Drivers for the Observable Properties of Radio-loud and Radio-quiet QSOs. Astrophys. J. 2002, 565, 78–85. [Google Scholar] [CrossRef]
- Sun, J.; Shen, Y. Dissecting the Quasar Main Sequence: Insight from Host Galaxy Properties. Astrophys. J. 2015, 804, L15. [Google Scholar] [CrossRef]
- Panda, S.; Marziani, P.; Czerny, B. The Quasar Main Sequence Explained by the Combination of Eddington Ratio, Metallicity, and Orientation. Astrophys. J. 2019, 882, 79. [Google Scholar] [CrossRef]
- Abramowicz, M.A.; Czerny, B.; Lasota, J.P.; Szuszkiewicz, E. Slim accretion disks. Astrophys. J. 1988, 332, 646–658. [Google Scholar] [CrossRef]
- Abramowicz, M.A.; Straub, O. Accretion discs. Scholarpedia 2014, 9, 2408. [Google Scholar] [CrossRef]
- Sądowski, A. Slim Disks Around Kerr Black Holes Revisited. Astrophys. J. 2009, 183, 171–178. [Google Scholar] [CrossRef]
- Hinshaw, G.; Larson, D.; Komatsu, E.; Spergel, D.N.; Bennett, C.L.; Dunkley, J.; Nolta, M.R.; Halpern, M.; Hill, R.S.; Odegard, N.; et al. Nine-year Wilkinson Microwave Anisotropy Probe (WMAP) Observations: Cosmological Parameter Results. Astrophys. J. 2013, 208, 19. [Google Scholar] [CrossRef]
- Schechter, P.L. Mass-to-light ratios for elliptical galaxies. Astron. J. 1980, 85, 801–811. [Google Scholar] [CrossRef]
- Malumuth, E.M.; Kirshner, R.P. Dynamics of luminous galaxies. Astrophys. J. 1981, 251, 508–517. [Google Scholar] [CrossRef]
- Cappellari, M. Effect of Environment on Galaxies’ Mass-Size Distribution: Unveiling the Transition from outside-in to inside-out Evolution. Astrophys. J. Lett. 2013, 778, L2. [Google Scholar] [CrossRef]
- Kormendy, J.; Bender, R. The Lvpropσ8 Correlation for Elliptical Galaxies with Cores: Relation with Black Hole Mass. Astrophys. J. 2013, 769, L5. [Google Scholar] [CrossRef]
- Quenneville, M.E.; Blakeslee, J.P.; Ma, C.P.; Greene, J.E.; Gwyn, S.D.J.; Ciccone, S.; Nyiri, B. The MASSIVE survey—XVIII. Deep wide-field K-band photometry and local scaling relations for massive early-type galaxies. Mon. Not. R. Astron. Soc. 2024, 527, 249–264. [Google Scholar] [CrossRef]
- Tonry, J.L. Velocity dispersions of low luminosity ellipticals—L approximately equal to sigma-cubed. Astrophys. J. 1981, 251, L1–L5. [Google Scholar] [CrossRef]
- Davies, R.L.; Efstathiou, G.; Fall, S.M.; Illingworth, G.; Schechter, P.L. The kinematic properties of faint elliptical galaxies. Astrophys. J. 1983, 266, 41–57. [Google Scholar] [CrossRef]
- Held, E.V.; de Zeeuw, T.; Mould, J.; Picard, A. NGC 185 and the Extended Faber-Jackson Relation. In The Stellar Populations of Galaxies; Barbuy, B., Renzini, A., Eds.; Springer: Dordrecht, The Netherlands, 1992; Volume 149, p. 429. [Google Scholar]
- de Rijcke, S.; Michielsen, D.; Dejonghe, H.; Zeilinger, W.W.; Hau, G.K.T. Formation and evolution of dwarf elliptical galaxies. I. Structural and kinematical properties. Astron. Astrophys. 2005, 438, 491–505. [Google Scholar] [CrossRef]
- Matković, A.; Guzmán, R.; Sánchez-Blázquez, P.; Gorgas, J.; Cardiel, N.; Gruel, N. Kinematic Properties and Stellar Populations of Faint Early-Type Galaxies. II. Line-Strength Measurements of Central Coma Galaxies. Astrophys. J. 2009, 691, 1862–1878. [Google Scholar] [CrossRef]
- Montero-Dorta, A.D.; Shu, Y.; Bolton, A.S.; Brownstein, J.R.; Weiner, B.J. A steep slope and small scatter for the high-mass end of the L-σ relation at z ∼ 0.55. Mon. Not. R. Astron. Soc. 2016, 456, 3265–3281. [Google Scholar] [CrossRef]
- Lauer, T.R.; Tremaine, S.; Richstone, D.; Faber, S.M. Selection Bias in Observing the Cosmological Evolution of the M•-σ and M•-L Relationships. Astrophys. J. 2007, 670, 249–260. [Google Scholar] [CrossRef]
- Cappellari, M.; Emsellem, E.; Krajnović, D.; McDermid, R.M.; Scott, N.; Verdoes Kleijn, G.A.; Young, L.M.; Alatalo, K.; Bacon, R.; Blitz, L.; et al. The ATLAS3D project—I. A volume-limited sample of 260 nearby early-type galaxies: Science goals and selection criteria. Mon. Not. R. Astron. Soc. 2011, 413, 813–836. [Google Scholar] [CrossRef]
- Focardi, P.; Malavasi, N. The Effect of the Environment on the Faber-Jackson Relation. Astrophys. J. 2012, 756, 117. [Google Scholar] [CrossRef]
- Paturel, G.; Petit, C.; Prugniel, P.; Theureau, G.; Rousseau, J.; Brouty, M.; Dubois, P.; Cambrésy, L. HYPERLEDA. I. Identification and designation of galaxies. Astron. Astrophys. 2003, 412, 45–55. [Google Scholar] [CrossRef]
- Choi, Y.Y.; Park, C.; Vogeley, M.S. Internal and Collective Properties of Galaxies in the Sloan Digital Sky Survey. Astrophys. J. 2007, 658, 884–897. [Google Scholar] [CrossRef]
- Desroches, L.B.; Quataert, E.; Ma, C.P.; West, A.A. Luminosity dependence in the Fundamental Plane projections of elliptical galaxies. Mon. Not. R. Astron. Soc. 2007, 377, 402–414. [Google Scholar] [CrossRef]
- Hyde, J.B.; Bernardi, M. Curvature in the scaling relations of early-type galaxies. Mon. Not. R. Astron. Soc. 2009, 394, 1978–1990. [Google Scholar] [CrossRef]
- Nigoche-Netro, A.; Aguerri, J.A.L.; Lagos, P.; Ruelas-Mayorga, A.; Sánchez, L.J.; Machado, A. The Faber-Jackson relation for early-type galaxies: Dependence on the magnitude range. Astron. Astrophys. 2010, 516, A96. [Google Scholar] [CrossRef]
- Bernardi, M.; Roche, N.; Shankar, F.; Sheth, R.K. Evidence of major dry mergers at M* > 2 × 1011M⊙ from curvature in early-type galaxy scaling relations? Mon. Not. R. Astron. Soc. 2011, 412, L6–L10. [Google Scholar] [CrossRef]
- Bernardi, M.; Sheth, R.K.; Annis, J.; Burles, S.; Eisenstein, D.J.; Finkbeiner, D.P.; Hogg, D.W.; Lupton, R.H.; Schlegel, D.J.; SubbaRao, M.; et al. Early-Type Galaxies in the Sloan Digital Sky Survey. III. The Fundamental Plane. Astron. J. 2003, 125, 1866–1881. [Google Scholar] [CrossRef]
- Nigoche-Netro, A.; Ruelas, A.; Sánchez, L.J. The Dependence of the Faber-Jackson relation on the magnitude range. Rev. Mex. De Astron. Y Astrofis. Ser. De Conf. 2011, 40, 126. [Google Scholar]
- Shu, Y.; Bolton, A.S.; Schlegel, D.J.; Dawson, K.S.; Wake, D.A.; Brownstein, J.R.; Brinkmann, J.; Weaver, B.A. Evolution of the Velocity-dispersion Function of Luminous Red Galaxies: A Hierarchical Bayesian Measurement. Astron. J. 2012, 143, 90. [Google Scholar] [CrossRef]
- Sheth, R.K.; Bernardi, M.; Schechter, P.L.; Burles, S.; Eisenstein, D.J.; Finkbeiner, D.P.; Frieman, J.; Lupton, R.H.; Schlegel, D.J.; Subbarao, M.; et al. The Velocity Dispersion Function of Early-Type Galaxies. Astrophys. J. 2003, 594, 225–231. [Google Scholar] [CrossRef]
- Nigoche-Netro, A.; Moles, M.; Ruelas-Mayorga, A.; Franco-Balderas, A.; Kjørgaard, P. Structural properties of isolated early-type galaxies. The dependence of scaling relations on environment. Astron. Astrophys. 2007, 472, 773–784. [Google Scholar] [CrossRef]
- Nigoche-Netro, A.; Ruelas-Mayorga, A.; Franco-Balderas, A. The Kormendy relation for early-type galaxies. Dependence on the magnitude range. Astron. Astrophys. 2008, 491, 731–738. [Google Scholar] [CrossRef]
- Nigoche-Netro, A.; Ruelas-Mayorga, A.; Franco-Balderas, A. The Fundamental Plane for early-type galaxies: Dependence on the magnitude range. Mon. Not. R. Astron. Soc. 2009, 392, 1060–1069. [Google Scholar] [CrossRef]
- Djorgovski, S.; Davis, M. Fundamental Properties of Elliptical Galaxies. Astrophys. J. 1987, 313, 59. [Google Scholar] [CrossRef]
- Dressler, A.; Lynden-Bell, D.; Burstein, D.; Davies, R.L.; Faber, S.M.; Terlevich, R.; Wegner, G. Spectroscopy and Photometry of Elliptical Galaxies. I. New Distance Estimator. Astrophys. J. 1987, 313, 42. [Google Scholar] [CrossRef]
- Jorgensen, I.; Chiboucas, K.; Flint, K.; Bergmann, M.; Barr, J.; Davies, R. The Fundamental Plane for z = 0.8–0.9 Cluster Galaxies. Astrophys. J. 2006, 639, L9–L12. [Google Scholar] [CrossRef]
- Vogelsberger, M.; Genel, S.; Springel, V.; Torrey, P.; Sijacki, D.; Xu, D.; Snyder, G.; Bird, S.; Nelson, D.; Hernquist, L. Properties of galaxies reproduced by a hydrodynamic simulation. Nature 2014, 509, 177–182. [Google Scholar] [CrossRef] [PubMed]
- Barger, A.J.; Aragón-Salamanca, A.; Smail, I.; Ellis, R.S.; Couch, W.J.; Dressler, A.; Oemler, A.; Poggianti, B.M.; Sharples, R.M. New Constraints on the Luminosity Evolution of Spheroidal Galaxies in Distant Clusters. Astrophys. J. 1998, 501, 522–532. [Google Scholar] [CrossRef]
- Ziegler, B.L.; Saglia, R.P.; Bender, R.; Belloni, P.; Greggio, L.; Seitz, S. Probing early-type galaxy evolution with the Kormendy relation. Astron. Astrophys. 1999, 346, 13–32. [Google Scholar]
- La Barbera, F.; Busarello, G.; Merluzzi, P.; Massarotti, M.; Capaccioli, M. On the Invariant Distribution of Galaxies in the re-<μ>e Plane out to z = 0.64. Astrophys. J. 2003, 595, 127–136. [Google Scholar] [CrossRef]
- Barr, J.; Jørgensen, I.; Chiboucas, K.; Davies, R.; Bergmann, M. The Fundamental Plane in RX J0142.0+2131: A Galaxy Cluster Merger at z = 0.28. Astrophys. J. 2006, 649, L1–L4. [Google Scholar] [CrossRef]
- Treu, T.; Ellis, R.S.; Liao, T.X.; van Dokkum, P.G.; Tozzi, P.; Coil, A.; Newman, J.; Cooper, M.C.; Davis, M. The Assembly History of Field Spheroidals: Evolution of Mass-to-Light Ratios and Signatures of Recent Star Formation. Astrophys. J. 2005, 633, 174–197. [Google Scholar] [CrossRef]
- Fritz, A.; Jorgensen, I.; Schiavon, R.P.; Chiboucas, K. The evolution of cluster early-type galaxies over the past 8 Gyr. Astron. Nachrichten 2009, 330, 931. [Google Scholar] [CrossRef]
- Kormendy, J. Families of ellipsoidal stellar systems and the formation of dwarf elliptical galaxies. Astrophys. J. 1985, 295, 73–79. [Google Scholar] [CrossRef]
- Hamabe, M.; Kormendy, J. Correlations Between R/1/4—Law Parameters for Bulges and Elliptical Galaxies. In Structure and Dynamics of Elliptical Galaxies; de Zeeuw, P.T., Ed.; Cambridge University Press: Cambridge, UK, 1987; Volume 127, p. 379. [Google Scholar] [CrossRef]
- Bender, R.; Burstein, D.; Faber, S.M. Dynamically Hot Galaxies. I. Structural Properties. Astrophys. J. 1992, 399, 462. [Google Scholar] [CrossRef]
- Capaccioli, M.; Caon, N.; D’Onofrio, M. Families of galaxies in the mu.e-R.e plane. Mon. Not. R. Astron. Soc. 1992, 259, 323–327. [Google Scholar] [CrossRef]
- Caon, N.; Capaccioli, M.; D’Onofrio, M. On the shape of the light profiles of early-type galaxies. Mon. Not. R. Astron. Soc. 1993, 265, 1013–1021. [Google Scholar] [CrossRef]
- Aguerri, J.A.L.; González-García, A.C. On the origin of dwarf elliptical galaxies: The fundamental plane. Astron. Astrophys. 2009, 494, 891–904. [Google Scholar] [CrossRef]
- Brosche, P. The Manifold of Galaxies. Galaxies with known Dynamical Parameters. Astron. Astrophys. 1973, 23, 259–268. [Google Scholar]
- Schmidt, M. The Rate of Star Formation. Astrophys. J. 1959, 129, 243. [Google Scholar] [CrossRef]
- Terlevich, R.; Melnick, J. The dynamics and chemical composition of giant extragalactic H II regions. Mon. Not. R. Astron. Soc. 1981, 195, 839–851. [Google Scholar] [CrossRef]
- Melnick, J.; Moles, M.; Terlevich, R.; Garcia-Pelayo, J.M. Giant H II regions as distance indicators—I. Relations between global parameters for the local calibrators. Mon. Not. R. Astron. Soc. 1987, 226, 849–866. [Google Scholar] [CrossRef]
- Melnick, J.; Terlevich, R.; Moles, M. Giant H II regions as distance indicators- II. Application to H II galaxies and the value of the Hubble constant. Mon. Not. R. Astron. Soc. 1988, 235, 297–313. [Google Scholar] [CrossRef]
- Siegel, E.R.; Guzmán, R.; Gallego, J.P.; Orduña López, M.; Rodríguez Hidalgo, P. Towards a precision cosmology from starburst galaxies at z > 2. Mon. Not. R. Astron. Soc. 2005, 356, 1117–1122. [Google Scholar] [CrossRef]
- Bordalo, V.; Telles, E. The L-σ Relation of Local H II Galaxies. Astrophys. J. 2011, 735, 52. [Google Scholar] [CrossRef]
- Plionis, M.; Terlevich, R.; Basilakos, S.; Bresolin, F.; Terlevich, E.; Melnick, J.; Chavez, R. A strategy to measure the dark energy equation of state using the H II galaxy Hubble function and X-ray active galactic nuclei clustering: Preliminary results. Mon. Not. R. Astron. Soc. 2011, 416, 2981–2996. [Google Scholar] [CrossRef]
- Chávez, R.; Terlevich, E.; Terlevich, R.; Plionis, M.; Bresolin, F.; Basilakos, S.; Melnick, J. Determining the Hubble constant using giant extragalactic H II regions and H II galaxies. Mon. Not. R. Astron. Soc. 2012, 425, L56–L60. [Google Scholar] [CrossRef]
- Koo, D.C.; Guzman, R.; Faber, S.M.; Illingworth, G.D.; Bershady, M.A.; Kron, R.G.; Takamiya, M. High-Resolution Spectra of Distant Compact Narrow Emission Line Galaxies: Progenitors of Spheroidal Galaxies? Astrophys. J. 1995, 440, L49. [Google Scholar] [CrossRef]
- Guzman, R.; Koo, D.C.; Faber, S.M.; Illingworth, G.D.; Takamiya, M.; Kron, R.G.; Bershady, M.A. On the Nature of the Faint Compact Narrow Emission-Line Galaxies: The Half-Light Radius–Velocity Width Diagram. Astrophys. J. 1996, 460, L5. [Google Scholar] [CrossRef]
- Mineshige, S.; Kawaguchi, T.; Takeuchi, M.; Hayashida, K. Slim-Disk Model for Soft X-ray Excess and Variability of Narrow-Line Seyfert 1 Galaxies. Publ. Astron. Soc. Jpn. 2000, 52, 499–508. [Google Scholar] [CrossRef]
- Sa̧dowski, A.; Narayan, R.; McKinney, J.C.; Tchekhovskoy, A. Numerical simulations of super-critical black hole accretion flows in general relativity. Mon. Not. R. Astron. Soc. 2014, 439, 503–520. [Google Scholar] [CrossRef]
- Wang, J.M.; Qiu, J.; Du, P.; Ho, L.C. Self-shadowing Effects of Slim Accretion Disks in Active Galactic Nuclei: The Diverse Appearance of the Broad-line Region. Astrophys. J. 2014, 797, 65. [Google Scholar] [CrossRef]
- Wang, J.M.; Du, P.; Valls-Gabaud, D.; Hu, C.; Netzer, H. Super-Eddington Accreting Massive Black Holes as Long-Lived Cosmological Standards. Phys. Rev. Lett. 2013, 110, 081301. [Google Scholar] [CrossRef] [PubMed]
- La Franca, F.; Bianchi, S.; Ponti, G.; Branchini, E.; Matt, G. A New Cosmological Distance Measure Using Active Galactic Nucleus X-ray Variability. Astrophys. J. 2014, 787, L12. [Google Scholar] [CrossRef]
- Wang, J.M.; Du, P.; Hu, C.; Netzer, H.; Bai, J.M.; Lu, K.X.; Kaspi, S.; Qiu, J.; Li, Y.R.; Wang, F.; et al. Supermassive Black Holes with High Accretion Rates in Active Galactic Nuclei. II. The Most Luminous Standard Candles in the Universe. Astrophys. J. 2014, 793, 108. [Google Scholar] [CrossRef]
- Padovani, P.; Rafanelli, P. Mass-luminosity relationships and accretion rates for Seyfert 1 galaxies and quasars. Astron. Astrophys. 1988, 205, 53–70. [Google Scholar]
- Matsuoka, Y.; Kawara, K.; Oyabu, S. Low-Ionization Emission Regions in Quasars: Gas Properties Probed with Broad O I and Ca II Lines. Astrophys. J. 2008, 673, 62–68. [Google Scholar] [CrossRef]
- Negrete, A.; Dultzin, D.; Marziani, P.; Sulentic, J. BLR Physical Conditions in Extreme Population A Quasars: A Method to Estimate Central Black Hole Mass at High Redshift. Astrophys. J. 2012, 757, 62. [Google Scholar] [CrossRef]
- Dultzin, D.; Marziani, P.; de Diego, J.A.; Negrete, C.A.; Del Olmo, A.; Martínez-Aldama, M.L.; D’Onofrio, M.; Bon, E.; Bon, N.; Stirpe, G.M. Extreme quasars as distance indicators in cosmology. Front. Astron. Space Sci. 2020, 6, 80. [Google Scholar] [CrossRef]
- Marziani, P.; Dultzin, D.; Del Olmo, A.; D’Onofrio, M.; de Diego, J.A.; Stirpe, G.M.; Bon, E.; Bon, N.; Czerny, B.; Perea, J.; et al. The quasar main sequence and its potential for cosmology. arXiv 2020, arXiv:2002.07219. [Google Scholar] [CrossRef]
- Czerny, B.; Martínez-Aldama, M.L.; Wojtkowska, G.; Zajaček, M.; Marziani, P.; Dultzin, D.; Naddaf, M.H.; Panda, S.; Prince, R.; Przyluski, R.; et al. Dark Energy Constraints from Quasar Observations. Acta Phys. Pol. A 2021, 139, 389–393. [Google Scholar] [CrossRef]
- Czerny, B.; Beaton, R.; Bejger, M.; Cackett, E.; Dall’Ora, M.; Holanda, R.F.L.; Jensen, J.B.; Jha, S.W.; Lusso, E.; Minezaki, T.; et al. Astronomical Distance Determination in the Space Age. Secondary Distance Indicators. Space Sci. Rev. 2018, 214, 32. [Google Scholar] [CrossRef]
- Fasano, G.; Marmo, C.; Varela, J.; D’Onofrio, M.; Poggianti, B.M.; Moles, M.; Pignatelli, E.; Bettoni, D.; Kjærgaard, P.; Rizzi, L.; et al. WINGS: A WIde-field Nearby Galaxy-cluster Survey. I. Optical imaging. Astron. Astrophys. 2006, 445, 805–817. [Google Scholar] [CrossRef]
- Varela, J.; D’Onofrio, M.; Marmo, C.; Fasano, G.; Bettoni, D.; Cava, A.; Couch, W.J.; Dressler, A.; Kjærgaard, P.; Moles, M.; et al. WINGS: A WIde-field Nearby Galaxy-cluster Survey. II. Deep optical photometry of 77 nearby clusters. Astron. Astrophys. 2009, 497, 667–676. [Google Scholar] [CrossRef]
- Cava, A.; Bettoni, D.; Poggianti, B.M.; Couch, W.J.; Moles, M.; Varela, J.; Biviano, A.; D’Onofrio, M.; Dressler, A.; Fasano, G.; et al. WINGS-SPE Spectroscopy in the WIde-field Nearby Galaxy-cluster Survey. Astron. Astrophys. 2009, 495, 707–719. [Google Scholar] [CrossRef]
- Valentinuzzi, T.; Woods, D.; Fasano, G.; Riello, M.; D’Onofrio, M.; Varela, J.; Bettoni, D.; Cava, A.; Couch, W.J.; Dressler, A.; et al. WINGS: A WIde-field nearby Galaxy-cluster survey. III. Deep near-infrared photometry of 28 nearby clusters. Astron. Astrophys. 2009, 501, 851–864. [Google Scholar] [CrossRef]
- Moretti, A.; Poggianti, B.M.; Fasano, G.; Bettoni, D.; D’Onofrio, M.; Fritz, J.; Cava, A.; Varela, J.; Vulcani, B.; Gullieuszik, M.; et al. WINGS Data Release: A database of galaxies in nearby clusters. Astron. Astrophys. 2014, 564, A138. [Google Scholar] [CrossRef]
- D’Onofrio, M.; Bindoni, D.; Fasano, G.; Bettoni, D.; Cava, A.; Fritz, J.; Gullieuszik, M.; Kjærgaard, P.; Moretti, A.; Moles, M.; et al. Surface photometry of WINGS galaxies with GASPHOT. Astron. Astrophys. 2014, 572, A87. [Google Scholar] [CrossRef]
- Gullieuszik, M.; Poggianti, B.; Fasano, G.; Zaggia, S.; Paccagnella, A.; Moretti, A.; Bettoni, D.; D’Onofrio, M.; Couch, W.J.; Vulcani, B.; et al. OmegaWINGS: OmegaCAM-VST observations of WINGS galaxy clusters. Astron. Astrophys. 2015, 581, A41. [Google Scholar] [CrossRef]
- Moretti, A.; Gullieuszik, M.; Poggianti, B.; Paccagnella, A.; Couch, W.J.; Vulcani, B.; Bettoni, D.; Fritz, J.; Cava, A.; Fasano, G.; et al. OmegaWINGS: Spectroscopy in the outskirts of local clusters of galaxies. Astron. Astrophys. 2017, 599, A81. [Google Scholar] [CrossRef]
- Cariddi, S.; D’Onofrio, M.; Fasano, G.; Poggianti, B.M.; Moretti, A.; Gullieuszik, M.; Bettoni, D.; Sciarratta, M. Characterization of Omega-WINGS galaxy clusters. I. Stellar light and mass profiles. Astron. Astrophys. 2018, 609, A133. [Google Scholar] [CrossRef]
- Biviano, A.; Moretti, A.; Paccagnella, A.; Poggianti, B.M.; Bettoni, D.; Gullieuszik, M.; Vulcani, B.; Fasano, G.; D’Onofrio, M.; Fritz, J.; et al. The concentration-mass relation of clusters of galaxies from the OmegaWINGS survey. Astron. Astrophys. 2017, 607, A81. [Google Scholar] [CrossRef]
- D’Onofrio, M.; Fasano, G.; Varela, J.; Bettoni, D.; Moles, M.; Kjærgaard, P.; Pignatelli, E.; Poggianti, B.; Dressler, A.; Cava, A.; et al. The Fundamental Plane of Early-Type Galaxies in Nearby Clusters from the WINGS Database. Astrophys. J. 2008, 685, 875–896. [Google Scholar] [CrossRef]
- Bettoni, D.; Kjærgaard, P.; Milvan-Jensen, B.; D’Onofrio, M.; Moretti, A.; Poggianti, B.M.; Fasano, G.; Cava, A.; Couch, W.; Fritz, J.; et al. The Properties of Faint Galaxies in Nearby Clusters of the WINGS Sample. In The Universe of Digital Sky Surveys; Napolitano, N.R., Longo, G., Marconi, M., Paolillo, M., Iodice, E., Eds.; Springer: Berlin/Heidelberg, Germany, 2016; Volume 42, p. 183. [Google Scholar] [CrossRef]
- Pignatelli, E.; Fasano, G.; Cassata, P. GASPHOT: A tool for Galaxy Automatic Surface PHOTometry. Astron. Astrophys. 2006, 446, 373–388. [Google Scholar] [CrossRef]
- Busarello, G.; Capaccioli, M.; Capozziello, S.; Longo, G.; Puddu, E. The relation between the virial theorem and the fundamental plane of elliptical galaxies. Astron. Astrophys. 1997, 320, 415–420. [Google Scholar]
- Busarello, G.; Capaccioli, M.; Longo, G.; Puddu, E. Dynamical Non-Homology and the Tilt of the Fundamental Plane. In The Nature of Elliptical Galaxies, Proceedings of the 2nd Stromlo Symposium, Canberra, Australia, 26–30 August 1996; Arnaboldi, M., Da Costa, G.S., Saha, P., Eds.; Astronomical Society of the Pacific Conference Seriesm; Astronomical Society of the Pacific: San Francisco, CA, USA, 1997; Volume 116, p. 184. [Google Scholar]
- Genel, S.; Vogelsberger, M.; Springel, V.; Sijacki, D.; Nelson, D.; Snyder, G.; Rodriguez-Gomez, V.; Torrey, P.; Hernquist, L. Introducing the Illustris project: The evolution of galaxy populations across cosmic time. Mon. Not. R. Astron. Soc. 2014, 445, 175–200. [Google Scholar] [CrossRef]
- Nelson, D.; Pillepich, A.; Genel, S.; Vogelsberger, M.; Springel, V.; Torrey, P.; Rodriguez-Gomez, V.; Sijacki, D.; Snyder, G.F.; Griffen, B.; et al. The illustris simulation: Public data release. Astron. Comput. 2015, 13, 12–37. [Google Scholar] [CrossRef]
- D’Onofrio, M.; Sciarratta, M.; Cariddi, S.; Marziani, P.; Chiosi, C. The Parallelism between Galaxy Clusters and Early-type Galaxies. I. The Light and Mass Profiles. Astrophys. J. 2019, 875, 103. [Google Scholar] [CrossRef]
- Chiosi, C.; D’Onofrio, M.; Merlin, E.; Piovan, L.; Marziani, P. The parallelism between galaxy clusters and early-type galaxies. III. The mass-radius relationship. Astron. Astrophys. 2020, 643, A136. [Google Scholar] [CrossRef]
- Feigelson, E.D.; Babu, G.J. Linear Regression in Astronomy. II. Astrophys. J. 1992, 397, 55. [Google Scholar] [CrossRef]
- Binggeli, B.; Sandage, A.; Tarenghi, M. Studies of the Virgo Cluster. I. Photometry of 109 galaxies near the cluster center to serve as standards. Astron. J. 1984, 89, 64–82. [Google Scholar] [CrossRef]
- Bothun, G.D.; Mould, J.R.; Caldwell, N.; MacGillivray, H.T. Comparative photometric parameters of dwarf irregular and elliptical galaxies in the Virgo cluster: Two different classes of dwarf galaxies? Astron. J. 1986, 92, 1007–1019. [Google Scholar] [CrossRef]
- Caldwell, N.; Bothun, G.D. Dwarf Elliptical Galaxies in the Fornax Cluster. II. Their Structure and Stellar Populations. Astron. J. 1987, 94, 1126. [Google Scholar] [CrossRef]
- Capaccioli, M.; Caon, N.; D’Onofrio, M. The (log re,μe) Plane of Hot Stellar Systems. In Proceedings of the European Southern Observatory Conference and Workshop 1993, Garching, Germany, 26–27 April 1993; Volume 45, p. 43. [Google Scholar]
- Caldwell, N. Structure and stellar content of dwarf elliptical galaxies. Astron. J. 1983, 88, 804–812. [Google Scholar] [CrossRef]
- Kormendy, J.; Fisher, D.B.; Cornell, M.E.; Bender, R. Structure and Formation of Elliptical and Spheroidal Galaxies. Astrophys. J. Suppl. 2009, 182, 216–309. [Google Scholar] [CrossRef]
- Kormendy, J.; Bender, R. A Revised Parallel-sequence Morphological Classification of Galaxies: Structure and Formation of S0 and Spheroidal Galaxies. Astrophys. J. Suppl. 2012, 198, 2. [Google Scholar] [CrossRef]
- Tolstoy, E.; Hill, V.; Tosi, M. Star-Formation Histories, Abundances, and Kinematics of Dwarf Galaxies in the Local Group. Ann. Rev. Astron. Astrophys. 2009, 47, 371–425. [Google Scholar] [CrossRef]
- Somerville, R.S.; Davé, R. Physical Models of Galaxy Formation in a Cosmological Framework. Ann. Rev. Astron. Astrophys. 2015, 53, 51–113. [Google Scholar] [CrossRef]
- Kormendy, J. Elliptical Galaxies and Bulges of Disc Galaxies: Summary of Progress and Outstanding Issues. In Galactic Bulges; Laurikainen, E., Peletier, R., Gadotti, D., Eds.; Astrophysics and Space Science Library; Springer: Cham, Switzerland, 2016; Volume 418, p. 431. [Google Scholar] [CrossRef]
- Graham, A.W. Re. I. Understanding galaxy sizes, associated luminosity densities, and the artificial division of the early-type galaxy population. Pub. Astron. Soc. Aust. 2019, 36, e035. [Google Scholar] [CrossRef]
- Burstein, D.; Bender, R.; Faber, S.; Nolthenius, R. Global Relationships Among the Physical Properties of Stellar Systems. Astron. J. 1997, 114, 1365. [Google Scholar] [CrossRef]
- Lauer, T.R.; Gebhardt, K.; Faber, S.M.; Richstone, D.; Tremaine, S.; Kormendy, J.; Aller, M.C.; Bender, R.; Dressler, A.; Filippenko, A.V.; et al. The Centers of Early-Type Galaxies with Hubble Space Telescope. VI. Bimodal Central Surface Brightness Profiles. Astrophys. J. 2007, 664, 226–256. [Google Scholar] [CrossRef]
- Hyde, J.B.; Bernardi, M.; Sheth, R.K.; Nichol, R.C. A search for the most massive galaxies—III. Global and central structure. Mon. Not. R. Astron. Soc. 2008, 391, 1559–1576. [Google Scholar] [CrossRef]
- Kormendy, J.; Bender, R. A Proposed Revision of the Hubble Sequence for Elliptical Galaxies. Astrophys. J. 1996, 464, L119. [Google Scholar] [CrossRef]
- Faber, S.M.; Tremaine, S.; Ajhar, E.A.; Byun, Y.I.; Dressler, A.; Gebhardt, K.; Grillmair, C.; Kormendy, J.; Lauer, T.R.; Richstone, D. The Centers of Early-Type Galaxies with HST. IV. Central Parameter Relations. Astron. J. 1997, 114, 1771. [Google Scholar] [CrossRef]
- Shu, Y.; Bolton, A.S.; Brownstein, J.R.; Montero-Dorta, A.D.; Koopmans, L.V.E.; Treu, T.; Gavazzi, R.; Auger, M.W.; Czoske, O.; Marshall, P.J.; et al. The Sloan Lens ACS Survey. XII. Extending Strong Lensing to Lower Masses. Astrophys. J. 2015, 803, 71. [Google Scholar] [CrossRef]
- Gnedin, O.Y.; Kravtsov, A.V.; Klypin, A.A.; Nagai, D. Response of Dark Matter Halos to Condensation of Baryons: Cosmological Simulations and Improved Adiabatic Contraction Model. Astrophys. J. 2004, 616, 16–26. [Google Scholar] [CrossRef]
- Gustafsson, M.; Fairbairn, M.; Sommer-Larsen, J. Baryonic pinching of galactic dark matter halos. Phys. Rev. D 2006, 74, 123522. [Google Scholar] [CrossRef]
- Abadi, M.G.; Navarro, J.F.; Fardal, M.; Babul, A.; Steinmetz, M. Galaxy-induced transformation of dark matter haloes. Mon. Not. R. Astron. Soc. 2010, 407, 435–446. [Google Scholar] [CrossRef]
- Velliscig, M.; van Daalen, M.P.; Schaye, J.; McCarthy, I.G.; Cacciato, M.; Le Brun, A.M.C.; Dalla Vecchia, C. The impact of galaxy formation on the total mass, mass profile and abundance of haloes. Mon. Not. R. Astron. Soc. 2014, 442, 2641–2658. [Google Scholar] [CrossRef]
- Nipoti, C.; Treu, T.; Ciotti, L.; Stiavelli, M. Galactic cannibalism and cold dark matter density profiles. Mon. Not. R. Astron. Soc. 2004, 355, 1119–1124. [Google Scholar] [CrossRef]
- Romano-Díaz, E.; Shlosman, I.; Hoffman, Y.; Heller, C. Erasing Dark Matter Cusps in Cosmological Galactic Halos with Baryons. Astrophys. J. 2008, 685, L105. [Google Scholar] [CrossRef]
- Duffy, A.R.; Schaye, J.; Kay, S.T.; Dalla Vecchia, C.; Battye, R.A.; Booth, C.M. Impact of baryon physics on dark matter structures: A detailed simulation study of halo density profiles. Mon. Not. R. Astron. Soc. 2010, 405, 2161–2178. [Google Scholar] [CrossRef]
- Governato, F.; Brook, C.; Mayer, L.; Brooks, A.; Rhee, G.; Wadsley, J.; Jonsson, P.; Willman, B.; Stinson, G.; Quinn, T.; et al. Bulgeless dwarf galaxies and dark matter cores from supernova-driven outflows. Nature 2010, 463, 203–206. [Google Scholar] [CrossRef] [PubMed]
- Martizzi, D.; Teyssier, R.; Moore, B. The formation of the brightest cluster galaxies in cosmological simulations: The case for active galactic nucleus feedback. Mon. Not. R. Astron. Soc. 2012, 420, 2859–2873. [Google Scholar] [CrossRef]
- Dubois, Y.; Pichon, C.; Devriendt, J.; Silk, J.; Haehnelt, M.; Kimm, T.; Slyz, A. Blowing cold flows away: The impact of early AGN activity on the formation of a brightest cluster galaxy progenitor. Mon. Not. R. Astron. Soc. 2013, 428, 2885–2900. [Google Scholar] [CrossRef]
- Marziani, P.; Zamanov, R.K.; Sulentic, J.W.; Calvani, M. Searching for the physical drivers of eigenvector 1: Influence of black hole mass and Eddington ratio. Mon. Not. R. Astron. Soc. 2003, 345, 1133–1144. [Google Scholar] [CrossRef]
- Marziani, P.; Sulentic, J.W.; Negrete, C.A.; Dultzin, D.; D’Onofrio, M.; Del Olmo, A.; Martinez-Aldama, M.L. Low- and high-z highly accreting quasars in the 4D Eigenvector 1 context. Astron. Rev. 2014, 9, 6–25. [Google Scholar] [CrossRef]
- Śniegowska, M.; Czerny, B.; You, B.; Panda, S.; Wang, J.M.; Hryniewicz, K.; Wildy, C. Properties of active galaxies at the extreme of Eigenvector 1. Astron. Astrophys. 2018, 613, A38. [Google Scholar] [CrossRef]
- Du, P.; Zhang, Z.X.; Wang, K.; Huang, Y.K.; Zhang, Y.; Lu, K.X.; Hu, C.; Li, Y.R.; Bai, J.M.; Bian, W.H.; et al. Supermassive Black Holes with High Accretion Rates in Active Galactic Nuclei. IX. 10 New Observations of Reverberation Mapping and Shortened Hβ Lags. Astrophys. J. 2018, 856, 6. [Google Scholar] [CrossRef]
- Marziani, P.; del Olmo, A.; D’ Onofrio, M.; Dultzin, D.; Negrete, C.A.; Martiinez-Aldama, M.L.; Bon, E.; Bon, N.; Stirpe, G.M. Narrow-line Seyfert 1s: What is wrong in a name? arXiv 2018, arXiv:1807.03003. [Google Scholar]
- Peterson, B.M.; Wandel, A. Keplerian Motion of Broad-Line Region Gas as Evidence for Supermassive Black Holes in Active Galactic Nuclei. Astrophys. J. 1999, 521, L95–L98. [Google Scholar] [CrossRef]
- Marziani, P.; Sulentic, J.W.; Plauchu-Frayn, I.; del Olmo, A. Is Mg II 2800 a Reliable Virial Broadening Estimator for Quasars? Astron. Astrophys. 2013, 555, 89. [Google Scholar] [CrossRef]
- Mejía-Restrepo, J.E.; Trakhtenbrot, B.; Lira, P.; Netzer, H.; Capellupo, D.M. Active galactic nuclei at z∼1.5: II. Black Hole Mass estimation by means of broad emission lines. Mon. Not. R. Astron. Soc. 2016, 460, 187. [Google Scholar] [CrossRef]
- Sulentic, J.W.; del Olmo, A.; Marziani, P.; Martínez-Carballo, M.A.; D’Onofrio, M.; Dultzin, D.; Perea, J.; Martínez-Aldama, M.L.; Negrete, C.A.; Stirpe, G.M.; et al. What does CIVλ1549 tell us about the physical driver of the Eigenvector quasar sequence? Astron. Astrophys. 2017, 608, A122. [Google Scholar] [CrossRef]
- Bisogni, S.; di Serego Alighieri, S.; Goldoni, P.; Ho, L.C.; Marconi, A.; Ponti, G.; Risaliti, G. Simultaneous detection and analysis of optical and ultraviolet broad emission lines in quasars at z 2.2. Astron. Astrophys. 2017, 603, A1. [Google Scholar] [CrossRef]
- Vietri, G.; Piconcelli, E.; Bischetti, M.; Duras, F.; Martocchia, S.; Bongiorno, A.; Marconi, A.; Zappacosta, L.; Bisogni, S.; Bruni, G.; et al. The WISSH quasars project. IV. Broad line region versus kiloparsec-scale winds. Astron. Astrophys. 2018, 617, A81. [Google Scholar] [CrossRef]
- Netzer, H. On the profiles of the broad lines in the spectra of QSOs and Seyfert galaxies. Mon. Not. R. Astron. Soc. 1977, 181, 89–92. [Google Scholar] [CrossRef]
- Corbin, M.R. QSO Broad Emission Line Asymmetries: Evidence of Gravitational Redshift? Astrophys. J. 1995, 447, 496. [Google Scholar] [CrossRef]
- Punsly, B. The Redshifted Excess in Quasar C IV Broad Emission Lines. Astrophys. J. 2010, 713, 232–238. [Google Scholar] [CrossRef]
- Bon, N.; Bon, E.; Marziani, P.; Jovanović, P. Gravitational redshift of emission lines in the AGN spectra. Astrophys. Space Sci. 2015, 360, 7. [Google Scholar] [CrossRef]
- Mediavilla, E.; Jiménez-Vicente, J.; Fian, C.; Muñoz, J.A.; Falco, E.; Motta, V.; Guerras, E. Systematic Redshift of the Fe III UV Lines in Quasars: Measuring Supermassive Black Hole Masses under the Gravitational Redshift Hypothesis. Astrophys. J. 2018, 862, 104. [Google Scholar] [CrossRef]
- Mediavilla, E.; Jiménez-vicente, J.; Mejía-restrepo, J.; Motta, V.; Falco, E.; Muñoz, J.A.; Fian, C.; Guerras, E. Measuring Supermassive Black Hole Masses: Correlation between the Redshifts of the Fe III UV Lines and the Widths of Broad Emission Lines. Astrophys. J. 2019, 880, 96. [Google Scholar] [CrossRef]
- Sulentic, J.W.; Marziani, P.; del Olmo, A.; Dultzin, D.; Perea, J.; Alenka Negrete, C. GTC spectra of z ≈ 2.3 quasars: Comparison with local luminosity analogs. Astron. Astrophys. 2014, 570, A96. [Google Scholar] [CrossRef]
- Marziani, P.; Olmo, A.d.; Negrete, C.A.; Dultzin, D.; Piconcelli, E.; Vietri, G.; Martínez-Aldama, M.L.; D’Onofrio, M.; Bon, E.; Bon, N.; et al. The Intermediate-ionization Lines as Virial Broadening Estimators for Population A Quasars. Astrophys. J. 2022, 261, 30. [Google Scholar] [CrossRef]
- Panda, S. Parameterizing the AGN Radius–Luminosity Relation from the Eigenvector 1 Viewpoint. Front. Astron. Space Sci. 2022, 9, 850409. [Google Scholar] [CrossRef]
- Dalla Bontà, E.; Peterson, B.M.; Bentz, M.C.; Brandt, W.N.; Ciroi, S.; De Rosa, G.; Fonseca Alvarez, G.; Grier, C.J.; Hall, P.B.; Hernández Santisteban, J.V.; et al. The Sloan Digital Sky Survey Reverberation Mapping Project: Estimating Masses of Black Holes in Quasars with Single-epoch Spectroscopy. Astrophys. J. 2020, 903, 112. [Google Scholar] [CrossRef]
- Peterson, B.; Dalla Bontà, E. Reverberation Mapping and Implications for Narrow-Line Seyfert 1 Galaxies. In Revisiting Narrow-Line Seyfert 1 Galaxies and their Place in the Universe; Proceedings of Science (PoS, Trieste, Italy) 2018; Padova Botanical Garden: Padua, Italy, 2018; p. 8. [Google Scholar] [CrossRef]
- Véron-Cetty, M.P.; Véron, P.; Gonçalves, A.C. A spectrophotometric atlas of Narrow-Line Seyfert 1 galaxies. Astron. Astrophys. 2001, 372, 730–754. [Google Scholar] [CrossRef]
- Kollatschny, W.; Zetzl, M. Broad-line active galactic nuclei rotate faster than narrow-line ones. Nature 2011, 470, 366–368. [Google Scholar] [CrossRef]
- Kollatschny, W.; Zetzl, M. The shape of broad-line profiles in active galactic nuclei. Astron. Astrophys. 2013, 549, A100. [Google Scholar] [CrossRef]
- Mejía-Restrepo, J.E.; Lira, P.; Netzer, H.; Trakhtenbrot, B.; Capellupo, D.M. The effect of nuclear gas distribution on the mass determination of supermassive black holes. Nat. Astron. 2018, 2, 63–68. [Google Scholar] [CrossRef]
- Martínez-Aldama, M.L.; Zajaček, M.; Czerny, B.; Panda, S. Scatter Analysis along the Multidimensional Radius-Luminosity Relations for Reverberation-mapped Mg II Sources. Astrophys. J. 2020, 903, 86. [Google Scholar] [CrossRef]
- Du, P.; Wang, J.M.; Hu, C.; Ho, L.C.; Li, Y.R.; Bai, J.M. The Fundamental Plane of the Broad-line Region in Active Galactic Nuclei. Astrophys. J. 2016, 818, L14. [Google Scholar] [CrossRef]
- Huang, Y.K.; Hu, C.; Zhao, Y.L.; Zhang, Z.X.; Lu, K.X.; Wang, K.; Zhang, Y.; Du, P.; Li, Y.R.; Bai, J.M.; et al. Reverberation Mapping of the Narrow-line Seyfert 1 Galaxy I Zwicky 1: Black Hole Mass. Astrophys. J. 2019, 876, 102. [Google Scholar] [CrossRef]
- Collin, S.; Kawaguchi, T.; Peterson, B.M.; Vestergaard, M. Systematic effects in measurement of black hole masses by emission-line reverberation of active galactic nuclei: Eddington ratio and inclination. Astron. Astrophys. 2006, 456, 75–90. [Google Scholar] [CrossRef]
- Afanasiev, V.L.; Popović, L.Č.; Shapovalova, A.I. Spectropolarimetry of Seyfert 1 galaxies with equatorial scattering: Black hole masses and broad-line region characteristics. Mon. Not. R. Astron. Soc. 2019, 482, 4985–4999. [Google Scholar] [CrossRef]
- Capetti, A.; Laor, A.; Baldi, R.D.; Robinson, A.; Marconi, A. Spectropolarimetry of low redshift quasars: Origin of the polarization and implications for black hole mass estimates. Mon. Not. R. Astron. Soc. 2021, 502, 5086–5103. [Google Scholar] [CrossRef]
- Martinez-Aldama, M.L.; Del Olmo, A.; Marziani, P.; Sulentic, J.W.; Negrete, C.A.; Dultzin, D.; Perea, J.; D’Onofrio, M. Highly Accreting Quasars at High Redshift. Front. Astron. Space Sci. 2018, 4, 65. [Google Scholar] [CrossRef]
- Negrete, C.A.; Dultzin, D.; Marziani, P.; Esparza, D.; Sulentic, J.W.; del Olmo, A.; Martínez-Aldama, M.L.; García López, A.; D’Onofrio, M.; Bon, N.; et al. Highly accreting quasars: The SDSS low-redshift catalog. Astron. Astrophys. 2018, 620, A118. [Google Scholar] [CrossRef]
- Marziani, P.; Olmo, A.; Martínez-Aldama, M.; Dultzin, D.; Negrete, A.; Bon, E.; Bon, N.; D’Onofrio, M. Quasar Black Hole Mass Estimates from High-Ionization Lines: Breaking a Taboo? Atoms 2017, 5, 33. [Google Scholar] [CrossRef]
- Marziani, P. Highly Accreting Supermassive Black Holes as Eddington Standard Candles. Phys. Sci. Forum 2023, 7, 39. [Google Scholar] [CrossRef]
- Krawczyk, C.M.; Richards, G.T.; Mehta, S.S.; Vogeley, M.S.; Gallagher, S.C.; Leighly, K.M.; Ross, N.P.; Schneider, D.P. Mean Spectral Energy Distributions and Bolometric Corrections for Luminous Quasars. Astrophys. J. Suppl. 2013, 206, 4. [Google Scholar] [CrossRef]
- Duras, F.; Bongiorno, A.; Ricci, F.; Piconcelli, E.; Shankar, F.; Lusso, E.; Bianchi, S.; Fiore, F.; Maiolino, R.; Marconi, A.; et al. Universal bolometric corrections for active galactic nuclei over seven luminosity decades. A&A 2020, 636, A73. [Google Scholar] [CrossRef]
- Laurenti, M.; Piconcelli, E.; Zappacosta, L.; Tombesi, F.; Vignali, C.; Bianchi, S.; Marziani, P.; Vagnetti, F.; Bongiorno, A.; Bischetti, M.; et al. X-ray spectroscopic survey of highly accreting AGN. Astron. Astrophys. 2022, 657, A57. [Google Scholar] [CrossRef]
- Marziani, P.; Floris, A.; Deconto-Machado, A.; Panda, S.; Sniegowska, M.; Garnica, K.; Dultzin, D.; D’Onofrio, M.; Del Olmo, A.; Bon, E.; et al. From Sub-Solar to Super-Solar Chemical Abundances along the Quasar Main Sequence. Physics 2024, 6, 216. [Google Scholar] [CrossRef]
- Yu, L.M.; Bian, W.H.; Wang, C.; Zhao, B.X.; Ge, X. Calibration of the virial factor f in supermassive black hole masses of reverberation-mapped AGNs. Mon. Not. R. Astron. Soc. 2019, 488, 1519–1534. [Google Scholar] [CrossRef]
- Yu, L.M.; Bian, W.H.; Zhang, X.G.; Zhao, B.X.; Wang, C.; Ge, X.; Zhu, B.Q.; Chen, Y.Q. The Supermassive Black Hole Masses of Reverberation-mapped Active Galactic Nuclei. Astrophys. J. 2020, 901, 133. [Google Scholar] [CrossRef]
- Marziani, P.; Sulentic, J.W.; Plauchu-Frayn, I.; del Olmo, A. Low-Ionization Outflows in High Eddington Ratio Quasars. Astrophys. J. 2013, 764, 150. [Google Scholar] [CrossRef]
- Urry, C.M.; Padovani, P. Unified Schemes for Radio-Loud Active Galactic Nuclei. Publ. Astron. Soc. Pac. 1995, 107, 803. [Google Scholar] [CrossRef]
- Antonucci, R. Unified models for active galactic nuclei and quasars. Annu. Rev. Astron. Astrophys. 1993, 31, 473–521. [Google Scholar] [CrossRef]
- Negrete, C.A.; Dultzin, D.; Marziani, P.; Sulentic, J.W. Reverberation and Photoionization Estimates of the Broad-line Region Radius in Low-z Quasars. Astrophys. J. 2013, 771, 31. [Google Scholar] [CrossRef]
- Kaspi, S.; Brandt, W.N.; Maoz, D.; Netzer, H.; Schneider, D.P.; Shemmer, O.; Grier, C.J. Taking a Long Look: A Two-decade Reverberation Mapping Study of High-luminosity Quasars. Astrophys. J. 2021, 915, 129. [Google Scholar] [CrossRef]
- Shen, Y.; Grier, C.J.; Horne, K.; Stone, Z.; Li, J.I.; Yang, Q.; Homayouni, Y.; Trump, J.R.; Anderson, S.F.; Brandt, W.N.; et al. The Sloan Digital Sky Survey Reverberation Mapping Project: Key Results. arXiv 2023, arXiv:2305.01014. [Google Scholar] [CrossRef]
- Laor, A. Evidence for Line Broadening by Electron Scattering in the Broad-Line Region of NGC 4395. Astrophys. J. 2006, 643, 112–119. [Google Scholar] [CrossRef]
- D’Onofrio, M.; Chiosi, C. A tomography of the log(〈I⟩e) − log(Re) plane. arXiv 2020, arXiv:2011.07315. [Google Scholar]
- Drescher, A.; Fabricius, M.; Shimizu, T.; Woillez, J.; Bourget, P.; Widmann, F.; Shangguan, J.; Straubmeier, C.; Horrobin, M.; Schuhler, N.; et al. GRAVITY+ Wide: Towards hundreds of z 2 AGN. In Optical and Infrared Interferometry and Imaging VIII, Proceedings of the Society of Photo-Optical Instrumentation Engineers (SPIE) Conference; Mérand, A., Sallum, S., Sanchez-Bermudez, J., Eds.; SPIE: Bellingham, WA, USA, 2022; Volume 12183, p. 121830T. [Google Scholar] [CrossRef]
- GRAVITY Collaboration; Amorim, A.; Bourdarot, G.; Brandner, W.; Cao, Y.; Clénet, Y.; Davies, R.; de Zeeuw, P.T.; Dexter, J.; Drescher, A.; et al. The size-luminosity relation of local active galactic nuclei from interferometric observations of the broad-line region. arXiv 2024, arXiv:2401.07676. [Google Scholar] [CrossRef]
- D’Onofrio, M.; Marziani, P. A multimessenger view of galaxies and quasars from now to mid-century. Front. Astron. Space Sci. 2018, 5, 31. [Google Scholar] [CrossRef]
- Marziani, P.; Sulentic, J.W. Quasars and their emission lines as cosmological probes. Adv. Space Res. 2014, 54, 1331–1340. [Google Scholar] [CrossRef]
- Tully, R.B.; Fisher, J.R. Reprint of 1977A&A...54..661T. A new method of determining distance to galaxies. Astron. Astrophys. 1977, 500, 105–117. [Google Scholar]
- McGaugh, S.S.; Schombert, J.M.; Bothun, G.D.; de Blok, W.J.G. The Baryonic Tully-Fisher Relation. Astrophys. J. 2000, 533, L99–L102. [Google Scholar] [CrossRef]
- Sulentic, J.W.; Bachev, R.; Marziani, P.; Negrete, C.A.; Dultzin, D. C IV λ1549 as an Eigenvector 1 Parameter for Active Galactic Nuclei. Astrophys. J. 2007, 666, 757–777. [Google Scholar] [CrossRef]
- Richards, G.T.; Kruczek, N.E.; Gallagher, S.C.; Hall, P.B.; Hewett, P.C.; Leighly, K.M.; Deo, R.P.; Kratzer, R.M.; Shen, Y. Unification of Luminous Type 1 Quasars through C IV Emission. Astron. J. 2011, 141, 167. [Google Scholar] [CrossRef]
- Zamanov, R.; Marziani, P.; Sulentic, J.W.; Calvani, M.; Dultzin-Hacyan, D.; Bachev, R. Kinematic Linkage between the Broad- and Narrow-Line-emitting Gas in Active Galactic Nuclei. Astrophys. J. 2002, 576, L9–L13. [Google Scholar] [CrossRef]
- Zhang, K.; Dong, X.B.; Wang, T.G.; Gaskell, C.M. The Blueshifting and Baldwin Effects for the [O III] λ5007 Emission Line in Type 1 Active Galactic Nuclei. Astrophys. J. 2011, 737, 71. [Google Scholar] [CrossRef]
- Concas, A.; Popesso, P.; Brusa, M.; Mainieri, V.; Erfanianfar, G.; Morselli, L. Light breeze in the local Universe. Astron. Astrophys. 2017, 606, A36. [Google Scholar] [CrossRef]
- Zhang, X.G. Evidence for obscured broad [O III] components in Type-2 AGN. Mon. Not. R. Astron. Soc. 2021, 502, 2508–2512. [Google Scholar] [CrossRef]
- Kriss, G. Fitting Models to UV and Optical Spectral Data. Astron. Data Anal. Softw. Syst. III A.S.P. Conf. Ser. 1994, 61, 437. [Google Scholar]
- Tody, D. IRAF in the Nineties. In Astronomical Data Analysis Software and Systems II, Proceedings of the Astronomical Society of the Pacific Conference, San Diego, CA, USA, 13–15 July 1993; Hanisch, R.J., Brissenden, R.J.V., Barnes, J., Eds.; Astronomical Society of the Pacific: San Francisco, CA, USA, 1993; Volume 52, p. 173. [Google Scholar]
- Marziani, P.; Sulentic, J.W.; Negrete, C.A.; Dultzin, D.; Zamfir, S.; Bachev, R. Broad-line region physical conditions along the quasar eigenvector 1 sequence. Mon. Not. R. Astron. Soc. 2010, 409, 1033–1048. [Google Scholar] [CrossRef]
- Sulentic, J.W.; Marziani, P.; Zamfir, S.; Meadows, Z.A. No Evidence for a Systematic Fe II Emission Line Redshift in Type 1 Active Galactic Nuclei. Astrophys. J. 2012, 752, L7. [Google Scholar] [CrossRef]
- Azzalini, A.; Regoli, G. Some properties of skew-symmetric distributions. Ann. Inst. Statist. Math. 2012, 64, 857–879. [Google Scholar] [CrossRef]















| 2.86 | ±0.17 | 3.98 | ±0.34 | 0.29 | |
| 4.24 | ±0.26 | 0.85 | ±0.60 | 0.29 | |
| − L | |||||
|---|---|---|---|---|---|
| 3.0 | 1.0 | −2.50 | 0.43 | 0.33 | 10.00 |
| 2.0 | - | - | 0.33 | - | 4.00 |
| 1.0 | −3.00 | 7.50 | 0.20 | −1.00 | −6.00 |
| 0.5 | −2.33 | 5.83 | 0.11 | −3.00 | −3.33 |
| −0.5 | −1.80 | 4.50 | −0.14 | 5.00 | −1.19 |
| −1.0 | −1.66 | 4.16 | −0.33 | 3.00 | −0.66 |
| −1.5 | −1.57 | 3.92 | −0.66 | 2.33 | −0.28 |
| −2.0 | −1.50 | 3.75 | −1.00 | 2.00 | 0.00 |
| −2.5 | −1.44 | 3.16 | −1.66 | 1.79 | 0.22 |
| −3.0 | −1.40 | 3.50 | −3.00 | 1.66 | 0.40 |
| −3.5 | −1.36 | 3.41 | −7.00 | 1.57 | 0.54 |
| −4.0 | −1.33 | 3.33 | 0.00 | 1.50 | 0.66 |
| −4.5 | −1.30 | 3.26 | 9.00 | 1.44 | 0.77 |
| −5.0 | −1.28 | 3.21 | 5.00 | 1.40 | 0.86 |
| −8.0 | −1.20 | 3.00 | 0.50 | 1.25 | 1.20 |
| −11.0 | −1.15 | 2.88 | 1.57 | 1.18 | 1.38 |
| −25.0 | −1.07 | 2.68 | 1.19 | 1.08 | 1.70 |
| −50.0 | −1.03 | 2.59 | 1.08 | 1.04 | 1.85 |
| −100.0 | −1.01 | 2.55 | 1.04 | 1.02 | 1.92 |
| −1000.0 | −1.00 | 2.50 | 1.00 | 1.00 | 1.99 |
| −10,000.0 | −1.00 | 2.50 | 1.00 | 1.00 | 2.00 |
Disclaimer/Publisher’s Note: The statements, opinions and data contained in all publications are solely those of the individual author(s) and contributor(s) and not of MDPI and/or the editor(s). MDPI and/or the editor(s) disclaim responsibility for any injury to people or property resulting from any ideas, methods, instructions or products referred to in the content. |
© 2024 by the authors. Licensee MDPI, Basel, Switzerland. This article is an open access article distributed under the terms and conditions of the Creative Commons Attribution (CC BY) license (https://creativecommons.org/licenses/by/4.0/).
Share and Cite
D’Onofrio, M.; Marziani, P.; Chiosi, C.; Negrete, C.A. The Correlation Luminosity-Velocity Dispersion of Galaxies and Active Galactic Nuclei. Universe 2024, 10, 254. https://doi.org/10.3390/universe10060254
D’Onofrio M, Marziani P, Chiosi C, Negrete CA. The Correlation Luminosity-Velocity Dispersion of Galaxies and Active Galactic Nuclei. Universe. 2024; 10(6):254. https://doi.org/10.3390/universe10060254
Chicago/Turabian StyleD’Onofrio, Mauro, Paola Marziani, Cesare Chiosi, and Castalia Alenka Negrete. 2024. "The Correlation Luminosity-Velocity Dispersion of Galaxies and Active Galactic Nuclei" Universe 10, no. 6: 254. https://doi.org/10.3390/universe10060254
APA StyleD’Onofrio, M., Marziani, P., Chiosi, C., & Negrete, C. A. (2024). The Correlation Luminosity-Velocity Dispersion of Galaxies and Active Galactic Nuclei. Universe, 10(6), 254. https://doi.org/10.3390/universe10060254

