Thermodynamics and Phase Transitions of Dyonic AdS Black Holes in Gauss-Bonnet-Scalar Gravity
Abstract
1. Introduction
2. Review of the Dyonic BHs
3. Thermodynamics of the Dyonic BHs
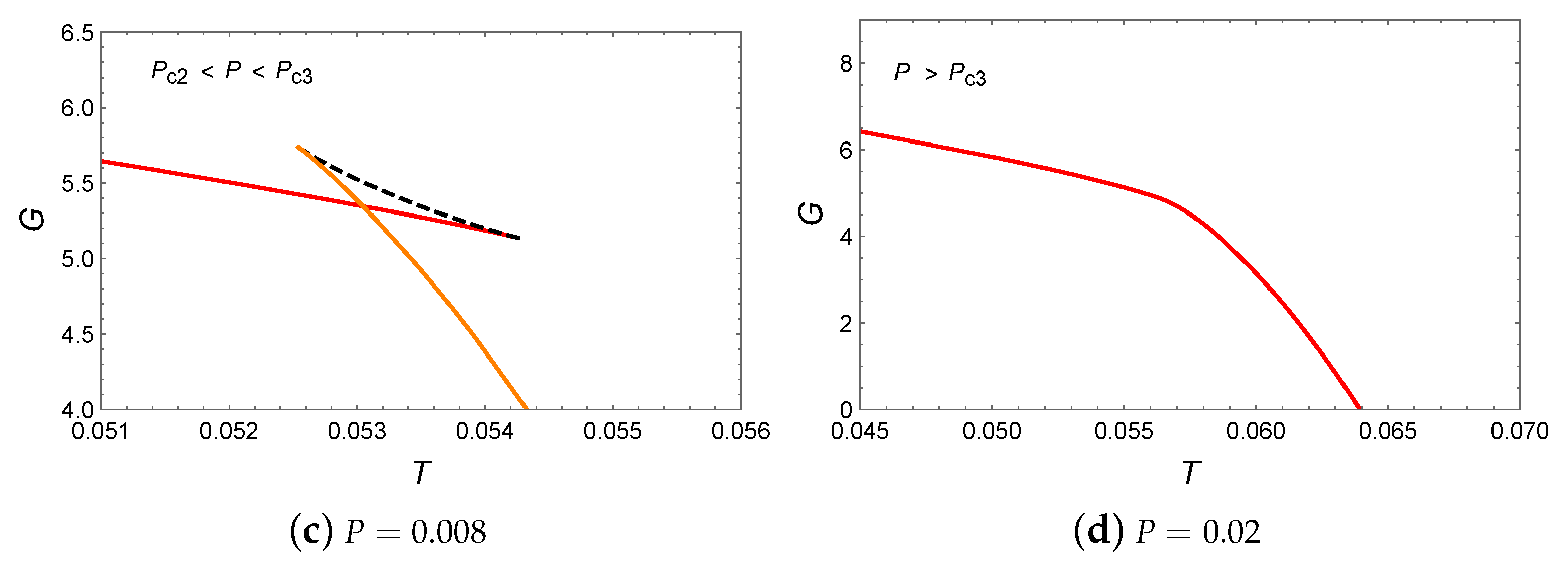
4. Phase Transitions and Phase Diagrams of the Dyonic BHs
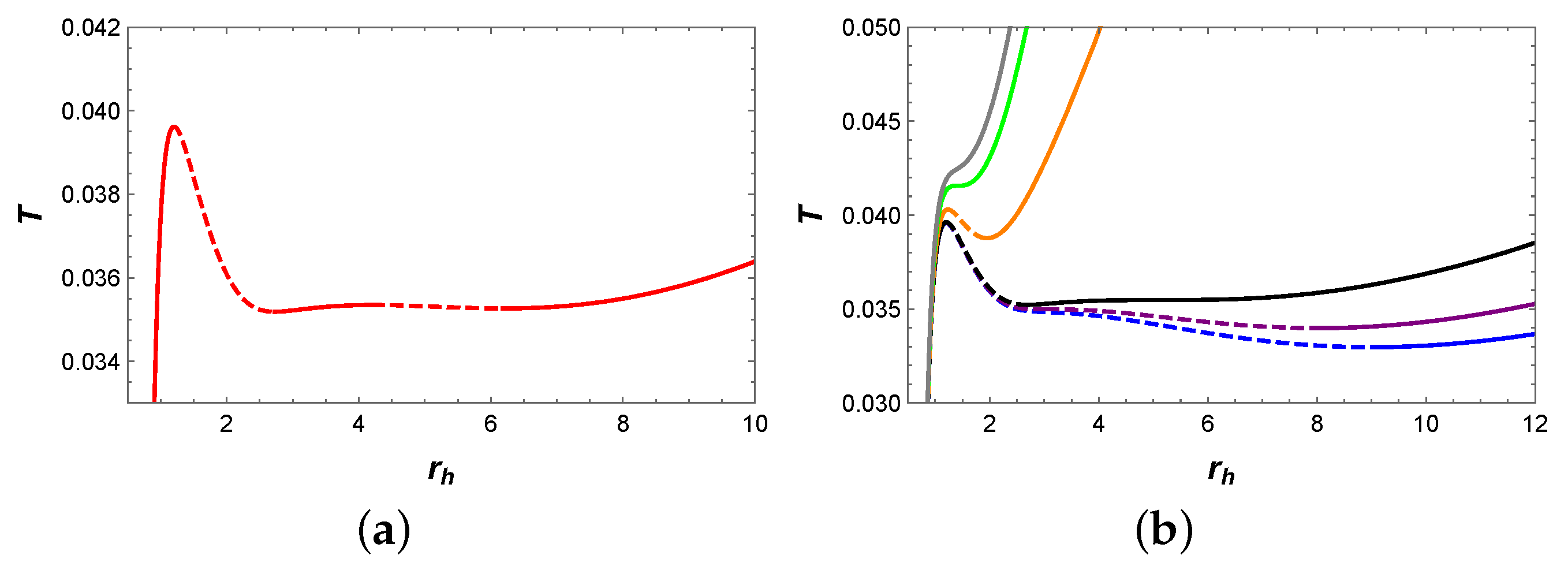
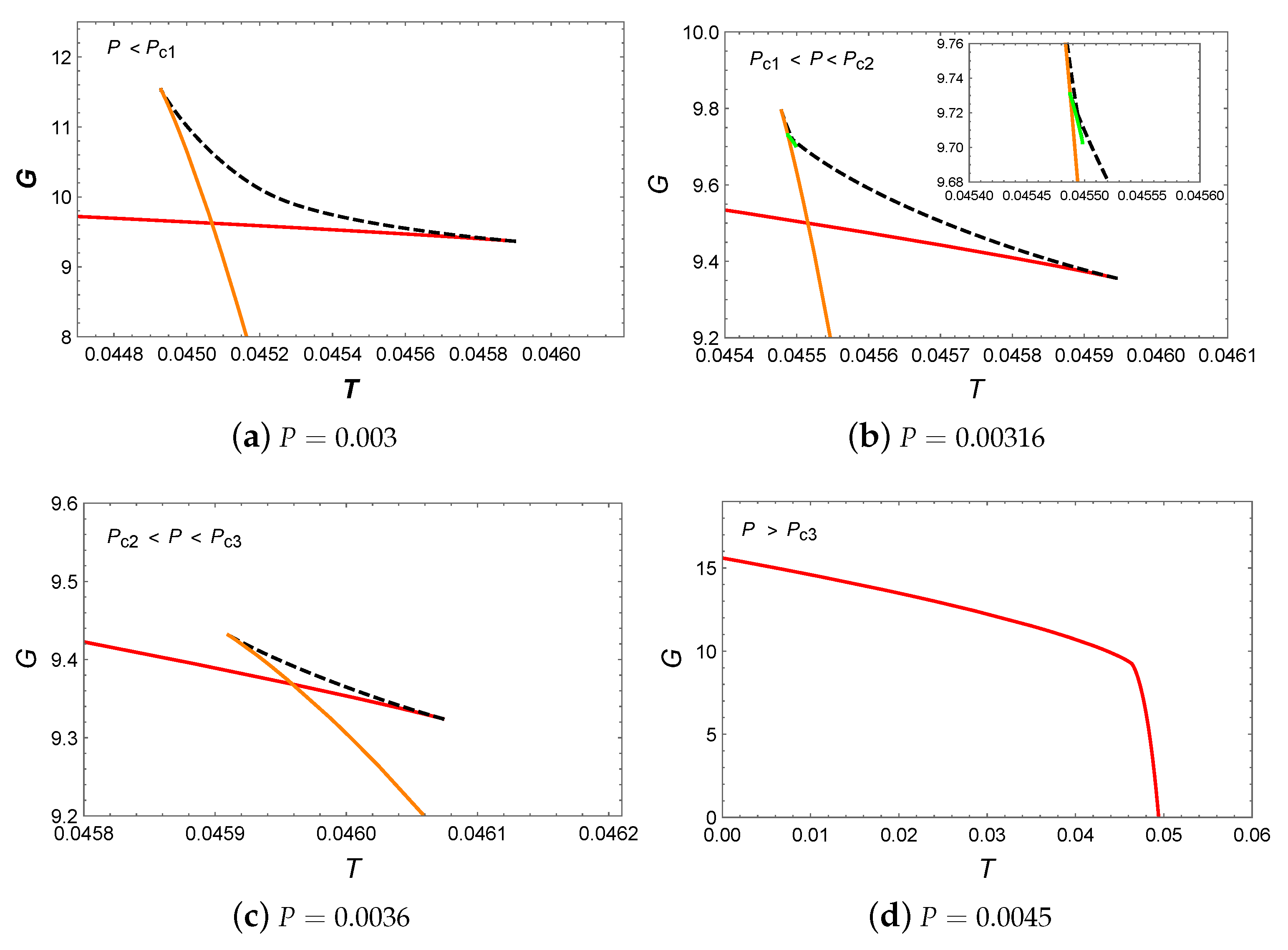
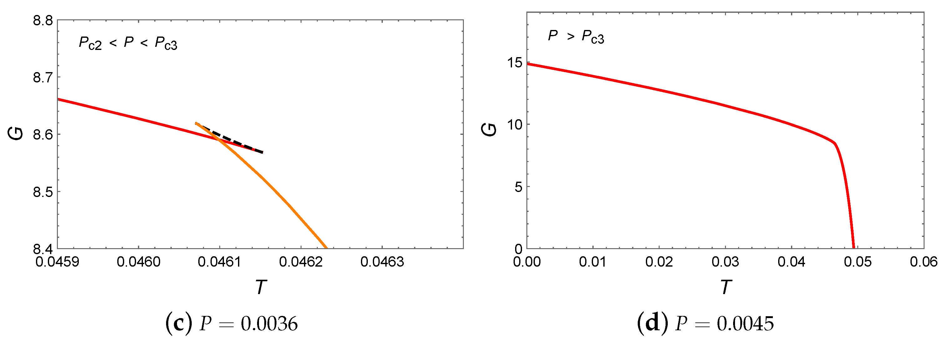
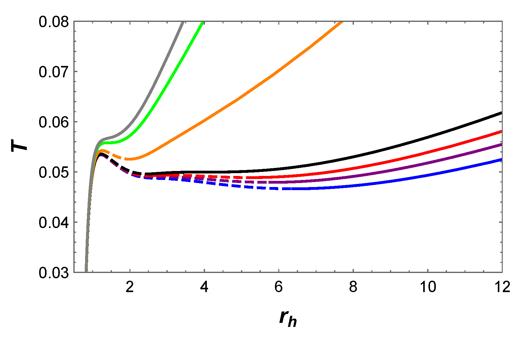
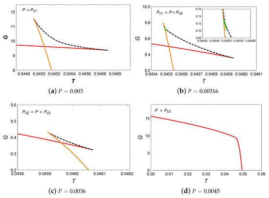
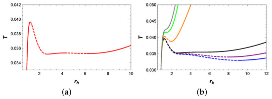
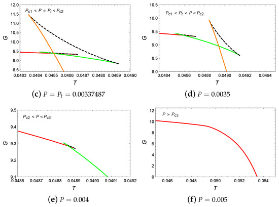
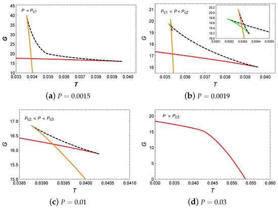
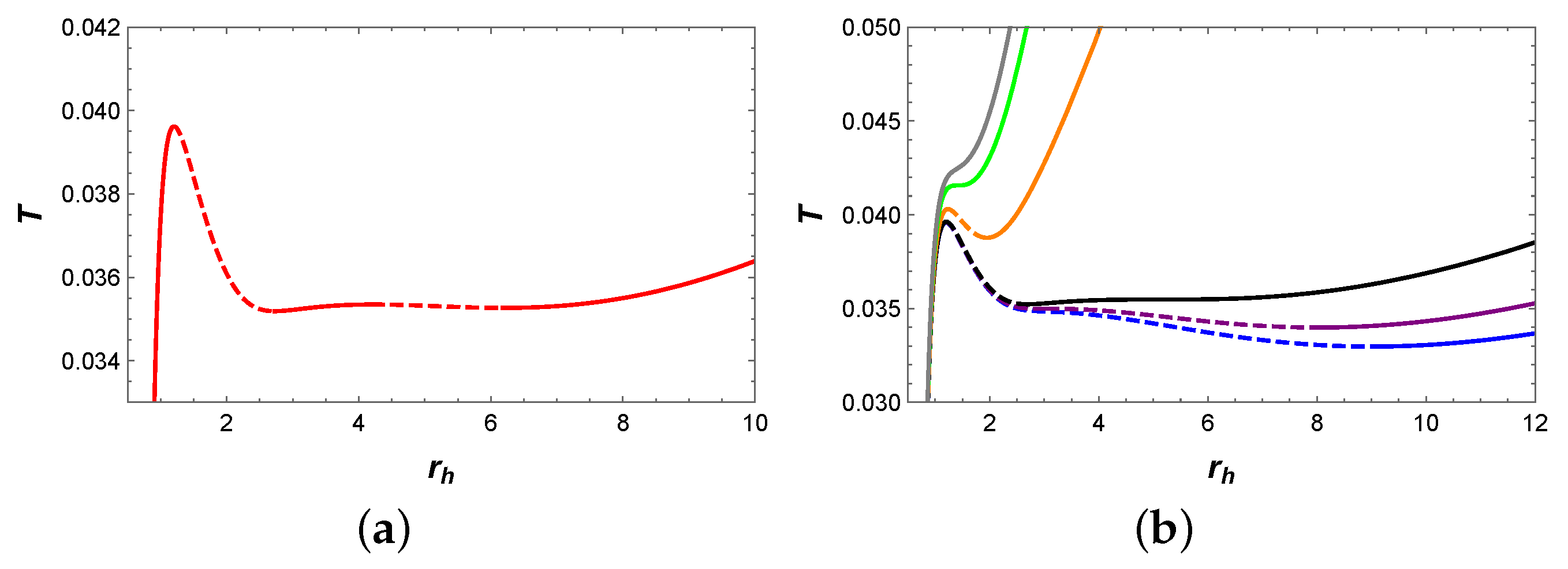
4.1. Phase Transitions by Fixing H and While Varying
4.1.1.
4.1.2.
4.1.3.
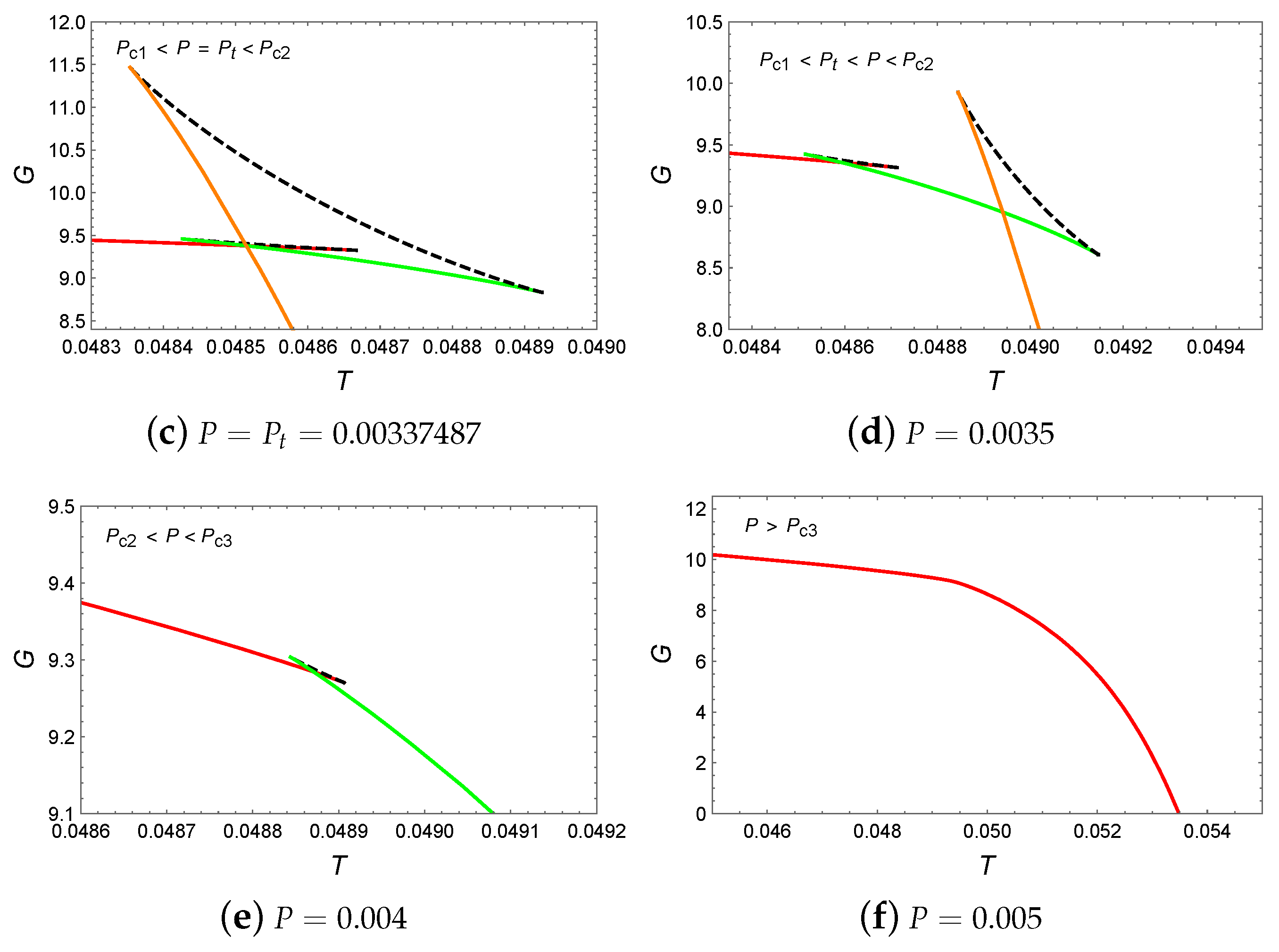
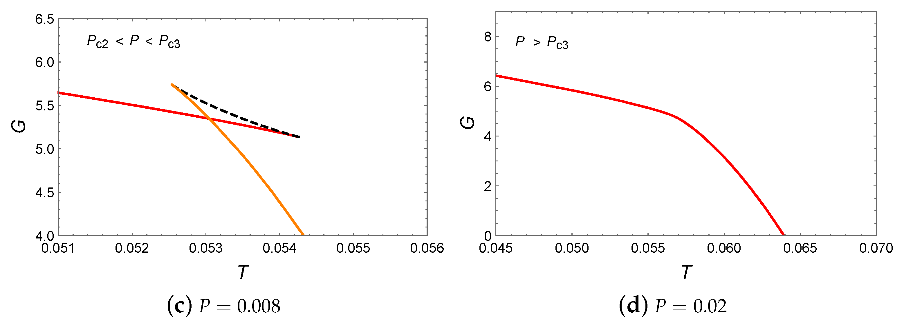
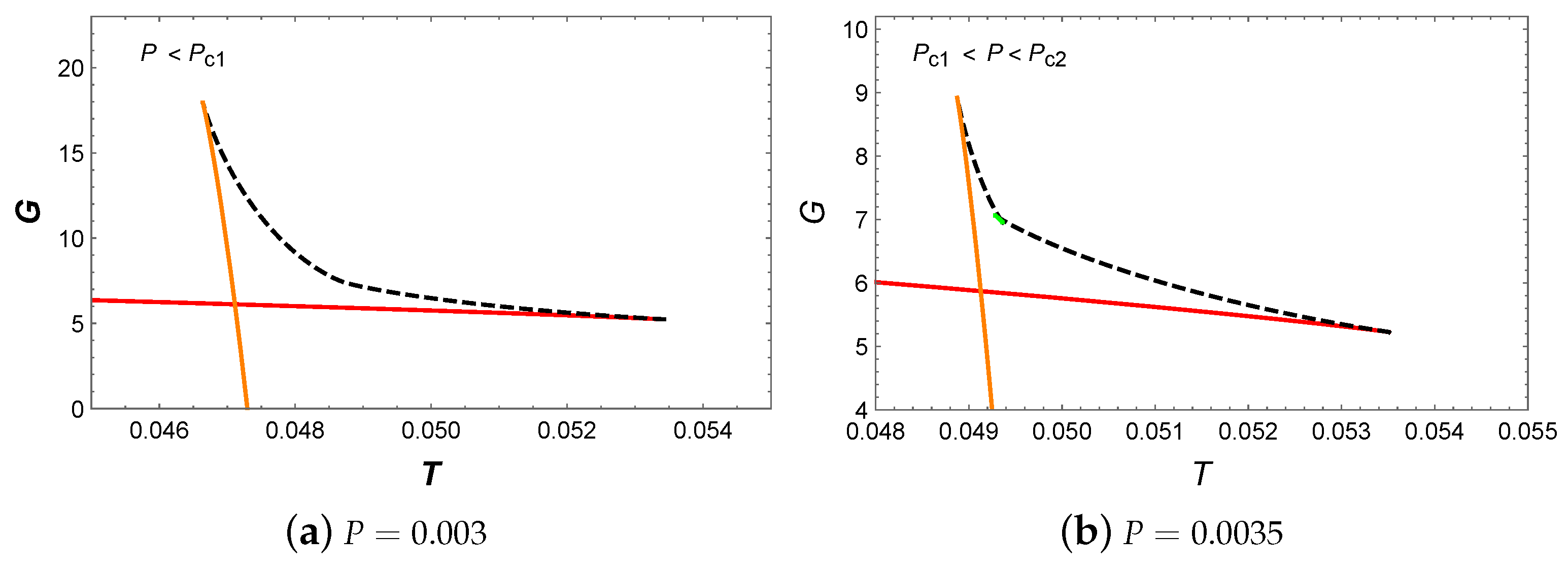
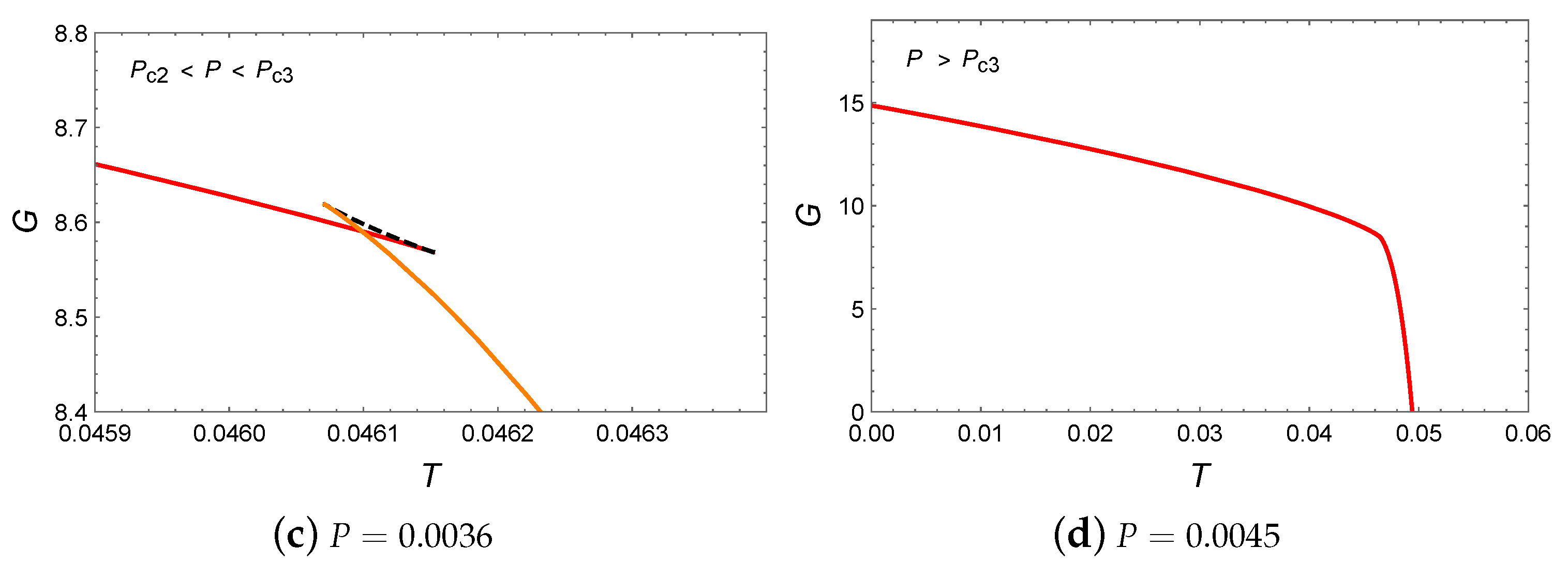
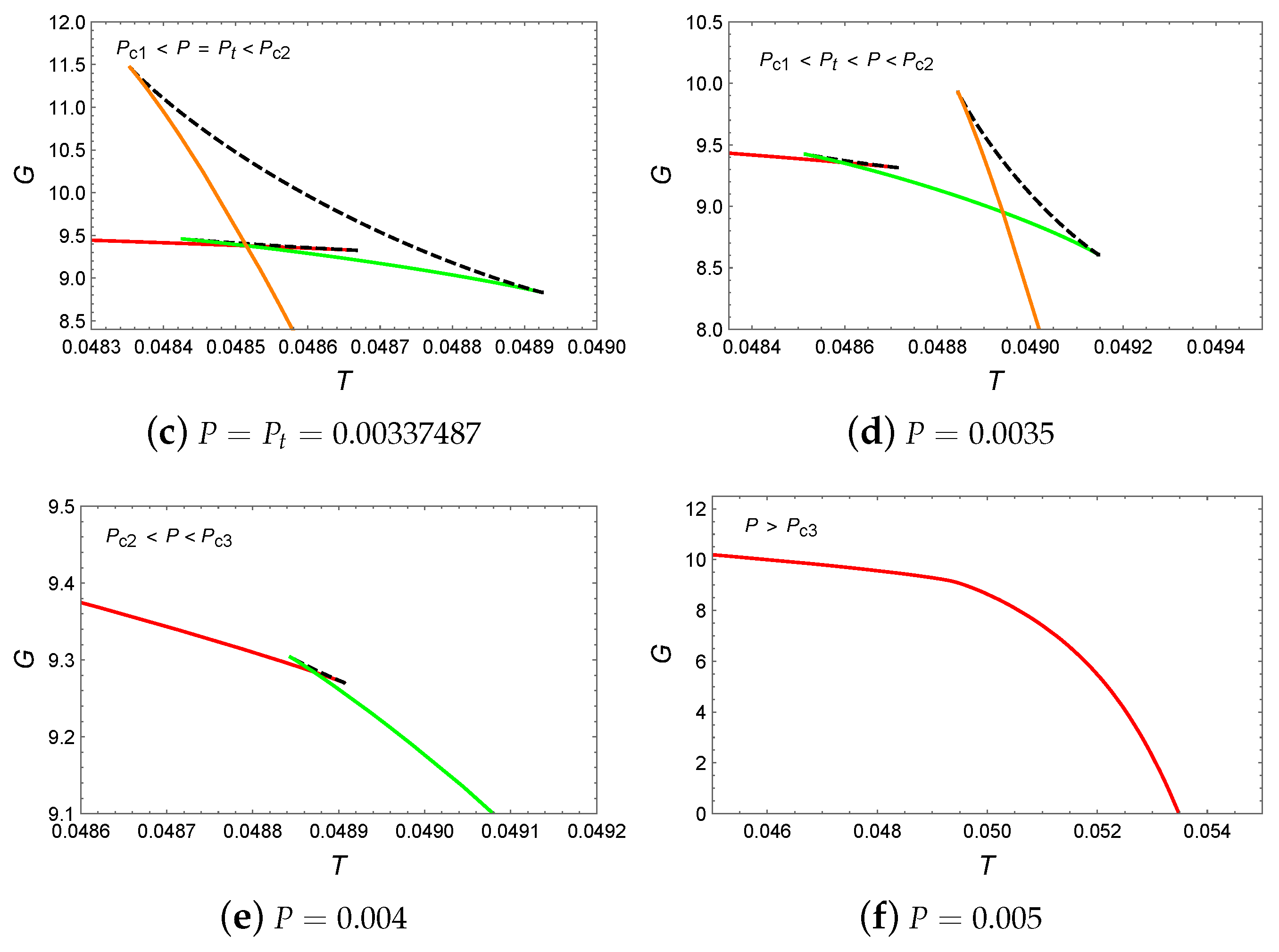
4.2. Phase Transitions by Fixing H and While Varying
4.2.1.
4.2.2.
4.2.3.
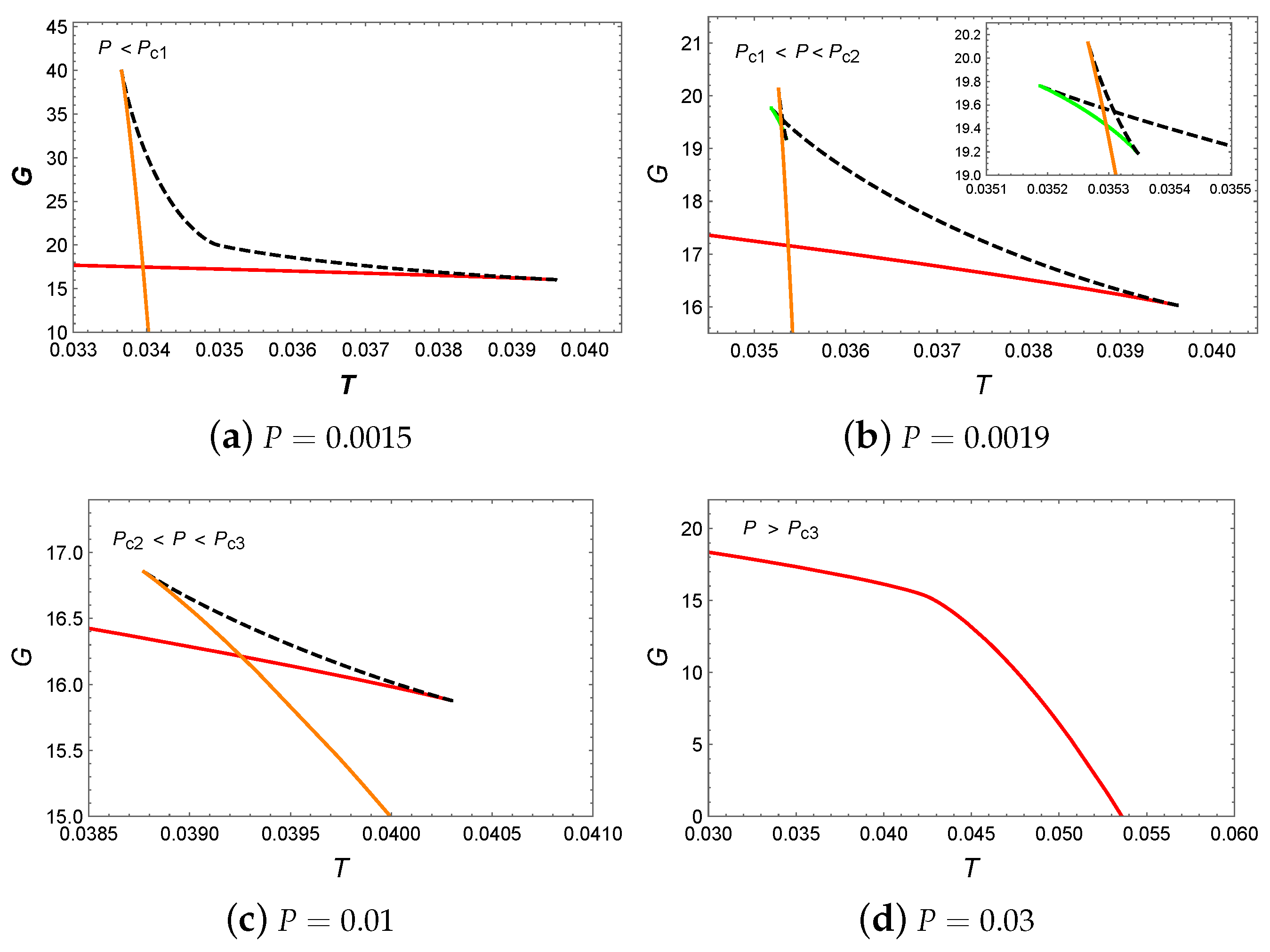
4.3. Phase Transitions by Fixing and While Varying H
4.3.1.
4.3.2.
5. Critical Exponents
- (1)
- Exponent determines the behavior of the specific heat at constant volume,
- (2)
- Exponent describes the behavior of the order parameter (the difference between the volumes of the coexisting large and small BHs) on a given isotherm
- (3)
- Exponent governs the behavior of the isothermal compressibility
- (4)
- Exponent reflected the following behavior on the critical isotherm
6. Conclusions and Discussion
Author Contributions
Funding
Data Availability Statement
Conflicts of Interest
| 1 | As we would like to study the thermodynamics and phase transitions of BHs in the extended phase space, we will focus only on the spherical case () in this paper. |
| 2 | Based on a detailed study, we find that the rich phase transitions, such as the triple point, only appear in six dimensions while absent in other dimensions. |
References
- Bardeen, J.M.; Carter, B.; Hawking, S.W. The Four laws of black hole mechanics. Commun. Math. Phys. 1973, 31, 161. [Google Scholar] [CrossRef]
- Bekenstein, J.D. Black holes and entropy. Phys. Rev. D 1973, 7, 2333. [Google Scholar] [CrossRef]
- Hawking, S.W. Particle Creation by Black Holes. Commun. Math. Phys. 1975, 43, 199, Erratum in Commun. Math. Phys. 1976, 46, 206. [Google Scholar] [CrossRef]
- Hawking, S.W.; Page, D.N. Thermodynamics of Black Holes in anti-De Sitter Space. Commun. Math. Phys. 1983, 87, 577. [Google Scholar] [CrossRef]
- Maldacena, J.M. The Large N limit of superconformal field theories and supergravity. Adv. Theor. Math. Phys. 1998, 2, 231. [Google Scholar] [CrossRef]
- Gubser, S.S.; Klebanov, I.R.; Polyakov, A.M. Gauge theory correlators from noncritical string theory. Phys. Lett. B 1998, 428, 105. [Google Scholar] [CrossRef]
- Witten, E. Anti-de Sitter space and holography. Adv. Theor. Math. Phys. 1998, 2, 253. [Google Scholar] [CrossRef]
- Witten, E. Anti-de Sitter space, thermal phase transition, and confinement in gauge theories. Adv. Theor. Math. Phys. 1998, 2, 505. [Google Scholar] [CrossRef]
- Chamblin, A.; Emparan, R.; Johnson, C.V.; Myers, R.C. Charged AdS black holes and catastrophic holography. Phys. Rev. D 1999, 60, 064018. [Google Scholar] [CrossRef]
- Chamblin, A.; Emparan, R.; Johnson, C.V.; Myers, R.C. Holography, thermodynamics and fluctuations of charged AdS black holes. Phys. Rev. D 1999, 60, 104026. [Google Scholar] [CrossRef]
- Surya, S.; Schleich, K.; Witt, D.M. Phase transitions for flat AdS black holes. Phys. Rev. Lett. 2001, 86, 5231. [Google Scholar] [CrossRef]
- Cho, Y.M.; Neupane, I.P. Anti-de Sitter black holes, thermal phase transition and holography in higher curvature gravity. Phys. Rev. D 2002, 66, 024044. [Google Scholar] [CrossRef]
- Shen, J.; Wang, B.; Lin, C.Y.; Cai, R.G.; Su, R.K. The phase transition and the Quasi-Normal Modes of black Holes. JHEP 2007, 7, 037. [Google Scholar] [CrossRef]
- Cai, R.G.; Kim, S.P.; Wang, B. Ricci flat black holes and Hawking-Page phase transition in Gauss-Bonnet gravity and dilaton gravity. Phys. Rev. D 2007, 76, 024011. [Google Scholar] [CrossRef]
- Kastor, D.; Ray, S.; Traschen, J. Enthalpy and the Mechanics of AdS Black Holes. Class. Quant. Grav. 2009, 26, 195011. [Google Scholar] [CrossRef]
- Dolan, B.P. Pressure and volume in the first law of black hole thermodynamics. Class. Quant. Grav. 2011, 28, 235017. [Google Scholar] [CrossRef]
- Cvetic, M.; Gibbons, G.W.; Kubiznak, D.; Pope, C.N. Black Hole Enthalpy and an Entropy Inequality for the Thermodynamic Volume. Phys. Rev. D 2011, 84, 024037. [Google Scholar] [CrossRef]
- Dolan, B.P.; Kastor, D.; Kubiznak, D.; Mann, R.B.; Traschen, J. Thermodynamic Volumes and Isoperimetric Inequalities for de Sitter Black Holes. Phys. Rev. D 2013, 87, 104017. [Google Scholar] [CrossRef]
- Kastor, D.; Ray, S.; Traschen, J. Smarr Formula and an Extended First Law for Lovelock Gravity. Class. Quant. Grav. 2010, 27, 235014. [Google Scholar] [CrossRef]
- Castro, A.; Dehmami, N.; Giribet, G.; Kastor, D. On the Universality of Inner Black Hole Mechanics and Higher Curvature Gravity. JHEP 2013, 7, 164. [Google Scholar] [CrossRef]
- El-Menoufi, B.M.; Ett, B.; Kastor, D.; Traschen, J. Gravitational Tension and Thermodynamics of Planar AdS Spacetimes. Class. Quant. Grav. 2013, 30, 155003. [Google Scholar] [CrossRef]
- Kubizňák, D.; Mann, R.B. P-V criticality of charged AdS black holes. JHEP 2012, 7, 33. [Google Scholar] [CrossRef]
- Gunasekaran, S.; Mann, R.B.; Kubiznak, D. Extended phase space thermodynamics for charged and rotating black holes and Born-Infeld vacuum polarization. JHEP 2012, 11, 110. [Google Scholar] [CrossRef]
- Chen, S.; Liu, X.; Liu, C.; Jing, J. P-V criticality of AdS black hole in f(R) gravity. Chin. Phys. Lett. 2013, 30, 060401. [Google Scholar] [CrossRef]
- Cai, R.G.; Cao, L.M.; Li, L.; Yang, R.Q. P-V criticality in the extended phase space of Gauss-Bonnet black holes in AdS space. JHEP 2013, 09, 005. [Google Scholar] [CrossRef]
- Mo, J.X.; Liu, W.B. Ehrenfest scheme for P-V criticality of higher dimensional charged black holes, rotating black holes and Gauss-Bonnet AdS black holes. Phys. Rev. D 2014, 89, 084057. [Google Scholar] [CrossRef]
- Zou, D.C.; Liu, Y.; Wang, B. Critical behavior of charged Gauss-Bonnet AdS black holes in the grand canonical ensemble. Phys. Rev. D 2014, 90, 044063. [Google Scholar] [CrossRef]
- Wei, S.W.; Liu, Y.X. Insight into the Microscopic Structure of an AdS Black Hole from a Thermodynamical Phase Transition. Phys. Rev. Lett. 2015, 115, 111302, Erratum in: Phys. Rev. Lett. 2016, 116, 169903. [Google Scholar] [CrossRef]
- Altamirano, N.; Kubiznak, D.; Mann, R.B. Reentrant phase transitions in rotating anti–de Sitter black holes. Phys. Rev. D 2013, 88, 101502. [Google Scholar] [CrossRef]
- Altamirano, N.; Kubizňák, D.; Mann, R.B.; Sherkatghanad, Z. Kerr-AdS analogue of triple point and solid/liquid/gas phase transition. Class. Quant. Grav. 2014, 31, 042001. [Google Scholar] [CrossRef]
- Wei, S.W.; Liu, Y.X. Triple points and phase diagrams in the extended phase space of charged Gauss-Bonnet black holes in AdS space. Phys. Rev. D 2014, 90, 044057. [Google Scholar] [CrossRef]
- Frassino, A.M.; Kubiznak, D.; Mann, R.B.; Simovic, F. Multiple Reentrant Phase Transitions and Triple Points in Lovelock Thermodynamics. JHEP 2014, 9, 80. [Google Scholar] [CrossRef]
- Zhang, M.; Zou, D.C.; Yue, R.H. Reentrant phase transitions and triple points of topological AdS black holes in Born-Infeld-massive gravity. Adv. High Energy Phys. 2017, 2017, 3819246. [Google Scholar] [CrossRef]
- Dehyadegari, A.; Sheykhi, A. Reentrant phase transition of Born-Infeld-AdS black holes. Phys. Rev. D 2018, 98, 024011. [Google Scholar] [CrossRef]
- Dehghani, A.; Hendi, S.H.; Mann, R.B. Range of novel black hole phase transitions via massive gravity: Triple points and N-fold reentrant phase transitions. Phys. Rev. D 2020, 101, 084026. [Google Scholar] [CrossRef]
- Zhang, C.M.; Zou, D.C.; Zhang, M. Triple points and phase diagrams of Born-Infeld AdS black holes in 4D Einstein-Gauss-Bonnet gravity. Phys. Lett. B 2020, 811, 135955. [Google Scholar] [CrossRef]
- Cui, Y.Z.; Xu, W.; Zhu, B. Hawking-Page transition with reentrance and triple point in Gauss-Bonnet gravity. Phys. Rev. D 2023, 107, 044048. [Google Scholar] [CrossRef]
- Wei, S.W.; Liu, Y.X. The microstructure and Ruppeiner geometry of charged anti-de Sitter black holes in Gauss–Bonnet gravity: From the critical point to the triple point. Commun. Theor. Phys. 2022, 74, 095402. [Google Scholar] [CrossRef]
- Liu, Y.P.; Cao, H.M.; Xu, W. Reentrant phase transition with a single critical point of the Hayward-AdS black hole. Gen. Rel. Grav. 2022, 54, 5. [Google Scholar] [CrossRef]
- Qu, Y.; Tao, J.; Yang, H. Thermodynamics and phase transition in central charge criticality of charged Gauss-Bonnet AdS black holes. Nucl. Phys. B 2023, 992, 116234. [Google Scholar] [CrossRef]
- Bai, N.C.; Song, L.; Tao, J. Reentrant phase transition in holographic thermodynamicsof Born-Infeld AdS black hole. Eur. Phys. J. C 2024, 84, 43. [Google Scholar] [CrossRef]
- Tavakoli, M.; Wu, J.; Mann, R.B. Multi-critical points in black hole phase transitions. JHEP 2022, 12, 117. [Google Scholar] [CrossRef]
- Wu, J.; Mann, R.B. Multicritical phase transitions in multiply rotating black holes. Class. Quant. Grav. 2023, 40, 06LT01. [Google Scholar] [CrossRef]
- Wu, J.; Mann, R.B. Multicritical phase transitions in Lovelock AdS black holes. Phys. Rev. D 2023, 107, 084035. [Google Scholar] [CrossRef]
- Lovelock, D. The Einstein tensor and its generalizations. J. Math. Phys. 1971, 12, 498–501. [Google Scholar] [CrossRef]
- Boulware, D.G.; Deser, S. String Generated Gravity Models. Phys. Rev. Lett. 1985, 55, 2656. [Google Scholar] [CrossRef]
- Cai, R.G. Gauss-Bonnet black holes in AdS spaces. Phys. Rev. D 2002, 65, 084014. [Google Scholar] [CrossRef]
- Singh, D.V.; Singh, B.K.; Upadhyay, S. 4D AdS Einstein–Gauss–Bonnet black hole with Yang–Mills field and its thermodynamics. Ann. Phys. 2021, 434, 168642. [Google Scholar] [CrossRef]
- Bai, N.C.; Li, L.; Tao, J. Topology of black hole thermodynamics in Lovelock gravity. Phys. Rev. D 2023, 107, 064015. [Google Scholar] [CrossRef]
- Singh, D.V.; Bhardwaj, V.K.; Upadhyay, S. Thermodynamic properties, thermal image and phase transition of Einstein-Gauss-Bonnet black hole coupled with nonlinear electrodynamics. Eur. Phys. J. Plus 2022, 137, 969. [Google Scholar] [CrossRef]
- Liu, H.S.; Mai, Z.F.; Li, Y.Z.; Lü, H. Quasi-topological Electromagnetism: Dark Energy, Dyonic Black Holes, Stable Photon Spheres and Hidden Electromagnetic Duality. Sci. China Phys. Mech. Astron. 2020, 63, 240411. [Google Scholar] [CrossRef]
- Cisterna, A.; Giribet, G.; Oliva, J.; Pallikaris, K. Quasitopological electromagnetism and black holes. Phys. Rev. D 2020, 101, 124041. [Google Scholar] [CrossRef]
- Lei, Y.Q.; Ge, X.H.; Ran, C. Chaos of particle motion near a black hole with quasitopological electromagnetism. Phys. Rev. D 2021, 104, 046020. [Google Scholar] [CrossRef]
- Cisterna, A.; Henríquez-Báez, C.; Mora, N.; Sanhueza, L. Quasitopological electromagnetism: Reissner-Nordström black strings in Einstein and Lovelock gravities. Phys. Rev. D 2021, 104, 064055. [Google Scholar] [CrossRef]
- Barrientos, J.; Mena, J. Joule-Thomson expansion of AdS black holes in quasitopological electromagnetism. Phys. Rev. D 2022, 106, 044064. [Google Scholar] [CrossRef]
- Sekhmani, Y.; Lekbich, H.; Boukili, A.E.; Sedra, M.B. D-dimensional dyonic AdS black holes with quasi-topological electromagnetism in Einstein Gauss–Bonnet gravity. Eur. Phys. J. C 2022, 82, 1087. [Google Scholar] [CrossRef]
- Li, M.D.; Wang, H.M.; Wei, S.W. Triple points and novel phase transitions of dyonic AdS black holes with quasitopological electromagnetism. Phys. Rev. D 2022, 105, 104048. [Google Scholar] [CrossRef]
- Mou, P.H.; Jiang, Q.Q.; He, K.J.; Li, G.P. Triple points and phase transitions of D-dimensional dyonic AdS black holes with quasitopological electromagnetism in Einstein-Gauss-Bonnet gravity. arXiv 2023, arXiv:2310.08010. [Google Scholar]
- Ali, A. Quasitopological electromagnetism, conformal scalar field and Lovelock black holes. Eur. Phys. J. C 2023, 83, 564. [Google Scholar] [CrossRef]
- Oliva, J.; Ray, S. Conformal couplings of a scalar field to higher curvature terms. Class. Quant. Grav. 2012, 29, 205008. [Google Scholar] [CrossRef]
- Giribet, G.; Leoni, M.; Oliva, J.; Ray, S. Hairy black holes sourced by a conformally coupled scalar field in D dimensions. Phys. Rev. D 2014, 89, 085040. [Google Scholar] [CrossRef]
- Giribet, G.; Goya, A.; Oliva, J. Different phases of hairy black holes in AdS5 space. Phys. Rev. D 2015, 91, 045031. [Google Scholar] [CrossRef]
- Galante, M.; Giribet, G.; Goya, A.; Oliva, J. Chemical potential driven phase transition of black holes in anti–de Sitter space. Phys. Rev. D 2015, 92, 104039. [Google Scholar] [CrossRef]
- Hennigar, R.A.; Tjoa, E.; Mann, R.B. Thermodynamics of hairy black holes in Lovelock gravity. JHEP 2017, 2, 70. [Google Scholar] [CrossRef]
- Dykaar, H.; Hennigar, R.A.; Mann, R.B. Hairy black holes in cubic quasi-topological gravity. JHEP 2017, 5, 45. [Google Scholar] [CrossRef]
- Chernicoff, M.; Fierro, O.; Giribet, G.; Oliva, J. Black holes in quasi-topological gravity and conformal couplings. JHEP 2017, 2, 10. [Google Scholar] [CrossRef]
- Kuang, X.M.; Miskovic, O. Thermal phase transitions of dimensionally continued AdS black holes. Phys. Rev. D 2017, 95, 046009. [Google Scholar] [CrossRef]
- Ali, A.; Saifullah, K. Magnetized topological black holes of dimensionally continued gravity. Phys. Rev. D 2019, 99, 124052. [Google Scholar] [CrossRef]
- Ali, A. Magnetized hairy black holes of dimensionally continued gravity coupled to double-logarithmic electrodynamics. Eur. Phys. J. Plus 2022, 137, 108. [Google Scholar] [CrossRef]
- Ahmed, M.B.; Cong, W.; Kubizňák, D.; Mann, R.B.; Visser, M.R. Holographic Dual of Extended Black Hole Thermodynamics. Phys. Rev. Lett. 2023, 130, 181401. [Google Scholar] [CrossRef]
- Ahmed, M.B.; Cong, W.; Kubiznak, D.; Mann, R.B.; Visser, M.R. Holographic CFT phase transitions and criticality for rotating AdS black holes. JHEP 2023, 8, 142. [Google Scholar] [CrossRef]

























| H | ||||||
|---|---|---|---|---|---|---|
| 0.01 | 1 | 0.01 | 1 | −0.0300092 | 4.73944 | −1.55851 |
| 0.01 | 5 | 0.01 | 1 | −0.0947391 | 22.7021 | −11.2639 |
| 0.01 | 5 | 0.01 | 1 | −0.0075045 | 5.13489 | −1.79055 |
| 0.01 | 10 | 0.01 | 1 | −0.1293810 | 14.1455 | −7.97322 |
| 0.01 | 10 | 0.01 | 1 | −0.0042004 | 6.25360 | −2.33512 |
| 0.01 | 6 | 0.01 | 1 | −0.1009740 | 22.4269 | −11.6441 |
| 0.01 | 6 | 0.01 | 1 | −0.0066289 | 5.42808 | −1.93255 |
| 0.01 | 6 | 0.1 | 1 | −0.0580844 | 27.1060 | −13.9027 |
| 0.01 | 6 | 0.1 | 1 | −0.0043064 | 5.73413 | −2.07767 |
| 0.01 | 6 | 5 | 1 | −0.0597647 | 28.6375 | −14.6833 |
| 0.01 | 6 | 5 | 1 | −0.0028678 | 6.79827 | −2.60357 |
| 0.1 | 5 | 0.01 | 1 | −0.0902457 | 21.6797 | −10.8256 |
| 0.1 | 5 | 0.01 | 1 | −0.0074550 | 5.15617 | −1.80103 |
| 1 | 5 | 0.01 | 1 | −0.1120780 | 14.0584 | −7.47423 |
| 1 | 5 | 0.01 | 1 | −0.0068363 | 5.41632 | −1.9295 |
Disclaimer/Publisher’s Note: The statements, opinions and data contained in all publications are solely those of the individual author(s) and contributor(s) and not of MDPI and/or the editor(s). MDPI and/or the editor(s) disclaim responsibility for any injury to people or property resulting from any ideas, methods, instructions or products referred to in the content. |
© 2024 by the authors. Licensee MDPI, Basel, Switzerland. This article is an open access article distributed under the terms and conditions of the Creative Commons Attribution (CC BY) license (https://creativecommons.org/licenses/by/4.0/).
Share and Cite
Mou, P.; Yan, Z.; Li, G. Thermodynamics and Phase Transitions of Dyonic AdS Black Holes in Gauss-Bonnet-Scalar Gravity. Universe 2024, 10, 87. https://doi.org/10.3390/universe10020087
Mou P, Yan Z, Li G. Thermodynamics and Phase Transitions of Dyonic AdS Black Holes in Gauss-Bonnet-Scalar Gravity. Universe. 2024; 10(2):87. https://doi.org/10.3390/universe10020087
Chicago/Turabian StyleMou, Pinghui, Zhengzhou Yan, and Guoping Li. 2024. "Thermodynamics and Phase Transitions of Dyonic AdS Black Holes in Gauss-Bonnet-Scalar Gravity" Universe 10, no. 2: 87. https://doi.org/10.3390/universe10020087
APA StyleMou, P., Yan, Z., & Li, G. (2024). Thermodynamics and Phase Transitions of Dyonic AdS Black Holes in Gauss-Bonnet-Scalar Gravity. Universe, 10(2), 87. https://doi.org/10.3390/universe10020087

