Breast Cancer Metabolomics: From Analytical Platforms to Multivariate Data Analysis. A Review
Abstract
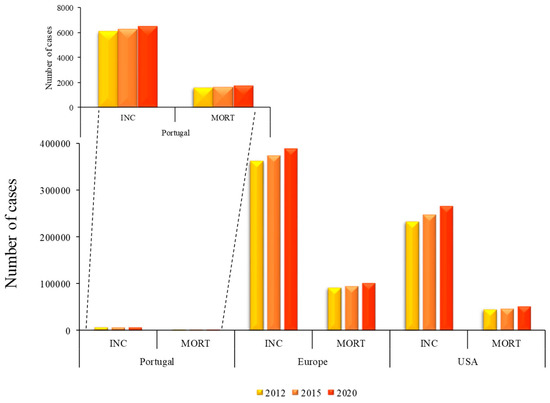
1. Introduction
2. OMICS Science
3. Analytical Approaches
3.1. MS–Based Metabolomics
3.1.1. Gas Chromatography-mass Spectrometry (GC-MS) - Based Metabolomics
3.1.2. Liquid Chromatography-Mass Spectrometry (LC-MS) - Based Metabolomics
3.2. NMR–Based Metabolomics
3.3. Comprehensive Analytical Frameworks on Metabolomics Approach
4. Data Analysis
4.1. Dataset Pre-Treatment
4.2. Pre-Processing
4.3. Processing Methods
4.4. Model Validation
4.5. Post-Processing
5. Future Directions
Supplementary Materials
Author Contributions
Funding
Acknowledgments
Conflicts of Interest
References
- Donepudi, M.S.; Kondapalli, K.; Amos, S.J.; Venkanteshan, P. Breast cancer statistics and markers. J. Cancer Res. Ther. 2014, 10, 506–511. [Google Scholar] [PubMed]
- Bray, F.; Ferlay, J.; Soerjomataram, I.; Siegel, R.L.; Torre, L.A.; Jemal, A. Global cancer statistics 2018: GLOBOCAN estimates of incidence and mortality worldwide for 36 cancers in 185 countries. CA Cancer J. Clin. 2018, 68, 394–424. [Google Scholar] [CrossRef] [PubMed]
- Siegel, R.L.; Miller, K.D.; Jemal, A. Cancer statistics, 2018. CA Cancer J. Clin. 2018, 68, 7–30. [Google Scholar] [CrossRef]
- Ferlay, J.; Soerjomataram, I.; Dikshit, R.; Eser, S.; Mathers, C.; Rebelo, M.; Parkin, D.M.; Forman, D.; Bray, F. Cancer incidence and mortality worldwide: Sources, methods and major patterns in GLOBOCAN 2012. Int. J. Cancer 2015, 136, E359–E386. [Google Scholar] [CrossRef]
- Allison, K.H. Molecular Pathology of Breast Cancer. Am. J. Clin. Pathol. 2012, 138, 770–780. [Google Scholar] [CrossRef]
- DeSantis, C.E.; Bray, F.; Ferlay, J.; Lortet-Tieulent, J.; Anderson, B.O.; Jemal, A. International Variation in Female Breast Cancer Incidence and Mortality Rates. Cancer Epidemiol. Biomarkers Prev. 2015, 24, 1495–1506. [Google Scholar] [CrossRef]
- Ghoncheh, M.; Pournamdar, Z.; Salehiniya, H. Incidence and Mortality and Epidemiology of Breast Cancer in the World. Asian Pac. J. Cancer Prev. 2016, 17, 43–46. [Google Scholar] [CrossRef] [PubMed]
- Verma, R.; Bowen, R.L.; Slater, S.E.; Mihaimeed, F.; Jones, J.L. Pathological and epidemiological factors associated with advanced stage at diagnosis of breast cancer. Br. Med. Bull. 2012, 103, 129–145. [Google Scholar] [CrossRef]
- Shah, R.; Rosso, K.; Nathanson, S.D. Pathogenesis, prevention, diagnosis and treatment of breast cancer. World J. Clin. Oncol. 2014, 5, 283–298. [Google Scholar] [CrossRef]
- Libson, S.; Lippman, M. A review of clinical aspects of breast cancer. Int. Rev. Psychiatry 2014, 26, 4–15. [Google Scholar] [CrossRef]
- Maruti, S.S.; Willett, W.C.; Feskanich, D.; Rosner, B.; Colditz, G.A. A prospective study of age-specific physical activity and premenopausal breast cancer. J. Natl. Cancer Inst. 2008, 100, 728–737. [Google Scholar] [CrossRef] [PubMed]
- Kyu, H.H.; Bachman, V.F.; Alexander, L.T.; Mumford, J.E.; Afshin, A.; Estep, K.; Veerman, J.L.; Delwiche, K.; Iannarone, M.L.; Moyer, M.L.; et al. Physical activity and risk of breast cancer, colon cancer, diabetes, ischemic heart disease, and ischemic stroke events: systematic review and dose-response meta-analysis for the Global Burden of Disease Study 2013. BMJ 2016, 354, i3857. [Google Scholar] [CrossRef] [PubMed]
- McDonald, J.A.; Goyal, A.; Terry, M.B. Alcohol Intake and Breast Cancer Risk: Weighing the Overall Evidence. Curr. Breast Cancer Rep. 2013, 5. [Google Scholar] [CrossRef] [PubMed]
- Maskarinec, G.; Jacobs, S.; Park, S.-Y.; Haiman, C.A.; Setiawan, V.W.; Wilkens, L.R.; Le Marchand, L. Type II Diabetes, Obesity, and Breast Cancer Risk: The Multiethnic Cohort. Cancer Epidemiol. Biomarkers Prev. 2017, 26, 854–861. [Google Scholar] [CrossRef]
- Heidegger, I.; Ofer, P.; Doppler, W.; Rotter, V.; Klocker, H.; Massoner, P. Diverse Functions of IGF/Insulin Signaling in Malignant and Noncancerous Prostate Cells: Proliferation in Cancer Cells and Differentiation in Noncancerous Cells. Endocrinology 2012, 153, 4633–4643. [Google Scholar] [CrossRef] [PubMed]
- Djiogue, S.; Nwabo Kamdje, A.H.; Vecchio, L.; Kipanyula, M.J.; Farahna, M.; Aldebasi, Y.; Seke Etet, P.F. Insulin resistance and cancer: the role of insulin and IGFs. Endocr. Relat. Cancer 2013, 20, R1–R17. [Google Scholar] [CrossRef]
- Neuhouser, M.L.; Aragaki, A.K.; Prentice, R.L.; Manson, J.E.; Chlebowski, R.; Carty, C.L.; Ochs-Balcom, H.M.; Thomson, C.A.; Caan, B.J.; Tinker, L.F.; et al. Overweight, Obesity, and Postmenopausal Invasive Breast Cancer Risk. JAMA Oncol. 2015, 1, 611. [Google Scholar] [CrossRef] [PubMed]
- Picon-Ruiz, M.; Morata-Tarifa, C.; Valle-Goffin, J.J.; Friedman, E.R.; Slingerland, J.M. Obesity and adverse breast cancer risk and outcome: Mechanistic insights and strategies for intervention. CA Cancer J. Clin. 2017, 67, 378–397. [Google Scholar] [CrossRef]
- Moore, S.C.; Playdon, M.C.; Sampson, J.N.; Hoover, R.N.; Trabert, B.; Matthews, C.E.; Ziegler, R.G. A Metabolomics Analysis of Body Mass Index and Postmenopausal Breast Cancer Risk. JNCI J. Natl. Cancer Inst. 2018, 6, 588–597. [Google Scholar] [CrossRef]
- Kos, Z.; Dabbs, D.J. Biomarker assessment and molecular testing for prognostication in breast cancer. Histopathology 2016, 68, 70–85. [Google Scholar] [CrossRef]
- Duffy, M.J.; Harbeck, N.; Nap, M.; Molina, R.; Nicolini, A.; Senkus, E.; Cardoso, F. Clinical use of biomarkers in breast cancer: Updated guidelines from the European Group on Tumor Markers (EGTM). Eur. J. Cancer 2017, 75, 284–298. [Google Scholar] [CrossRef] [PubMed]
- Harris, L.N.; Ismaila, N.; McShane, L.M.; Andre, F.; Collyar, D.E.; Gonzalez-Angulo, A.M.; Hammond, E.H.; Kuderer, N.M.; Liu, M.C.; Mennel, R.G.; et al. Use of Biomarkers to Guide Decisions on Adjuvant Systemic Therapy for Women With Early-Stage Invasive Breast Cancer: American Society of Clinical Oncology Clinical Practice Guideline. J. Clin. Oncol. 2016, 34, 1134–1150. [Google Scholar] [CrossRef] [PubMed]
- Jasbi, P.; Wang, D.; Cheng, S.L.; Fei, Q.; Cui, J.Y.; Liu, L.; Wei, Y.; Raftery, D.; Gu, H. Breast cancer detection using targeted plasma metabolomics. J. Chromatogr. B 2019, 1105, 26–37. [Google Scholar] [CrossRef] [PubMed]
- Clish, C.B. Metabolomics: An emerging but powerful tool for precision medicine. Cold Spring Harb. Mol. Case Stud. 2015, 1, a000588. [Google Scholar] [CrossRef]
- Roberts, L.D.; Souza, A.L.; Gerszten, R.E.; Clish, C.B. Targeted metabolomics. Curr. Protoc. Mol. Biol. 2012, 98, 30.2.1–30.2.24. [Google Scholar] [CrossRef]
- Klupczyńska, A.; Dereziński, P.; Kokot, Z.J. Metabolomics in medical sciences--trends, challenges and perspectives. Acta Pol. Pharm. 2015, 72, 629–641. [Google Scholar] [PubMed]
- Alonso, A.; Marsal, S.; Julià, A. Analytical methods in untargeted metabolomics: State of the art in 2015. Front. Bioeng. Biotechnol. 2015, 3, 23. [Google Scholar] [CrossRef]
- Cho, K.; Mahieu, N.G.; Johnson, S.L.; Patti, G.J. After the feature presentation: Technologies bridging untargeted metabolomics and biology. Curr. Opin. Biotechnol. 2014, 28, 143–148. [Google Scholar] [CrossRef]
- Claudino, W.M.; Goncalves, P.H.; di Leo, A.; Philip, P.A.; Sarkar, F.H. Metabolomics in cancer: A bench-to-bedside intersection. Crit. Rev. Oncol. Hematol. 2012, 84, 1–7. [Google Scholar] [CrossRef]
- Beger, R.D. A review of applications of metabolomics in cancer. Metabolites 2013, 3, 552–574. [Google Scholar] [CrossRef]
- Lécuyer, L.; Victor Bala, A.; Deschasaux, M.; Bouchemal, N.; Nawfal Triba, M.; Vasson, M.-P.; Rossary, A.; Demidem, A.; Galan, P.; Hercberg, S.; et al. NMR metabolomic signatures reveal predictive plasma metabolites associated with long-term risk of developing breast cancer. Int. J. Epidemiol. 2018, 47, 484–494. [Google Scholar] [CrossRef] [PubMed]
- Gu, H.; Gowda, G.A.N.; Raftery, D. Metabolic profiling: Are we en route to better diagnostic tests for cancer? Future Oncol. 2012, 8, 1207–1210. [Google Scholar] [CrossRef]
- Jové, M.; Collado, R.; Quiles, J.L.; Ramírez-Tortosa, M.-C.; Sol, J.; Ruiz-Sanjuan, M.; Fernandez, M.; de la Torre Cabrera, C.; Ramírez-Tortosa, C.; Granados-Principal, S.; et al. A plasma metabolomic signature discloses human breast cancer. Oncotarget 2017, 8, 19522–19533. [Google Scholar] [CrossRef]
- Fan, Y.; Zhou, X.; Xia, T.-S.; Chen, Z.; Li, J.; Liu, Q.; Alolga, R.N.; Chen, Y.; Lai, M.-D.; Li, P.; et al. Human plasma metabolomics for identifying differential metabolites and predicting molecular subtypes of breast cancer. Oncotarget 2016, 7, 9925–9938. [Google Scholar] [CrossRef] [PubMed]
- Bain, J.R.; Stevens, R.D.; Wenner, B.R.; Ilkayeva, O.; Muoio, D.M.; Newgard, C.B. Metabolomics Applied to Diabetes Research: Moving From Information to Knowledge. Diabetes 2009, 58, 2429–2443. [Google Scholar] [CrossRef]
- Günther, U.L. Metabolomics Biomarkers for Breast Cancer. Pathobiology 2015, 82, 153–165. [Google Scholar] [CrossRef] [PubMed]
- Hadi, N.I.; Jamal, Q. “OMIC” tumor markers for breast cancer: A review. Pakistan J. Med. Sci. 2015, 31, 1256–1262. [Google Scholar]
- Cappelletti, V.; Iorio, E.; Miodini, P.; Silvestri, M.; Dugo, M.; Daidone, M.G. Metabolic Footprints and Molecular Subtypes in Breast Cancer. Dis. Markers 2017, 2017, 1–19. [Google Scholar] [CrossRef]
- McCartney, A.; Vignoli, A.; Biganzoli, L.; Love, R.; Tenori, L.; Luchinat, C.; Di Leo, A. Metabolomics in breast cancer: A decade in review. Cancer Treat. Rev. 2018, 67, 88–96. [Google Scholar] [CrossRef]
- Anderson, N.M.; Mucka, P.; Kern, J.G.; Feng, H. The emerging role and targetability of the TCA cycle in cancer metabolism. Protein Cell 2018, 9, 216–237. [Google Scholar] [CrossRef]
- Ryan, D.G.; Murphy, M.P.; Frezza, C.; Prag, H.A.; Chouchani, E.T.; O’Neill, L.A.; Mills, E.L. Coupling Krebs cycle metabolites to signalling in immunity and cancer. Nat. Metab. 2019, 1, 16–33. [Google Scholar] [CrossRef] [PubMed]
- Ciccarone, F.; Vegliante, R.; Di Leo, L.; Ciriolo, M.R. The TCA cycle as a bridge between oncometabolism and DNA transactions in cancer. Semin. Cancer Biol. 2017, 47, 50–56. [Google Scholar] [CrossRef] [PubMed]
- Cífková, E.; Lísa, M.; Hrstka, R.; Vrána, D.; Gatěk, J.; Melichar, B.; Holčapek, M. Correlation of lipidomic composition of cell lines and tissues of breast cancer patients using hydrophilic interaction liquid chromatography/electrospray ionization mass spectrometry and multivariate data analysis. Rapid Commun. Mass Spectrom. 2017, 31, 253–263. [Google Scholar] [CrossRef] [PubMed]
- Silva, C.L.; Perestrelo, R.; Silva, P.; Tomás, H.; Câmara, J.S. Volatile metabolomic signature of human breast cancer cell lines. Sci. Rep. 2017, 7, 43969. [Google Scholar] [CrossRef]
- Le Guennec, A.; Tea, I.; Antheaume, I.; Martineau, E.; Charrier, B.; Pathan, M.; Akoka, S.; Giraudeau, P. Fast Determination of Absolute Metabolite Concentrations by Spatially Encoded 2D NMR: Application to Breast Cancer Cell Extracts. Anal. Chem. 2012, 84, 10831–10837. [Google Scholar] [CrossRef]
- Willmann, L.; Schlimpert, M.; Hirschfeld, M.; Erbes, T.; Neubauer, H.; Stickeler, E.; Kammerer, B. Alterations of the exo- and endometabolite profiles in breast cancer cell lines: A mass spectrometry-based metabolomics approach. Anal. Chim. Acta 2016, 925, 34–42. [Google Scholar] [CrossRef]
- Cao, Y.; Wang, Q.; Gao, P.; Dong, J.; Zhu, Z.; Fang, Y.; Fang, Z.; Sun, X.; Sun, T. A dried blood spot mass spectrometry metabolomic approach for rapid breast cancer detection. Onco. Targets. Ther. 2016, 9, 1389. [Google Scholar] [CrossRef] [PubMed]
- Martinez-Lozano Sinues, P.; Landoni, E.; Miceli, R.; Dibari, V.F.; Dugo, M.; Agresti, R.; Tagliabue, E.; Cristoni, S.; Orlandi, R. Secondary electrospray ionization-mass spectrometry and a novel statistical bioinformatic approach identifies a cancer-related profile in exhaled breath of breast cancer patients: a pilot study. J. Breath Res. 2015, 9, 31001. [Google Scholar] [CrossRef]
- Cala, M.P.; Aldana, J.; Medina, J.; Sánchez, J.; Guio, J.; Wist, J.; Meesters, R.J.W. Multiplatform plasma metabolic and lipid fingerprinting of breast cancer: A pilot control-case study in Colombian Hispanic women. PLoS ONE 2018, 13, e0190958. [Google Scholar] [CrossRef]
- Roig, B.; Rodríguez-Balada, M.; Samino, S.; Lam, E.W.-F.; Guaita-Esteruelas, S.; Gomes, A.R.; Correig, X.; Borràs, J.; Yanes, O.; Gumà, J. Metabolomics reveals novel blood plasma biomarkers associated to the BRCA1-mutated phenotype of human breast cancer. Sci. Rep. 2017, 7, 17831. [Google Scholar] [CrossRef]
- Cavaco, C.; Pereira, J.A.M.; Taunk, K.; Taware, R.; Rapole, S.; Nagarajaram, H.; Câmara, J.S. Screening of salivary volatiles for putative breast cancer discrimination: An exploratory study involving geographically distant populations. Anal. Bioanal. Chem. 2018, 410, 1–10. [Google Scholar] [CrossRef] [PubMed]
- Tsutsui, H.; Mochizuki, T.; Inoue, K.; Toyama, T.; Yoshimoto, N.; Endo, Y.; Todoroki, K.; Min, J.Z.; Toyo’oka, T. High-Throughput LC–MS/MS Based Simultaneous Determination of Polyamines Including N-Acetylated Forms in Human Saliva and the Diagnostic Approach to Breast Cancer Patients. Anal. Chem. 2013, 85, 11835–11842. [Google Scholar] [CrossRef] [PubMed]
- Zhong, L.; Cheng, F.; Lu, X.; Duan, Y.; Wang, X. Untargeted saliva metabonomics study of breast cancer based on ultra performance liquid chromatography coupled to mass spectrometry with HILIC and RPLC separations. Talanta 2016, 158, 351–360. [Google Scholar] [CrossRef]
- Takayama, T.; Tsutsui, H.; Shimizu, I.; Toyama, T.; Yoshimoto, N.; Endo, Y.; Inoue, K.; Todoroki, K.; Min, J.Z.; Mizuno, H.; et al. Diagnostic approach to breast cancer patients based on target metabolomics in saliva by liquid chromatography with tandem mass spectrometry. Clin. Chim. Acta 2016, 452, 18–26. [Google Scholar] [CrossRef] [PubMed]
- Cífková, E.; Holčapek, M.; Lísa, M.; Vrána, D.; Gatěk, J.; Melichar, B. Determination of lipidomic differences between human breast cancer and surrounding normal tissues using HILIC-HPLC/ESI-MS and multivariate data analysis. Anal. Bioanal. Chem. 2015, 407, 991–1002. [Google Scholar] [CrossRef] [PubMed]
- Budhu, A.; Terunuma, A.; Zhang, G.; Hussain, S.P.; Ambs, S.; Wang, X.W. Metabolic profiles are principally different between cancers of the liver, pancreas and breast. Int. J. Biol. Sci. 2014, 10, 966–972. [Google Scholar] [CrossRef] [PubMed]
- Kanaan, Y.M.; Sampey, B.P.; Beyene, D.; Esnakula, A.K.; Naab, T.J.; Ricks-Santi, L.J.; Dasi, S.; Day, A.; Blackman, K.W.; Frederick, W.; et al. Metabolic profile of triple-negative breast cancer in African-American women reveals potential biomarkers of aggressive disease. Cancer Genom. Proteom. 2014, 11, 279–294. [Google Scholar]
- Tenori, L.; Oakman, C.; Morris, P.G.; Gralka, E.; Turner, N.; Cappadona, S.; Fornier, M.; Hudis, C.; Norton, L.; Luchinat, C.; et al. Serum metabolomic profiles evaluated after surgery may identify patients with oestrogen receptor negative early breast cancer at increased risk of disease recurrence. Results from a retrospective study. Mol. Oncol. 2015, 9, 128–139. [Google Scholar] [CrossRef]
- Porto-Figueira, P.; Pereira, J.A.M.; Câmara, J.S. Exploring the potential of needle trap microextraction combined with chromatographic and statistical data to discriminate different types of cancer based on urinary volatomic biosignature. Anal. Chim. Acta 2018, 1023, 53–63. [Google Scholar] [CrossRef]
- Thomson, C.A.; Thompson, P.A. Dietary patterns, risk and prognosis of breast cancer. Futur. Oncol. 2009, 5, 1257–1269. [Google Scholar] [CrossRef]
- Martineau, E.; Tea, I.; Akoka, S.; Giraudeau, P. Absolute quantification of metabolites in breast cancer cell extracts by quantitative 2D 1H INADEQUATE NMR. NMR Biomed. 2012, 25, 985–992. [Google Scholar] [CrossRef]
- Kim, K.-J.; Kim, H.-J.; Park, H.-G.; Hwang, C.-H.; Sung, C.; Jang, K.-S.; Park, S.-H.; Kim, B.-G.; Lee, Y.-K.; Yang, Y.-H.; et al. A MALDI-MS-based quantitative analytical method for endogenous estrone in human breast cancer cells. Sci. Rep. 2016, 6, 24489. [Google Scholar] [CrossRef] [PubMed]
- Singh, A.; Sharma, R.K.; Chagtoo, M.; Agarwal, G.; George, N.; Sinha, N.; Godbole, M.M. 1H NMR Metabolomics Reveals Association of High Expression of Inositol 1, 4, 5 Trisphosphate Receptor and Metabolites in Breast Cancer Patients. PLoS ONE 2017, 12, e0169330. [Google Scholar] [CrossRef] [PubMed]
- Zhao, C.; Xie, P.; Wang, H.; Cai, Z. Liquid chromatography-mass spectrometry-based metabolomics and lipidomics reveal toxicological mechanisms of bisphenol F in breast cancer xenografts. J. Hazard. Mater. 2018. [Google Scholar] [CrossRef]
- Huang, S.; Chong, N.; Lewis, N.E.; Jia, W.; Xie, G.; Garmire, L.X. Novel personalized pathway-based metabolomics models reveal key metabolic pathways for breast cancer diagnosis. Genome Med. 2016, 8, 34. [Google Scholar] [CrossRef] [PubMed]
- Dougan, M.M.; Li, Y.; Chu, L.W.; Haile, R.W.; Whittemore, A.S.; Han, S.S.; Moore, S.C.; Sampson, J.N.; Andrulis, I.L.; John, E.M.; et al. Metabolomic profiles in breast cancer: A pilot case-control study in the breast cancer family registry. BMC Cancer 2018, 18, 532. [Google Scholar] [CrossRef]
- Gu, H.; Pan, Z.; Xi, B.; Asiago, V.; Musselman, B.; Raftery, D. Principal component directed partial least squares analysis for combining nuclear magnetic resonance and mass spectrometry data in metabolomics: Application to the detection of breast cancer. Anal. Chim. Acta 2011, 686, 57–63. [Google Scholar] [CrossRef] [PubMed]
- Jobard, E.; Pontoizeau, C.; Blaise, B.J.; Bachelot, T.; Elena-Herrmann, B.; Trédan, O. A serum nuclear magnetic resonance-based metabolomic signature of advanced metastatic human breast cancer. Cancer Lett. 2014, 343, 33–41. [Google Scholar] [CrossRef] [PubMed]
- Lv, W.; Yang, T. Identification of possible biomarkers for breast cancer from free fatty acid profiles determined by GC–MS and multivariate statistical analysis. Clin. Biochem. 2012, 45, 127–133. [Google Scholar] [CrossRef]
- Lyon, D.E.; Starkweather, A.; Yao, Y.; Garrett, T.; Kelly, D.L.; Menzies, V.; Dereziński Pawełand Datta, S.; Kumar, S.; Jackson-Cook, C. Pilot Study of Metabolomics and Psychoneurological Symptoms in Women With Early Stage Breast Cancer. Biol. Res. Nurs. 2018, 20, 227–236. [Google Scholar] [CrossRef]
- Wei, S.; Liu, L.; Zhang, J.; Bowers, J.; Gowda, G.A.N.; Seeger, H.; Fehm, T.; Neubauer, H.J.; Vogel, U.; Clare, S.E.; et al. Metabolomics approach for predicting response to neoadjuvant chemotherapy for breast cancer. Mol. Oncol. 2013, 7, 297–307. [Google Scholar] [CrossRef]
- Playdon, M.C.; Ziegler, R.G.; Sampson, J.N.; Stolzenberg-Solomon, R.; Thompson, H.J.; Irwin, M.L.; Mayne, S.T.; Hoover, R.N.; Moore, S.C. Nutritional metabolomics and breast cancer risk in a prospective study. Am. J. Clin. Nutr. 2017, 106, 637–649. [Google Scholar] [CrossRef] [PubMed]
- Cala, M.; Aldana, J.; Sánchez, J.; Guio, J.; Meesters, R.J.W. Urinary metabolite and lipid alterations in Colombian Hispanic women with breast cancer: A pilot study. J. Pharm. Biomed. Anal. 2018, 152, 234–241. [Google Scholar] [CrossRef] [PubMed]
- Tayyari, F.; Gowda, G.A.N.; Olopade, O.F.; Berg, R.; Yang, H.H.; Lee, M.P.; Ngwa, W.F.; Mittal, S.K.; Raftery, D.; Mohammed, S.I. Metabolic profiles of triple-negative and luminal A breast cancer subtypes in African-American identify key metabolic differences. Oncotarget 2018, 9, 11677–11690. [Google Scholar] [CrossRef]
- Bathen, T.F.; Geurts, B.; Sitter, B.; Fjøsne, H.E.; Lundgren, S.; Buydens, L.M.; Gribbestad, I.S.; Postma, G.; Giskeødegård, G.F. Feasibility of MR Metabolomics for Immediate Analysis of Resection Margins during Breast Cancer Surgery. PLoS ONE 2013, 8, e61578. [Google Scholar] [CrossRef] [PubMed]
- Tang, X.; Lin, C.-C.; Spasojevic, I.; Iversen, E.S.; Chi, J.-T.; Marks, J.R. A joint analysis of metabolomics and genetics of breast cancer. Breast Cancer Res. 2014, 16, 415. [Google Scholar] [CrossRef]
- Budczies, J.; Pfitzner, B.M.; Györffy, B.; Winzer, K.-J.; Radke, C.; Dietel, M.; Fiehn, O.; Denkert, C. Glutamate enrichment as new diagnostic opportunity in breast cancer. Int. J. Cancer 2015, 136, 1619–1628. [Google Scholar] [CrossRef]
- Vettukattil, R.; Hetland, T.E.; Flørenes, V.A.; Kærn, J.; Davidson, B.; Bathen, T.F. Proton magnetic resonance metabolomic characterization of ovarian serous carcinoma effusions: chemotherapy-related effects and comparison with malignant mesothelioma and breast carcinoma. Hum. Pathol. 2013, 44, 1859–1866. [Google Scholar] [CrossRef]
- Euceda, L.R.; Haukaas, T.H.; Giskeødegård, G.F.; Vettukattil, R.; Engel, J.; Silwal-Pandit, L.; Lundgren, S.; Borgen, E.; Garred, Ø.; Postma, G.; et al. Evaluation of metabolomic changes during neoadjuvant chemotherapy combined with bevacizumab in breast cancer using MR spectroscopy. Metabolomics 2017, 13, 37. [Google Scholar] [CrossRef]
- Gogiashvili, M.; Horsch, S.; Marchan, R.; Gianmoena, K.; Cadenas, C.; Tanner, B.; Naumann, S.; Ersova, D.; Lippek, F.; Rahnenführer, J.; et al. Impact of intratumoral heterogeneity of breast cancer tissue on quantitative metabolomics using high-resolution magic angle spinning 1H NMR spectroscopy. NMR Biomed. 2018, 31, e3862. [Google Scholar] [CrossRef]
- Choi, J.S.; Baek, H.-M.; Kim, S.; Kim, M.J.; Youk, J.H.; Moon, H.J.; Kim, E.-K.; Nam, Y.K. Magnetic resonance metabolic profiling of breast cancer tissue obtained with core needle biopsy for predicting pathologic response to neoadjuvant chemotherapy. PLoS ONE 2013, 8, e83866. [Google Scholar] [CrossRef]
- Budczies, J.; Brockmöller, S.F.; Müller, B.M.; Barupal, D.K.; Richter-Ehrenstein, C.; Kleine-Tebbe, A.; Griffin, J.L.; Orešič, M.; Dietel, M.; Denkert, C.; et al. Comparative metabolomics of estrogen receptor positive and estrogen receptor negative breast cancer: alterations in glutamine and beta-alanine metabolism. J. Proteomics 2013, 94, 279–288. [Google Scholar] [CrossRef]
- Dai, C.; Arceo, J.; Arnold, J.; Sreekumar, A.; Dovichi, N.J.; Li, J.; Littlepage, L.E. Metabolomics of oncogene-specific metabolic reprogramming during breast cancer. Cancer Metab. 2018, 6, 5. [Google Scholar] [CrossRef]
- Yu, L.; Jiang, C.; Huang, S.; Gong, X.; Wang, S.; Shen, P. Analysis of urinary metabolites for breast cancer patients receiving chemotherapy by CE-MS coupled with on-line concentration. Clin. Biochem. 2013, 46, 1065–1073. [Google Scholar] [CrossRef] [PubMed]
- Krilaviciute, A.; Heiss, J.A.; Leja, M.; Kupcinskas, J.; Haick, H.; Brenner, H. Detection of cancer through exhaled breath: A systematic review. Oncotarget 2015, 6, 38643–38657. [Google Scholar] [CrossRef] [PubMed]
- Zhang, A.; Sun, H.; Wang, P.; Han, Y.; Wang, X. Modern analytical techniques in metabolomics analysis. Analyst 2012, 137, 293–300. [Google Scholar] [CrossRef]
- Issaq, H.J.; Van, Q.N.; Waybright, T.J.; Muschik, G.M.; Veenstra, T.D. Analytical and statistical approaches to metabolomics research. J. Sep. Sci. 2009, 32, 2183–2199. [Google Scholar] [CrossRef] [PubMed]
- Dunn, W.B.; Bailey, N.J.C.; Johnson, H.E. Measuring the metabolome: Current analytical technologies. Analyst 2005, 130, 606. [Google Scholar] [CrossRef] [PubMed]
- Wang, J.H.; Byun, J.; Pennathur, S. Analytical approaches to metabolomics and applications to systems biology. Semin. Nephrol. 2010, 30, 500–511. [Google Scholar] [CrossRef]
- Sas, K.M.; Karnovsky, A.; Michailidis, G.; Pennathur, S. Metabolomics and diabetes: Analytical and computational approaches. Diabetes 2015, 64, 718–732. [Google Scholar] [CrossRef] [PubMed]
- Ahad, T.; Jasia Nissar, I.; Tehmeena Ahad, C.; Nissar, J. Division of food science and technology, Skuast-k Fingerprinting in determining the adultration of food. J. Pharmacogn. Phytochem. JPP 2017, 6, 1543–1553. [Google Scholar]
- Narwate, B.M.; Ghule, P.J.; Ghule, A.V.; Darandale, A.S.; Wagh, J.G. Ultra performance liquid chromatography: A new revolution in liquid chromatography. Int. J. Pharm. Drug Anal. 2014, 2. [Google Scholar]
- Yandamuri, N.; Srinivas Nagabattula, K.R.; Swamy Kurra, S.; Batthula, S.; S Nainesha Allada, L.P.; Bandam, P. Comparative Study of New Trends in HPLC: A Review. Int. J. Pharm. Sci. Rev. Res. 2013, 23, 52–57. [Google Scholar]
- De Vos, J.; Broeckhoven, K.; Eeltink, S. Advances in Ultrahigh-Pressure Liquid Chromatography Technology and System Design. Anal. Chem. 2016, 88, 262–278. [Google Scholar] [CrossRef]
- Cacciola, F.; Farnetti, S.; Dugo, P.; Marriott, P.J.; Mondello, L. Comprehensive two-dimensional liquid chromatography for polyphenol analysis in foodstuffs. J. Sep. Sci. 2017, 40, 7–24. [Google Scholar] [CrossRef]
- Reichenbach, S.E.; Tian, X.; Tao, Q.; Ledford, E.B.; Wu, Z.; Fiehn, O. Informatics for cross-sample analysis with comprehensive two-dimensional gas chromatography and high-resolution mass spectrometry (GCxGC–HRMS). Talanta 2011, 83, 1279–1288. [Google Scholar] [CrossRef] [PubMed]
- Yu, Z.; Huang, H.; Reim, A.; Charles, P.D.; Northage, A.; Jackson, D.; Parry, I.; Kessler, B.M. Optimizing 2D gas chromatography mass spectrometry for robust tissue, serum and urine metabolite profiling. Talanta 2017, 165, 685–691. [Google Scholar] [CrossRef] [PubMed]
- Umar, A.; Luider, T.M.; Foekens, J.A.; Paša-Tolić, L. NanoLC-FT-ICR MS improves proteome coverage attainable for ∼3000 laser-microdissected breast carcinoma cells. Proteomics 2007, 7, 323–329. [Google Scholar] [CrossRef]
- Hendriks, M.M.W.B.; van Eeuwijk, F.A.; Jellema, R.H.; Westerhuis, J.A.; Reijmers, T.H.; Hoefsloot, H.C.J.; Smilde, A.K. Data-processing strategies for metabolomics studies. TrAC Trends Anal. Chem. 2011, 30, 1685–1698. [Google Scholar] [CrossRef]
- Yi, L.; Dong, N.; Yun, Y.; Deng, B.; Ren, D.; Liu, S.; Liang, Y. Chemometric methods in data processing of mass spectrometry-based metabolomics: A review. Anal. Chim. Acta 2016, 914, 17–34. [Google Scholar] [CrossRef]
- Gromski, P.S.; Muhamadali, H.; Ellis, D.I.; Xu, Y.; Correa, E.; Turner, M.L.; Goodacre, R. A tutorial review: Metabolomics and partial least squares-discriminant analysis—A marriage of convenience or a shotgun wedding. Anal. Chim. Acta 2015, 879, 10–23. [Google Scholar] [CrossRef]
- Sugimoto, M.; Wong, D.T.; Hirayama, A.; Soga, T.; Tomita, M. Capillary electrophoresis mass spectrometry-based saliva metabolomics identified oral, breast and pancreatic cancer-specific profiles. Metabolomics 2010, 6, 78–95. [Google Scholar] [CrossRef] [PubMed]
- van den Berg, R.A.; Hoefsloot, H.C.; Westerhuis, J.A.; Smilde, A.K.; van der Werf, M.J. Centering, scaling, and transformations: Improving the biological information content of metabolomics data. BMC Genom. 2006, 7, 142. [Google Scholar] [CrossRef]
- Sysi-Aho, M.; Katajamaa, M.; Yetukuri, L.; Orešič, M. Normalization method for metabolomics data using optimal selection of multiple internal standards. BMC Bioinform. 2007, 8, 93. [Google Scholar] [CrossRef] [PubMed]
- Kohl, S.M.; Klein, M.S.; Hochrein, J.; Oefner, P.J.; Spang, R.; Gronwald, W. State-of-the art data normalization methods improve NMR-based metabolomic analysis. Metabolomics 2012, 8, 146–160. [Google Scholar] [CrossRef] [PubMed]
- Xi, B.; Gu, H.; Baniasadi, H.; Raftery, D. Statistical analysis and modeling of mass spectrometry-based metabolomics data. Methods Mol. Biol. 2014, 1198, 333–353. [Google Scholar]
- Zhang, A.; Sun, H.; Qiu, S.; Wang, X. Metabolomics in noninvasive breast cancer. Clin. Chim. Acta 2013, 424, 3–7. [Google Scholar] [CrossRef]
- Xia, J.; Broadhurst, D.I.; Wilson, M.; Wishart, D.S. Translational biomarker discovery in clinical metabolomics: An introductory tutorial. Metabolomics 2013, 9, 280–299. [Google Scholar] [CrossRef]
- Liland, K.H. Multivariate methods in metabolomics—From pre-processing to dimension reduction and statistical analysis. TrAC Trends Anal. Chem. 2011, 30, 827–841. [Google Scholar] [CrossRef]
- Köhn, H.-F.; Hubert, L.J. Hierarchical Cluster Analysis. In Wiley StatsRef: Statistics Reference Online; John Wiley & Sons, Ltd.: Chichester, UK, 2015; pp. 1–13. [Google Scholar]
- Jain, A.K. Data clustering: 50 years beyond K-means. Pattern Recognit. Lett. 2010, 31, 651–666. [Google Scholar] [CrossRef]
- Sperandei, S. Understanding logistic regression analysis. Biochem. Med. 2014, 24, 12–18. [Google Scholar] [CrossRef] [PubMed]
- Ivanescu, A.E.; Li, P.; George, B.; Brown, A.W.; Keith, S.W.; Raju, D.; Allison, D.B. The importance of prediction model validation and assessment in obesity and nutrition research. Int. J. Obes. 2016, 40, 887–894. [Google Scholar] [CrossRef] [PubMed]
- Xu, Q.-S.; Liang, Y.-Z.; Du, Y.-P. Monte Carlo cross-validation for selecting a model and estimating the prediction error in multivariate calibration. J. Chemom. 2004, 18, 112–120. [Google Scholar] [CrossRef]
- Haddad, K.; Rahman, A.; A Zaman, M.; Shrestha, S. Applicability of Monte Carlo cross validation technique for model development and validation using generalised least squares regression. J. Hydrol. 2013, 482, 119–128. [Google Scholar] [CrossRef]
- Jaki, T.; Su, T.-L.; Kim, M.; Van Horn, M.L. An evaluation of the bootstrap for model validation in mixture models. Commun. Stat. -Simul. Comput. 2018, 47, 1028–1038. [Google Scholar] [CrossRef] [PubMed]
- Lindgren, F.; Hansen, B.; Karcher, W.; Sjöström, M.; Eriksson, L. Model Validation by Permutation tests: Applications to VariableSselection. J. Chemom. 1996, 10, 521–532. [Google Scholar] [CrossRef]




| Biological Sample | Sample Groups | Aim | Analytical Approaches | Main Conclusions | References |
|---|---|---|---|---|---|
| Human cell lines | - | - | - | - | - |
| Diagnostic biomarkers | BC (ZR-75-1, T-74D, MCF7, MDA-MB-231, MDA-MB-453, MDA-MB-468, SK-BR-3, BT-474, BT-549), Control (MCF10A) | To compare the differences in the lipidomic compositions of human cell lines derived from normal and BC tissues, and tumor vs. normal tissues obtained after the surgery of BC patients. | LC-MS/MS, GC-MS | * 123 lipids were identified, and a differentiation was observed for MDA cells | [29,43] |
| Diagnostic biomarkers | BC (MDA-MB-231, -453, BT-474), Control (MCF-10A) | To determine endo- and exo-metabolite analysis of the BC cell lines | UPLC-MS/MS, LC-MS/MS | * Statistical analysis allowed a discrimination of the breast epithelial cells from the BC cell lines * MDA-MB-231 showed an increase in nicotinamide levels, namely in 1-ribosyl-nicotinamide and NADþ | [46] |
| Diagnostic biomarkers | BC (T-47D, MDA-MB-231, MCF-7), Control (HMEC) | To establish the BC cell lines volatile metabolomic signature | GC–MS | * 60 VOMs were identified and six of them were detected only in the headspace of cancer cell lines | [44] |
| Diagnostic biomarkers | BC (MDA-MB-468, SKBR3, MCF-7) | To quantify specific metabolites in BC cell extracts | NMR | * Significantly differences were observed between cell lines, namely in the concentrations of 15 metabolites * The current method represented a useful tool for the establishment of potential biomarkers | [61] |
| Diagnostic biomarkers | BC (Cal 51, SKBR3, MCF-7) | To measure the absolute metabolite concentrations in complex mixtures with a high precision in a reasonable time | NMR | * The proposed approach represented a powerful tool to quantify 14 metabolites (alanine, lactate, leucine, threonine, taurine, glutathione, glutamate, glutamine, choline, valine, isoleucine, myo-inositol, proline, and glucose) in cell extracts within 20 min | [45] |
| Diagnostic biomarkers | BC cell lines (MCF-7, HCC70, MDA-MB-231, MDA-MB-436, MDA-MB-468), BC patients (n = 35) | To investigate the metabolic profiles of human BC cell lines carrying BRCA1 pathogenic mutations | LC-MS/MS | * It was possible to collect differential metabolic signature for BC cells based on the BRCA1 functionality | [50] |
| Therapy response | BC cell line (MCF-7) | To develop a robust and highly sensitive platform to identify endogenous estrones in clinical specimens | MALDI-MS, LC-MS/MS | * The results suggested that MALDI-MS-based quantitative approach can be a broad method for the ketone-containing metabolites target analysis thus replicating the clinical stage. | [62] |
| Therapy response | BC tissue (n = 40), Blood (n = 27), BC cell lines (n = 3) | To detect alterations in metabolites and their linkage to metabolic processes in several pathological conditions including BC | NMR | * Functional of IP3Rs in causing metabolic disruption was observed in MCF-7 and MDA MB-231 cells * The results offered new insights regarding the relationship of BC metabolites with IP3R. | [63] |
| Metabolic reprogramming | MDA-MB-231, BC xenografts | To study toxic effects of bisphenol and the underlying mechanisms on tumor metastasis-related tissues | LC-MS/MS, MALDI-MS | * Metabolites-based studies might be suitable for BC diagnosis * The data provided good indication for BPA screening secure option | [64] |
| Human Blood, plasma, serum | - | - | - | - | - |
| Diagnostic biomarkers | BC patients (n = 258), Benign mammary gland (n = 159), Control (n = 78) | To screen metabolite markers with BC diagnosis potentials | MS | * The method developed allowed the discrimination of BC from non-BC using six blood metabolites | [47] |
| Diagnostic biomarkers | Metastatic BC patients (n = 95), Early-stage BC patients (n = 80) | To explore whether serum metabolomic spectra could distinguish between early and metastatic BC patients and predict disease relapse | NMR | * Disease relapse was linked with lower and higher levels of histidine and glucose, respectively | [58] |
| Diagnostic biomarkers | BC patients (n= 132), Control (n= 76) | To develop a new computational method using personalized pathway dysregulation scores for disease diagnosis | LC-TOF-MS, GC-TOF-MS | * The method allowed to determine important metabolic pathways signature for BC diagnosis, representing a suitable tool for diagnostic and therapeutic interventions. | [65] |
| Diagnostic biomarkers | BC patients (n = 45), Control (n = 45) | To detect differences between BC and healthy individuals | UHPLC-MS, GC-MS | * 661 metabolites were detected, but only 338 metabolites were found in all samples, and 490 in more than 80% of samples. | [66] |
| Diagnostic biomarkers | BC patients (n = 29), Control (n = 29) | To establish a plasma metabolic fingerprint of Colombian Hispanic women with BC | LC-MS, GC-MS, NMR | * The current report showed the effectiveness of multiplatform strategies in metabolic/lipid fingerprinting works | [49] |
| Diagnostic biomarkers | BC patients (n = 91), Control (n = 20) | To explore whether serum metabolomic profile can discriminate the presence of human BC irrespective of the cancer subtype | LC-MS/MS | * From the 1269 metabolites identified in plasma from controls and patients; only 35 metabolites were related to BC. | [33] |
| Diagnostic biomarkers | BC patients (n = 27), control (n = 30) | To apply 1H NMR and DART-MS for the metabolomics analysis of serum samples from BC patients and healthy controls. | NMR, DART-MS | * The approach allowed the disease classification and the biochemical validation useful to identify the mechanisms associated to BC development. | [67] |
| Diagnostic biomarkers | Metastatic BC patients (n = 39 + 51 for validation), Early-stage BC patients (n = 85 + 112 for validation) | To distinguish between early and metastatic BC | NMR | * Metabolic phenotyping by NMR showed a robust potential for the diagnosis, prognosis, and management of BC cancer patients | [68] |
| Diagnostic biomarkers | BC patients (n = 40) BE patients (n = 40) and healthy controls (n = 34). BE patients with fibroma (n = 25) and chronic fibroadenosis of breast (n = 15) | To investigate the free fatty acid (FFA) metabolic profiles to identify biomarkers that can be used to distinguish patients with BC (BC) from benign (BE) patients or healthy controls. | GC-MS | The FFA biomarkers proved to be helpful for the prevention and characterization of BC patients. | [69] |
| Therapy response | BC patients (n = 19) | To compare metabolite concentrations and Pearson’s correlation coefficients to examine concomitant changes in metabolite concentrations and psychoneurologic symptoms before and after chemotherapy. | UPLC-MS/MS | * The post-chemotherapy global metabolites were characterized by higher and lower amounts of acetyl-L-alanine and indoxyl sulfate and 5-oxo-L-proline, respectively. * Metabolomics was useful for further understanding of biological mechanisms associated with psychoneurologic symptoms. | [70] |
| Therapy response | BC patients (n = 28) | To identify potential biomarker candidates that can predict response to neoadjuvant chemotherapy for BC | LC-MS, NMR | * The concentrations of threonine, isoleucine, glutamine, linolenic acid had significantly different responses to chemotherapy * The purposed approach clearly discriminates patients regarding the response to drugs providing a valuable tool for a non-invasive prognosis of the treatment strategy. | [71] |
| Endogenous factors | BC patients (n = 206), Control (n = 396) | To investigate whether plasma untargeted metabolomic profiles could contribute to predict the risk of developing BC | NMR | * The study contributed to the development of screening approaches for the identification of BC at-risk women. | [31] |
| Endogenous factors | BC patients (n = 621), Control (n = 621) | To evaluate associations of diet-related metabolites with the risk of BC in the prostate, lung, colorectal and ovarian cancer screening trial | GC-MS, LC-MS/MS | * The data obtained showed how nutritional metabolomics might identify diet-related exposures associated to cancer risk. | [72] |
| Human urine | - | - | - | - | - |
| Diagnostic biomarkers | BC patients (n = 30), CC (n = 30), Control (n = 30) | To discriminate different types of cancer based on urinary volatomic biosignature | GC-MS | * The butanoate metabolism was highly activated in studied cancers, as well as tyrosine metabolism, but in a reduced proportion * Different clusters allowed to establish sets of VOMs fingerprints resulted in the discrimination of the studied cancers | [59] |
| Therapy response | BC patients (n = 31), Control (n = 29) | To identify metabolites which can be helpful in the understanding of metabolic alterations driven by BC as well as their potential usage as biomarkers | LC-MS, GC-MS | * The analytical multiplatform approach enabled a wide coverage of urine metabolites revealing significant alterations in BC samples | [73] |
| Human Saliva | - | - | - | - | - |
| Diagnostic biomarkers | BC patients (primary, n = 8; relapse, n = 22), Control (n = 14) | To determine polyamines including N-acetylated forms in human saliva and the diagnostic approach to BC Patients | UPLC−MS/MS | * The increase on polyamines level in BC patients Ac-SPM, DAc-SPD, and DAc-SPM levels were significantly higher only in the relapsed patients | [52] |
| Diagnostic biomarkers | BC patients (n = 30), Control (n = 25) | To screen the potential salivary biomarkers for BC diagnosis, staging, and biomarker discovery. | UPLC-MS | * Saliva metabonomics approach may provide new insights into the discovery of BC diagnostic biomarkers. | [53] |
| Diagnostic biomarkers | BC patients (n = 111), Control (n = 61) | To determine of polyamines including their acetylated structures for the diagnosis of BC patients. | UPLC-MS/MS | * The ratio of N8-Ac-SPD/ (N1-Ac-SPD + N8-Ac-SPD) can be used as a health status index after the surgical treatment. | [54] |
| Diagnostic biomarkers | BC patients (n = 66), Control (n = 40) | To explore the potential of the volatile composition of saliva samples as biosignatures for BC non-invasive diagnosis | GC-MS | * This study defined an experimental layout appropriate for the characterization of volatile fingerprints from saliva as potential biosignatures for BC non-invasive diagnosis. | [51] |
| Human Exhaled breath | - | - | - | - | - |
| Diagnostic tool | BC patients (n = 14), Control (n = 11) | To detect and identify human exhaled BC–related volatile profile | MS | * Eight metabolites enabled a clear discrimination of exhaled breath of BC patients from controls. * The analytical technique provided a non-invasive strategy to detect VOMs for the BC diagnosis. | [48] |
| Human Tissues | - | - | - | - | - |
| Diagnostic biomarkers | BC patients (n = 10) | To establish a detailed lipidomic characterization with the goal to find the statistically differences between BC and normal tissues. | HPLC-MS | * Total concentrations for phosphatidylinositols, phosphatidylcholines, phosphatidylethanolamines and lysophosphatidylcholines were increased leading to a clear differentiation by PCA and OPLS-DA. | [55] |
| Diagnostic biomarkers | Paired tumor and non-tumor liver (n = 60), breast (n = 130) and pancreatic (n = 76) | To assess the metabolomic profiling as a novel tool for multiclass cancer characterization | GC-MS, LC-MS | * The findings provided a framework to validate cancer-type specific metabolite levels in tumor tissues. | [56] |
| Diagnostic biomarkers | BC patients (n = 37), Control (n = 35) | To identify potential biomarkers that differs TNBC from ER+ BC | GC-MS, LC-MS/MS | * 133 metabolites presented significant differences between ER+ and TNBC tumors * The metabolic pathway of tumors can provide new treatment targets. | [57] |
| Diagnostic biomarkers | BC patients (n = 47), Control (n = 35) | To identify how TNBC differs from LABC subtypes within the African-American and Caucasian BC patients | HR-MAS-NMR | * Increased pyrimidine synthesis was related to TNBC in Caucasian women * Novel treatment targets for TNBC could be explored through the metabolic changes | [74] |
| Diagnostic biomarkers | BC patients (n = 228) | To distinguish between tumor and non-involved adjacent tissue | HR-MAS-NMR | * Metabolic profiling of tumor tissues by NMR can be a suitable method for the analysis of the resection margins during BC surgery | [75] |
| Diagnostic biomarkers | BC patients (n = 25), Control (n = 5) | To establish metabolic profiles of ER+ vs. ER− and of ER− subtypes linked to genetics | GC-MS, LC-MS | * Changes in the metabolic profile of ER− vs. ER + breast tumors were observed * The data represents a potential tool for the hypothesis testing of tumor metabolism | [76] |
| Diagnostic biomarkers | BC patients (n = 270), Control (n = 97) | To quantify the dysregulation of the glutamate-glutamine equilibrium in BC | GC-TOFMS | * A positive correlation between glutamate and glutamine in normal breast tissues was observed, whereas a negative correlation was obtained for normal tissues | [77] |
| Diagnostic biomarkers | 95 OC (84 peritoneal, 11 pleural), 10 BC (7 pleural, 2 peritoneal, 1 pericardial), and 10 malignant mesotheliomas (6 peritoneal, 4 pleural) | To identify the metabolic differences between ovarian serous carcinoma effusions obtained pre- and post-chemotherapy and compare ovarian carcinoma (OC) effusions with breast carcinoma and malignant mesothelioma specimens. | 1H-NMR | * Differences in metabolic profiles of different malignant effusions were detected * Metabolic characterization by NMR can be a technique to additional knowledge the mechanisms of effusion development | [78] |
| Therapy response | BC patients (n = 122) | To explore the effect of neoadjuvant therapy on metabolic profiles of BC tissues | HR-MAS-NMR | * Non-metastatic breast tumor tissue reflected different alterations in all patient groups after treatment. * Metabolic profiles discriminated pNRs from pMRD patients thus complementing other molecular assays allowing the knowledge of the underlying mechanisms affecting the response. | [79] |
| Therapy response | BC patients (n = 18) | To study metabolite levels in human BC tissue, assessing, for instance, correlations with prognostic factors, survival outcome or therapeutic response | HR-MAS-NMR | * Significant changes between the tumors were identified, indicating that the intertumoral changes for numerous metabolites were greater than the intratumoral changes for these three tumors. | [80] |
| Therapy response | BC patients (n = 37) | To determine whether metabolic profiling of core needle biopsy (CNB) samples using HR-MAS-NMR could be used for predicting pathologic response to neoadjuvant chemotherapy (NAC) in patients with locally advanced BC | HR-MAS-NMR | * The purposed method can be applied to predict the pathologic response before neoadjuvant chemotherapy | [81] |
| Therapy response | BC patients (n = 271) | To establish metabolic signatures for ER+ vs. ER− BC | GC-TOFMS | Some metabolites levels were increased in ER− subtype, such as, beta-alanine, glutamate and xanthine The down-regulation of the ABAT protein in ER− BC was confirmed by immunohistological analysis. | [82] |
| Mouse BC tissue | - | - | - | - | - |
| Metabolic reprogramming | MMTVPyMT, MMTV-PyMT-DB, MMTV-Wnt1, MMTV-Her2/neu, and C3(1)-SV40 T-antigen (C3-TAg) | To identify global metabolic profiles of breast tumors isolated from multiple transgenic mouse models and to identify unique metabolic signatures driven by these oncogenes | GC-MS, LC-MS/MS, CE-MS | * C3-TAg was the only cohort with a tumor metabolic signature composed of ten metabolites with significance prognostic value in BC patients | [83] |
| Data Analysis | ||||||
|---|---|---|---|---|---|---|
| Biological Sample | Data Pre-Treatment | Pre-Processing | Processing | Validation | Post-Processing | Reference |
| Diagnostic tool | - | - | - | - | - | - |
| Human BC cell lines | Scaling (Pareto scaled), Transformation (log transformed) | PCA, HCA | OPLS-DA | LOOCV, ROC | none | [43] |
| Centering (mean centered), Scaling (autoscaled) | ANOVA, PCA, HCA, Pearson correlation | PLS-DA | LOOCV | none | [46] | |
| Experimental correction (sample weight corrected) | PCA | none | none | none | [61] | |
| none | none | none | none | none | [45] | |
| none | ANOVA, PCA | PLS, LDA | K-CV | none | [44] | |
| Human blood | none | T-test | PLS-DA, LRA | ROC, Permutation test | none | [47] |
| Scaling (total intensity value scaled) | Wilcoxon test | RF | ROC, Bootstrapping | none | [58] | |
| Human Exhaled breath | Transformation (quantile transformed) | T-test | RF, SVM | LOOCV, ROC, Bootstrapping | none | [48] |
| Human plasma | none | Correlation feature selection (CFS) | LRA, SVM, RF | K-CV, ROC | Pathway-based metabolite sets analysis (pathifier) | [65] |
| Scaling (median value scaled), Transformation (log transformed) | ANOVA, PCA | none | none | none | [66] | |
| none | T-test, PCA, HCA | PLS-DA, RF | K-CV, ROC | Pathway enrichment analysis (metaboanalyst) | [33] | |
| Human BC cell lines, plasma | none | KS-test, T-test, PCA | none | none | none | [50] |
| Human saliva | none | none | none | none | none | [52] |
| Scaling (Pareto and total intensity value scaled) | T-test, PCA | PLS-DA | ROC, Permutation test | none | [53] | |
| none | none | LDA | K-CV, ROC | none | [54] | |
| Scaling (autoscaled and median value scaled), Transformation (cubic root transformed) | MW-test, HCA | PLS-DA, OPLS-DA | MCCV, Permutation test | none | [51] | |
| Experimental correction (internal standard corrected) | MW-test, PCA | PLS-DA, SVM, LRA | K-CV, ROC | none | [102] | |
| Human tissues | Scaling (Pareto scaled) | PCA | OPLS | K-CV | none | [55] |
| none | PCA, HCA | none | none | none | [56] | |
| Scaling (median scaled), Transformation (log transformed) | T-test | none | none | none | [57] | |
| Scaling (total intensity value scaled) | T-test | PLS-DA | LOOCV, ROC | Pathway enrichment analysis (metaboanalyst) | [74] | |
| Scaling (median scaled) | PCA | PLS-DA | LOOCV | none | [75] | |
| Scaling (median scaled) | T-test, PCA | PLS-DA | LOOCV | none | [78] | |
| Transformation (log transformed) | T-test, Pearson correlation, HCA | none | none | none | [76] | |
| none | T-test, Pearson correlation | PLS-DA | K-CV, ROC | none | [77] | |
| Human serum | Centering (mean centered), Scaling (total intensity value scaled) | PCA | PLS-DA, OPLS-DA | K-CV, ROC | none | [67] |
| Centering (mean centered), Scaling (total intensity value scaled) | T-test, PCA, ANOVA | OPLS | K-CV, ROC, Bootstrapping | none | [68] | |
| Transformation (log transformed), Experimental correction (internal standard corrected) | ANOVA, PCA | PLS-DA, LRA | K-CV, ROC | none | [69] | |
| Human urine | Scaling (autoscaled and median value scaled), Transformation (cubic root transformed) | T-test, HCA | PLS-DA, SVM, RF | MCCV, ROC | Pathway enrichment analysis (metaboanalyst) | [59] |
| Drug therapy | - | - | - | - | - | - |
| BC cell line | none | T-test | none | none | none | [62] |
| Human blood | Transformation (log transformed) | T-test, Pearson correlation | none | none | none | [70] |
| BC tissues | Centering (mean centered), Transformation (log transformed - only in univariate analysis) | T-test, Pearson correlation, PCA | PLS-DA | K-CV, Permutation test | none | [79] |
| Scaling (mean scaled - only in PCA) | ANOVA, Spearman correlation, PCA | RF | K-CV, Bootstrapping, Permutation test | none | [80] | |
| Scaling (total intensity value scaled) | MW-test | OPLS-DA | LOOCV | none | [81] | |
| none | Spearman correlation | none | none | none | [82] | |
| Serum | Scaling (total intensity value scaled) | T-test | PLS, PLS-DA | LOOCV, ROC | none | [71] |
| Serum, tissues, cell lines | none | T-test, ANOVA, PCA | PLS-DA | K-CV, ROC | Pathway enrichment analysis (metaboanalyst) | [63] |
| Urine | Scaling (total intensity value scaled) | KS-test, L-test, SW-test, T-test, PCA | OPLS-DA | K-CV, ROC | Pathway enrichment analysis (metaboanalyst) | [73] |
| none | T-test, PCA | PLS-DA | K-CV | none | [84] | |
| Metabolic reprogramming | - | - | - | - | - | - |
| Human BC cell lines, BC xenografts | none | ANOVA, PCA | PLS-DA | K-CV | none | [64] |
| Mouse BC tissue | Scaling (median scaled) | ANOVA, PCA | none | none | none | [83] |
| Endogenous factors | - | - | - | - | - | - |
| Human plasma | none | T-test, Spearman correlation, PCA | LRA | ROC | none | [31] |
| Human serum | Transformation (log transformed) | Pearson correlation, PCA | LRA | none | none | [72] |
© 2019 by the authors. Licensee MDPI, Basel, Switzerland. This article is an open access article distributed under the terms and conditions of the Creative Commons Attribution (CC BY) license (http://creativecommons.org/licenses/by/4.0/).
Share and Cite
Silva, C.; Perestrelo, R.; Silva, P.; Tomás, H.; Câmara, J.S. Breast Cancer Metabolomics: From Analytical Platforms to Multivariate Data Analysis. A Review. Metabolites 2019, 9, 102. https://doi.org/10.3390/metabo9050102
Silva C, Perestrelo R, Silva P, Tomás H, Câmara JS. Breast Cancer Metabolomics: From Analytical Platforms to Multivariate Data Analysis. A Review. Metabolites. 2019; 9(5):102. https://doi.org/10.3390/metabo9050102
Chicago/Turabian StyleSilva, Catarina, Rosa Perestrelo, Pedro Silva, Helena Tomás, and José S. Câmara. 2019. "Breast Cancer Metabolomics: From Analytical Platforms to Multivariate Data Analysis. A Review" Metabolites 9, no. 5: 102. https://doi.org/10.3390/metabo9050102
APA StyleSilva, C., Perestrelo, R., Silva, P., Tomás, H., & Câmara, J. S. (2019). Breast Cancer Metabolomics: From Analytical Platforms to Multivariate Data Analysis. A Review. Metabolites, 9(5), 102. https://doi.org/10.3390/metabo9050102

