Metabolomics-Based Study on the Anticonvulsant Mechanism of Acorus tatarinowii: GABA Transaminase Inhibition Alleviates PTZ-Induced Epilepsy in Rats
Abstract
1. Introduction
2. Materials and Methods
2.1. Chemicals
2.2. Network Pharmacology Profiling
2.3. Extraction of Essential Oil from ATS
2.4. Animals and Ethical Approval
2.5. Experimental Design
2.6. Sample Collection
2.7. Sample Preparation
2.8. UPLC Conditions
2.9. Mass Spectrometry Conditions
2.10. Inhibition Study of GABA-Transaminase
2.11. Statistical Analysis
3. Results
3.1. Network Pharmacology Analysis
3.2. QC Analysis
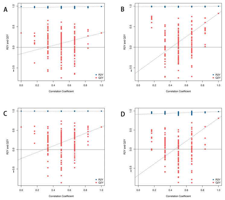
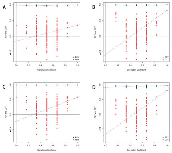
3.3. Metabolomics Analysis
3.4. Identification of Differentially Expressed Metabolites
3.5. Analysis of Metabolic Pathways of Potential Biomarkers
3.6. Inhibition Study of GABA-T
4. Discussion
5. Conclusions
Author Contributions
Funding
Institutional Review Board Statement
Informed Consent Statement
Data Availability Statement
Conflicts of Interest
Abbreviations
| GABA-T | GABA transaminase |
| PTZ | Pentylenetetrazol |
| ATS | Acorus tatarinowii Schott |
| TCM | Traditional Chinese medicine |
| KEGG | Kyoto Encyclopedia of Genes and Genomes |
| GO | Gene Ontology |
References
- Tsyvunin, V.; Shtrygol’, S.; Shtrygol’, D. Digoxin enhances the effect of antiepileptic drugs with different mechanism of action in the pentylenetetrazole-induced seizures in mice. Epilepsy Res. 2020, 167, 106465. [Google Scholar] [CrossRef]
- Cela, E.; McFarlan, A.R.; Chung, A.J.; Wang, T.; Chierzi, S.; Murai, K.K.; Sjöström, P.J. An optogenetic kindling model of neocortical epilepsy. Sci. Rep. 2019, 9, 5236. [Google Scholar] [CrossRef] [PubMed]
- Dwivedi, R.; Tiwari, P.; Pahuja, M.; Dada, R.; Tripathi, M. Anti-seizure medications and quality of life in person with epilepsy. Heliyon 2022, 8, e11073. [Google Scholar] [CrossRef] [PubMed]
- Tomson, T.; Zelano, J.; Dang, Y.L.; Perucca, P. The pharmacological treatment of epilepsy in adults. Epileptic Disord. 2023, 25, 649–669. [Google Scholar] [CrossRef]
- Wang, W.; Zhang, Y.; Yang, Y.; Gu, L. Network Pharmacology and molecular docking to explore the mechanism of Kangxian decoction for epilepsy. Evid. Based Complement. Alternat. Med. 2022, 2022, 3333878. [Google Scholar] [CrossRef] [PubMed]
- Lin, C.H.; Hsieh, C.L. Chinese herbal medicine for treating epilepsy. Front. Neurosci. 2021, 15, 682821. [Google Scholar] [CrossRef]
- Jiang, H.; Yang, L.; Hou, A.; Zhang, J.; Wang, S.; Man, W.; Zheng, S.; Yu, H.; Wang, X.; Yang, B.; et al. Botany, traditional uses, phytochemistry, analytical methods, processing, pharmacology and pharmacokinetics of Bupleuri Radix: A systematic review. Biomed Pharmacother. 2020, 131, 110679. [Google Scholar] [CrossRef]
- Chen, B.; Jin, W. A comprehensive review of stroke-related signaling pathways and treatment in western medicine and traditional Chinese medicine. Front. Neurosci. 2023, 17, 1200061. [Google Scholar] [CrossRef]
- Wang, M.; Tang, H.P.; Wang, S.; Hu, W.J.; Li, J.Y.; Yu, A.Q.; Bai, Q.X.; Yang, B.Y. Acorus tatarinowii Schott: A review of its botany, traditional uses, phytochemistry, and pharmacology. Molecules 2023, 28, 4525. [Google Scholar] [CrossRef]
- Zhang, F.H.; Wang, Z.M.; Liu, Y.T.; Huang, J.S.; Liang, S.; Wu, H.H.; Xu, Y.T. Bioactivities of serotonin transporter mediate antidepressant effects of Acorus tatarinowii Schott. J. Ethnopharmacol. 2019, 241, 111967. [Google Scholar] [CrossRef]
- Zhao, X.; Liang, L.; Xu, R.; Cheng, P.; Jia, P.; Bai, Y.; Zhang, Y.; Zhao, X.; Zheng, X.; Xiao, C. Revealing the antiepileptic effect of α-Asaronol on pentylenetetrazole-induced seizure rats using NMR-based metabolomics. ACS Omega 2022, 7, 6322–6334. [Google Scholar] [CrossRef]
- Zang, Z.Z.; Chen, L.M.; Liu, Y.; Guan, Y.M.; Du, Q.; Xu, P.; Shen, Q.; Yang, M.; Liu, H.N.; Liao, Z.G. Uncovering the protective mechanism of the volatile oil of Acorus tatarinowii against acute myocardial ischemia injury using network pharmacology and experimental validation. Evid. Based Complement. Alternat. Med. 2021, 2021, 6630795. [Google Scholar] [CrossRef]
- Horvath, T.D.; Dagan, S.; Scaraffia, P.Y. Unraveling mosquito metabolism with mass spectrometry-based metabolomics. Trends. Parasitol. 2021, 37, 747–761. [Google Scholar] [CrossRef]
- Wang, S.; Blair, I.A.; Mesaros, C. Analytical methods for mass spectrometry-based metabolomics studies. Adv. Exp. Med. Biol. 2019, 1140, 635–647. [Google Scholar] [PubMed]
- Li, Y.; Liu, X.; Liu, S.; Lu, J.; Chen, J.; Xiong, G.; Yang, S.; Li, S. Untargeted metabolomics reveals the protective effect of a traditional Chinese herbal decoction on cisplatin-induced acute kidney injury. Evid. Based Complement. Alternat. Med. 2020, 2020, 8524132. [Google Scholar] [CrossRef]
- Zhang, Y.; Yang, Y.; Ding, L.; Wang, Z.; Xiao, Y.; Xiao, W. Emerging applications of metabolomics to assess the efficacy of traditional Chinese medicines for treating type 2 diabetes mellitus. Front. Pharmacol. 2021, 12, 735410. [Google Scholar] [CrossRef]
- Bastos de Araújo, D.; Gurgel do Amaral, A.L.; Maia da Fonseca, S.; Rodrigues de Souza, K.; Santos da Paz, A.P.; Jóia de Mello, V.; Barbosa, G.B.; Otake Hamoy, M.K.; Hamoy, M. Lippia origanoides essential oil possesses anticonvulsant effect in pentylenetetrazol-induced seizures in rats: A behavioral, electroencephalographic, and electromyographic study. Front. Pharmacol. 2023, 14, 1289336. [Google Scholar] [CrossRef]
- Li, D.; Bai, X.; Jiang, Y.; Cheng, Y. Butyrate alleviates PTZ-induced mitochondrial dysfunction, oxidative stress and neuron apoptosis in mice via Keap1/Nrf2/HO-1 pathway. Brain Res. Bull. 2021, 168, 25–35. [Google Scholar] [CrossRef]
- Moreno-Torres, M.; García-Llorens, G.; Moro, E.; Méndez, R.; Quintás, G.; Castell, J.V. Factors that influence the quality of metabolomics data in in vitro cell toxicity studies: A systematic survey. Sci. Rep. 2021, 11, 22119. [Google Scholar] [CrossRef]
- Song, X.L.; Feng, G.; Li, L.L.; Li, W.; Wu, Z.G.; Wang, W.J.; Su, H.M.; Ren, C.C.; Zhu, G.L.; He, Z.Y. H-NMR-based metabolomics study on the effects of raw and processed radix Wikstroemia indica on endogenous metabolites in rat plasma. Pak. J. Pharm. Sci. 2023, 36, 801–809. [Google Scholar]
- Ezeako, E.C.; Nworah, F.N.; Osuji, D.O. Phytocompounds, antioxidant potential, and inhibitory actions of ethanolic leaf fraction of Sida linifolia Linn. (Malvaceae) on enzymes linked to infammation, diabetes, and neurological disorders. Futur. J. Pharm. Sci. 2023, 9, 73. [Google Scholar] [CrossRef]
- Ru, H.; Luan, F.; Shi, Y.; Zhang, X.; Guo, D.; Zhai, B.; Sun, J.; Zhang, D.; Feng, L.; Zou, J. Modified cinnabaris-stabilized pickering emulsions loaded with the essential oil of Acorus tatarinowii Schott: Preparation, characterization and in vitro evaluation. RSC Adv. 2024, 14, 31367–31384. [Google Scholar] [CrossRef] [PubMed]
- Su, Z.; Dhusia, K.; Wu, Y. Understanding the impacts of cellular environments on ligand binding of membrane receptors by computational simulations. J. Chem. Phys. 2021, 154, 055101. [Google Scholar] [CrossRef] [PubMed]
- Guo, X.; Wang, H.; Xu, J.; Hua, H. Impacts of vitamin A deficiency on biological rhythms: Insights from the literature. Front. Nutr. 2022, 9, 886244. [Google Scholar] [CrossRef]
- Bhagat, K.; Singh, J.V.; Pagare, P.P.; Kumar, N.; Sharma, A.; Kaur, G.; Kinarivala, N.; Gandu, S.; Singh, H.; Sharma, S.; et al. Rational approaches for the design of various GABA modulators and their clinical progression. Mol. Divers. 2021, 25, 551–601. [Google Scholar] [CrossRef]
- Khan, H.; Tiwari, C.; Grewal, A.K.; Singh, T.G.; Chauhan, S.; Batiha, G.E. Pharmacological modulation of phosphodiesterase-7 as a novel strategy for neurodegenerative disorders. Inflammopharmacology 2022, 30, 2051–2061. [Google Scholar] [CrossRef]
- Gey, L.; Gernert, M.; Löscher, W. Continuous bilateral infusion of vigabatrin into the subthalamic nucleus: Effects on seizure threshold and GABA metabolism in two rat models. Neurobiol. Dis. 2016, 91, 194–208. [Google Scholar] [CrossRef]
- Boguszewicz, Ł.; Jamroz, E.; Ciszek, M.; Emich-Widera, E.; Kijonka, M.; Banasik, T.; Skorupa, A.; Sokół, M. NMR-based metabolomics in pediatric drug resistant epilepsy-preliminary results. Sci. Rep. 2019, 9, 15035. [Google Scholar] [CrossRef] [PubMed]
- Chang, F.M. Update current understanding of neurometabolic disorders related to lysine metabolism. Epilepsy Behav. 2023, 146, 109363. [Google Scholar] [CrossRef]
- Minenkova, A.; Jansen, E.E.W.; Cameron, J.; Barto, R.; Hurd, T.; MacNeil, L.; Salomons, G.S.; Mercimek-Andrews, S. Is impaired energy production a novel insight into the pathogenesis of pyridoxine-dependent epilepsy due to biallelic variants in ALDH7A1? PLoS ONE 2021, 16, e0257073. [Google Scholar] [CrossRef]
- Alpdogan, S.; Neumaier, F.; Dibué-Adjei, M.; Hescheler, J.; Schneider, T. Intracerebroventricular administration of histidine reduces kainic acid-induced convulsive seizures in mice. Exp. Brain Res. 2019, 237, 2481–2493. [Google Scholar] [CrossRef]
- Moro, J.; Tomé, D.; Schmidely, P.; Demersay, T.C.; Azzout-Marniche, D. Histidine: A systematic review on metabolism and physiological effects in human and different animal species. Nutrients 2020, 12, 1414. [Google Scholar] [CrossRef]








| Metabolite | m/z | Formula | VIP | Trend (Model vs. Control) | Trend (ATS vs. Model) | Mode |
|---|---|---|---|---|---|---|
| D-erythro-1-(Imidazol-4-yl)glycerol 3-phosphate | 273.0081 | C6H11N2O6P | 1.7857 | up # | down * | − |
| Indolelactic acid | 204.0666 | C11H11NO3 | 1.7241 | up # | down * | − |
| Leucocyanidin | 341.0342 | C15H14O7 | 2.2200 | up # | down * | − |
| Ferulic acid | 433.1150 | C10H10O4 | 1.9900 | up # | down * | − |
| 10-Deoxymethymycin | 474.2883 | C25H43NO6 | 1.6613 | down # | up * | − |
| 3-(2-Furanyl)-2-propenal | 123.0461 | C7H6O2 | 1.8396 | down # | up * | + |
| Piperonal | 151.0397 | C8H6O3 | 1.6126 | down # | up * | + |
| Isobutyryl carnitine | 232.1558 | C11H21NO4 | 1.8639 | down # | up * | + |
| (Carbamoylamino) (2R)-2,5-diaminopentanoate | 155.0936 | C6H14N4O3 | 2.4082 | up # | down * | + |
| 2-((3-Aminopyridin-2-yl)methylene)hydrazinecarbothioamide | 413.1061 | C7H9N5S | 2.2088 | up # | down * | + |
| Adenine | 136.0625 | C5H5N5 | 2.3440 | up # | down * | + |
| 2,5-Dimethyl-1H-pyrrole | 96.0809 | C6H9N | 1.8603 | up # | down * | + |
| 3beta-[(Tetrahydro-2H-pyran-2-yl)oxy]androst-5-en-17beta-ol | 357.2803 | C24H38O3 | 2.2888 | up # | down * | + |
| Epothilone C | 477.2559 | C26H39NO5S | 2.1724 | up # | down * | + |
| Gemcitabine | 264.0811 | C9H11F2N3O4 | 1.7711 | down # | up * | + |
| Abscisic alcohol | 251.1660 | C15H22O3 | 1.9169 | up # | down * | + |
| 25-Hydroxyvitamin D3-26,23-lactone | 446.3295 | C27H40O4 | 1.8880 | down # | up * | + |
| (2R,3R)-3-Methylornithinyl-N6-lysine | 275.2032 | C12H26N4O3 | 1.6326 | up # | down * | + |
| 1,2,3,4-Tetrahydroisoquinoline-3-carboxylic acid | 177.0773 | C10H11NO2 | 2.3825 | up # | down * | + |
Disclaimer/Publisher’s Note: The statements, opinions and data contained in all publications are solely those of the individual author(s) and contributor(s) and not of MDPI and/or the editor(s). MDPI and/or the editor(s) disclaim responsibility for any injury to people or property resulting from any ideas, methods, instructions or products referred to in the content. |
© 2025 by the authors. Licensee MDPI, Basel, Switzerland. This article is an open access article distributed under the terms and conditions of the Creative Commons Attribution (CC BY) license (https://creativecommons.org/licenses/by/4.0/).
Share and Cite
Chen, L.; Li, J.; Fang, C.; Wang, J. Metabolomics-Based Study on the Anticonvulsant Mechanism of Acorus tatarinowii: GABA Transaminase Inhibition Alleviates PTZ-Induced Epilepsy in Rats. Metabolites 2025, 15, 175. https://doi.org/10.3390/metabo15030175
Chen L, Li J, Fang C, Wang J. Metabolomics-Based Study on the Anticonvulsant Mechanism of Acorus tatarinowii: GABA Transaminase Inhibition Alleviates PTZ-Induced Epilepsy in Rats. Metabolites. 2025; 15(3):175. https://doi.org/10.3390/metabo15030175
Chicago/Turabian StyleChen, Liang, Jiaxin Li, Chengwei Fang, and Jiepeng Wang. 2025. "Metabolomics-Based Study on the Anticonvulsant Mechanism of Acorus tatarinowii: GABA Transaminase Inhibition Alleviates PTZ-Induced Epilepsy in Rats" Metabolites 15, no. 3: 175. https://doi.org/10.3390/metabo15030175
APA StyleChen, L., Li, J., Fang, C., & Wang, J. (2025). Metabolomics-Based Study on the Anticonvulsant Mechanism of Acorus tatarinowii: GABA Transaminase Inhibition Alleviates PTZ-Induced Epilepsy in Rats. Metabolites, 15(3), 175. https://doi.org/10.3390/metabo15030175
