Alterations in Choline Metabolism in Non-Obese Individuals with Insulin Resistance and Type 2 Diabetes Mellitus
Abstract
1. Introduction
2. Materials and Methods
2.1. Data Source and Study Participants
2.2. Metabolomics
2.3. Statistical Analysis
3. Results
3.1. General Characteristics of Study Participants in the Non-Obese Cohort
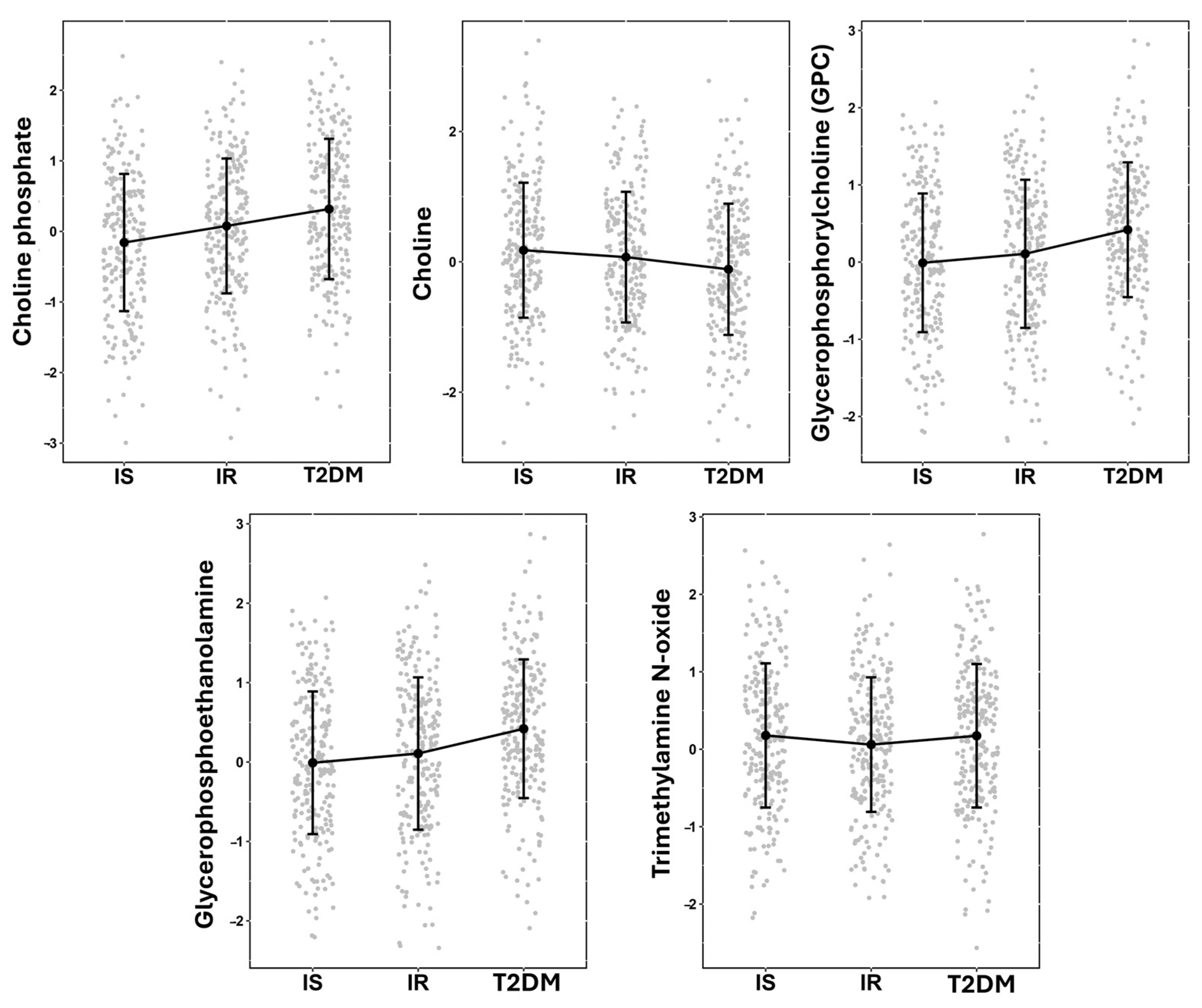
3.2. Phospholipid Metabolites Associated with Different Stages of Disease
3.3. Phospholipids Metabolites Differentiating IS from IR+T2D
3.4. Other Significant Phospholipid-Associated Metabolites Significantly Differentiating IS vs. IR+T2D in Non-Obese Participants
3.5. Correlation of Significant Metabolites with Mediators of Metabolic Disease
4. Discussion
5. Conclusions
6. Limitations
Supplementary Materials
Author Contributions
Funding
Institutional Review Board Statement
Informed Consent Statement
Data Availability Statement
Acknowledgments
Conflicts of Interest
References
- Wortmann, S.B.; Mayr, J.A. Choline-related-inherited metabolic diseases—A mini review. J. Inherit. Metab. Dis. 2019, 42, 237–242. [Google Scholar] [CrossRef]
- Zeisel, S.H.; da Costa, K.A. Choline: An essential nutrient for public health. Nutr. Rev. 2009, 67, 615–623. [Google Scholar] [CrossRef]
- Drescher, S.; van Hoogevest, P. The Phospholipid Research Center: Current Research in Phospholipids and Their Use in Drug Delivery. Pharmaceutics 2020, 12, 1235. [Google Scholar] [CrossRef]
- Dai, Y.; Tang, H.; Pang, S. The Crucial Roles of Phospholipids in Aging and Lifespan Regulation. Front. Physiol. 2021, 12, 775648. [Google Scholar] [CrossRef] [PubMed]
- Abbasi, M.S.P.; Tousi, A.Z.; Yazdani, Y.; Vahdat, S.; Gharebakhshi, F.; Nikrad, N.; Manzouri, A.; Ardekani, A.M.; Jafarzadeh, F. Dietary choline and betaine intake, cardio-metabolic risk factors and prevalence of metabolic syndrome among overweight and obese adults. BMC Endocr. Disord. 2023, 23, 67. [Google Scholar] [CrossRef]
- Dibaba, D.T.; Johnson, K.C.; Kucharska-Newton, A.M.; Meyer, K.; Zeisel, S.H.; Bidulescu, A. The Association of Dietary Choline and Betaine with the Risk of Type 2 Diabetes: The Atherosclerosis Risk in Communities (ARIC) Study. Diabetes Care 2020, 43, 2840–2846. [Google Scholar] [CrossRef] [PubMed]
- Wu, G.; Zhang, L.; Li, T.; Zuniga, A.; Lopaschuk, G.D.; Li, L.; Jacobs, R.L.; Vance, D.E. Choline Supplementation Promotes Hepatic Insulin Resistance in Phosphatidylethanolamine N-Methyltransferase-deficient Mice via Increased Glucagon Action. J. Biol. Chem. 2013, 288, 837–847. [Google Scholar] [CrossRef]
- Zhu, J.; Saikia, G.; Zhang, X.; Shen, X.; Kahe, K. One-Carbon Metabolism Nutrients, Genetic Variation, and Diabetes Mellitus. Diabetes Metab. J. 2024, 48, 170–183. [Google Scholar] [CrossRef]
- Al-Sulaiti, H.; Almaliti, J.; Naman, C.B.; Al Thani, A.A.; Yassine, H.M. Metabolomics Approaches for the Diagnosis, Treatment, and Better Disease Management of Viral Infections. Metabolites 2023, 13, 948. [Google Scholar] [CrossRef] [PubMed]
- Al Hariri, M.; Al-Sulaiti, H.; Anwardeen, N.; Naja, K.; Elrayess, M.A. Comparing the metabolic signatures of obesity defined by waist circumference, waist-hip ratio, or BMI. Obesity 2024, 32, 1494–1507. [Google Scholar] [CrossRef]
- Gu, X.; Al Dubayee, M.; Alshahrani, A.; Masood, A.; Benabdelkamel, H.; Zahra, M.; Li, L.; Rahman, A.M.A.; Aljada, A. Distinctive Metabolomics Patterns Associated With Insulin Resistance and Type 2 Diabetes Mellitus. Front. Mol. Biosci. 2020, 7, 609806. [Google Scholar] [CrossRef] [PubMed]
- Al-Sulaiti, H.; Diboun, I.; Agha, M.V.; Mohamed, F.F.S.; Atkin, S.; Dömling, A.S.; Elrayess, M.A.; Mazloum, N.A. Metabolic signature of obesity-associated insulin resistance and type 2 diabetes. J. Transl. Med. 2019, 17, 348. [Google Scholar] [CrossRef]
- Elrayess, M.A.; Rizk, N.M.; Fadel, A.S.; Kerkadi, A. Prevalence and Predictors of Insulin Resistance in Non-Obese Healthy Young Females in Qatar. Int. J. Environ. Res. Public Health 2020, 17, 5088. [Google Scholar] [CrossRef] [PubMed]
- Al-Khelaifi, F.; Diboun, I.; Donati, F.; Botrè, F.; Alsayrafi, M.; Georgakopoulos, C.; Suhre, K.; Yousri, N.A.; Elrayess, M.A. A pilot study comparing the metabolic profiles of elite-level athletes from different sporting disciplines. Sports Med. Open 2018, 4, 2. [Google Scholar] [CrossRef]
- DeHaven, C.D.; Evans, J.M.; Dai, H.; Lawton, K.A. Software techniques for enabling high-throughput analysis of metabolomic datasets. Metabolomics 2012, 10, 167–192. [Google Scholar] [CrossRef][Green Version]
- Evans, A.M.; DeHaven, C.D.; Barrett, T.; Mitchell, M.; Milgram, E. Integrated, Nontargeted Ultrahigh Performance Liquid Chromatography/Electrospray Ionization Tandem Mass Spectrometry Platform for the Identification and Relative Quantification of the Small-Molecule Complement of Biological Systems. Anal. Chem. 2009, 81, 6656–6667. [Google Scholar] [CrossRef]
- Chang, W.; Hatch, G.M.; Wang, Y.; Yu, F.; Wang, M. The relationship between phospholipids and insulin resistance: From clinical to experimental studies. J. Cell. Mol. Med. 2018, 23, 702–710. [Google Scholar] [CrossRef]
- Lemaitre, R.N.; Jensen, P.N.; Wang, Z.; Fretts, A.M.; McKnight, B.; Nemet, I.; Biggs, M.L.; Sotoodehnia, N.; de Oliveira Otto, M.C.; Psaty, B.M.; et al. Association of Trimethylamine N-Oxide and Related Metabolites in Plasma and Incident Type 2 Diabetes: The Cardiovascular Health Study. JAMA Netw. Open 2021, 4, e2122844. [Google Scholar] [CrossRef]
- Gao, X.; Wang, Y.; Sun, G. High dietary choline and betaine intake is associated with low insulin resistance in the Newfoundland population. Nutrition 2017, 33, 28–34. [Google Scholar] [CrossRef]
- Corbin, K.D.; Zeisel, S.H. Choline metabolism provides novel insights into nonalcoholic fatty liver disease and its progression. Curr. Opin. Gastroenterol. 2012, 28, 159–165. [Google Scholar] [CrossRef] [PubMed]
- Al-Aama, J.Y.; Al Mahdi, H.B.; Salama, M.A.; Bakur, K.H.; Alhozali, A.; Mosli, H.H. Detection of Secondary Metabolites as Biomarkers for the Early Diagnosis and Prevention of Type 2 Diabetes. Diabetes Metab. Syndr. Obes. 2019, 12, 2675–2684. [Google Scholar] [CrossRef]
- Fagone, P.; Jackowski, S. Phosphatidylcholine and the CDP-choline cycle. Biochim. Biophys. Acta 2013, 1831, 523–532. [Google Scholar] [CrossRef]
- Sonkar, K.; Ayyappan, V.; Tressler, C.M.; Adelaja, O.; Cai, R.; Cheng, M.; Glunde, K. Focus on the glycerophosphocholine pathway in choline phospholipid metabolism of cancer. NMR Biomed. 2019, 32, e4112. [Google Scholar] [CrossRef]
- Zeisel, S.H. Metabolic crosstalk between choline/1-carbon metabolism and energy homeostasis. Clin. Chem. Lab. Med. 2012, 51, 467–475. [Google Scholar] [CrossRef] [PubMed]
- Kumar, A.; Sundaram, K.; Mu, J.; Dryden, G.W.; Sriwastva, M.K.; Lei, C.; Zhang, L.; Qiu, X.; Xu, F.; Yan, J.; et al. High-fat diet-induced upregulation of exosomal phosphatidylcholine contributes to insulin resistance. Nat. Commun. 2021, 12, 213–234. [Google Scholar] [CrossRef] [PubMed]
- He, M.; Li, Z.; Tung, V.S.K.; Pan, M.; Han, X.; Evgrafov, O.; Jiang, X.-C. Inhibiting Phosphatidylcholine Remodeling in Adipose Tissue Increases Insulin Sensitivity. Diabetes 2023, 72, 1547–1559. [Google Scholar] [CrossRef]
- Suhre, K.; Meisinger, C.; Döring, A.; Altmaier, E.; Belcredi, P.; Gieger, C.; Chang, D.; Milburn, M.V.; Gall, W.E.; Weinberger, K.M.; et al. Metabolic Footprint of Diabetes: A Multiplatform Metabolomics Study in an Epidemiological Setting. PLoS ONE 2010, 5, e13953. [Google Scholar] [CrossRef]
- Germain, M.S.; Iraji, R.; Bakovic, M. Phosphatidylethanolamine homeostasis under conditions of impaired CDP-ethanolamine pathway or phosphatidylserine decarboxylation. Front. Nutr. 2023, 9, 1094273. [Google Scholar] [CrossRef] [PubMed]
- Dawaliby, R.; Trubbia, C.; Delporte, C.; Noyon, C.; Ruysschaert, J.-M.; Van Antwerpen, P.; Govaerts, C. Phosphatidylethanolamine Is a Key Regulator of Membrane Fluidity in Eukaryotic Cells. J. Biol. Chem. 2016, 291, 3658–3667. [Google Scholar] [CrossRef]
- Pilon, M. Revisiting the membrane-centric view of diabetes. Lipids Health Dis. 2016, 15, 167. [Google Scholar] [CrossRef]
- Younsi, M.; Quilliot, D.; Al-Makdissy, N.; Delbachian, I.; Drouin, P.; Donner, M.; Ziegler, O. Erythrocyte membrane phospholipid composition is related to hyperinsulinemia in obese nondiabetic women: Effects of weight loss. Metabolism 2002, 51, 1261–1268. [Google Scholar] [CrossRef] [PubMed]
- Gatarek, P.; Kaluzna-Czaplinska, J. Trimethylamine N-oxide (TMAO) in human health. EXCLI J. 2021, 20, 301–319. [Google Scholar]
- Papandreou, C.; Bulló, M.; Zheng, Y.; Ruiz-Canela, M.; Yu, E.; Guasch-Ferré, M.; Toledo, E.; Clish, C.; Corella, D.; Estruch, R.; et al. Plasma trimethylamine-N-oxide and related metabolites are associated with type 2 diabetes risk in the Prevención con Dieta Mediterránea (PREDIMED) trial. Am. J. Clin. Nutr. 2018, 108, 163–173. [Google Scholar] [CrossRef]
- Trøseid, M.; Hov, J.R.; Nestvold, T.K.; Thoresen, H.; Berge, R.K.; Svardal, A.; Lappegård, K.T. Major Increase in Microbiota-Dependent Proatherogenic Metabolite TMAO One Year After Bariatric Surgery. Metab. Syndr. Relat. Disord. 2016, 14, 197–201. [Google Scholar] [CrossRef]
- Roy, S.; Yuzefpolskaya, M.; Nandakumar, R.; Colombo, P.C.; Demmer, R.T. Plasma Trimethylamine-N-oxide and impaired glucose regulation: Results from The Oral Infections, Glucose Intolerance and Insulin Resistance Study (ORIGINS). PLoS ONE 2020, 15, e0227482. [Google Scholar] [CrossRef] [PubMed]
- Schugar, R.C.; Shih, D.M.; Warrier, M.; Helsley, R.N.; Burrows, A.; Ferguson, D.; Brown, A.L.; Gromovsky, A.D.; Heine, M.; Chatterjee, A.; et al. The TMAO-Producing Enzyme Flavin-Containing Monooxygenase 3 Regulates Obesity and the Beiging of White Adipose Tissue. Cell Rep. 2017, 19, 2451–2461. [Google Scholar] [CrossRef] [PubMed]
- Li, S.-Y.; Chen, S.; Lu, X.-T.; Fang, A.-P.; Chen, Y.-M.; Huang, R.-Z.; Lin, X.-L.; Huang, Z.-H.; Ma, J.-F.; Huang, B.-X.; et al. Serum trimethylamine-N-oxide is associated with incident type 2 diabetes in middle-aged and older adults: A prospective cohort study. J. Transl. Med. 2022, 20, 374. [Google Scholar] [CrossRef]
- Svingen, G.F.; Schartum-Hansen, H.; Pedersen, E.R.; Ueland, P.M.; Tell, G.S.; Mellgren, G.; Njølstad, P.R.; Seifert, R.; Strand, E.; Karlsson, T.; et al. Prospective Associations of Systemic and Urinary Choline Metabolites with Incident Type 2 Diabetes. Clin. Chem. 2016, 62, 755–765. [Google Scholar] [CrossRef]




| Variables | IS (n = 236) | IR (n = 36) | T2D (n = 236) | p-Value (KW) | IR+T2D (n = 472) | p-Value (IS vs. IR+T2D) |
|---|---|---|---|---|---|---|
| Sex | ||||||
| Male | 146 (61.86%) | 149 (62.3%) | 160 (66.9%) | 309 (65.47%) | 0.390 | |
| Female | 90 (38.14%) | 87 (36.4%) | 76 (31.8%) | 163 (34.53%) | ||
| Age (years) | 45 (39–49.25) | 45 (39–49) | 49.5 (41–57) | <0.001 | 46 (40–54) | 0.009 |
| BMI (kg/m2) | 26.91 (25.19–28.36) | 27.19 (25.43–28.61) | 27.1 (25.56–28.58) | 0.467 | 27.19 (25.48–28.6) | 0.228 |
| Average systolic BP (mmHg) | 114.5 (105–126) | 114 (107–123) | 119 (112–130) | <0.001 | 117 (109–127) | 0.039 |
| Average diastolic BP (mmHg) | 74 (67–82) | 75 (68–83) | 75.5 (69–81) | 0.935 | 75 (68–81) | 0.716 |
| Average pulse rate (beats/min) | 65 (59–70) | 67 (62–72) | 72 (65–79) | <0.001 | 68 (63–76) | <0.001 |
| HOMA-IR (mmol/L) | 1.31 (1–1.57) | 3.13 (2.2–4.86) | 4.84 (2.42–11.22) | <0.001 | 3.59 (2.21–7.19) | <0.001 |
| Insulin (pmol/L) | 6 (5–7) | 13.1 (10–20.02) | 13 (7.45–25.75) | <0.001 | 13 (9–22.4) | <0.001 |
| Glucose (mmol/L) | 4.82 (4.6–5.1) | 5.26 (4.9–5.7) | 7.5 (6.3–9.93) | <0.001 | 5.8 (5.1–7.5) | <0.001 |
| HBA1c (%) | 5.4 (5.1–5.7) | 5.5 (5.2–5.7) | 6.7 (6–8) | <0.001 | 5.8 (5.4–6.7) | <0.001 |
| C-Peptide (nmol/L) | 1.66 (1.42–2.11) | 3 (2.3–4.12) | 2.66 (1.73–4.06) | <0.001 | 2.84 (2.06–4.08) | <0.001 |
| Weight (kg) | 74.5 (67.52–80.88) | 74.75 (67.45–82.62) | 73.05 (66.9–80.5) | 0.371 | 74 (67.18–81.53) | 0.939 |
| Waist size (cm) | 86 (80.75–92) | 88 (82–94) | 90 (86–97) | <0.001 | 89 (83–95) | <0.001 |
| Hip size (cm) | 102 (98–106) | 103 (99–106) | 100 (97–104) | <0.001 | 101 (98–105.25) | 0.198 |
| Waist-to-hip ratio | 0.86 (0.79–0.9) | 0.87 (0.8–0.92) | 0.92 (0.84–0.96) | <0.001 | 0.89 (0.82–0.94) | <0.001 |
| Free thyroxine (pmol/L) | 13.22 (12.28–14.2) | 12.7 (11.88–13.7) | 13.12 (12.29–14.16) | 0.001 | 12.9 (12.05–13.83) | 0.019 |
| Free triiodothyronine (pmol/L) | 4.4 (4–4.7) | 4.5 (4.1–4.9) | 4.4 (4–4.8) | 0.076 | 4.45 (4.1–4.8) | 0.137 |
| Total cholesterol (mmol/L) | 5.1 (4.4–5.88) | 5.26 (4.6–5.85) | 4.94 (4.2–5.63) | 0.003 | 5.1 (4.4–5.75) | 0.499 |
| HDL cholesterol (mmol/L) | 1.35 (1.14–1.61) | 1.22 (1.04–1.45) | 1.13 (0.94–1.38) | <0.001 | 1.19 (0.99–1.43) | <0.001 |
| LDL cholesterol (mmol/L) | 3.08 (2.52–3.92) | 3.18 (2.75–3.94) | 3 (2.1–3.6) | 0.001 | 3 (2.37–3.76) | 0.259 |
| Triglyceride (mmol/L) | 1.1 (0.81–1.48) | 1.37 (0.99–2) | 1.69 (1.12–2.36) | <0.001 | 1.5 (1.05–2.2) | <0.001 |
| Total protein | 73 (71–76) | 73 (70–76) | 73 (70–75) | 0.146 | 73 (70–75) | 0.182 |
| Alkaline phosphatase (U/L) | 65 (54–80) | 67 (56–79) | 68 (56–81) | 0.434 | 67 (56–80) | 0.319 |
| ALT (GPT) (U/L) | 19 (14–27.25) | 22 (16–33) | 21 (16–31) | <0.001 | 21 (16–32) | <0.001 |
| AST (GOT) (U/L) | 18 (15–22) | 18 (16–24) | 17 (14–22) | 0.002 | 18 (15–23) | 0.932 |
| GGT (U/L) | 16.5 (13–26) | 24 (14–34.5) | 23 (15.5–35.5) | 0.026 | 23 (14.25–35) | 0.008 |
| GGT_2 (U/L) | 23 (17–31) | 27 (18.5–37) | 28 (18.5–42) | 0.032 | 27 (18.25–38) | 0.011 |
| Bilirubin Total (μmol/L) | 6.95 (5–9) | 6 (4.7–8.75) | 6.45 (4.62–9) | 0.346 | 6.2 (4.7–9) | 0.229 |
| Metabolite | Sub-Pathway | Estimate | SE | p-Value | FDR |
|---|---|---|---|---|---|
| Choline phosphate | Phospholipid Metabolism | 0.232 | 0.045 | 2.52 × 10−7 | 2.69 × 10−6 |
| Glycerophosphoethanolamine | Phospholipid Metabolism | 0.186 | 0.041 | 7.09 × 10−6 | 5.38 × 10−5 |
| Choline | Phospholipid Metabolism | −0.199 | 0.047 | 3.08 × 10−5 | 2.06 × 10−4 |
| Glycerophosphorylcholine (GPC) | Phospholipid Metabolism | 0.139 | 0.045 | 2.21 × 10−3 | 8.36 × 10−3 |
| Trimethylamine N-oxide | Phospholipid Metabolism | −0.108 | 0.041 | 9.01 × 10−3 | 2.82 × 10−2 |
| Metabolites | Sub-Pathway | Estimate | SE | p-Value | FDR |
|---|---|---|---|---|---|
| Choline phosphate | Phospholipid Metabolism | 0.299 | 0.077 | 1.19 × 10−4 | 8.18 × 10−4 |
| Choline | Phospholipid Metabolism | −0.303 | 0.082 | 2.31 × 10−4 | 1.45 × 10−3 |
| Trimethylamine N-oxide | Phospholipid Metabolism | −0.215 | 0.071 | 2.55 × 10−3 | 1.18 × 10−2 |
| Glycerophosphoethanolamine | Phospholipid Metabolism | 0.205 | 0.071 | 4.11 × 10−3 | 1.77 × 10−2 |
| Metabolite | Sub-Pathway | Estimate | SE | p-Value | FDR |
|---|---|---|---|---|---|
| 1-Palmitoyl-2-palmitoleoyl-GPC (16:0/16:1) * | Phosphatidylcholine | 0.431 | 0.068 | 4.51 × 10−10 | 1.78 × 10−8 |
| 1-Palmitoyl-2-oleoyl-GPC (16:0/18:1) | Phosphatidylcholine | 0.342 | 0.059 | 1.12 × 10−8 | 2.95 × 10−7 |
| 1-Palmitoyl-2-dihomo-linolenoyl-GPC (16:0/20:3n3 or 6) * | Phosphatidylcholine | 0.367 | 0.064 | 1.6 × 10−8 | 4.21 × 10−7 |
| 1-Palmitoyl-2-arachidonoyl-GPC (16:0/20:4n6) | Phosphatidylcholine | 0.333 | 0.060 | 4.17 × 10−8 | 9.55 × 10−7 |
| 1-Myristoyl-2-arachidonoyl-GPC (14:0/20:4) * | Phosphatidylcholine | 0.348 | 0.064 | 8.93 × 10−8 | 1.85 × 10−6 |
| 1-Stearoyl-2-oleoyl-GPC (18:0/18:1) | Phosphatidylcholine | 0.278 | 0.061 | 6.62 × 10−6 | 7.48 × 10−5 |
| 1-Myristoyl-2-palmitoyl-GPC (14:0/16:0) | Phosphatidylcholine | 0.288 | 0.071 | 5.17 × 10−5 | 4.06 × 10−4 |
| 1-Palmitoyl-2-linoleoyl-GPC (16:0/18:2) | Phosphatidylcholine | 0.265 | 0.073 | 3.04 × 10−4 | 1.81 × 10−3 |
| 1-Stearoyl-2-arachidonoyl-GPC (18:0/20:4) | Phosphatidylcholine | 0.220 | 0.063 | 5.30 × 10−4 | 3.01 × 10−3 |
| 1,2-Dipalmitoyl-GPC (16:0/16:0) | Phosphatidylcholine | 0.198 | 0.059 | 7.42 × 10−4 | 4.01 × 10−3 |
| 1-Palmitoyl-2-arachidonoyl-GPE (16:0/20:4) * | Phosphatidylethanolamine | 0.438 | 0.062 | 5.76 × 10−12 | 4.56 × 10−10 |
| 1-Palmitoyl-2-oleoyl-GPE (16:0/18:1) | Phosphatidylethanolamine | 0.440 | 0.067 | 8.78 × 10−11 | 4.50 × 10−9 |
| 1-Palmitoyl-2-linoleoyl-GPE (16:0/18:2) | Phosphatidylethanolamine | 0.421 | 0.068 | 9.41 × 10−10 | 3.28 × 10−8 |
| 1-Stearoyl-2-oleoyl-GPE (18:0/18:1) | Phosphatidylethanolamine | 0.370 | 0.069 | 1.23 × 10−7 | 2.39 × 10−6 |
| 1-Stearoyl-2-arachidonoyl-GPE (18:0/20:4) | Phosphatidylethanolamine | 0.357 | 0.068 | 2.26 × 10−7 | 4.02 × 10−6 |
| 1-Stearoyl-2-linoleoyl-GPE (18:0/18:2) * | Phosphatidylethanolamine | 0.340 | 0.075 | 7.54 × 10−6 | 8.31 × 10−5 |
| 1-Palmitoyl-2-docosahexaenoyl-GPE (16:0/22:6) * | Phosphatidylethanolamine | 0.226 | 0.064 | 3.96 × 10−4 | 2.31 × 10−3 |
| 1-Palmitoyl-2-arachidonoyl-GPI (16:0/20:4) * | Phosphatidylinositol | 0.319 | 0.077 | 3.50 × 10−5 | 2.90 × 10−4 |
| 1-Palmitoyl-2-oleoyl-GPI (16:0/18:1) * | Phosphatidylinositol | 0.300 | 0.076 | 8.53 × 10−5 | 6.24 × 10−4 |
| 1-Palmitoyl-2-linoleoyl-GPI (16:0/18:2) | Phosphatidylinositol | 0.302 | 0.077 | 9.11 × 10−5 | 6.62 × 10−4 |
| 1-Stearoyl-2-arachidonoyl-GPI (18:0/20:4) | Phosphatidylinositol | 0.280 | 0.076 | 2.32 × 10−4 | 1.45 × 10−3 |
Disclaimer/Publisher’s Note: The statements, opinions and data contained in all publications are solely those of the individual author(s) and contributor(s) and not of MDPI and/or the editor(s). MDPI and/or the editor(s) disclaim responsibility for any injury to people or property resulting from any ideas, methods, instructions or products referred to in the content. |
© 2024 by the authors. Licensee MDPI, Basel, Switzerland. This article is an open access article distributed under the terms and conditions of the Creative Commons Attribution (CC BY) license (https://creativecommons.org/licenses/by/4.0/).
Share and Cite
Al-Sulaiti, H.; Anwardeen, N.; Bashraheel, S.S.; Naja, K.; Elrayess, M.A. Alterations in Choline Metabolism in Non-Obese Individuals with Insulin Resistance and Type 2 Diabetes Mellitus. Metabolites 2024, 14, 457. https://doi.org/10.3390/metabo14080457
Al-Sulaiti H, Anwardeen N, Bashraheel SS, Naja K, Elrayess MA. Alterations in Choline Metabolism in Non-Obese Individuals with Insulin Resistance and Type 2 Diabetes Mellitus. Metabolites. 2024; 14(8):457. https://doi.org/10.3390/metabo14080457
Chicago/Turabian StyleAl-Sulaiti, Haya, Najeha Anwardeen, Sara S. Bashraheel, Khaled Naja, and Mohamed A. Elrayess. 2024. "Alterations in Choline Metabolism in Non-Obese Individuals with Insulin Resistance and Type 2 Diabetes Mellitus" Metabolites 14, no. 8: 457. https://doi.org/10.3390/metabo14080457
APA StyleAl-Sulaiti, H., Anwardeen, N., Bashraheel, S. S., Naja, K., & Elrayess, M. A. (2024). Alterations in Choline Metabolism in Non-Obese Individuals with Insulin Resistance and Type 2 Diabetes Mellitus. Metabolites, 14(8), 457. https://doi.org/10.3390/metabo14080457

