Validation of the Chemical and Biological Steps Required Implementing an Advanced Multi-Omics Approach for Assessing the Fate and Impact of Contaminants in Lagoon Sediments
Abstract
1. Introduction
2. Materials and Methods
2.1. Sediment and Water Sampling
2.2. Lagoon Status of Contamination—Analytical Development
2.2.1. Chemicals and Materials
- For water sample extraction, we used the following materials:
- For sediment sample extraction, we used the following materials:
- For UHPLC-MS/MS analyses, we used the following materials:
2.2.2. Extraction Protocols
- Water samples
- Sediment samples
2.2.3. UHPLC-MS(/MS) Analyses
2.2.4. Data Processing
2.3. Omics Approaches Setup
2.3.1. Non-Targeted Metabolomics
- Chemicals and materials
- Extraction protocols
- UHPLC-HRMS analyses
- Data processing
2.3.2. DNA Extraction and Metabarcoding Analyses
- Protocols for extracting DNA from sediments and assessing DNA quantity and quality
- Metabarcoding of 16S rRNAgene
- Bioinformatic analysis of amplicons sequences
3. Results and Discussion
3.1. Lagoon Status of Chemical Contamination
3.2. Omics Approaches Setup
3.2.1. Non-Targeted Metabolomics
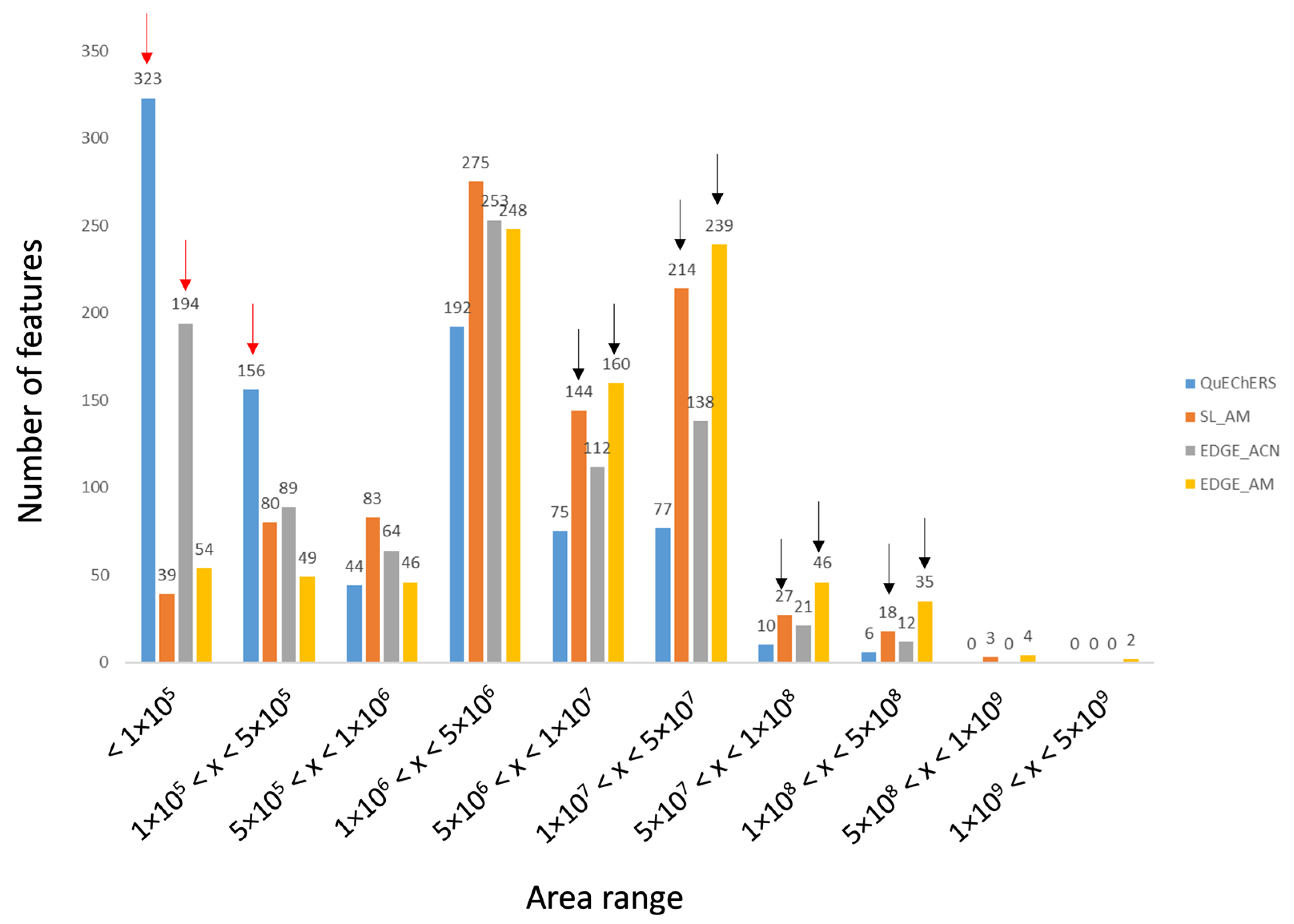
- Sediment meta-metabolome coverage and method efficiency
- Method reproducibility
- Putative family/metabolites identification
3.2.2. Effects of DNA Extraction Methods on the Determination of Soil Microbial Diversity in Sediment
- DNA extraction and PCR amplification differences between DNA extraction kits
- The DNA extraction kit influenced the alpha-diversity and composition of the sediment microbiome
4. Conclusions
Supplementary Materials
Author Contributions
Funding
Institutional Review Board Statement
Informed Consent Statement
Data Availability Statement
Acknowledgments
Conflicts of Interest
References
- Munaron, D.; Hubert, M.; Gonzalez, J.-L.; Tapie, N.; Budzinski, H.; Guyomarch, J.; Andral, B. Projet Echantillonneurs Passifs pour la Surveillance de la Contamination Chimique des Lagunes Méditerranéennes; Rapport; Ifremer: Plouzané, France, 2013. [Google Scholar]
- Munaron, D.; Derolez, V.; Foucault, E.; Cimiterra, N.; Tapie, N.; Budzinski, H.; Giraud, A. OBSLAG—Volet Pesticides. Bilan 2017–2019 du suivi des Lagunes Méditerranéennes; Rapport; Ifremer: Plouzané, France, 2020. [Google Scholar]
- Tuan Omar, T.F.; Aris, A.Z.; Yusoff, F.M.; Mustafa, S. An improved SPE-LC-MS/MS method for multiclass endocrine disrupting compound determination in tropical estuarine sediments. Talanta 2017, 173, 51–59. [Google Scholar] [CrossRef]
- Korkmaz, N.E.; Caglar, N.B.; Aksu, A. Presence and distribution of selected pharmaceutical compounds in water and surface sediment of the Golden Horn Estuary, Sea of Marmara, Turkey. Reg. Stud. Mar. Sci. 2022, 51, 2–13. [Google Scholar] [CrossRef]
- Duan, Y.-P.; Dai, C.-M.; Zhang, Y.-L.; Chen, L. Selective trace enrichment of acidic pharmaceuticals in real water and sediment samples based on solid-phase extraction using multi-templates molecularly imprinted polymers. Anal. Chim. Acta 2013, 758, 93–100. [Google Scholar] [CrossRef]
- Hlengwa, N.B.; Mahlambi, P.N. Ultrasonic Followed by Solid Phase Extraction and Liquid Chromatography-Photodiode Array for Determination of Pharmaceutical Compounds in Sediment and Soil. Bull. Environ. Contam. Toxicol. 2020, 104, 464–470. [Google Scholar] [CrossRef]
- Varga, M.; Dobor, J.; Helenkar, A.; Jurecska, L.; Yao, J.; Zaray, G. Investigation of acidic pharmaceuticals in river water and sediment by microwave-assisted extraction and gas chromatography–mass spectrometry. Microchem. J. 2010, 95, 353–358. [Google Scholar] [CrossRef]
- Vasquez-Roig, P.; Segarra, R.; Blasco, C.; Adreu, V.; Pico, Y. Determination of pharmaceuticals in soils and sediments by pressurized liquid extraction and liquid chromatography tandem mass spectrometry. J. Chromatogr. A 2010, 1217, 2471–2483. [Google Scholar] [CrossRef]
- Jelic, A.; Petrovic, M.; Barcelo, D. Multi-residue method for trace level determination of pharmaceuticals in solid samples using pressurized liquid extraction followed by liquid chromatography/quadrupole-linear ion trap mass spectrometry. Talanta 2009, 80, 363–371. [Google Scholar] [CrossRef]
- Li, Y.; Zhang, C.; Wang, X.; Liao, X.; Zhong, Q.; Zhou, T. Pollutant impacts on bacteria in surface water and sediment: Conventional versus emerging pollutants in Taihu Lake, China. Environ. Poll. 2023, 323, 121334. [Google Scholar] [CrossRef] [PubMed]
- Fang, C.; He, Y.; Yang, Y.; Fu, B.; Pan, S.; Jiao, F.; Wang, J.; Yang, H. Laboratory tidal microcosm deciphers responses of sediment archaeal and bacterial communities to microplastic exposure. J. Hazard. Mater. 2023, 458, 131813. [Google Scholar] [CrossRef] [PubMed]
- Lin, C.Y.; Viant, M.R.; Tjeerdema, R.S. Metabolomics: Methodologies and applications in the environmental sciences. J. Pestic. Sci. 2006, 31, 245–251. [Google Scholar] [CrossRef]
- Lankadurai, B.-P.; Nagato, E.-G.; Simpson, M.-J. Environmental metabolomics: An emerging approach to study organism responses to environmental stressors. Environ. Rev. 2013, 21, 180–205. [Google Scholar] [CrossRef]
- Bundy, J.-G.; Davey, M.-P.; Viant, M. Environmental metabolomics: A critical review and future perspectives. Metabolomics 2009, 5, 3–21. [Google Scholar] [CrossRef]
- Longnecker, K.; Futrelle, J.; Coburn, E.; Soule, M.C.-K.; Kujawinski, E.-B. Environmental metabolomics: Databases and tools for data analysis. Mar. Chem. 2015, 177, 366–373. [Google Scholar] [CrossRef]
- Bedia, C.; Cardoso, P.; Dalmau, N.; Garreta-Lara, E.; Gómez-Canela, C.; Gorrochategui, E.; Navarro-Reig, M.; Ortiz-Villanueva, E.; Puig-Castellví, F.; Tauler, R. Applications of Metabolomics Analysis in Environmental Research. Compr. Anal. Chem. 2018, 82, 533–582. [Google Scholar]
- Romdhane, S.; Devers-Lamrani, M.; Beguet, J.; Bertrand, C.; Calvayrac, C.; Salvia, M.-V.; Ben Jrad, B.; Dayan, F.E.; Spor, A.; Barthelmebs, L.; et al. Assessment of the ecotoxicological impact of natural and synthetic β-triketone herbicides on the diversity and activity of the soil bacterial community using omic approaches. Sci. Total Environ. 2019, 651, 241–249. [Google Scholar] [CrossRef]
- Patil, C.; Calvayrac, C.; Zhou, Y.; Romdhane, S.; Salvia, M.-V.; Cooper, J.-F.; Dayan, F.; Bertrand, C. Environmental Metabolic Footprinting: A novel application to study the impact of a natural and a synthetic β-triketone herbicide in soil. Sci. Total Environ. 2016, 566–567, 552–558. [Google Scholar] [CrossRef]
- Salvia, M.-V.; Ben Jrad, A.; Raviglione, D.; Zhou, Y.; Bertrand, C. Environmental Metabolic Footprinting (EMF) vs. half-life: A new and integrative proxy for the discrimination between control and pesticides exposed sediments in order to further characterise pesticides’ environmental impact. Environ. Sci. Pollut. Res. 2017, 25, 29841–29847. [Google Scholar] [CrossRef] [PubMed]
- Ghosson, H.; Raviglione, D.; Salvia, M.-V.; Bertrand, C. Online Headspace-Solid Phase Microextraction-Gas Chromatography-Mass Spectrometry-based untargeted volatile metabolomics for studying emerging complex biopesticides: A proof of concept. Anal. Chim. Acta 2020, 1134, 58–74. [Google Scholar] [CrossRef]
- Ghosson, H.; Guitton, Y.; Ben Jrad, A.; Patil, C.; Raviglione, D.; Salvia, M.-V.; Bertrand, C. Electrospray ionization and heterogeneous matrix effects in liquid chromatography/mass spectrometry based meta-metabolomics: A biomarker or a suppressed ion? Rapid Commun. Mass Spectrom. 2020, 35, e8977. [Google Scholar] [CrossRef] [PubMed]
- Ramos, M.; Ghosson, H.; Raviglione, D.; Bertrand, C.; Salvia, M.-V. Untargeted metabolomics as a tool to monitor biocontrol product residues’ fate on field-treated Prunus persica. Sci. Total Environ. 2022, 807, 150717. [Google Scholar] [CrossRef]
- Ghosson, H.; Raviglione, D.; Salvia, M.-V.; Bertrand, C. Characteristic response of formulation ingredients revealed by ultra high-performance liquid chromatography-electrospray ionization-high resolution mass spectrometry-based untargeted screening of pesticides in soil. J. Mass Spectrom. 2023, 58, e4962. [Google Scholar] [CrossRef] [PubMed]
- Ghosson, H.; Raviglione, D.; Bertrand, C.; Salvia, M.-V. LC-HRMS-Driven Computational Toolbox to Assess Extraction Protocols Dedicated to Untargeted Analysis: How to Ease Analyzing Pesticide-Contaminated Soils? Anal. Chem. 2024, 96, 2810–2821. [Google Scholar] [CrossRef]
- Shi, Z.; Kong, Q.; Li, X.; Xu, W.; Mao, C.; Wang, Y.; Song, W.; Huang, J. The effects of DNA extraction kits and primers on prokaryotic and eukaryotic microbial community in freshwater sediments. Microorganisms 2022, 10, 1213. [Google Scholar] [CrossRef] [PubMed]
- Pearman, J.K.; Keeley, N.B.; Wood, S.A.; Laroche, O.; Zaiko, A.; Thomson-Laing, G.; Biessy, L.; Atalah, J.; Pochon, X. Comparing sediment DNA extraction methods for assessing organic enrichment associated with marine aquaculture. PeerJ 2020, 8, 10231. [Google Scholar] [CrossRef] [PubMed]
- Yudha, D.S.; Priyono, D.S.; Izzati, R.; Nainggolan, A.P. Comparing DNA extraction from environmental DNA samples to reveal the diversity of freshwater metazoans. Biogenes. J. Ilm. Biol. 2021, 9, 206–212. [Google Scholar]
- Iturbe-Espinoza, P.; Brandt, B.W.; Braster, M.; Bonte, M.; Brown, D.M.; van Spanning, R.J.M. Effects of DNA preservation solution and DNA extraction methods on microbial community profiling of soil. Folia Microbiol. 2021, 66, 597–606. [Google Scholar] [CrossRef]
- Gűrtler, V.; Stanisich, V.A. New approaches to typing and identification of bacteria using the 16S-23S rDNA spacer region. Microbiology 1996, 142, 3–16. [Google Scholar] [CrossRef]
- Klindworth, A.; Pruesse, E.; Schweer, T.; Peplies, J.; Quast, C.; Horn, M.; Glöckner, F.O. Evaluation of general 16S ribosomal RNA gene PCR primers for classical and next-generation sequencing-based diversity studies. Nucleic Acids Res. 2013, 41, e1. [Google Scholar] [CrossRef] [PubMed]
- Callahan, B.J.; Mcmurdie, P.J.; Rosen, M.J.; Han, A.W.; Johnson, A.J.A.; Holmes, S.P. DADA2: High-resolution sample inference from Illumina amplicon data. Nat. Methods 2016, 13, 581–583. [Google Scholar] [CrossRef]
- McMurdie, P.J.; Holmes, S. Phyloseq: An R Package for Reproducible Interactive Analysis and Graphics of Microbiome Census Data. PLoS ONE 2013, 8, e61217. [Google Scholar] [CrossRef]
- Oksanen, J.; Blanchet, F.G.; Friendly, M.; Kindt, R.; Legendre, P.; McGlinn, D.; Minchin, P.R.; O‘Hara, R.B.; Simpson, G.L.; Solymos, P.; et al. Vegan: Community Ecology Package, (R package Version 2.4-3). 2017. Available online: https://cran.r-project.org/web/packages/vegan/vegan.pdf (accessed on 2 July 2024).
- Wickham, H. Ggplot2: Elegant Graphics for Data Analysis; Springer: New York, NY, USA, 2016. [Google Scholar]
- Chen, H.; Boutros, P.C. VennDiagram: A package for the generation of highly-customizable Venn and Euler diagrams in R. BMC Bioinform. 2011, 12, 35. [Google Scholar] [CrossRef]
- Wiest, L.; Gosset, A.; Fildier, A.; Libert, C.; Hervé, M.; Sibeud, E.; Giroud, B.; Vulliet, E.; Bastide, T.; Polomé, P.; et al. Occurrence and removal of emerging pollutants in urban sewage treatment plants using LC-QToF-MS suspect screening and quantification. Sci. Total Environ. 2021, 774, 145779. [Google Scholar] [CrossRef]
- Lafay, F.; Daniele, G.; Fieu, M.; Pelosi, C.; Fritsch, C.; Vulliet, E. Ultrasound-assisted QuEChERS-based extraction using EDTA for determination of currently-used pesticides at trace levels in soil. Environ. Sci. Pollut. Res. Int. 2022. [Google Scholar] [CrossRef]
- Bonnard, N.; Jargot, D.; Falcy, M. Base de Données Fiches Toxicologiques, Carbendazime, Fiche Toxicologique n°214; INRS: Paris, France, 2009; Available online: https://www.inrs.fr/dms/ficheTox/FicheFicheTox/FICHETOX_214-3/FicheTox_214.pdf (accessed on 2 July 2024).
- Lesueur, C.; Gartner, M.; Mentler, A.; Fuerhacker, M. Comparison of four extraction methods for the analysis of 24 pesticides in soil samples with gas chromatography–mass spectrometry and liquid chromatography–ion trap–mass spectrometry. Talanta 2008, 75, 284–293. [Google Scholar] [CrossRef]
- Drożdżyński, D.; Kowalska, J. Rapid analysis of organic farming insecticides in soil and produce using ultra-performance liquid chromatography/tandem mass spectrometry. Anal. Bioanal. Chem. 2009, 394, 2241–2247. [Google Scholar] [CrossRef]
- Asensio-Ramos, M.; Hernández-Borges, J.; Ravelo-Pérez, L.M.; Rodríguez-Delgado, M.A. Evaluation of a modified QuEChERS method for the extraction of pesticides from agricultural, ornamental and forestal soils. Anal. Bioanal. Chem. 2010, 396, 2307–2319. [Google Scholar] [CrossRef]
- Rashid, A.; Nawaz, S.; Barker, H.; Ahmad, I.; Ashraf, M. Development of a simple extraction and clean-up procedure for determination of organochlorine pesticides in soil using gas chromatography–tandem mass spectrometry. J. Chromatogr. A 2010, 1217, 2933–2939. [Google Scholar] [CrossRef]
- Salvia, M.-V.; Vulliet, E.; Wiest, L.; Baudot, R.; Cren-Olivé, C. Development of a multi-residue method using acetonitrile-based extraction followed by liquid chromatography–tandem mass spectrometry for the analysis of steroids and veterinary and human drugs at trace levels in soil. J. Chromatogr. A 2012, 1245, 122–133. [Google Scholar] [CrossRef]
- Berlioz-Barbier, A.; Buleté, A.; Faburé, J.; Garric, J.; Cren-Olivé, C.; Vulliet, E. Multi-residue analysis of emerging pollutants in benthic invertebrates by modified micro-quick-easy-cheap-efficient-rugged-safe extraction and nanoliquid chromatography–nanospray–tandem mass spectrometry analysis. J. Chromatogr. A 2014, 1367, 16–32. [Google Scholar] [CrossRef]
- Salvia, M.-V.; Cren-Olivé, C.; Wiest, L.; Baudot, R.; Vulliet, E. Comparison of Two Analytical Methods for the Determination of Traces of Veterinary Antibiotics and Steroid Hormones in Soil Based on Pressurised Liquid Extraction (PLE) and Quick, Easy, Cheap, Effective, Rugged, Safe (Modified-QuEChERS) Extraction. Pharm. Anal. Acta 2014, 5, 1000315. [Google Scholar]
- Daniele, G.; Fieu, M.; Joachim, S.; Bado-Nilles, A.; Beaudouin, R.; Baudoin, P.; James-Casas, A.; Andres, S.; Bonnard, M.; Bonnard, I.; et al. Determination of carbamazepine and 12 degradation products in various compartments of an outdoor aquatic mesocosm by reliable analytical methods based on liquid chromatography-tandem mass spectrometry. Environ. Sci. Pollut. Res. 2017, 24, 16893–16904. [Google Scholar] [CrossRef]
- Guironnet, A.; Wiest, L.; Vulliet, E. Advantages of MS/MS/MS (MRM3) vs classic MRM quantification for complex environmental matrices: Analysis of beta-lactams in WWTP sludge. Anal. Chim. Acta 2022, 1205, 339–773. [Google Scholar] [CrossRef] [PubMed]
- Kinross, A.D.; Hageman, K.J.; Doucette, W.J.; Foster, A.L. Comparison of Accelerated Solvent Extraction (ASE) and Energized Dispersive Guided Extraction (EDGE) for the analysis of pesticides in leaves. J. Chromatogr. A 2020, 1627, 461414. [Google Scholar] [CrossRef]
- Olivier, C.; Allen, B.; Luies, L. Optimising a urinary extraction method for non-targeted GC–MS metabolomics. Sci. Rep. 2023, 13, 17591. [Google Scholar] [CrossRef]
- van Bruggen, A.H.C.; Goss, E.M.; Havelaar, A.; van Diepeningen, A.D.; Finckh, M.R.; Morris, J.G., Jr. One Health—Cycling of diverse microbial communities as a connecting force for soil, plant, animal, human and ecosystem health. Sci. Total Environ. 2019, 664, 927–937. [Google Scholar] [CrossRef] [PubMed]
- Lim, M.Y.; Song, E.-J.; Kim, S.H.; Lee, J.; Nam, Y.-D. Comparison of DNA extraction methods for human gut microbial community profiling. Syst. Appl. Microbiol. 2018, 41, 151–157. [Google Scholar] [CrossRef]
- Gand, M.; Bloemen, B.; Vanneste, K.; Roosens, N.H.C.; De Keersmaecker, S.C.J. Comparison of 6 DNA extraction methods for isolation of high yield of high molecular weight DNA suitable for shotgun metagenomics Nanopore sequencing to detect bacteria. BMC Genom. 2023, 24, 438. [Google Scholar] [CrossRef] [PubMed]
- Dopheide, A.; Xie, D.; Buckley, T.R.; Drummond, A.J.; Newcomb, R.D. Impacts of DNA extraction and PCR on DNA metabarcoding estimates of soil biodiversity. Methods Ecol. Evol. 2018, 10, 120–133. [Google Scholar] [CrossRef]
- Wasimuddin, K.S.; Schlaeppi, K.; Ronchi, F.; Leib, S.L.; Erb, M.; Ramette, A. Evaluation of primer pairs for microbiome profiling from soils to humans within the One Health framework. Mol. Ecol. Resour. 2020, 20, 1558–1571. [Google Scholar] [CrossRef] [PubMed]
- Kim, B.-R.; Shin, J.; Guevarra, R.; Lee, J.H.; Kim, D.W.; Seol, K.-H.; Lee, J.-H.; Kim, H.B.; Isaacson, R. Deciphering Diversity Indices for a Better Understanding of Microbial Communities. J. Microbiol. Biotechnol. 2017, 27, 2089–2093. [Google Scholar] [CrossRef] [PubMed]
- Willis, A.D. Rarefaction, Alpha Diversity, and Statistics. Front. Microbiol. 2019, 10, 2407. [Google Scholar] [CrossRef] [PubMed]
- Yang, N.; Tian, C.; Lv, Y.; Hou, J.; Yang, Z.; Xiao, X.; Zhang, Y. Novel primers for 16S rRNA gene-based archaeal and bacterial community analysis in oceanic trench sediments. Appl. Microbiol. Biotechnol. 2022, 106, 2795–2809. [Google Scholar] [CrossRef] [PubMed]








| Substances | MLQ Water (ng/L) | Mean Conc Water (ng/L) | CV Water (%) | MLQ Sed. (ng/g) | Mean Conc Sed. (ng/g) | CV Sed. (%) |
|---|---|---|---|---|---|---|
| PHARMACEUTICALS | ||||||
| Flecainide (Antiarrhythmic) | 0.04 | 35.6 | 6.15 | 0.001 | 0.180 | 46.5 |
| Oxazepam (Psycholeptic) | 0.06 | 30.6 | 5.05 | 0.007 | 0.088 | 14.8 |
| Carbamazepine (Psycholeptic) | 0.03 | 22.6 | 3.30 | 0.007 | 0.076 | 7.21 |
| Fluconazole * (Antimycotic) | 0.06 | 12.1 | 7.55 | 0.001 | 0.030 | 0 |
| Paracetamol (Analgesic) | 1.2 | 9.15 | 8.50 | 0.04 | 0.092 | 14.2 |
| Telmisartan * (Hypertensive) | 0.01 | 8.44 | 20.4 | 0.02 | 0.240 | 47.5 |
| Tiapride (Neuroleptic) | 0.002 | 7.72 | 6.94 | 0.001 | 0.072 | 22.8 |
| Sulfamethoxazole (Antibiotic) | 0.02 | 7.54 | 7.36 | 0.008 | nd | - |
| Valsartan (Hypertensive) | 0.06 | 7.50 | 5.16 | 0.1 | nd | - |
| Cetirizine * (Antihistamine/Antiallergic) | 0.01 | 5.34 | 3.88 | 0.007 | 0.042 | 10.6 |
| Venlafaxine (Antidepressant) | 0.05 | 2.86 | 24.8 | 0.001 | 0.050 | 0 |
| Disopyramide * (Antiarrhythmic) | 0.05 | 2.76 | 8.34 | 0.001 | 0.054 | 10.1 |
| Diclofenac (Analgesic) | 0.05 | 1.58 | 12.1 | 0.004 | 0.120 | 37.3 |
| Amisulpride (Antiarrhythmic) | 0.01 | 1.14 | 4.80 | 0.003 | 0.036 | 15.2 |
| Citalopram * (Antidepressant) | 0.06 | 0.34 | 16.1 | 0.005 | 0.040 | 0 |
| PESTICIDES | ||||||
| Terbuthylazine (Herbicide) | 0.02 | 0.200 | 0 | 0.001 | 0.030 | 0 |
| Terbuthylazine-2-OH * (by-product) | 0.06 | 47.4 | 2.78 | 0.001 | 0.340 | 82.1 |
| Terbuthylazine Desethyl hydroxy * (by-product) | 0.04 | 4.40 | 14.9 | 0.001 | 0.028 | 16.0 |
| Carbendazim (Fungicide) | 0.02 | 12.8 | 7.85 | 0.001 | 26.3 | 9.55 |
| Atrazine (Herbicide) | 0.01 | 0.660 | 81.3 | 0.001 | 0.660 | 8.30 |
| Atrazine-2-Hydroxy * (by-product) | 0.02 | 2.98 | 7.65 | 0.001 | 0.0078 | 44.8 |
| Diuron (Herbicide) | 0.05 | 2.52 | 3.32 | 0.01 | 0.048 | 17.4 |
| Boscalid (Fungicide) | 0.08 | 2.00 | 10.0 | 0.01 | 0.046 | 68.0 |
| Propazine-2-Hydroxy * (by-product) | 0.02 | 1.48 | 3.02 | 0.001 | 0.058 | 39.3 |
| Tebuconazole * (Fungicide) | 0.05 | 1.14 | 4.80 | 0.001 | 0.072 | 6.21 |
| Imidaclopride (Insecticide) | 0.06 | 0.880 | 5.08 | 0.008 | nd | - |
| HORMONAL STEROIDS | ||||||
| Progesterone * (Progestogen) | 0.06 | 0.0900 | 11.1 | 0.005 | 0.064 | 34.2 |
| Testosterone * (Androgen) | 0.06 | nd | nd | 0.005 | 0.042 | 10.6 |
| Exp. m/z | RT (min) | Adduct | Elemental Composition | Putative Compound Class/Family | Putative Compound Identity |
|---|---|---|---|---|---|
| 96.9599 | 0.6 | [M − H]− | H2SO4 | Acid | Sulfuric acid |
| 121.0295 | 6.8 | [M − H]− | C7H6O2 | Acid | Benzoic acid |
| 268.1043 | 0.9 | [M + H]+ | C10H13N5O4 | Nucleoside | Adenosine |
| 287.0890 | 0.8 | [M + FA − H]− | C10H14N2O5 | Nucleoside | Thymidine |
| 327.2913 | 15.6 | [M − H]− | C20H40O3 | Fatty acyl (fatty acid/fatty ester) | 20-hydroxyeicosanoic acid |
| 355.3226 | 16.5 | [M − H]− | C22H44O3 | Fatty acyl (fatty acid/fatty ester) | 2-hydroxydocosanoic acid |
| 369.3378 | 16.9 | [M − H]− | C23H46O3 | Fatty acyl (fatty acid/fatty ester) | 2-hydroxytricosanoic acid |
| 379.2613 | 11.2/11.3 | [M + H]+ | C19H39O5P | Glycerophospholipid | (isomers) |
| 383.3540 | 17.4 | [M − H]− | C24H48O3 | Fatty acid | 2-hydroxy Lignoceric acid |
| 393.2769 | 11.8 | [M + H]+ | C20H41O5P | Glycerophospholipid | |
| 496.3394 | 12.8 | [M + H]+ | C24H50NO7P | Glycerophospholipid (glycerophosphocholine) | 1-O-palmitoyl-sn-glycero-3-phosphocholine |
| 497.2898 | 12.6 | [M − H]− | C23H47O9P | Glycerophospholipid | [3-[2,3-dihydroxypropoxy(hydroxy)phosphoryl]oxy-2-hydroxypropyl] heptadecanoate |
| 552.4642 | 17.8 | [M − H]− | C33H63NO5 | Sphingolipid | |
| 566.4282 | 7.71 | [M + H]+ | C30H55N5O5 | Natural cyclopeptide | Clavatustide C |
| 566.4799 | 18.2 | [M − H]− | C34H65NO5 | Lipid/sphingolipid | |
| 653.5118 | 17.6 | [M − H]− | C37H70N2O7 | Lipopeptide (containing serine) | |
| 753.5292 | 16.1 | [M − H]− | C42H70N6O6 | Peptide |
Disclaimer/Publisher’s Note: The statements, opinions and data contained in all publications are solely those of the individual author(s) and contributor(s) and not of MDPI and/or the editor(s). MDPI and/or the editor(s) disclaim responsibility for any injury to people or property resulting from any ideas, methods, instructions or products referred to in the content. |
© 2024 by the authors. Licensee MDPI, Basel, Switzerland. This article is an open access article distributed under the terms and conditions of the Creative Commons Attribution (CC BY) license (https://creativecommons.org/licenses/by/4.0/).
Share and Cite
Mejait, A.; Fildier, A.; Giroud, B.; Daniele, G.; Wiest, L.; Raviglione, D.; Kotarba, J.; Toulza, E.; Ramirez, T.; Lanseman, A.; et al. Validation of the Chemical and Biological Steps Required Implementing an Advanced Multi-Omics Approach for Assessing the Fate and Impact of Contaminants in Lagoon Sediments. Metabolites 2024, 14, 454. https://doi.org/10.3390/metabo14080454
Mejait A, Fildier A, Giroud B, Daniele G, Wiest L, Raviglione D, Kotarba J, Toulza E, Ramirez T, Lanseman A, et al. Validation of the Chemical and Biological Steps Required Implementing an Advanced Multi-Omics Approach for Assessing the Fate and Impact of Contaminants in Lagoon Sediments. Metabolites. 2024; 14(8):454. https://doi.org/10.3390/metabo14080454
Chicago/Turabian StyleMejait, Anouar, Aurélie Fildier, Barbara Giroud, Gaëlle Daniele, Laure Wiest, Delphine Raviglione, Jules Kotarba, Eve Toulza, Triana Ramirez, Alexia Lanseman, and et al. 2024. "Validation of the Chemical and Biological Steps Required Implementing an Advanced Multi-Omics Approach for Assessing the Fate and Impact of Contaminants in Lagoon Sediments" Metabolites 14, no. 8: 454. https://doi.org/10.3390/metabo14080454
APA StyleMejait, A., Fildier, A., Giroud, B., Daniele, G., Wiest, L., Raviglione, D., Kotarba, J., Toulza, E., Ramirez, T., Lanseman, A., Clerissi, C., Vulliet, E., Calvayrac, C., & Salvia, M.-V. (2024). Validation of the Chemical and Biological Steps Required Implementing an Advanced Multi-Omics Approach for Assessing the Fate and Impact of Contaminants in Lagoon Sediments. Metabolites, 14(8), 454. https://doi.org/10.3390/metabo14080454

