Is Lipid Metabolism of Value in Cancer Research and Treatment? Part II: Role of Specialized Pro-Resolving Mediators in Inflammation, Infections, and Cancer
Abstract
1. Introduction
2. E-Series Resolvins
3. D-Series Resolvins
4. Protectins
5. Maresins
6. Therapeutic Effectiveness of SPMs in Respiratory Inflammation and Injury
7. SPMs in Ischemic Injury
8. The Role of SPMs in Cancer
9. Conclusions
Funding
Institutional Review Board Statement
Informed Consent Statement
Data Availability Statement
Acknowledgments
Conflicts of Interest
References
- Serhan, C.N. Pro-resolving lipid mediators are leads for resolution physiology. Nature 2014, 510, 92–101. [Google Scholar] [CrossRef] [PubMed]
- Medzhitov, R. The spectrum of inflammatory responses. Science 2021, 374, 1070–1075. [Google Scholar] [CrossRef] [PubMed]
- Serhan, C.N.; Clish, C.B.; Brannon, J.; Colgan, S.P.; Chiang, N.; Gronert, K. Novel functional sets of lipid-derived mediators with antiinflammatory actions generated from omega-3 fatty acids via cyclooxygenase 2-nonsteroidal antiinflammatory drugs and transcellular processing. J. Exp. Med. 2000, 192, 1197–1204. [Google Scholar] [CrossRef] [PubMed]
- Serhan, C.N.; Hong, S.; Gronert, K.; Colgan, S.P.; Devchand, P.R.; Mirick, G.; Moussignac, R.-L. Resolvins: A family of bioactive products of omega-3 fatty acid transformation circuits initiated by aspirin treatment that counter proinflammation signals. J. Exp. Med. 2002, 196, 1025–1037. [Google Scholar] [CrossRef] [PubMed]
- Serhan, C.N.; Yang, R.; Martinod, K.; Kasuga, K.; Pillai, P.S.; Porter, T.F.; Oh, S.F.; Spite, M. Maresins: Novel macrophage mediators with potent antiinflammatory and proresolving actions. J. Exp. Med. 2009, 206, 15–23. [Google Scholar] [CrossRef] [PubMed]
- Mukherjee, P.K.; Marcheselli, V.L.; Barreiro, S.; Hu, J.; Bok, D.; Bazan, N.G. Neurotrophins enhance retinal pigment epithelial cell survival through neuroprotectin D1 signaling. Proc. Natl. Acad. Sci. USA 2007, 104, 13152–13157. [Google Scholar] [CrossRef] [PubMed]
- Li, W.; Shepherd, H.M.; Terada, Y.; Shay, A.E.; Bery, A.I.; Gelman, A.E.; Lavine, K.J.; Serhan, C.N.; Kreisel, D. Resolvin D1 prevents injurious neutrophil swarming in transplanted lungs. Proc. Natl. Acad. Sci. USA 2023, 120, e2302938120. [Google Scholar] [CrossRef] [PubMed]
- Fredman, G.; Serhan, C.N. Specialized pro-resolving mediators in vascular inflammation and atherosclerotic cardiovascular disease. Nat. Rev. Cardiol. 2024, 1–16. [Google Scholar] [CrossRef]
- Serhan, C.N. Treating inflammation and infection in the 21st century: New hints from decoding resolution mediators and mechanisms. FASEB J. 2017, 31, 1273–1288. [Google Scholar] [CrossRef]
- Merched, A.J.; Ko, K.; Gotlinger, K.H.; Serhan, C.N.; Chan, L. Atherosclerosis: Evidence for impairment of resolution of vascular inflammation governed by specific lipid mediators. FASEB J. 2008, 22, 3595–3606. [Google Scholar] [CrossRef]
- Krashia, P.; Cordella, A.; Nobili, A.; La Barbera, L.; Federici, M.; Leuti, A.; Campanelli, F.; Natale, G.; Marino, G.; Calabrese, V.; et al. Author Correction: Blunting neuroinflammation with resolvin D1 prevents early pathology in a rat model of Parkinson’s disease. Nat. Commun. 2019, 10, 4725. [Google Scholar] [CrossRef] [PubMed]
- Wang, X.; Jiao, W.; Lin, M.; Lu, C.; Liu, C.; Wang, Y.; Ma, D.; Wang, X.; Yin, P.; Feng, J.; et al. Resolution of inflammation in neuromyelitis optica spectrum disorders. Mult. Scler. Relat. Disord. 2019, 27, 34–41. [Google Scholar] [CrossRef]
- Wang, X.; Zhu, M.; Hjorth, E.; Cortés-Toro, V.; Eyjolfsdottir, H.; Graff, C.; Nennesmo, I.; Palmblad, J.; Eriksdotter, M.; Sambamurti, K.; et al. Resolution of inflammation is altered in Alzheimer’s disease. Alzheimer’s Dement. 2015, 11, 40–50.e2. [Google Scholar] [CrossRef] [PubMed]
- Karp, C.L.; Flick, L.M.; Park, K.W.; Softic, S.; Greer, T.M.; Keledjian, R.; Yang, R.; Uddin, J.; Guggino, W.B.; Atabani, S.F.; et al. Defective lipoxin-mediated anti-inflammatory activity in the cystic fibrosis airway. Nat. Immunol. 2004, 5, 388–392. [Google Scholar] [CrossRef] [PubMed]
- Norling, L.V.; Headland, S.E.; Dalli, J.; Arnardottir, H.H.; Haworth, O.; Jones, H.R.; Irimia, D.; Serhan, C.N.; Perretti, M. Proresolving and cartilage-protective actions of resolvin D1 in inflammatory arthritis. J. Clin. Investig. 2023, 8, e168728. [Google Scholar] [CrossRef] [PubMed]
- Jin, Y.; Arita, M.; Zhang, Q.; Saban, D.R.; Chauhan, S.K.; Chiang, N.; Serhan, C.N.; Dana, R. Anti-angiogenesis effect of the novel anti-inflammatory and pro-resolving lipid mediators. Investig. Ophthalmol. Vis. Sci. 2009, 50, 4743–4752. [Google Scholar] [CrossRef] [PubMed]
- Pal, A.; Al-Shaer, A.E.; Guesdon, W.; Torres, M.J.; Armstrong, M.; Quinn, K.; Davis, T.; Reisdorph, N.; Neufer, P.D.; Spangenburg, E.E.; et al. Resolvin E1 derived from eicosapentaenoic acid prevents hyperinsulinemia and hyperglycemia in a host genetic manner. FASEB J. 2020, 34, 10640–10656. [Google Scholar] [CrossRef]
- López-Vicario, C.; Sebastián, D.; Casulleras, M.; Duran-Güell, M.; Flores-Costa, R.; Aguilar, F.; Lozano, J.; Zhang, I.W.; Kang, J.X.; Zorzano, A.; et al. Essential lipid autacoids rewire mitochondrial energy efficiency in metabolic dysfunction-associated fatty liver disease. Hepatology 2023, 77, 1303–1318. [Google Scholar] [CrossRef]
- Sansbury, B.E.; Li, X.; Wong, B.; Patsalos, A.; Giannakis, N.; Zhang, M.J.; Nagy, L.; Spite, M. Myeloid ALX/FPR2 regulates vascularization following tissue injury. Proc. Natl. Acad. Sci. USA 2020, 117, 14354–14364. [Google Scholar] [CrossRef]
- Rymut, N.; Heinz, J.; Sadhu, S.; Hosseini, Z.; Riley, C.O.; Marinello, M.; Maloney, J.; MacNamara, K.C.; Spite, M.; Fredman, G. Resolvin D1 promotes efferocytosis in aging by limiting senescent cell-induced MerTK cleavage. FASEB J. 2020, 34, 597–609. [Google Scholar] [CrossRef]
- Zirpoli, H.; Sosunov, S.A.; Niatsetskaya, Z.V.; Mayurasakorn, K.; Manual Kollareth, D.J.; Serhan, C.N.; Ten, V.S.; Deckelbaum, R.J. NPD1 rapidly targets mitochondria-mediated apoptosis after acute injection protecting brain against ischemic injury. Exp. Neurol. 2021, 335, 113495. [Google Scholar] [CrossRef] [PubMed]
- Marcheselli, V.L.; Hong, S.; Lukiw, W.J.; Tian, X.H.; Gronert, K.; Musto, A.; Hardy, M.; Gimenez, J.M.; Chiang, N.; Serhan, C.N.; et al. Novel docosanoids inhibit brain ischemia-reperfusion-mediated leukocyte infiltration and pro-inflammatory gene expression. J. Biol. Chem. 2003, 278, 43807–43817. [Google Scholar] [CrossRef] [PubMed]
- Peh, H.Y.; Brüggemann, T.R.; Duvall, M.G.; Nshimiyimana, R.; Nijmeh, J.; Cinelli, M.A.; Israel, E.; Serhan, C.N.; Levy, B.D. Resolvin D2 regulates type 2 inflammatory responses and promotes resolution of mouse allergic inflammation. Allergy 2024, 79, 739–743. [Google Scholar] [CrossRef]
- Brüggemann, T.R.; Peh, H.Y.; Tavares, L.P.; Nijmeh, J.; Shay, A.E.; Rezende, R.M.; Lanser, T.B.; Serhan, C.N.; Levy, B.D. Eosinophil Phenotypes Are Functionally Regulated by Resolvin D2 during Allergic Lung Inflammation. Am. J. Respir. Cell Mol. Biol. 2023, 69, 666–677. [Google Scholar] [CrossRef] [PubMed]
- Puzzovio, P.G.; Pahima, H.; George, T.; Mankuta, D.; Eliashar, R.; Tiligada, E.; Levy, B.D.; Levi-Schaffer, F. Mast cells contribute to the resolution of allergic inflammation by releasing resolvin D1. Pharmacol. Res. 2023, 189, 106691. [Google Scholar] [CrossRef] [PubMed]
- Libreros, S.; Nshimiyimana, R.; Lee, B.; Serhan, C.N. Infectious neutrophil deployment is regulated by resolvin D4. Blood 2023, 142, 589–606. [Google Scholar] [CrossRef] [PubMed]
- Chiang, N.; de la Rosa, X.; Libreros, S.; Serhan, C.N. Novel Resolvin D2 Receptor Axis in Infectious Inflammation. J. Immunol. 2017, 198, 842–851. [Google Scholar] [CrossRef] [PubMed]
- El Kebir, D.; Gjorstrup, P.; Filep, J.G. Resolvin E1 promotes phagocytosis-induced neutrophil apoptosis and accelerates resolution of pulmonary inflammation. Proc. Natl. Acad. Sci. USA 2012, 109, 14983–14988. [Google Scholar] [CrossRef] [PubMed]
- Panigrahy, D.; Gilligan, M.M.; Serhan, C.N.; Kashfi, K. Resolution of inflammation: An organizing principle in biology and medicine. Pharmacol. Ther. 2021, 227, 107879. [Google Scholar] [CrossRef]
- Cezar, T.L.C.; Martinez, R.M.; Rocha, C.D.; Melo, C.P.B.; Vale, D.L.; Borghi, S.M.; Fattori, V.; Vignoli, J.A.; Camilios-Neto, D.; Baracat, M.M.; et al. Treatment with maresin 1, a docosahexaenoic acid-derived pro-resolution lipid, protects skin from inflammation and oxidative stress caused by UVB irradiation. Sci. Rep. 2019, 9, 3062. [Google Scholar] [CrossRef]
- Sulciner, M.L.; Serhan, C.N.; Gilligan, M.M.; Mudge, D.K.; Chang, J.; Gartung, A.; Lehner, K.A.; Bielenberg, D.R.; Schmidt, B.; Dalli, J.; et al. Addendum: Resolvins suppress tumor growth and enhance cancer therapy. J. Exp. Med. 2024, 221, e2017068101232024a. [Google Scholar] [CrossRef] [PubMed]
- Endo, J.; Sano, M.; Isobe, Y.; Fukuda, K.; Kang, J.X.; Arai, H.; Arita, M. 18-HEPE, an n-3 fatty acid metabolite released by macrophages, prevents pressure overload-induced maladaptive cardiac remodeling. J. Exp. Med. 2014, 211, 1673–1687. [Google Scholar] [CrossRef] [PubMed]
- Kim, N.; Ramon, S.; Thatcher, T.H.; Woeller, C.F.; Sime, P.J.; Phipps, R.P. Specialized proresolving mediators (SPMs) inhibit human B-cell IgE production. Eur. J. Immunol. 2016, 46, 81–91. [Google Scholar] [CrossRef] [PubMed]
- Alqahtani, S.; Xia, L.; Jannasch, A.; Ferreira, C.; Franco, J.; Shannahan, J.H. Disruption of pulmonary resolution mediators contribute to exacerbated silver nanoparticle-induced acute inflammation in a metabolic syndrome mouse model. Toxicol. Appl. Pharmacol. 2021, 431, 115730. [Google Scholar] [CrossRef] [PubMed]
- Valdes, A.M.; Ravipati, S.; Menni, C.; Abhishek, A.; Metrustry, S.; Harris, J.; Nessa, A.; Williams, F.M.K.; Spector, T.D.; Doherty, M.; et al. Association of the resolvin precursor 17-HDHA, but not D- or E- series resolvins, with heat pain sensitivity and osteoarthritis pain in humans. Sci. Rep. 2017, 7, 10748. [Google Scholar] [CrossRef]
- Serhan, C.N.; Petasis, N.A. Resolvins and protectins in inflammation resolution. Chem. Rev. 2011, 111, 5922–5943. [Google Scholar] [CrossRef]
- Serhan, C.N.; Chiang, N.; Dalli, J. The resolution code of acute inflammation: Novel pro-resolving lipid mediators in resolution. Semin. Immunol. 2015, 27, 200–215. [Google Scholar] [CrossRef] [PubMed]
- Serhan, C.N.; Dalli, J.; Colas, R.A.; Winkler, J.W.; Chiang, N. Protectins and maresins: New pro-resolving families of mediators in acute inflammation and resolution bioactive metabolome. Biochim. Biophys. Acta 2015, 1851, 397–413. [Google Scholar] [CrossRef]
- Sundarasivarao, P.Y.K.; Walker, J.M.; Rodriguez, A.; Spur, B.W.; Yin, K. Resolvin D2 induces anti-microbial mechanisms in a model of infectious peritonitis and secondary lung infection. Front. Immunol. 2022, 13, 1011944. [Google Scholar] [CrossRef]
- Walker, J.M.; Sundarasivarao, P.Y.K.; Thornton, J.M.; Sochacki, K.; Rodriguez, A.; Spur, B.W.; Acharya, N.K.; Yin, K. Resolvin D2 promotes host defense in a 2-hit model of sepsis with secondary lung infection. Prostaglandins Other Lipid Mediat. 2022, 159, 106617. [Google Scholar] [CrossRef]
- Krishnamoorthy, N.; Walker, K.H.; Brüggemann, T.R.; Tavares, L.P.; Smith, E.W.; Nijmeh, J.; Bai, Y.; Ai, X.; Cagnina, R.E.; Duvall, M.G.; et al. The Maresin 1-LGR6 axis decreases respiratory syncytial virus-induced lung inflammation. Proc. Natl. Acad. Sci. USA 2023, 120, e2206480120. [Google Scholar] [CrossRef] [PubMed]
- Oh, S.F.; Pillai, P.S.; Recchiuti, A.; Yang, R.; Serhan, C.N. Pro-resolving actions and stereoselective biosynthesis of 18S E-series resolvins in human leukocytes and murine inflammation. J. Clin. Investig. 2011, 121, 569–581. [Google Scholar] [CrossRef] [PubMed]
- Thornton, J.M.; Yin, K. Role of Specialized Pro-Resolving Mediators in Modifying Host Defense and Decreasing Bacterial Virulence. Molecules 2021, 26, 6970. [Google Scholar] [CrossRef] [PubMed]
- Aoki, S.; Deyama, S.; Sugie, R.; Ishimura, K.; Fukuda, H.; Shuto, S.; Minami, M.; Kaneda, K. The antidepressant-like effect of resolvin E1 in repeated prednisolone-induced depression model mice. Behav. Brain Res. 2022, 418, 113676. [Google Scholar] [CrossRef] [PubMed]
- Deyama, S.; Shimoda, K.; Suzuki, H.; Ishikawa, Y.; Ishimura, K.; Fukuda, H.; Hitora-Imamura, N.; Ide, S.; Satoh, M.; Kaneda, K.; et al. Resolvin E1/E2 ameliorate lipopolysaccharide-induced depression-like behaviors via ChemR23. Psychopharmacology 2018, 235, 329–336. [Google Scholar] [CrossRef] [PubMed]
- Arita, M.; Bianchini, F.; Aliberti, J.; Sher, A.; Chiang, N.; Hong, S.; Yang, R.; Petasis, N.A.; Serhan, C.N. Stereochemical assignment, antiinflammatory properties, and receptor for the omega-3 lipid mediator resolvin E1. J. Exp. Med. 2005, 201, 713–722. [Google Scholar] [CrossRef]
- Park, C.K.; Xu, Z.Z.; Liu, T.; Lü, N.; Serhan, C.N.; Ji, R.R. Resolvin D2 is a potent endogenous inhibitor for transient receptor potential subtype V1/A1, inflammatory pain, and spinal cord synaptic plasticity in mice: Distinct roles of resolvin D1, D2, and E1. J. Neurosci. 2011, 31, 18433–18438. [Google Scholar] [CrossRef] [PubMed]
- Fredman, G.; Van Dyke, T.E.; Serhan, C.N. Resolvin E1 regulates adenosine diphosphate activation of human platelets. Arterioscler. Thromb. Vasc. Biol. 2010, 30, 2005–2013. [Google Scholar] [CrossRef]
- Lee, C.T.; Teles, R.; Kantarci, A.; Chen, T.; McCafferty, J.; Starr, J.R.; Brito, L.C.N.; Paster, B.J.; Van Dyke, T.E. Resolvin E1 Reverses Experimental Periodontitis and Dysbiosis. J. Immunol. 2016, 197, 2796–2806. [Google Scholar] [CrossRef]
- Kuang, H.; Hua, X.; Zhou, J.; Yang, R. Resolvin D1 and E1 alleviate the progress of hepatitis toward liver cancer in long-term concanavalin A-induced mice through inhibition of NF-κB activity. Oncol. Rep. 2016, 35, 307–317. [Google Scholar] [CrossRef]
- Zong, L.; Li, J.; Chen, X.; Chen, K.; Li, W.; Li, X.; Zhang, L.; Duan, W.; Lei, J.; Xu, Q.; et al. Lipoxin A4 Attenuates Cell Invasion by Inhibiting ROS/ERK/MMP Pathway in Pancreatic Cancer. Oxidative Med. Cell. Longev. 2016, 2016, 6815727. [Google Scholar] [CrossRef] [PubMed]
- Panigrahy, D.; Gartung, A.; Yang, J.; Yang, H.; Gilligan, M.M.; Sulciner, M.L.; Bhasin, S.S.; Bielenberg, D.R.; Chang, J.; Schmidt, B.A.; et al. Preoperative stimulation of resolution and inflammation blockade eradicates micrometastases. J. Clin. Investig. 2019, 129, 2964–2979. [Google Scholar] [CrossRef] [PubMed]
- Oh, S.F.; Dona, M.; Fredman, G.; Krishnamoorthy, S.; Irimia, D.; Serhan, C.N. Resolvin E2 formation and impact in inflammation resolution. J. Immunol. 2012, 188, 4527–4534. [Google Scholar] [CrossRef] [PubMed]
- Tjonahen, E.; Oh, S.F.; Siegelman, J.; Elangovan, S.; Percarpio, K.B.; Hong, S.; Arita, M.; Serhan, C.N. Resolvin E2: Identification and anti-inflammatory actions: Pivotal role of human 5-lipoxygenase in resolvin E series biosynthesis. Chem. Biol. 2006, 13, 1193–1202. [Google Scholar] [CrossRef] [PubMed]
- Isobe, Y.; Arita, M.; Matsueda, S.; Iwamoto, R.; Fujihara, T.; Nakanishi, H.; Taguchi, R.; Masuda, K.; Sasaki, K.; Urabe, D.; et al. Identification and structure determination of novel anti-inflammatory mediator resolvin E3, 17,18-dihydroxyeicosapentaenoic acid. J. Biol. Chem. 2012, 287, 10525–10534. [Google Scholar] [CrossRef]
- Sato, M.; Aoki-Saito, H.; Fukuda, H.; Ikeda, H.; Koga, Y.; Yatomi, M.; Tsurumaki, H.; Maeno, T.; Saito, T.; Nakakura, T.; et al. Resolvin E3 attenuates allergic airway inflammation via the interleukin-23-interleukin-17A pathway. FASEB J. 2019, 33, 12750–12759. [Google Scholar] [CrossRef] [PubMed]
- Deyama, S.; Shimoda, K.; Ikeda, H.; Fukuda, H.; Shuto, S.; Minami, M. Resolvin E3 attenuates lipopolysaccharide-induced depression-like behavior in mice. J. Pharmacol. Sci. 2018, 138, 86–88. [Google Scholar] [CrossRef]
- Norris, P.C.; Libreros, S.; Serhan, C.N. Resolution metabolomes activated by hypoxic environment. Sci. Adv. 2019, 5, eaax4895. [Google Scholar] [CrossRef] [PubMed]
- Libreros, S.; Shay, A.E.; Nshimiyimana, R.; Fichtner, D.; Martin, M.J.; Wourms, N.; Serhan, C.N. A New E-Series Resolvin: RvE4 Stereochemistry and Function in Efferocytosis of Inflammation-Resolution. Front. Immunol. 2020, 11, 631319. [Google Scholar] [CrossRef]
- Norling, L.V.; Dalli, J.; Flower, R.J.; Serhan, C.N.; Perretti, M. Resolvin D1 limits polymorphonuclear leukocyte recruitment to inflammatory loci: Receptor-dependent actions. Arterioscler. Thromb. Vasc. Biol. 2012, 32, 1970–1978. [Google Scholar] [CrossRef]
- Bang, S.; Yoo, S.; Yang, T.J.; Cho, H.; Kim, Y.G.; Hwang, S.W. Resolvin D1 attenuates activation of sensory transient receptor potential channels leading to multiple anti-nociception. Br. J. Pharmacol. 2010, 161, 707–720. [Google Scholar] [CrossRef] [PubMed]
- Chiurchiù, V.; Leuti, A.; Dalli, J.; Jacobsson, A.; Battistini, L.; Maccarrone, M.; Serhan, C.N. Proresolving lipid mediators resolvin D1, resolvin D2, and maresin 1 are critical in modulating T cell responses. Sci. Transl. Med. 2016, 8, 353ra111. [Google Scholar] [CrossRef]
- Simões, R.L.; De-Brito, N.M.; Cunha-Costa, H.; Morandi, V.; Fierro, I.M.; Roitt, I.M.; Barja-Fidalgo, C. Lipoxin A(4) selectively programs the profile of M2 tumor-associated macrophages which favour control of tumor progression. Int. J. Cancer 2017, 140, 346–357. [Google Scholar] [CrossRef]
- Shan, K.; Feng, N.; Cui, J.; Wang, S.; Qu, H.; Fu, G.; Li, J.; Chen, H.; Wang, X.; Wang, R.; et al. Resolvin D1 and D2 inhibit tumour growth and inflammation via modulating macrophage polarization. J. Cell. Mol. Med. 2020, 24, 8045–8056. [Google Scholar] [CrossRef] [PubMed]
- Lavy, M.; Gauttier, V.; Poirier, N.; Barillé-Nion, S.; Blanquart, C. Specialized Pro-Resolving Mediators Mitigate Cancer-Related Inflammation: Role of Tumor-Associated Macrophages and Therapeutic Opportunities. Front. Immunol. 2021, 12, 702785. [Google Scholar] [CrossRef] [PubMed]
- Spite, M.; Norling, L.V.; Summers, L.; Yang, R.; Cooper, D.; Petasis, N.A.; Flower, R.J.; Perretti, M.; Serhan, C.N. Resolvin D2 is a potent regulator of leukocytes and controls microbial sepsis. Nature 2009, 461, 1287–1291. [Google Scholar] [CrossRef] [PubMed]
- Chiang, N.; Dalli, J.; Colas, R.A.; Serhan, C.N. Identification of resolvin D2 receptor mediating resolution of infections and organ protection. J. Exp. Med. 2015, 212, 1203–1217. [Google Scholar] [CrossRef] [PubMed]
- Fitzgerald, H.; Bonin, J.L.; Khan, S.; Eid, M.; Sadhu, S.; Rahtes, A.; Lipscomb, M.; Biswas, N.; Decker, C.; Nabage, M.; et al. Resolvin D2-G-Protein Coupled Receptor 18 Enhances Bone Marrow Function and Limits Steatosis and Hepatic Collagen Accumulation in Aging. Am. J. Pathol. 2023, 193, 1953–1968. [Google Scholar] [CrossRef] [PubMed]
- Cao, L.; Wang, Y.; Wang, Y.; Lv, F.; Liu, L.; Li, Z. Resolvin D2 suppresses NLRP3 inflammasome by promoting autophagy in macrophages. Exp. Ther. Med. 2021, 22, 1222. [Google Scholar] [CrossRef] [PubMed]
- Ye, Y.; Scheff, N.N.; Bernabé, D.; Salvo, E.; Ono, K.; Liu, C.; Veeramachaneni, R.; Viet, C.T.; Viet, D.T.; Dolan, J.C.; et al. Anti-cancer and analgesic effects of resolvin D2 in oral squamous cell carcinoma. Neuropharmacology 2018, 139, 182–193. [Google Scholar] [CrossRef]
- Dalli, J.; Winkler, J.W.; Colas, R.A.; Arnardottir, H.; Cheng, C.Y.; Chiang, N.; Petasis, N.A.; Serhan, C.N. Resolvin D3 and aspirin-triggered resolvin D3 are potent immunoresolvents. Chem. Biol. 2013, 20, 188–201. [Google Scholar] [CrossRef] [PubMed]
- Norris, P.C.; Arnardottir, H.; Sanger, J.M.; Fichtner, D.; Keyes, G.S.; Serhan, C.N. Resolvin D3 multi-level proresolving actions are host protective during infection. Prostaglandins Leukot. Essent. Fat. Acids 2018, 138, 81–89. [Google Scholar] [CrossRef] [PubMed]
- Winkler, J.W.; Orr, S.K.; Dalli, J.; Cheng, C.-Y.C.; Sanger, J.M.; Chiang, N.; Petasis, N.A.; Serhan, C.N. Resolvin D4 stereoassignment and its novel actions in host protection and bacterial clearance. Sci. Rep. 2016, 6, 18972. [Google Scholar] [CrossRef] [PubMed]
- Cherpokova, D.; Jouvene, C.C.; Libreros, S.; DeRoo, E.P.; Chu, L.; de la Rosa, X.; Norris, P.C.; Wagner, D.D.; Serhan, C.N. Resolvin D4 attenuates the severity of pathological thrombosis in mice. Blood 2019, 134, 1458–1468. [Google Scholar] [CrossRef] [PubMed]
- Chiang, N.; Fredman, G.; Backhed, F.; Oh, S.F.; Vickery, T.; Schmidt, B.A.; Serhan, C.N. Infection regulates pro-resolving mediators that lower antibiotic requirements. Nature 2012, 484, 524–528. [Google Scholar] [CrossRef]
- Hartling, I.; Cremonesi, A.; Osuna, E.; Lou, P.H.; Lucchinetti, E.; Zaugg, M.; Hersberger, M. Quantitative profiling of inflammatory and pro-resolving lipid mediators in human adolescents and mouse plasma using UHPLC-MS/MS. Clin. Chem. Lab. Med. 2021, 59, 1811–1823. [Google Scholar] [CrossRef]
- Yamada, H.; Saegusa, J.; Sendo, S.; Ueda, Y.; Okano, T.; Shinohara, M.; Morinobu, A. Effect of resolvin D5 on T cell differentiation and osteoclastogenesis analyzed by lipid mediator profiling in the experimental arthritis. Sci. Rep. 2021, 11, 17312. [Google Scholar] [CrossRef] [PubMed]
- Rajasagi, N.K.; Reddy, P.B.; Mulik, S.; Gjorstrup, P.; Rouse, B.T. Neuroprotectin D1 reduces the severity of herpes simplex virus-induced corneal immunopathology. Investig. Ophthalmol. Vis. Sci. 2013, 54, 6269–6279. [Google Scholar] [CrossRef]
- Nguyen-Chi, M.; Luz-Crawford, P.; Balas, L.; Sipka, T.; Contreras-López, R.; Barthelaix, A.; Lutfalla, G.; Durand, T.; Jorgensen, C.; Djouad, F. Pro-resolving mediator protectin D1 promotes epimorphic regeneration by controlling immune cell function in vertebrates. Br. J. Pharmacol. 2020, 177, 4055–4073. [Google Scholar] [CrossRef]
- de Freitas, D.D.N.; Marinho Franceschina, C.; Muller, D.; Hilario, G.T.; Gassen, R.B.; Fazolo, T.; Kaminski, V.d.L.; Chies, J.A.B.; Maito, F.; Antunes, K.H.; et al. RvD1 treatment during primary infection modulates memory response increasing viral load during respiratory viral reinfection. Immunobiology 2021, 226, 152151. [Google Scholar] [CrossRef]
- Hassan, I.R.; Gronert, K. Acute changes in dietary omega-3 and omega-6 polyunsaturated fatty acids have a pronounced impact on survival following ischemic renal injury and formation of renoprotective docosahexaenoic acid-derived protectin D1. J. Immunol. 2009, 182, 3223–3232. [Google Scholar] [CrossRef] [PubMed]
- Qiu, T.; Li, X.; Chen, W.; He, J.; Shi, L.; Zhou, C.; Zheng, A.; Lei, Z.; Tang, C.; Yu, Q.; et al. Prospective study on Maresin-1 and cytokine levels in medication-naïve adolescents with first-episode major depressive disorder. Front. Psychiatry 2023, 14, 1132791. [Google Scholar] [CrossRef] [PubMed]
- Gong, J.; Liu, H.; Wu, J.; Qi, H.; Wu, Z.Y.; Shu, H.Q.; Li, H.-B.; Chen, L.; Wang, Y.-X.; Li, B.; et al. Maresin 1 Prevents Lipopolysaccharide-Induced Neutrophil Survival and Accelerates Resolution of Acute Lung Injury. Shock 2015, 44, 371–380. [Google Scholar] [CrossRef] [PubMed]
- Gong, J.; Wu, Z.Y.; Qi, H.; Chen, L.; Li, H.B.; Li, B.; Yao, C.; Wang, Y.; Wu, J.; Yuan, S.; et al. Maresin 1 mitigates LPS-induced acute lung injury in mice. Br. J. Pharmacol. 2014, 171, 3539–3550. [Google Scholar] [CrossRef] [PubMed]
- Zhang, P.; Yin, Y.; Wang, T.; Li, W.; Li, C.; Zeng, X.; Yang, W.; Zhang, R.; Tang, Y.; Shi, L.; et al. Maresin 1 mitigates concanavalin A-induced acute liver injury in mice by inhibiting ROS-mediated activation of NF-κB signaling. Free Radic. Biol. Med. 2020, 147, 23–36. [Google Scholar] [CrossRef] [PubMed]
- Deng, B.; Wang, C.W.; Arnardottir, H.H.; Li, Y.; Cheng, C.Y.; Dalli, J.; Serhan, C.N. Maresin biosynthesis and identification of maresin 2, a new anti-inflammatory and pro-resolving mediator from human macrophages. PLoS ONE 2014, 9, e102362. [Google Scholar] [CrossRef] [PubMed]
- Miranda, J.; Brazil, J.C.; Morris, A.H.; Parkos, C.A.; Quiros, M.; Nusrat, A. Maresin-2 promotes mucosal repair and has therapeutic potential when encapsulated in thermostable nanoparticles. Proc. Natl. Acad. Sci. USA 2023, 120, e2218162120. [Google Scholar] [CrossRef] [PubMed]
- Sugimoto, S.; Mena, H.A.; Sansbury, B.E.; Kobayashi, S.; Tsuji, T.; Wang, C.H.; Yin, X.; Huang, T.L.; Kusuyama, J.; Kodani, S.D.; et al. Brown adipose tissue-derived MaR2 contributes to cold-induced resolution of inflammation. Nat. Metab. 2022, 4, 775–790. [Google Scholar] [CrossRef]
- Freire, M.O.; Dalli, J.; Serhan, C.N.; Van Dyke, T.E. Neutrophil Resolvin E1 Receptor Expression and Function in Type 2 Diabetes. J. Immunol. 2017, 198, 718–728. [Google Scholar] [CrossRef]
- Arita, M.; Yoshida, M.; Hong, S.; Tjonahen, E.; Glickman, J.N.; Petasis, N.A.; Blumberg, R.S.; Serhan, C.N. Resolvin E1, an endogenous lipid mediator derived from omega-3 eicosapentaenoic acid, protects against 2,4,6-trinitrobenzene sulfonic acid-induced colitis. Proc. Natl. Acad. Sci. USA 2005, 102, 7671–7676. [Google Scholar] [CrossRef]
- Campbell, E.L.; MacManus, C.F.; Kominsky, D.J.; Keely, S.; Glover, L.E.; Bowers, B.E.; Scully, M.; Bruyninckx, W.J.; Colgan, S.P. Resolvin E1-induced intestinal alkaline phosphatase promotes resolution of inflammation through LPS detoxification. Proc. Natl. Acad. Sci. USA 2010, 107, 14298–14303. [Google Scholar] [CrossRef] [PubMed]
- Quiros, M.; Feier, D.; Birkl, D.; Agarwal, R.; Zhou, D.W.; Garcia, A.J.; Parkos, C.A.; Nusrat, A. Resolvin E1 is a pro-repair molecule that promotes intestinal epithelial wound healing. Proc. Natl. Acad. Sci. USA 2020, 117, 9477–9482. [Google Scholar] [CrossRef] [PubMed]
- Schwab, J.M.; Chiang, N.; Arita, M.; Serhan, C.N. Resolvin E1 and protectin D1 activate inflammation-resolution programmes. Nature 2007, 447, 869–874. [Google Scholar] [CrossRef] [PubMed]
- Hasturk, H.; Kantarci, A.; Ohira, T.; Arita, M.; Ebrahimi, N.; Chiang, N.; Petasis, N.A.; Levy, B.D.; Serhan, C.N.; Van Dyke, T.E. RvE1 protects from local inflammation and osteoclast- mediated bone destruction in periodontitis. FASEB J. 2006, 20, 401–403. [Google Scholar] [CrossRef]
- Haworth, O.; Cernadas, M.; Levy, B.D. NK cells are effectors for resolvin E1 in the timely resolution of allergic airway inflammation. J. Immunol. 2011, 186, 6129–6135. [Google Scholar] [CrossRef] [PubMed]
- Haworth, O.; Cernadas, M.; Yang, R.; Serhan, C.N.; Levy, B.D. Resolvin E1 regulates interleukin 23, interferon-gamma and lipoxin A4 to promote the resolution of allergic airway inflammation. Nat. Immunol. 2008, 9, 873–879. [Google Scholar] [CrossRef] [PubMed]
- Seki, H.; Fukunaga, K.; Arita, M.; Arai, H.; Nakanishi, H.; Taguchi, R.; Miyasho, T.; Takamiya, R.; Asano, K.; Ishizaka, A.; et al. The anti-inflammatory and proresolving mediator resolvin E1 protects mice from bacterial pneumonia and acute lung injury. J. Immunol. 2010, 184, 836–843. [Google Scholar] [CrossRef] [PubMed]
- González-Périz, A.; Horrillo, R.; Ferré, N.; Gronert, K.; Dong, B.; Morán-Salvador, E.; Titos, E.; Martínez-Clemente, M.; López-Parra, M.; Arroyo, V.; et al. Obesity-induced insulin resistance and hepatic steatosis are alleviated by omega-3 fatty acids: A role for resolvins and protectins. FASEB J. 2009, 23, 1946–1957. [Google Scholar] [CrossRef] [PubMed]
- Ho, K.J.; Spite, M.; Owens, C.D.; Lancero, H.; Kroemer, A.H.; Pande, R.; Creager, M.A.; Serhan, C.N.; Conte, M.S. Aspirin-triggered lipoxin and resolvin E1 modulate vascular smooth muscle phenotype and correlate with peripheral atherosclerosis. Am. J. Pathol. 2010, 177, 2116–2123. [Google Scholar] [CrossRef]
- Briottet, M.; Sy, K.; London, C.; Aissat, A.; Shum, M.; Escabasse, V.; Louis, B.; Urbach, V. Specialized proresolving mediator resolvin E1 corrects the altered cystic fibrosis nasal epithelium cilia beating dynamics. Proc. Natl. Acad. Sci. USA 2024, 121, e2313089121. [Google Scholar] [CrossRef]
- Wu, Y.C.; Yu, N.; Rivas, C.A.; Mehrnia, N.; Kantarci, A.; Van Dyke, T.E. RvE1 Promotes Axin2+ Cell Regeneration and Reduces Bacterial Invasion. J. Dent. Res. 2023, 102, 1478–1487. [Google Scholar] [CrossRef] [PubMed]
- Zhang, J.; Yin, Z.; Xu, Y.; Wei, C.; Peng, S.; Zhao, M.; Liu, J.; Xu, S.; Pan, W.; Zheng, Z.; et al. Resolvin E1/ChemR23 Protects Against Hypertension and Vascular Remodeling in Angiotensin II-Induced Hypertensive Mice. Hypertension 2023, 80, 2650–2664. [Google Scholar] [CrossRef] [PubMed]
- Grazda, R.; Seyfried, A.N.; Maddipati, K.R.; Fredman, G.; MacNamara, K.C. Resolvin E1 improves efferocytosis and rescues severe aplastic anemia in mice. Cell Death Dis. 2024, 15, 324. [Google Scholar] [CrossRef] [PubMed]
- Colas, R.A.; Souza, P.R.; Walker, M.E.; Burton, M.; Zasłona, Z.; Curtis, A.M.; Marques, R.M.; Dalli, J. Impaired Production and Diurnal Regulation of Vascular RvD(n-3 DPA) Increase Systemic Inflammation and Cardiovascular Disease. Circ. Res. 2018, 122, 855–863. [Google Scholar] [CrossRef] [PubMed]
- Reinertsen, A.F.; Libreros, S.; Nshimiyimana, R.; Serhan, C.N.; Hansen, T.V. Metabolization of Resolvin E4 by omega-Oxidation in Human Neutrophils: Synthesis and Biological Evaluation of 20-Hydroxy-Resolvin E4 (20-OH-RvE4). ACS Pharmacol. Transl. Sci. 2023, 6, 1898–1908. [Google Scholar] [CrossRef] [PubMed]
- Perry, S.C.; van Hoorebeke, C.; Sorrentino, J.; Bautista, L.; Akinkugbe, O.; Conrad, W.S.; Rutz, N.; Holman, T.R. Structural basis for altered positional specificity of 15-lipoxygenase-1 with 5S-HETE and 7S-HDHA and the implications for the biosynthesis of resolvin E4. Arch. Biochem. Biophys. 2022, 727, 109317. [Google Scholar] [CrossRef]
- Hong, S.; Gronert, K.; Devchand, P.R.; Moussignac, R.L.; Serhan, C.N. Novel docosatrienes and 17S-resolvins generated from docosahexaenoic acid in murine brain, human blood, and glial cells. Autacoids in anti-inflammation. J. Biol. Chem. 2003, 278, 14677–14687. [Google Scholar] [CrossRef] [PubMed]
- Shay, A.E.; Nshimiyimana, R.; Samuelsson, B.; Petasis, N.A.; Haeggström, J.Z.; Serhan, C.N. Human leukocytes selectively convert 4S,5S-epoxy-resolvin to resolvin D3, resolvin D4, and a cys-resolvin isomer. Proc. Natl. Acad. Sci. USA 2021, 118, e2116559118. [Google Scholar] [CrossRef]
- Filiberto, A.C.; Ladd, Z.; Leroy, V.; Su, G.; Elder, C.T.; Pruitt, E.Y.; Hensley, S.E.; Lu, G.; Hartman, J.B.; Zarrinpar, A.; et al. Resolution of inflammation via RvD1/FPR2 signaling mitigates Nox2 activation and ferroptosis of macrophages in experimental abdominal aortic aneurysms. FASEB J. 2022, 36, e22579. [Google Scholar] [CrossRef]
- Wu, J.; Gao, J.; Yi, L.; Gao, N.; Wang, L.; Zhu, J.; Dai, C.; Sun, L.; Guo, H.; Yu, F.-S.X.; et al. Protective effects of resolvin D1 in Pseudomonas aeruginosa keratitis. Mol. Immunol. 2023, 158, 35–42. [Google Scholar] [CrossRef]
- Kim, S.Y.; Lee, J.E. Resolvin D1 Inhibits Corneal Inflammation in Staphylococcus Aureus Keratitis. Ocul. Immunol. Inflamm. 2023, 31, 927–934. [Google Scholar] [CrossRef] [PubMed]
- Xu, B.; Li, M.; Cheng, T.; Xia, J.; Deng, X.; Hou, J. Resolvin D1 protects against sepsis-associated encephalopathy in mice by inhibiting neuro-inflammation induced by microglia. Am. J. Transl. Res. 2022, 14, 6737–6750. [Google Scholar]
- Wang, L.; Li, J.; Liao, R.; Li, Y.; Jiang, L.; Zhang, Z.; Geng, J.; Fu, P.; Su, B.; Zhao, Y. Resolvin D1 attenuates sepsis induced acute kidney injury targeting mitochondria and NF-κB signaling pathway. Heliyon 2022, 8, e12269. [Google Scholar] [CrossRef] [PubMed]
- Pinto, N.; Klein, Y.; David, E.; Polak, D.; Steinberg, D.; Mizrahi, G.; Khoury, Y.; Barenholz, Y.; Chaushu, S. Resolvin D1 improves allograft osteointegration and directly enhances osteoblasts differentiation. Front. Immunol. 2023, 14, 1086930. [Google Scholar] [CrossRef] [PubMed]
- Ferri, G.; Serano, M.; Isopi, E.; Mucci, M.; Mattoscio, D.; Pecce, R.; Protasi, F.; Mall, M.A.; Romano, M.; Recchiuti, A. Resolvin D1 improves airway inflammation and exercise capacity in cystic fibrosis lung disease. FASEB J. 2023, 37, e23233. [Google Scholar] [CrossRef]
- Oh, H.; Cho, W.; Abd El-Aty, A.M.; Bayram, C.; Jeong, J.H.; Jung, T.W. Resolvin D3 improves the impairment of insulin signaling in skeletal muscle and nonalcoholic fatty liver disease through AMPK/autophagy-associated attenuation of ER stress. Biochem. Pharmacol. 2022, 203, 115203. [Google Scholar] [CrossRef] [PubMed]
- Ogawa, N.; Sugiyama, T.; Morita, M.; Suganuma, Y.; Kobayashi, Y. Total Synthesis of Resolvin D5. J. Org. Chem. 2017, 82, 2032–2039. [Google Scholar] [CrossRef] [PubMed]
- Leão, F.F.; Waltrick, A.P.F.; Verri, W.A., Jr.; da Cunha, J.M.; Zanoveli, J.M. Resolvin D5 disrupts anxious- and depressive-like behaviors in a type 1 diabetes mellitus animal model. Naunyn-Schmiedeberg’s Arch. Pharmacol. 2022, 395, 1269–1282. [Google Scholar] [CrossRef] [PubMed]
- Cardoso, R.D.R.; Chambo, S.D.; Zaninelli, T.H.; Bianchini, B.H.S.; Silva, M.; Bertozzi, M.M.; Saraiva-Santos, T.; Franciosi, A.; Martelossi-Cebinelli, G.; Garcia-Miguel, P.E.; et al. Resolvin D5 (RvD5) Reduces Renal Damage Caused by LPS Endotoxemia in Female Mice. Molecules 2022, 28, 121. [Google Scholar] [CrossRef]
- Serhan, C.N.; Gotlinger, K.; Hong, S.; Lu, Y.; Siegelman, J.; Baer, T.; Yang, R.; Colgan, S.P.; Petasis, N.A. Anti-inflammatory actions of neuroprotectin D1/protectin D1 and its natural stereoisomers: Assignments of dihydroxy-containing docosatrienes. J. Immunol. 2006, 176, 1848–1859. [Google Scholar] [CrossRef]
- Park, C.K.; Lü, N.; Xu, Z.Z.; Liu, T.; Serhan, C.N.; Ji, R.R. Resolving TRPV1- and TNF-α-mediated spinal cord synaptic plasticity and inflammatory pain with neuroprotectin D1. J. Neurosci. 2011, 31, 15072–15085. [Google Scholar] [CrossRef] [PubMed]
- Park, K.D.; Kim, N.; Kang, J.; Dhakal, H.; Kim, J.Y.; Jang, Y.H.; Lee, W.J.; Lee, S.-J.; Kim, S.-H. Protectin D1 reduces imiquimod-induced psoriasiform skin inflammation. Int. Immunopharmacol. 2021, 98, 107883. [Google Scholar] [CrossRef] [PubMed]
- Hwang, S.M.; Chung, G.; Kim, Y.H.; Park, C.K. The Role of Maresins in Inflammatory Pain: Function of Macrophages in Wound Regeneration. Int. J. Mol. Sci. 2019, 20, 5849. [Google Scholar] [CrossRef]
- Abdulnour, R.E.; Dalli, J.; Colby, J.K.; Krishnamoorthy, N.; Timmons, J.Y.; Tan, S.H.; Colas, R.A.; Petasis, N.A.; Serhan, C.N.; Levy, B.D. Maresin 1 biosynthesis during platelet-neutrophil interactions is organ-protective. Proc. Natl. Acad. Sci. USA 2014, 111, 16526–16531. [Google Scholar] [CrossRef]
- Serhan, C.N.; Dalli, J.; Karamnov, S.; Choi, A.; Park, C.K.; Xu, Z.Z.; Ji, R.-R.; Zhu, M.; Petasis, N.A. Macrophage proresolving mediator maresin 1 stimulates tissue regeneration and controls pain. FASEB J. 2012, 26, 1755–1765. [Google Scholar] [CrossRef] [PubMed]
- Zhang, L.; Terrando, N.; Xu, Z.Z.; Bang, S.; Jordt, S.E.; Maixner, W.; Serhan, C.N.; Ji, R.-R. Distinct Analgesic Actions of DHA and DHA-Derived Specialized Pro-Resolving Mediators on Post-operative Pain After Bone Fracture in Mice. Front. Pharmacol. 2018, 9, 412. [Google Scholar] [CrossRef] [PubMed]
- Olsen, M.V.; Lyngstadaas, A.V.; Bair, J.A.; Hodges, R.R.; Utheim, T.P.; Serhan, C.N.; Dartt, D.A. Maresin 1, a specialized proresolving mediator, stimulates intracellular [Ca(2+) ] and secretion in conjunctival goblet cells. J. Cell. Physiol. 2021, 236, 340–353. [Google Scholar] [CrossRef]
- Fattori, V.; Zaninelli, T.H.; Ferraz, C.R.; Brasil-Silva, L.; Borghi, S.M.; Cunha, J.M.; Chichorro, J.G.; Casagrande, R.; Verri, W.A. Maresin 2 is an analgesic specialized pro-resolution lipid mediator in mice by inhibiting neutrophil and monocyte recruitment, nociceptor neuron TRPV1 and TRPA1 activation, and CGRP release. Neuropharmacology 2022, 216, 109189. [Google Scholar] [CrossRef]
- Lopes, R.V.; Baggio, D.F.; Ferraz, C.R.; Bertozzi, M.M.; Saraiva-Santos, T.; Verri Junior, W.A.; Chichorro, J.G. Maresin-2 inhibits inflammatory and neuropathic trigeminal pain and reduces neuronal activation in the trigeminal ganglion. Curr. Res. Neurobiol. 2023, 4, 100093. [Google Scholar] [CrossRef]
- Moldoveanu, B.; Otmishi, P.; Jani, P.; Walker, J.; Sarmiento, X.; Guardiola, J.; Saad, M.; Yu, J. Inflammatory mechanisms in the lung. J. Inflamm. Res. 2009, 2, 1–11. [Google Scholar]
- Luo, J.; Zhang, W.Y.; Li, H.; Zhang, P.H.; Tian, C.; Wu, C.H.; Zhao, A.-N.; Chen, M.-L.; Guo, Y.-F.; Cho, Y.-C.; et al. Pro-Resolving Mediator Resolvin E1 Restores Alveolar Fluid Clearance in Acute Respiratory Distress Syndrome. Shock 2022, 57, 565–575. [Google Scholar] [CrossRef] [PubMed]
- Hernandez, J.; Schäffer, J.; Herden, C.; Pflieger, F.J.; Reiche, S.; Körber, S.; Kitagawa, H.; Welter, J.; Michels, S.; Culmsee, C.; et al. n-3 Polyunsaturated Fatty Acids Modulate LPS-Induced ARDS and the Lung-Brain Axis of Communication in Wild-Type versus Fat-1 Mice Genetically Modified for Leukotriene B4 Receptor 1 or Chemerin Receptor 23 Knockout. Int. J. Mol. Sci. 2023, 24, 13524. [Google Scholar] [CrossRef] [PubMed]
- Lotfi, R.; Davoodi, A.; Mortazavi, S.H.; Gorgin Karaji, A.; Tarokhian, H.; Rezaiemanesh, A.; Salari, F. Imbalanced serum levels of resolvin E1 (RvE1) and leukotriene B4 (LTB4) in patients with allergic rhinitis. Mol. Biol. Rep. 2020, 47, 7745–7754. [Google Scholar] [CrossRef] [PubMed]
- Xiang, S.Y.; Ye, Y.; Yang, Q.; Xu, H.R.; Shen, C.X.; Ma, M.Q.; Jin, S.W.; Mei, H.X.; Zheng, S.X.; Smith, F.G.; et al. RvD1 accelerates the resolution of inflammation by promoting apoptosis of the recruited macrophages via the ALX/FasL-FasR/caspase-3 signaling pathway. Cell Death Discov. 2021, 7, 339. [Google Scholar] [CrossRef] [PubMed]
- Morita, M.; Kuba, K.; Ichikawa, A.; Nakayama, M.; Katahira, J.; Iwamoto, R.; Watanebe, T.; Sakabe, S.; Daidoji, T.; Nakamura, S.; et al. The lipid mediator protectin D1 inhibits influenza virus replication and improves severe influenza. Cell 2013, 153, 112–125. [Google Scholar] [CrossRef] [PubMed]
- Ma, H.; Mo, S.; Yi, Q.; Lai, J.; Liu, H.; Shi, Z. Role and Mechanism of Maresin-1 in Acute Lung Injury Induced by Trauma-Hemorrhagic Shock. Med. Sci. Monit. 2020, 26, e923518. [Google Scholar] [CrossRef] [PubMed]
- Yu, C.X.; Shi, Z.A.; Ou, G.C.; Chen, X.J.; Liu, Q.; Zeng, D.; Nie, X.-J.; Chen, J.-J. Maresin-2 alleviates allergic airway inflammation in mice by inhibiting the activation of NLRP3 inflammasome, Th2 type immune response and oxidative stress. Mol. Immunol. 2022, 146, 78–86. [Google Scholar] [CrossRef] [PubMed]
- Krishnamoorthy, N.; Burkett, P.R.; Dalli, J.; Abdulnour, R.E.; Colas, R.; Ramon, S.; Phipps, R.P.; Petasis, N.A.; Kuchroo, V.K.; Serhan, C.N.; et al. Cutting edge: Maresin-1 engages regulatory T cells to limit type 2 innate lymphoid cell activation and promote resolution of lung inflammation. J. Immunol. 2015, 194, 863–867. [Google Scholar] [CrossRef] [PubMed]
- Nordgren, T.M.; Bauer, C.D.; Heires, A.J.; Poole, J.A.; Wyatt, T.A.; West, W.W.; Romberger, D.J. Maresin-1 reduces airway inflammation associated with acute and repetitive exposures to organic dust. Transl. Res. 2015, 166, 57–69. [Google Scholar] [CrossRef]
- Munir, F.; Jamshed, M.B.; Shahid, N.; Muhammad, S.A.; Bhandari, A.; Zhang, Q. Protective effects of maresin 1 against inflammation in experimentally induced acute pancreatitis and related lung injury. Am. J. Physiol. Gastrointest. Liver Physiol. 2019, 317, G333–G341. [Google Scholar] [CrossRef]
- Schwarz, B.; Sharma, L.; Roberts, L.; Peng, X.; Bermejo, S.; Leighton, I.; Casanovas-Massana, A.; Minasyan, M.; Farhadian, S.; Ko, A.I.; et al. Cutting Edge: Severe SARS-CoV-2 Infection in Humans Is Defined by a Shift in the Serum Lipidome, Resulting in Dysregulation of Eicosanoid Immune Mediators. J. Immunol. 2021, 206, 329–334. [Google Scholar] [CrossRef] [PubMed]
- Turnbull, J.; Jha, R.R.; Ortori, C.A.; Lunt, E.; Tighe, P.J.; Irving, W.L.; Gohir, S.A.; Kim, D.-H.; Valdes, A.M.; Tarr, A.W.; et al. Serum Levels of Proinflammatory Lipid Mediators and Specialized Proresolving Molecules Are Increased in Patients With Severe Acute Respiratory Syndrome Coronavirus 2 and Correlate With Markers of the Adaptive Immune Response. J. Infect. Dis. 2022, 225, 2142–2154. [Google Scholar] [CrossRef] [PubMed]
- Bazan, H.A.; Lu, Y.; Jun, B.; Fang, Z.; Woods, T.C.; Hong, S. Circulating inflammation-resolving lipid mediators RvD1 and DHA are decreased in patients with acutely symptomatic carotid disease. Prostaglandins Leukot. Essent. Fat. Acids 2017, 125, 43–47. [Google Scholar] [CrossRef] [PubMed]
- Polinski, K.J.; Armstrong, M.; Manke, J.; Seifert, J.; Crume, T.; Yang, F.; Clare-Salzler, M.; Holers, V.M.; Reisdorph, N.; Norris, J.M. Collection and Storage of Human Plasma for Measurement of Oxylipins. Metabolites 2021, 11, 137. [Google Scholar] [CrossRef] [PubMed]
- Weiss, G.A.; Troxler, H.; Klinke, G.; Rogler, D.; Braegger, C.; Hersberger, M. High levels of anti-inflammatory and pro-resolving lipid mediators lipoxins and resolvins and declining docosahexaenoic acid levels in human milk during the first month of lactation. Lipids Health Dis. 2013, 12, 89. [Google Scholar] [CrossRef] [PubMed]
- Markworth, J.F.; Vella, L.; Lingard, B.S.; Tull, D.L.; Rupasinghe, T.W.; Sinclair, A.J.; Maddipati, K.R.; Cameron-Smith, D. Human inflammatory and resolving lipid mediator responses to resistance exercise and ibuprofen treatment. Am. J. Physiol. Regul. Integr. Comp. Physiol. 2013, 305, R1281–R1296. [Google Scholar] [CrossRef]
- Terrando, N.; Park, J.J.; Devinney, M.; Chan, C.; Cooter, M.; Avasarala, P.; Mathew, J.P.; Quinones, Q.J.; Maddipati, K.R.; Berger, M.; et al. Immunomodulatory lipid mediator profiling of cerebrospinal fluid following surgery in older adults. Sci. Rep. 2021, 11, 3047. [Google Scholar] [CrossRef] [PubMed]
- Barden, A.; Shinde, S.; Phillips, M.; Beilin, L.; Mas, E.; Hodgson, J.M.; Puddey, I.; Mori, T.A. The effects of alcohol on plasma lipid mediators of inflammation resolution in patients with Type 2 diabetes mellitus. Prostaglandins Leukot. Essent. Fat. Acids 2018, 133, 29–34. [Google Scholar] [CrossRef] [PubMed]
- Artiach, G.; Carracedo, M.; Plunde, O.; Wheelock, C.E.; Thul, S.; Sjövall, P.; Franco-Cereceda, A.; Laguna-Fernandez, A.; Arnardottir, H.; Bäck, M. Omega-3 Polyunsaturated Fatty Acids Decrease Aortic Valve Disease Through the Resolvin E1 and ChemR23 Axis. Circulation 2020, 142, 776–789. [Google Scholar] [CrossRef]
- Barden, A.; Shinde, S.; Tsai, I.J.; Croft, K.D.; Beilin, L.J.; Puddey, I.B.; Mori, T. Effect of weight loss on neutrophil resolvins in the metabolic syndrome. Prostaglandins Leukot. Essent. Fat. Acids 2019, 148, 25–29. [Google Scholar] [CrossRef]
- Keeley, E.C.; Li, H.J.; Cogle, C.R.; Handberg, E.M.; Merz, C.N.B.; Pepine, C.J. Specialized Proresolving Mediators in Symptomatic Women With Coronary Microvascular Dysfunction (from the Women’s Ischemia Trial to Reduce Events in Nonobstructive CAD [WARRIOR] Trial). Am. J. Cardiol. 2021, 162, 1–5. [Google Scholar] [CrossRef] [PubMed]
- Serhan, C.N.; de la Rosa, X.; Jouvene, C.C. Cutting Edge: Human Vagus Produces Specialized Proresolving Mediators of Inflammation with Electrical Stimulation Reducing Proinflammatory Eicosanoids. J. Immunol. 2018, 201, 3161–3165. [Google Scholar] [CrossRef] [PubMed]
- Kooij, G.; Troletti, C.D.; Leuti, A.; Norris, P.C.; Riley, I.; Albanese, M.; Ruggieri, S.; Libreros, S.; van der Pol, S.M.; Hof, B.v.H.; et al. Specialized pro-resolving lipid mediators are differentially altered in peripheral blood of patients with multiple sclerosis and attenuate monocyte and blood-brain barrier dysfunction. Haematologica 2020, 105, 2056–2070. [Google Scholar] [CrossRef] [PubMed]
- Motwani, M.P.; Bennett, F.; Norris, P.C.; Maini, A.A.; George, M.J.; Newson, J.; Henderson, A.; Hobbs, A.J.; Tepper, M.; White, B.; et al. Potent Anti-Inflammatory and Pro-Resolving Effects of Anabasum in a Human Model of Self-Resolving Acute Inflammation. Clin. Pharmacol. Ther. 2018, 104, 675–686. [Google Scholar] [CrossRef] [PubMed]
- Vickery, T.W.; Armstrong, M.; Kofonow, J.M.; Robertson, C.E.; Kroehl, M.E.; Reisdorph, N.A.; Ramakrishnan, V.R.; Frank, D.N. Altered tissue specialized pro-resolving mediators in chronic rhinosinusitis. Prostaglandins Leukot. Essent. Fat. Acids 2021, 164, 102218. [Google Scholar] [CrossRef]
- Archambault, A.S.; Zaid, Y.; Rakotoarivelo, V.; Turcotte, C.; Doré, É.; Dubuc, I.; Martin, C.; Flamand, O.; Amar, Y.; Cheikh, A.; et al. High levels of eicosanoids and docosanoids in the lungs of intubated COVID-19 patients. FASEB J. 2021, 35, e21666. [Google Scholar] [CrossRef] [PubMed]
- Sun, Q.; Wang, J.; Jing, Y.; Liu, J.; Jin, J.; Wang, S.; Zhang, J.; Liu, K.; Chen, X.; Zhou, H.; et al. Influences of resolvin D1 and D2 on the risk of type 2 diabetes mellitus: A Chinese community-based cohort study. Front. Immunol. 2023, 14, 1143456. [Google Scholar] [CrossRef] [PubMed]
- Serhan, C.N.; Lu, Y.; Hong, S.; Yang, R. Mediator lipidomics: Search algorithms for eicosanoids, resolvins, and protectins. Methods Enzymol. 2007, 432, 275–317. [Google Scholar] [PubMed]
- Lu, Y.; Hong, S.; Yang, R.; Uddin, J.; Gotlinger, K.H.; Petasis, N.A.; Serhan, C.N. Identification of endogenous resolvin E1 and other lipid mediators derived from eicosapentaenoic acid via electrospray low-energy tandem mass spectrometry: Spectra and fragmentation mechanisms. Rapid Commun. Mass Spectrom. 2007, 21, 7–22. [Google Scholar] [CrossRef]
- Hong, S.; Lu, Y.; Yang, R.; Gotlinger, K.H.; Petasis, N.A.; Serhan, C.N. Resolvin D1, protectin D1, and related docosahexaenoic acid-derived products: Analysis via electrospray/low energy tandem mass spectrometry based on spectra and fragmentation mechanisms. J. Am. Soc. Mass Spectrom. 2007, 18, 128–144. [Google Scholar] [CrossRef]
- Irún, P.; Gracia, R.; Piazuelo, E.; Pardo, J.; Morte, E.; Paño, J.R.; Boza, J.; Carrera-Lasfuentes, P.; Higuera, G.A.; Lanas, A. Serum lipid mediator profiles in COVID-19 patients and lung disease severity: A pilot study. Sci. Rep. 2023, 13, 6497. [Google Scholar] [CrossRef]
- Arnardottir, H.; Pawelzik, S.C.; Öhlund Wistbacka, U.; Artiach, G.; Hofmann, R.; Reinholdsson, I.; Braunschweig, F.; Tornvall, P.; Religa, D.; Bäck, M. Stimulating the Resolution of Inflammation Through Omega-3 Polyunsaturated Fatty Acids in COVID-19: Rationale for the COVID-Omega-F Trial. Front. Physiol. 2020, 11, 624657. [Google Scholar] [CrossRef] [PubMed]
- Do, K.V.; Hjorth, E.; Wang, Y.; Jun, B.; Kautzmann, M.I.; Ohshima, M.; Eriksdotter, M.; Schultzberg, M.; Bazan, N.G. Cerebrospinal Fluid Profile of Lipid Mediators in Alzheimer’s Disease. Cell. Mol. Neurobiol. 2022, 43, 797–811. [Google Scholar] [CrossRef] [PubMed]
- Fredman, G.; Hellmann, J.; Proto, J.D.; Kuriakose, G.; Colas, R.A.; Dorweiler, B.; Connolly, E.S.; Solomon, R.; Jones, D.M.; Heyer, E.J.; et al. An imbalance between specialized pro-resolving lipid mediators and pro-inflammatory leukotrienes promotes instability of atherosclerotic plaques. Nat. Commun. 2016, 7, 12859. [Google Scholar] [CrossRef]
- Welty, F.K.; Schulte, F.; Alfaddagh, A.; Elajami, T.K.; Bistrian, B.R.; Hardt, M. Regression of human coronary artery plaque is associated with a high ratio of (18-hydroxy-eicosapentaenoic acid + resolvin E1) to leukotriene B(4). FASEB J. 2021, 35, e21448. [Google Scholar] [CrossRef]
- Biagini, D.; Ghimenti, S.; Lenzi, A.; Bonini, A.; Vivaldi, F.; Oger, C.; Galano, J.-M.; Balas, L.; Durand, T.; Salvo, P.; et al. Salivary lipid mediators: Key indexes of inflammation regulation in heart failure disease. Free Radic. Biol. Med. 2023, 201, 55–65. [Google Scholar] [CrossRef]
- Ramirez, J.L.; Gasper, W.J.; Khetani, S.A.; Zahner, G.J.; Hills, N.K.; Mitchell, P.T.; Sansbury, B.E.; Conte, M.S.; Spite, M.; Grenon, S.M. Fish Oil Increases Specialized Pro-resolving Lipid Mediators in PAD (The OMEGA-PAD II Trial). J. Surg. Res. 2019, 238, 164–174. [Google Scholar] [CrossRef] [PubMed]
- Barden, A.; Shinde, S.; Beilin, L.J.; Phillips, M.; Adams, L.; Bollmann, S.; Mori, T.A. Adiposity associates with lower plasma resolvin E1 (Rve1): A population study. Int. J. Obes. 2024, 48, 725–732. [Google Scholar] [CrossRef]
- Fu, X.; Yin, H.H.; Wu, M.J.; He, X.; Jiang, Q.; Zhang, L.T.; Liu, J.-Y. High Sensitivity and Wide Linearity LC-MS/MS Method for Oxylipin Quantification in Multiple Biological Samples. J. Lipid Res. 2022, 63, 100302. [Google Scholar] [CrossRef]
- Güvenç, K.K.; Fentoğlu, Ö.; Calapoğlu, M.; Aksoy, F.; Orhan, H. Periodontal and cardiovascular therapies modify specialized pro-resolving lipid mediator (sPRLM) (LPXA4, PD1, RvE1, RvD1, and MaR1)-mediated pathway: The first pilot clinical study. Clin. Oral Investig. 2023, 27, 5549–5558. [Google Scholar] [CrossRef]
- Szczuko, M.; Szwec-Nadworna, N.; Palma, J.; Tomasik, M.; Ziętek, M. Increased Demand of Obese Women for Protectins, Maresin, and Resolvin D1 in the Last Trimester of Pregnancy. Nutrients 2023, 15, 4340. [Google Scholar] [CrossRef] [PubMed]
- Duroux, R.; Baillif, V.; Havas, F.; Farge, M.; Maurin, A.; Suere, T.; VanGoethem, E.; Attia, J. Targeting inflammation and pro-resolving mediators with Anetholea anisita extract to improve scalp condition. Int. J. Cosmet. Sci. 2022, 44, 614–624. [Google Scholar] [CrossRef]
- Sano, Y.; Toyoshima, S.; Miki, Y.; Taketomi, Y.; Ito, M.; Lee, H.; Saito, S.; Murakami, M.; Okayama, Y. Activation of inflammation and resolution pathways of lipid mediators in synovial fluid from patients with severe rheumatoid arthritis compared with severe osteoarthritis. Asia Pac. Allergy 2020, 10, e21. [Google Scholar] [CrossRef] [PubMed]
- Isopi, E.; Mattoscio, D.; Codagnone, M.; Mari, V.C.; Lamolinara, A.; Patruno, S.; D’Aurora, M.; Cianci, E.; Nespoli, A.; Franchi, S.; et al. Resolvin D1 Reduces Lung Infection and Inflammation Activating Resolution in Cystic Fibrosis. Front. Immunol. 2020, 11, 581. [Google Scholar] [CrossRef] [PubMed]
- Winkler, J.W.; Libreros, S.; De La Rosa, X.; Sansbury, B.E.; Norris, P.C.; Chiang, N.; Fichtner, D.; Keyes, G.S.; Wourms, N.; Spite, M.; et al. Structural insights into Resolvin D4 actions and further metabolites via a new total organic synthesis and validation. J. Leukoc. Biol. 2018, 103, 995–1010. [Google Scholar] [CrossRef] [PubMed]
- Leroy, V.; Cai, J.; Tu, Z.; McQuiston, A.; Sharma, S.; Emtiazjoo, A.; Atkinson, C.; Upchurch, G.R.; Sharma, A.K. Resolution of post-lung transplant ischemia-reperfusion injury is modulated via Resolvin D1-FPR2 and Maresin 1-LGR6 signaling. J. Heart Lung Transplant. 2023, 42, 562–574. [Google Scholar] [CrossRef]
- Li, L.; Cheng, S.Q.; Sun, Y.Q.; Yu, J.B.; Huang, X.X.; Dong, Y.F.; Ji, J.; Zhang, X.-Y.; Hu, G.; Sun, X.-L. Resolvin D1 reprograms energy metabolism to promote microglia to phagocytize neutrophils after ischemic stroke. Cell Rep. 2023, 42, 112617. [Google Scholar] [CrossRef]
- Chen, E.; Zhou, D.; Deng, R. Serum resolvin D1 potentially predicts neurofunctional recovery, the risk of recurrence and death in patients with acute ischemic stroke. Biomed. Rep. 2024, 20, 10. [Google Scholar] [CrossRef]
- Soto, G.; Rodríguez, M.J.; Fuentealba, R.; Treuer, A.V.; Castillo, I.; González, D.R.; Zúñiga-Hernández, J. Maresin 1, a Proresolving Lipid Mediator, Ameliorates Liver Ischemia-Reperfusion Injury and Stimulates Hepatocyte Proliferation in Sprague-Dawley Rats. Int. J. Mol. Sci. 2020, 21, 540. [Google Scholar] [CrossRef]
- Sun, Q.; Wu, Y.; Zhao, F.; Wang, J. Maresin 1 Ameliorates Lung Ischemia/Reperfusion Injury by Suppressing Oxidative Stress via Activation of the Nrf-2-Mediated HO-1 Signaling Pathway. Oxidative Med. Cell. Longev. 2017, 2017, 9634803. [Google Scholar] [CrossRef]
- Qiu, Y.; Wu, Y.; Zhao, H.; Sun, H.; Gao, S. Maresin 1 mitigates renal ischemia/reperfusion injury in mice via inhibition of the TLR4/MAPK/NF-κB pathways and activation of the Nrf2 pathway. Drug Des. Dev. Ther. 2019, 13, 739–745. [Google Scholar] [CrossRef] [PubMed]
- Zhang, M.J.; Sansbury, B.E.; Hellmann, J.; Baker, J.F.; Guo, L.; Parmer, C.M.; Prenner, J.C.; Conklin, D.J.; Bhatnagar, A.; Creager, M.A.; et al. Resolvin D2 Enhances Postischemic Revascularization While Resolving Inflammation. Circulation 2016, 134, 666–680. [Google Scholar] [CrossRef] [PubMed]
- Tang, X.; Liu, L.; Miao, Z.; Zhang, J.; Cai, X.; Zhao, B.Q.; Chen, G.; Schultzberg, M.; Zhao, Y.; Wang, X. Resolution of inflammation is disturbed in acute ischemic stroke with diabetes mellitus and rescued by resolvin D2 treatment. Free Radic. Biol. Med. 2022, 188, 194–205. [Google Scholar] [CrossRef] [PubMed]
- Tang, D.; Fu, G.; Li, W.; Sun, P.; Loughran, P.A.; Deng, M.; Scott, M.J.; Billiar, T.R. Maresin 1 protects the liver against ischemia/reperfusion injury via the ALXR/Akt signaling pathway. Mol. Med. 2021, 27, 18. [Google Scholar] [CrossRef]
- Zeng, H.S.; Wang, Y.B.; Chen, L.X.Z.; Zhu, P. Maresin1 inhibits the NF-κB/caspase-3/GSDME signaling pathway to alleviate hepatic ischemia-reperfusion injury. Zhonghua Gan Zang Bing Za Zhi 2023, 31, 594–600. [Google Scholar]
- Berg, R.W.V.; Davidsson, J.; Lidin, E.; Angéria, M.; Risling, M.; Günther, M. Brain tissue saving effects by single-dose intralesional administration of Neuroprotectin D1 on experimental focal penetrating brain injury in rats. J. Clin. Neurosci. 2019, 64, 227–233. [Google Scholar] [CrossRef] [PubMed]
- Mu, Q.; Zhou, H.; Xu, Y.; He, Q.; Luo, X.; Zhang, W.; Li, H. NPD1 inhibits excessive autophagy by targeting RNF146 and wnt/β-catenin pathway in cerebral ischemia-reperfusion injury. J. Recept. Signal Transduct. 2020, 40, 456–463. [Google Scholar] [CrossRef]
- Xian, W.; Wu, Y.; Xiong, W.; Li, L.; Li, T.; Pan, S.; Song, L.; Hu, L.; Pei, L.; Yao, S.; et al. The pro-resolving lipid mediator Maresin 1 protects against cerebral ischemia/reperfusion injury by attenuating the pro-inflammatory response. Biochem. Biophys. Res. Commun. 2016, 472, 175–181. [Google Scholar] [CrossRef]
- Xian, W.; Li, T.; Li, L.; Hu, L.; Cao, J. Maresin 1 attenuates the inflammatory response and mitochondrial damage in mice with cerebral ischemia/reperfusion in a SIRT1-dependent manner. Brain Res. 2019, 1711, 83–90. [Google Scholar] [CrossRef]
- Hanahan, D.; Weinberg, R.A. The hallmarks of cancer. Cell 2000, 100, 57–70. [Google Scholar] [CrossRef]
- Sun, L.; Wang, Y.; Wang, L.; Yao, B.; Chen, T.; Li, Q.; Liu, Z.; Liu, R.; Niu, Y.; Song, T.; et al. Resolvin D1 prevents epithelial-mesenchymal transition and reduces the stemness features of hepatocellular carcinoma by inhibiting paracrine of cancer-associated fibroblast-derived COMP. J. Exp. Clin. Cancer Res. 2019, 38, 170. [Google Scholar] [CrossRef] [PubMed]
- Zhang, J.; Wang, M.; Ding, W.; Zhao, M.; Ye, J.; Xu, Y.; Wang, Z.; Ye, D.; Li, D.; Liu, J.; et al. Resolvin E1 protects against doxorubicin-induced cardiotoxicity by inhibiting oxidative stress, autophagy and apoptosis by targeting AKT/mTOR signaling. Biochem. Pharmacol. 2020, 180, 114188. [Google Scholar] [CrossRef] [PubMed]
- Mattoscio, D.; Ferri, G.; Miccolo, C.; Chiocca, S.; Romano, M.; Recchiuti, A. Gene Expression of the D-Series Resolvin Pathway Predicts Activation of Anti-Tumor Immunity and Clinical Outcomes in Head and Neck Cancer. Int. J. Mol. Sci. 2022, 23, 6473. [Google Scholar] [CrossRef] [PubMed]


| Resolvin | Structure and Complete Stereochemistry | Function |
|---|---|---|
| Resolvin E1 (RvE1) | ![]() 5S,12R,18R-trihydroxy-6Z,8E,10E,14Z,16E-EPA | -Enhances macrophage phagocytosis of zymosan, E. coli, and apoptotic neutrophils [42]. -Reduces excessive neutrophil infiltration in murine models [42]. -Clears infections and stimulates resolution agonists in various diseases [43]. -Reduces depression in mice [44,45]. -Stops PMN [3] and dendritic cell migration [46]. -Inhibits TRP Channels [47]. -Modulates T-cell response [47]. -Inhibits platelet aggregation [48]. -Reduces pro-inflammatory cytokines [49]. Cancer: -Prevents liver injury and cancer cell transformation in hepatocellular carcinoma cells [50]. -Inhibits tumor growth in lung, pancreatic, and prostate cancers [31,51,52]. |
| Resolvin E2 (RvE2) | ![]() 5S,18R-dihydroxy-6E,8Z,11Z,14Z,16E-EPA | -Stops neutrophil chemotaxis to IL-8 and stimulates membrane shape changes in microfluidic chamber [53]. -Decreases depression in mice [45]. -Stops PMN migration [42,54]. -Down-regulates leukocyte integrins [53]. |
| Resolvin E3 (RvE3) | ![]() 17R,18R-dihydroxy-5Z,8Z,11Z,13E,15E-EPA | -Blocks neutrophil migration to the site of injury [55]. -Reduces allergic airway inflammation in house dust mice by down-regulating IL-23 and IL-17 [56]. -Decreases depression in mice [57]. |
| Resolvin E4 (RvE4) | ![]() 5S,15S-dihydroxy- 6E,8Z,11Z,13E,17Z-EPA | -Stimulates macrophage efferocytosis of apoptotic neutrophils in senescent blood cells [58,59]. -Accelerated resolution of hemorrhagic exudates in vivo in mice [58]. |
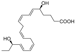
| Resolvin D1 (RvD1) | ![]() 7S,8R,17S-trihydroxy-4Z,9E,11E,13Z,15E,19Z-DHA | -Stop neutrophil infiltration and transmigration to the site of inflammation [60]. -Reduces pro-inflammatory cytokines and chemokines [60]. -Accelerates macrophage efferocytosis [1]. -In mice, prevents neutrophil recruitment, extravasation, and swarming that protect lungs from ischemia perfusion injury after transplantation [7]. -Inhibits TRP channels [61]. -Modulates T cell response [62]. -Reduces IgE production in mast cells [25]. Cancer: -Increases human monocyte-derived macrophages efferocytosis of cellular debris from chemotherapy-induced tumor cells and reduces the secretion of pro-inflammatory cytokines [63,64]. - Inhibits tumor growth in lung, pancreatic, and prostate cancers [31,51,52]. -Suppresses TAMs and enhanced tumor cell debris [65]. |
| Resolvin D2 (RvD2) | ![]() 7S,16R,17S-trihydroxy-4Z,8E,10Z,12E,14E,19Z-DHA | -Stops neutrophil infiltration and transmigration to the site of inflammation [66]. -Reduces pro-inflammatory cytokines and chemokines [66]. -Accelerates macrophage efferocytosis [66,67]. -Controls hepatic steatosis and fibrosis mediated by increasing infiltration of reparative M2 macrophages and protection of reparative monocytes in the bone marrow [68]. -Inhibits TRP channels [47]. -Modulates T cell response [62]. -Suppresses NLRP3 inflammasome by promoting autophagy in macrophages [69]. Cancer: -Increases human monocyte-derived macrophages efferocytosis of cellular debris from chemotherapy-induced tumor cells and reduces the secretion of pro-inflammatory cytokines [63,64]. -Reduces metastases in tumor-bearing mice of lung, liver, and pancreatic cancers [52]. -Shows in vitro and in vivo dose-dependent anti-tumor effects in oral squamous cell carcinoma [70]. -Suppresses TAMs and enhances tumor cell debris [65]. |
| Resolvin D3 (RvD3) | ![]() 4S,11R,17S-trihydroxy-5Z,7E,9E,13Z,15E, 19Z-DHA | -Blocks PMN migration [71]. -Reduces pro-inflammatory cytokines and chemokines [72]. -Accelerates macrophage efferocytosis [71,72]-Restores epithelial barrier and function [71] Cancer: -Reduces metastases in tumor-bearing mice of lung, liver, and pancreatic cancers [52]. |
| Resolvin D4 (RvD4) | ![]() 4S,5R,17S-trihydroxy-6E,8E,10Z,13Z,15E,19Z-DHA | -Controls neutrophil deployment from bone marrow after emergency granulopoiesis initiated by E. coli peritonitis [26]. -Enhances fibroblast phagocytosis [73]. -Enhance thrombosis clearance and decreases neutrophil extracellular traps [74]. Cancer: -Reduces metastases in tumor-bearing mice of lung, liver, and pancreatic cancers [52]. |
| Resolvin D5 (RvD5) | ![]() 7S,17S-dihydroxy-4Z,8E,10Z,13Z,15E,19Z-DHA | -Enhances bacterial clearance [75]. -Accelerates macrophage efferocytosis [75]. -Elevated in patients taking n-3 PUFA supplements via TPN [76]. -Plays a critical role in host defense and reduces arthritis by acting on T cells [77]. |
| Protectin/ NeuroProtectin 1 (PD/NPD1) | ![]() 10R,17S-dihydroxy-4Z,7Z,11E,13E,15E,19Z-EPA | -Defends the host from viral infection and bacteria by killing and clearing microbes [38]. -Significantly reduces infiltration of neutrophils and pathogenic CD4+ T cells in HSV-induced SK [78]. -Induces macrophage polarization switch towards non-inflammation in Zebrafish larva fin fold regeneration [79]. -Decreases post-infection lung eosinophils in vivo in models of RSV [80]. -Decreases polymorphonucler leukocyte recruitment and chemokine, cytokine levels in IRI [81]. -Elevated in patients taking n-3 PUFA supplements via total parenteral nutrition (TPN) [76]. |
| Maresin 1 (MaR1) | ![]() 7R,14S-dihydroxy-4Z,8E,10E,12Z,16Z,19Z-DHA | -Negatively correlated with depression severity in medication-naïve adolescents with first-episode major depressive disorder [82]. -Exogenous MaR1-LGR6 axis decreases IL-13 production in FoxP3-expressing regulatory T cells [41]. -In ALI, accelerates the resolution of inflammation by attenuating neutrophil accumulation and pulmonary edema [83]. -Intratracheal injection of MaR1, in high doses, increases in pro-inflammatory cytokines, chemokines, and neutrophil infiltration in lung tissue [84]. -Attenuates hepatocyte apoptosis, ROS, and histopathological damage in macrophages [85]. -Elevated in patients taking n-3 PUFA supplements via TPN [76]. Cancer: -Reduces UVB-induced skin edema, neutrophil recruitment, cytokine production, and mast cells count in skin cancer [30]. |
| Maresin 2 (MaR2) | ![]() 13R,14S-dihydroxy-4Z,7Z,9E,11E,16Z,19Z-DHA | -Reduces neutrophil infiltration in mouse peritonitis and enhances human macrophage phagocytosis of zymosan [86]. -Exogenous MaR2 promotes mucosal repair following dextran sulfate sodium-induced colitis [87]. -Modulates monocyte/macrophage populations in the liver of DIO mice [88]. -Elevated in patients taking n-3 PUFA supplements via TPN [76]. |
| Resolvins | Quantities in Tissue/Organ |
|---|---|
| Resolvin E1 (RvE1) | Plasma: 2–22 pg/mL [169] Stenotic Aortic Valves: 500–3500 pg/g tissue [149] Metabolic Syndrome (weight loss program): 1339 ± 175 pg/mL [150] Nonobstructive coronary artery disease (WARRIOR Trial) [151] Human Vagus Nerve: 19.7 ± 12.6 pg/tissue [152] COVID-19 and lung severity: Severe: 112.6 pg/mL [161] Obesity (adiposity): Men: 6.5 pg/mL [168] Women: 5.2 pg/mL [168] Salivary levels in Periodontal and cardiovascular therapies: 0-6 months: 1.11–1.24 pg/mL [170] Pregnancy: First Trimester: 0.0049 ± 0.036 [171] Second Trimester: 0.048 ± 0.037 [171] Third Trimester: 0.024 ± 0.027 [171] Anetholea anisita extract for scalp condition [172] |
| Resolvin E2 (RvE2) | Obesity (adiposity): Men: 10.7 pg/mL [168] Women: 11.4 pg/mL [168] |
| Resolvin E3 (RvE3) | Metabolic Syndrome (weight loss program): 175 ± 44 pg/mL [150] Obesity (adiposity): Men: 19.2 pg/mL [168] Women: 15.9 pg/mL [168] |
| Resolvin D1 (RvD1) | Nonobstructive coronary artery disease (WARRIOR Trial) [151] Plasma: 2–22 pg/mL [169] Multiple Sclerosis: 0.68 ± 0.32 pg/mL [153] Synovial fluid: 5 pmol/mL [173] Blister: 10–15 pg/mL [154] Sputum (Cystic Fibrosis): 200 pg/mL [174] Chronic Rhinosinusitis [155] COVID-19 and lung severity: Mild: 1.4 pg/mL [161] Severe: 1.0 pg/mL [161] Obesity (adiposity): Men: 7.4 pg/mL Women: 8.7 pg/mL [168] Salivary levels in periodontal and cardiovascular therapies: 0-6 months: 92.87–181.01 pg/mL [170] Pregnancy: First Trimester: 0.002 ± 0.001 [171] Second Trimester: 0.002 ± 0.001 [171] Third Trimester: 0.005 ± 0.011 [171] |
| Resolvin D2 (RvD2) | Nonobstructive coronary artery disease (WARRIOR Trial) [151] Metabolic Syndrome (weight loss program): 27 ± 2 pg/mL [150] Synovial fluid: 5 pmol/mL [173] Chronic Rhinosinusitis [155] COVID-19 and lung severity: Mild: 9.1 pg/mL [161] Moderate: 9.1 pg/mL [161] Severe: 5.1 pg/mL [161] Obesity (adiposity): Men: 6.4 pg/mL [168] Women: 6.6 pg/mL [168] Anetholea anisita extract for scalp condition [172] |
| Resolvin D3 (RvD3) | Human Vagus Nerve: 2.5 ± 0.7 pg/tissue [152] Nonobstructive coronary artery disease (WARRIOR Trial) [151] Stenotic Aortic Valves: 500–3500 pg/g tissue [149] Blister: 10–15 pg/mL [154] COVID-19 and lung severity: Mild: 1.5 pg/mL [161] Obesity (adiposity): Men: 5.2 pg/mL [168] Women: 5.1 pg/mL [168] |
| Resolvin D4 (RvD4) | Human Vagus Nerve: 0.9 ± 0.3 pg/tissue [152] Bone Marrow [175] COVID-19 and lung severity: Mild: 0.5 pg/mL [161] |
| Resolvin D5 (RvD5) | Human Vagus Nerve: 52.9 ± 20.2 pg/tissue [152] Nonobstructive coronary artery disease (WARRIOR Trial) [151] Plasma: 2–22 pg/mL [169] Multiple Sclerosis: 1.37 ± 0.43 pg/mL [153] Synovial fluid: 5 pmol/mL [173] COVID-19 and lung severity: Moderate: 15.0 pg/mL [161] Severe: 24.0 pg/mL [161] Obesity (adiposity): Men: 2.9 pg/mL [168] Women: 4.3 pg/mL [168] |
| Protectin/NeuroProtectin D1 (PD1/NPD1) | Human Vagus Nerve: 82.7 ± 33.5 pg/tissue [152] Multiple Sclerosis: 0.14 ± 0.03 pg/mL [153] Synovial fluid: 5 pmol/mL [173] Obesity (adiposity): Men: 32.5 pg/mL [168] Women: 48.6 pg/mL [168] Salivary levels in Periodontal and cardiovascular therapies: 0-6 months: 101.2–146.67 pg/mL [170] |
| Maresin 1 (MaR1) | Human Vagus Nerve: 6.9 ± 2.1 pg/tissue [152] Nonobstructive coronary artery disease (WARRIOR Trial) [151] Metabolic Syndrome (weight loss program): 35 ± 2 pg/mL [150] Synovial fluid: 5 pmol/mL [173] COVID-19 and lung severity: Mild: 36.7 pg/mL [161] Moderate: 40.9 pg/mL [161] Severe: 64.0 pg/mL [161] Obesity (adiposity): Men: 11.7 pg/mL [168] Women: 10.5 pg/mL [168] Salivary levels in Periodontal and cardiovascular therapies: 0-6 months: 125.51–337.03 [170] Pregnancy: First Trimester: 0.001 ± 0.001 [171] Second Trimester: 0.002 ± 0.001 [171] Third Trimester: 0.008 ± 0.020 [171] |
| Maresin 2 (MaR2) | COVID-19 and lung severity: Mild: 5.5 pg/mL [161] Moderate: 3.0 pg/mL [161] Severe: 14.5 pg/mL [161] |
Disclaimer/Publisher’s Note: The statements, opinions and data contained in all publications are solely those of the individual author(s) and contributor(s) and not of MDPI and/or the editor(s). MDPI and/or the editor(s) disclaim responsibility for any injury to people or property resulting from any ideas, methods, instructions or products referred to in the content. |
© 2024 by the authors. Licensee MDPI, Basel, Switzerland. This article is an open access article distributed under the terms and conditions of the Creative Commons Attribution (CC BY) license (https://creativecommons.org/licenses/by/4.0/).
Share and Cite
Babar, M.U.; Nassar, A.F.; Nie, X.; Zhang, T.; He, J.; Yeung, J.; Norris, P.; Ogura, H.; Muldoon, A.; Chen, L.; et al. Is Lipid Metabolism of Value in Cancer Research and Treatment? Part II: Role of Specialized Pro-Resolving Mediators in Inflammation, Infections, and Cancer. Metabolites 2024, 14, 314. https://doi.org/10.3390/metabo14060314
Babar MU, Nassar AF, Nie X, Zhang T, He J, Yeung J, Norris P, Ogura H, Muldoon A, Chen L, et al. Is Lipid Metabolism of Value in Cancer Research and Treatment? Part II: Role of Specialized Pro-Resolving Mediators in Inflammation, Infections, and Cancer. Metabolites. 2024; 14(6):314. https://doi.org/10.3390/metabo14060314
Chicago/Turabian StyleBabar, Muhammad Usman, Ala F. Nassar, Xinxin Nie, Tianxiang Zhang, Jianwei He, Jacky Yeung, Paul Norris, Hideki Ogura, Anne Muldoon, Lieping Chen, and et al. 2024. "Is Lipid Metabolism of Value in Cancer Research and Treatment? Part II: Role of Specialized Pro-Resolving Mediators in Inflammation, Infections, and Cancer" Metabolites 14, no. 6: 314. https://doi.org/10.3390/metabo14060314
APA StyleBabar, M. U., Nassar, A. F., Nie, X., Zhang, T., He, J., Yeung, J., Norris, P., Ogura, H., Muldoon, A., Chen, L., & Libreros, S. (2024). Is Lipid Metabolism of Value in Cancer Research and Treatment? Part II: Role of Specialized Pro-Resolving Mediators in Inflammation, Infections, and Cancer. Metabolites, 14(6), 314. https://doi.org/10.3390/metabo14060314













