Evolution of Status of Trace Elements and Metallothioneins in Patients with COVID-19: Relationship with Clinical, Biochemical, and Inflammatory Parameters
Abstract
1. Introduction
2. Materials and Methods
2.1. Subjects and Study Design
2.2. Data Collection
2.3. Blood Sampling and Biochemical Parameters Analysis
2.3.1. Blood Sampling and Biochemical Parameters Analysis
2.3.2. Sample Processing and Differential Pulse Voltammetry Brdicka Reaction for Determination of MTs
2.4. Statistical Analysis
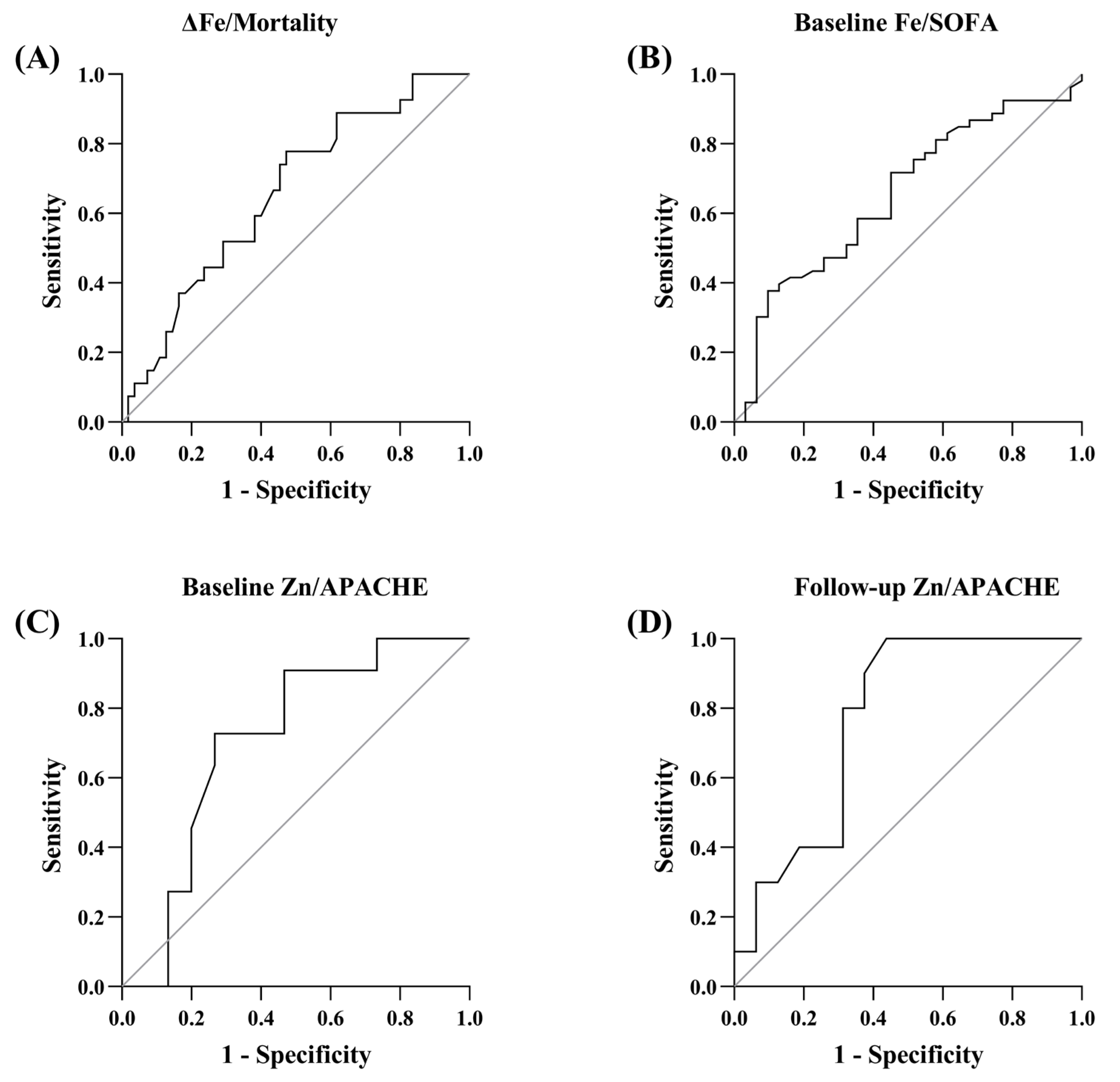
3. Results
4. Discussion
5. Conclusions
Supplementary Materials
Author Contributions
Funding
Institutional Review Board Statement
Informed Consent Statement
Data Availability Statement
Acknowledgments
Conflicts of Interest
References
- Parasher, A. COVID-19: Current Understanding of Its Pathophysiology, Clinical Presentation and Treatment. Postgrad. Med. J. 2021, 97, 312–320. [Google Scholar] [CrossRef] [PubMed]
- Polyzogopoulou, E.; Amoiridou, P.; Abraham, T.P.; Ventoulis, I. Acute Liver Injury in COVID-19 Patients Hospitalized in the Intensive Care Unit: Narrative Review. World J. Gastroenterol. 2022, 28, 6662–6688. [Google Scholar] [CrossRef] [PubMed]
- da Costa, C.G.; Jalalizadeh, M.; Yadollahvandmiandoab, R.; Buosi, K.; Reis, L.O. Effect of BCG on Respiratory Complications Caused by COVID-19: A Scoping Review. Int. J. Gen. Med. 2022, 15, 8727–8741. [Google Scholar] [CrossRef]
- Fernandes, Q.; Inchakalody, V.P.; Merhi, M.; Mestiri, S.; Taib, N.; Moustafa Abo El-Ella, D.; Bedhiafi, T.; Raza, A.; Al-Zaidan, L.; Mohsen, M.O.; et al. Emerging COVID-19 Variants and Their Impact on SARS-CoV-2 Diagnosis, Therapeutics and Vaccines. Ann. Med. 2022, 54, 524–540. [Google Scholar] [CrossRef] [PubMed]
- Osamor, V.C.; Ikeakanam, E.; Bishung, J.; Abiodun, T.; Ekpo, R.H. COVID-19 Vaccines: Computational Tools and Development. Inform. Med. Unlocked 2023, 37, 101164. [Google Scholar] [CrossRef]
- Calder, P.C.; Carr, A.C.; Gombart, A.F.; Eggersdorfer, M. Optimal Nutritional Status for a Well-Functioning Immune System Is an Important Factor to Protect against Viral Infections. Nutrients 2020, 12, 1181. [Google Scholar] [CrossRef]
- Fath, M.K.; Naderi, M.; Hamzavi, H.; Ganji, M.; Shabani, S.; Ghahroodi, F.N.; Khalesi, B.; Pourzardosht, N.; Hashemi, Z.S.; Khalili, S. Molecular Mechanisms and Therapeutic Effects of Different Vitamins and Minerals in COVID-19 Patients. J. Trace Elem. Med. Biol. 2022, 73, 127044. [Google Scholar] [CrossRef]
- Engin, A.B.; Engin, E.D.; Engin, A. Can Iron, Zinc, Copper and Selenium Status Be a Prognostic Determinant in COVID-19 Patients? Environ. Toxicol. Pharmacol. 2022, 95, 103937. [Google Scholar] [CrossRef]
- Zeng, H.-L.; Yang, Q.; Yuan, P.; Wang, X.; Cheng, L. Associations of Essential and Toxic Metals/Metalloids in Whole Blood with Both Disease Severity and Mortality in Patients with COVID-19. FASEB J. Off. Publ. Fed. Am. Soc. Exp. Biol. 2021, 35, e21392. [Google Scholar] [CrossRef]
- Liu, W.; Li, H. COVID-19: Attacks the 1-Beta Chain of Hemoglobin to Disrupt Respiratory Function and Escape Immunit; Cambridge Open Engage: Cambridge, UK, 2022. [Google Scholar]
- Maret, W. Inhibitory Zinc Sites in Enzymes. BioMetals 2013, 26, 197–204. [Google Scholar] [CrossRef]
- Wellinghausen, N.; Martin, M.; Rink, L. Zinc Inhibits Interleukin-1-Dependent T Cell Stimulation. Eur. J. Immunol. 1997, 27, 2529–2535. [Google Scholar] [CrossRef]
- Gaetke, L.M.; Chow, C.K. Copper Toxicity, Oxidative Stress, and Antioxidant Nutrients. Toxicology 2003, 189, 147–163. [Google Scholar] [CrossRef]
- Lindner, S.; Lucchini, R.; Broberg, K. Genetics and Epigenetics of Manganese Toxicity. Curr. Environ. Health Rep. 2022, 9, 697–713. [Google Scholar] [CrossRef] [PubMed]
- Maret, W. The Metals in the Biological Periodic System of the Elements: Concepts and Conjectures. Int. J. Mol. Sci. 2016, 17, 66. [Google Scholar] [CrossRef]
- Atrian, S.; Capdevila, M. Metallothionein-Protein Interactions. Biomol. Concepts 2013, 4, 143–160. [Google Scholar] [CrossRef]
- Thirumoorthy, N.; Manisenthil Kumar, K.-T.; Shyam Sundar, A.; Panayappan, L.; Chatterjee, M. Metallothionein: An Overview. World J. Gastroenterol. 2007, 13, 993–996. [Google Scholar] [CrossRef] [PubMed]
- Sun, X.; Kang, Y.J. Prior Increase in Metallothionein Levels Is Required to Prevent Doxorubicin Cardiotoxicity1. Exp. Biol. Med. 2002, 227, 652–657. [Google Scholar] [CrossRef]
- Zhao, J.-Y.; Yan, J.-Y.; Qu, J.-M. Interpretations of “Diagnosis and Treatment Protocol for Novel Coronavirus Pneumonia (Trial Version 7)”. Chin. Med. J. 2020, 133, 1347–1349. [Google Scholar] [CrossRef] [PubMed]
- World Medical Association. World Medical Association Declaration of Helsinki: Ethical Principles for Medical Research Involving Human Subjects. JAMA 2013, 310, 2191–2194. [Google Scholar] [CrossRef]
- Vincent, J.L.; Moreno, R.; Takala, J.; Willatts, S.; De Mendonça, A.; Bruining, H.; Reinhart, C.K.; Suter, P.M.; Thijs, L.G. The SOFA (Sepsis-Related Organ Failure Assessment) Score to Describe Organ Dysfunction/Failure. On Behalf of the Working Group on Sepsis-Related Problems of the European Society of Intensive Care Medicine. Intensive Care Med. 1996, 22, 707–710. [Google Scholar] [CrossRef]
- Knaus, W.A.; Draper, E.A.; Wagner, D.P.; Zimmerman, J.E. APACHE II: A Severity of Disease Classification System. Crit. Care Med. 1985, 13, 818–829. [Google Scholar] [CrossRef] [PubMed]
- Vázquez-Lorente, H.; Molina-López, J.; Herrera-Quintana, L.; Gamarra-Morales, J.; López-González, B.; Planells, E. Effectiveness of Eight-Week Zinc Supplementation on Vitamin D3 Status and Leptin Levels in a Population of Postmenopausal Women: A Double-Blind Randomized Trial. J. Trace Elem. Med. Biol. 2021, 65, 126730. [Google Scholar] [CrossRef]
- Krizkova, S.; Ryvolova, M.; Gumulec, J.; Masarik, M.; Adam, V.; Majzlik, P.; Hubalek, J.; Provaznik, I.; Kizek, R. Electrophoretic Fingerprint Metallothionein Analysis as a Potential Prostate Cancer Biomarker. Electrophoresis 2011, 32, 1952–1961. [Google Scholar] [CrossRef]
- Benjamini, Y.; Hochberg, Y. Controlling the False Discovery Rate: A Practical and Powerful Approach to Multiple Testing. J. R. Stat. Soc. Ser. B Methodol. 1995, 57, 289–300. [Google Scholar] [CrossRef]
- Camerlingo, C. Predictors of Disease Severity, Clinical Course, and Therapeutic Outcome in COVID-19 Patients: Our Experience with 1700 Patients. Eur. Rev. 2022, 26, 8180–8187. [Google Scholar]
- Yasmeen, N.; Harikrishnan, S.; Lakhawat, S.S.; Datta, M.; Sharma, P.K.; Jain, A.; Khanna, R.; Jayalakshmi, S.; Kumar, V. Possibility of Averting Cytokine Storm in SARS-CoV-2 Patients Using Specialized pro-Resolving Lipid Mediators. Biochem. Pharmacol. 2023, 209, 115437. [Google Scholar] [CrossRef]
- Uddin, M.G.; Hossain, M.S.; Rahman, M.A.; Uddin, A.H.M.M.; Bhuiyan, M.S. Elemental Zinc Is Inversely Associated with C-Reactive Protein and Oxidative Stress in Chronic Liver Disease. Biol. Trace Elem. Res. 2017, 178, 189–193. [Google Scholar] [CrossRef]
- Calder, P.C. Nutrition, Immunity and COVID-19. BMJ Nutr. Prev. Health 2020, 3, 74–92. [Google Scholar] [CrossRef]
- Wenzhong, L.; Hualan, L. COVID-19: Captures Iron and Generates Reactive Oxygen Species to Damage the Human Immune System. Autoimmunity 2021, 54, 213–224. [Google Scholar] [CrossRef]
- Kernan, K.F.; Carcillo, J.A. Hyperferritinemia and Inflammation. Int. Immunol. 2017, 29, 401–409. [Google Scholar] [CrossRef]
- Hadi, J.M.; Mohammad, H.M.; Ahmed, A.Y.; Tofiq, S.S.; Abdalrahman, L.B.; Qasm, A.A.; Ameer, A.M. Investigation of Serum Ferritin for the Prediction of COVID-19 Severity and Mortality: A Cross-Sectional Study. Cureus 2022, 14, e31982. [Google Scholar] [CrossRef]
- Darveau, M.; Denault, A.Y.; Blais, N.; Notebaert, E. Bench-to-Bedside Review: Iron Metabolism in Critically Ill Patients. Crit. Care Lond. Engl. 2004, 8, 356–362. [Google Scholar] [CrossRef][Green Version]
- Ivanova, I.D.; Pal, A.; Simonelli, I.; Atanasova, B.; Ventriglia, M.; Rongioletti, M.; Squitti, R. Evaluation of Zinc, Copper, and Cu:Zn Ratio in Serum, and Their Implications in the Course of COVID-19. J. Trace Elem. Med. Biol. Organ Soc. Miner. Trace Elem. GMS 2022, 71, 126944. [Google Scholar] [CrossRef]
- Kocak, O.F.; Ozgeris, F.B.; Parlak, E.; Kadıoglu, Y.; Yuce, N.; Yaman, M.E.; Bakan, E. Evaluation of Serum Trace Element Levels and Biochemical Parameters of COVID-19 Patients According to Disease Severity. Biol. Trace Elem. Res. 2022, 200, 3138–3146. [Google Scholar] [CrossRef]
- Tsuchiya, H. Gustatory and Saliva Secretory Dysfunctions in COVID-19 Patients with Zinc Deficiency. Life 2022, 12, 353. [Google Scholar] [CrossRef]
- Maares, M.; Hackler, J.; Haupt, A.; Heller, R.A.; Bachmann, M.; Diegmann, J.; Moghaddam, A.; Schomburg, L.; Haase, H. Free Zinc as a Predictive Marker for COVID-19 Mortality Risk. Nutrients 2022, 14, 1407. [Google Scholar] [CrossRef]
- Notz, Q.; Herrmann, J.; Schlesinger, T.; Helmer, P.; Sudowe, S.; Sun, Q.; Hackler, J.; Roeder, D.; Lotz, C.; Meybohm, P.; et al. Clinical Significance of Micronutrient Supplementation in Critically Ill COVID-19 Patients with Severe ARDS. Nutrients 2021, 13, 2113. [Google Scholar] [CrossRef]
- Al-Saleh, I.; Alrushud, N.; Alnuwaysir, H.; Elkhatib, R.; Shoukri, M.; Aldayel, F.; Bakheet, R.; Almozaini, M. Essential Metals, Vitamins and Antioxidant Enzyme Activities in COVID-19 Patients and Their Potential Associations with the Disease Severity. BioMetals 2022, 35, 125–145. [Google Scholar] [CrossRef]
- Hackler, J.; Heller, R.A.; Sun, Q.; Schwarzer, M.; Diegmann, J.; Bachmann, M.; Moghaddam, A.; Schomburg, L. Relation of Serum Copper Status to Survival in COVID-19. Nutrients 2021, 13, 1898. [Google Scholar] [CrossRef]
- Zhou, S.; Zhang, F.; Chen, F.; Li, P.; He, Y.; Wu, J.; Dong, L.; Wang, C.; Wang, X.; Zhang, W.; et al. Micronutrient Level Is Negatively Correlated with the Neutrophil-Lymphocyte Ratio in Patients with Severe COVID-19. Int. J. Clin. Pract. 2022, 2022, 6498794. [Google Scholar] [CrossRef]
- Zeng, H.-L.; Zhang, B.; Wang, X.; Yang, Q.; Cheng, L. Urinary Trace Elements in Association with Disease Severity and Outcome in Patients with COVID-19. Environ. Res. 2021, 194, 110670. [Google Scholar] [CrossRef]
- Palmiter, R.D. The Elusive Function of Metallothioneins. Proc. Natl. Acad. Sci. USA 1998, 95, 8428–8430. [Google Scholar] [CrossRef] [PubMed]
- Orihuela, R.; Fernández, B.; Palacios, O.; Valero, E.; Atrian, S.; Watt, R.K.; Domínguez-Vera, J.M.; Capdevila, M. Ferritin and Metallothionein: Dangerous Liaisons. Chem. Commun. Camb. Engl. 2011, 47, 12155–12157. [Google Scholar] [CrossRef] [PubMed]
- Torreggiani, A.; Tinti, A.; Jurasekova, Z.; Capdevila, M.; Saracino, M.; Foggia, M.D. Structural Lesions of Proteins Connected to Lipid Membrane Damages Caused by Radical Stress: Assessment by Biomimetic Systems and Raman Spectroscopy. Biomolecules 2019, 9, 794. [Google Scholar] [CrossRef] [PubMed]
- Oladipo, O.O.; Ayo, J.O.; Ambali, S.F.; Mohammed, B. Evaluation of Hepatorenal Impairments in Wistar Rats Coexposed to Low-Dose Lead, Cadmium and Manganese: Insights into Oxidative Stress Mechanism. Toxicol. Mech. Methods 2016, 26, 674–684. [Google Scholar] [CrossRef]
- Milnerowicz, H.; Jablonowska, M.; Bizon, A. Change of Zinc, Copper, and Metallothionein Concentrations and the Copper-Zinc Superoxide Dismutase Activity in Patients With Pancreatitis. Pancreas 2009, 38, 681. [Google Scholar] [CrossRef]
- Nakazato, K.; Tomioka, S.; Nakajima, K.; Saito, H.; Kato, M.; Kodaira, T.; Yatsuzuka, S.; Shimomura, Y.; Hiroki, T.; Motoyama, K.; et al. Determination of the Serum Metallothionein (MT)1/2 Concentration in Patients with Wilson’s Disease and Menkes Disease. J. Trace Elem. Med. Biol. 2014, 28, 441–447. [Google Scholar] [CrossRef]
- Berger, M.M.; Shenkin, A.; Schweinlin, A.; Amrein, K.; Augsburger, M.; Biesalski, H.-K.; Bischoff, S.C.; Casaer, M.P.; Gundogan, K.; Lepp, H.-L.; et al. ESPEN Micronutrient Guideline. Clin. Nutr. 2022, 41, 1357–1424. [Google Scholar] [CrossRef]


| n = 86 | References Values | 1st Day (Mean (SD)) | 3rd Day (Mean (SD)) | MeanDifferences | p-Value | BH-P |
|---|---|---|---|---|---|---|
| Biochemical and Inflammatory Parameters | ||||||
| Albumin (g/dL) | 3.5–5.2 | 3.2 (0.5) | 3.3 (3.0) | +0.1 | 0.923 | 0.923 |
| Ferritin (ng/mL) | 20.0–275.0 | 1641.2 (1130.6) | 1768.7 (1287.6) | +127.5 | 0.213 | 0.280 |
| Transferrin (mg/dL) | 200.0–360.0 | 146.1 (25.5) | 161.6 (41.5) | +15.5 | 0.036 | 0.064 |
| TSI (%) | 17.1–30.6 | 46.1 (34.5) | 38.3 (26.9) | −7.9 | 0.183 | 0.269 |
| Fibrinogen (mg/dL) | 200.0–350.0 | 651.1 (211.1) | 556.4 (189.9) | −94.6 | 0.001 | 0.025 |
| D-dimer (ng/mL) | 0.0–500.0 | 1291.0 (1246.9) | 2049.6 (1842.5) | +751.3 | 0.001 | 0.012 |
| CRP (mg/L) | 0.0–5.0 | 120.6 (86.8) | 75.5 (70.6) | −45.2 | 0.001 | 0.008 |
| GOT (U/L) | 5–40 | 42.2 (29.7) | 37.5 (32.7) | −4.7 | 0.238 | 0.297 |
| GPT (U/L) | 0–55 | 48.5 (46.5) | 62.1 (73.7) | +13.6 | 0.025 | 0.048 |
| GGT (U/L) | 1–55 | 99.8 (108.6) | 142.3 (198.3) | +42.5 | 0.008 | 0.020 |
| LDH (U/L) | 0–248 | 519.6 (19.1) | 463.1 (187.8) | −56.5 | 0.008 | 0.018 |
| Hb (g/dL) | 11.0–17.0 | 13.1 (2.0) | 12.4 (2.1) | −0.7 | 0.001 | 0.006 |
| Hematocrit (%) | 30.0–50.0 | 38.4 (5.7) | 36.7 (5.7) | −1.7 | 0.001 | 0.005 |
| Leukocytes (×103/µL) | 3.5–10.5 | 11.6 (6.2) | 10.5 (5.4) | −1.1 | 0.046 | 0.076 |
| Lymphocytes (%) | 20.0–44.0 | 7.2 (4.4) | 9.7 (8.1) | +2.5 | 0.005 | 0.017 |
| Neutrophils (%) | 42.0–77.0 | 88.4 (5.6) | 82.3 (13.8) | −6.1 | 0.001 | 0.004 |
| Platelets (×103/µL) | 120.0–450.0 | 232.5 (89.6) | 256.6 (104.5) | +24.1 | 0.006 | 0.016 |
| TNT (ng/L) | <14.0 | 19.7 (41.5) | 12.9 (28.6) | −6.8 | 0.151 | 0.235 |
| APTT (s) | 26.0–37.0 | 28.9 (3.9) | 29.2 (4.2) | −0.3 | 0.655 | 0.711 |
| INR | 0.80–1.2 | 1.1 (0.3) | 1.0 (0.2) | −0.1 | 0.367 | 0.436 |
| Minerals | ||||||
| Iron (mg/L) | 0.6–1.70 | 1.7 (0.9) | 1.5 (0.9) | −0.2 | 0.197 | 0.273 |
| Zinc (mg/L) | 0.7–1.10 | 0.9 (0.3) | 0.8 (0.4) | −0.1 | 0.607 | 0.689 |
| Copper (µg/L) | 0.6–1.40 | 0.6 (0.4) | 0.5 (0.3) | −0.1 | 0.005 | 0.015 |
| Manganese (µg/L) | 0.4–0.85 | 0.5 (0.1) | 0.4 (0.1) | −0.1 | 0.704 | 0.733 |
| Metallothioneins | ||||||
| MTs (µmol/L) | - | 0.3 (0.1) | 0.2 (0.1) | −0.1 | 0.022 | 0.045 |
| n = 86 Δ Change | Δ Fe | Δ Zn | Δ Cu | Δ Mn | Δ MTs | ||||||||||
|---|---|---|---|---|---|---|---|---|---|---|---|---|---|---|---|
| Δ | p-Value | BH-P | Δ | p-Value | BH-P | Δ | p-Value | BH-P | Δ | p-Value | BH-P | Δ | p-Value | BH-P | |
| Clinical parameters | |||||||||||||||
| SOFA | +0.05 | 0.917 | 0.917 | +0.45 | 0.576 | 0.706 | +0.06 | 0.908 | 1.000 | +0.88 | 0.170 | 0.765 | +0.08 | 0.895 | 0.966 |
| MAP | +5.50 | 0.506 | 0.803 | –2.40 | 0.893 | 0.893 | +16.6 | 0.095 | 0.427 | +12.8 | 0.182 | 0.702 | +3.62 | 0.658 | 1.000 |
| HR | −25.1 | 0.006 | 0.162 | –6.15 | 0.592 | 0.694 | +2.88 | 0.807 | 1.000 | −11.5 | 0.295 | 0.885 | +3.73 | 0.677 | 1.000 |
| BR | −0.48 | 0.862 | 0.930 | –1.43 | 0.329 | 1.000 | +3.23 | 0.253 | 0.569 | −2.09 | 0.521 | 0.879 | +2.15 | 0.509 | 1.000 |
| FiO2 | +0.01 | 0.806 | 0.906 | –0.03 | 0.456 | 0.769 | −0.04 | 0.439 | 0.911 | +0.05 | 0.480 | 0.925 | −0.05 | 0.431 | 1.000 |
| PaO2/FiO2 | +23.1 | 0.618 | 0.794 | –0.12 | 0.415 | 0.800 | +21.6 | 0.679 | 1.000 | +43.1 | 0.499 | 0.898 | +74.1 | 0.151 | 1.000 |
| PEEP | +0.93 | 0.266 | 1.000 | –1.23 | 0.146 | 1.000 | −1.10 | 0.242 | 0.594 | −0.87 | 0.396 | 0.891 | +0.81 | 0.322 | 1.000 |
| Biochemical and inflammatory parameters | |||||||||||||||
| Albumin | +0.75 | 0.325 | 0.731 | −2.25 | 0.363 | 0.980 | −0.04 | 0.617 | 1.000 | +1.95 | 0.044 | 0.594 | −0.81 | 0.359 | 1.000 |
| Ferritin | +177.7 | 0.392 | 0.814 | −71.5 | 0.884 | 0.918 | +15.5 | 0.948 | 0.948 | −92.8 | 0.720 | 1.000 | −117.4 | 0.613 | 1.000 |
| Transferrin | −23.4 | 0.091 | 0.491 | +26.4 | 0.214 | 0.963 | −1.19 | 0.944 | 0.980 | −5.11 | 0.764 | 0.982 | +1.25 | 0.943 | 0.943 |
| TSI | +12.1 | 0.301 | 0.738 | −17.5 | 0.347 | 1.000 | +25.5 | 0.031 | 0.161 | +19.0 | 0.153 | 1.000 | −5.02 | 0.726 | 1.000 |
| Fibrinogen | +27.2 | 0.527 | 0.790 | +58.4 | 0.427 | 0.768 | +148.5 | 0.001 | 0.027 | +54.1 | 0.319 | 0.861 | +15.3 | 0.737 | 0.947 |
| D-dimer | −1315.0 | 0.294 | 0.793 | +1797.0 | 0.484 | 0.726 | +504.6 | 0.723 | 1.000 | −1526.2 | 0.340 | 0.834 | +265.7 | 0.855 | 0.961 |
| CRP | −13.8 | 0.438 | 0.788 | +18.3 | 0.605 | 0.680 | +44.0 | 0.017 | 0.229 | −45.4 | 0.038 | 1.000 | +6.62 | 0.734 | 0.990 |
| GOT | −13.9 | 0.090 | 0.607 | +9.71 | 0.402 | 0.904 | −2.09 | 0.812 | 0.996 | −15.8 | 0.115 | 1.000 | −2.01 | 0.832 | 1.000 |
| GPT | −22.1 | 0.073 | 0.985 | +11.7 | 0.544 | 0.699 | −19.9 | 0.121 | 0.408 | +2.51 | 0.866 | 1.000 | −8.50 | 0.522 | 1.000 |
| GGT | +35.2 | 0.284 | 0.958 | +25.4 | 0.471 | 0.748 | +43.4 | 0.229 | 0.618 | +87.1 | 0.211 | 0.712 | +24.6 | 0.498 | 1.000 |
| LDH | +31.6 | 0.464 | 0.783 | −50.9 | 0.371 | 0.910 | +78.0 | 0.104 | 0.401 | +18.0 | 0.746 | 1.000 | +68.2 | 0.151 | 1.000 |
| Hb | −0.12 | 0.615 | 0.830 | +0.28 | 0.524 | 0.744 | +0.18 | 0.505 | 0.973 | +0.06 | 0.843 | 1.000 | +0.30 | 0.270 | 1.000 |
| Haematocrit | −0.61 | 0.432 | 0.833 | +0.90 | 0.527 | 0.711 | +0.46 | 0.588 | 1.000 | +0.34 | 0.714 | 1.000 | +0.62 | 0.463 | 1.000 |
| Leukocytes | +0.38 | 0.719 | 0.844 | +2.63 | 0.113 | 1.000 | +1.41 | 0.221 | 0.663 | +0.20 | 0.876 | 0.985 | +0.14 | 0.898 | 0.932 |
| Lymphocytes | −0.85 | 0.639 | 0.784 | −0.67 | 0.880 | 0.950 | −4.57 | 0.023 | 0.207 | +0.95 | 0.671 | 1.000 | +1.74 | 0.364 | 1.000 |
| Neutrophils | +1.63 | 0.605 | 0.859 | −6.33 | 0.407 | 0.845 | +6.51 | 0.030 | 0.202 | −0.46 | 0.890 | 0.961 | −3.48 | 0.243 | 1.000 |
| Platelets | −2.33 | 0.897 | 0.931 | +54.9 | 0.085 | 1.000 | −6.65 | 0.716 | 1.000 | +0.53 | 0.979 | 0.979 | −16.1 | 0.416 | 1.000 |
| TNT | +13.5 | 0.290 | 0.870 | +9.25 | 0.208 | 1.000 | −1.12 | 0.936 | 1.000 | +24.2 | 0.161 | 0.869 | −11.1 | 0.444 | 1.000 |
| APTT | −1.74 | 0.098 | 0.441 | +1.85 | 0.192 | 1.000 | −0.20 | 0.849 | 0.996 | −1.07 | 0.401 | 0.832 | −0.62 | 0.585 | 1.000 |
| INR | −0.12 | 0.075 | 0.675 | −0.14 | 0.258 | 0.995 | +0.02 | 0.811 | 1.000 | +0.01 | 0.942 | 0.932 | −0.01 | 0.841 | 0.987 |
| n = 86 Δ Change | Δ Fe | Δ Zn | Δ Cu | Δ Mn | Δ MTs |
|---|---|---|---|---|---|
| Clinical parameters | |||||
| SOFA | −0.076 | +0.026 | −0.127 | +0.209 | +0.042 |
| MAP | +0.087 | −0.377 | +0.226 | +0.159 | +0.300 |
| HR | −0.258 | −0.189 | −0.079 | +0.073 | +0.146 |
| BR | −0.229 | –0.815 * | +0.251 | −0.366 | −0.133 |
| FiO2 | 0.058 | −0.179 | −0.220 | +0.390 | +0.142 |
| PaO2/FiO2 | −0.166 | +0.963 * | +0.262 | −0.653 | +0.113 |
| PEEP | −0.002 | −0.295 | −0.083 | +0.288 | −0.095 |
| Biochemical and inflammatory parameters | |||||
| Albumin | +0.060 | −0.059 | –0.068 | +0.043 | −0.328 * |
| Ferritin | +0.054 | +0.223 | +0.069 | +0.021 | +0.030 |
| Transferrin | –0.163 | +0.359 | –0.050 | +0.029 | +0.025 |
| TSI | +0.066 | −0.138 | +0.404 | +0.232 | −0.230 |
| Fibrinogen | +0.131 | −0.148 | +0.447 **,a | +0.250 * | +0.077 |
| D-dimer | +0.015 | +0.185 | +0.081 | −0.066 | +0.033 |
| CRP | –0.015 | −0.264 | +0.276 * | −0.079 | +0.053 |
| GOT | +0.029 | −0.114 | −0.086 | −0.221 * | +0.030 |
| GPT | +0.031 | +0.115 | −0.195 | −0.164 | −0.054 |
| GGT | +0.114 | +0.215 | +0.063 | +0.113 | +0.001 |
| LDH | +0.112 | −0.210 | +0.205 | +0.145 | +0.103 |
| Hb | –0.035 | +0.219 | +0.160 | −0.111 | +0.083 |
| Hematocrit | –0.064 | +0.313 | +0.122 | −0.151 | 0.051 |
| Leukocytes | +0.153 | +0.070 | +0.129 | +0.078 | −0.194 |
| Lymphocytes | –0.139 | −0.031 | −0.204 | +0.012 | +0.060 |
| Neutrophils | –0.003 | −0.183 | +0.173 | +0.011 | −0.076 |
| Platelets | +0.117 | +0.494 * | +0.076 | +0.068 | −0.193 |
| TNT | +0.001 | +0.156 | +0.019 | +0.298 | −0.022 |
| APTT | –0.174 | −0.065 | +0.006 | −0.117 | −0.064 |
| INR | –0.147 | −0.480 * | −0.199 | −0.154 | +0.040 |
| Minerals | |||||
| Fe | - | - | - | - | +0.039 |
| Zn | −0.262 | - | - | - | −0.152 |
| Cu | +0.282 * | −0.330 | - | - | −0.022 |
| Mn | +0.266 * | +0.197 | +0.059 | - | −0.255 * |
| Metallothioneins | |||||
| MTs | - | - | - | - | - |
Disclaimer/Publisher’s Note: The statements, opinions and data contained in all publications are solely those of the individual author(s) and contributor(s) and not of MDPI and/or the editor(s). MDPI and/or the editor(s) disclaim responsibility for any injury to people or property resulting from any ideas, methods, instructions or products referred to in the content. |
© 2023 by the authors. Licensee MDPI, Basel, Switzerland. This article is an open access article distributed under the terms and conditions of the Creative Commons Attribution (CC BY) license (https://creativecommons.org/licenses/by/4.0/).
Share and Cite
Herrera-Quintana, L.; Vázquez-Lorente, H.; Gamarra-Morales, Y.; Molina-López, J.; Planells, E. Evolution of Status of Trace Elements and Metallothioneins in Patients with COVID-19: Relationship with Clinical, Biochemical, and Inflammatory Parameters. Metabolites 2023, 13, 931. https://doi.org/10.3390/metabo13080931
Herrera-Quintana L, Vázquez-Lorente H, Gamarra-Morales Y, Molina-López J, Planells E. Evolution of Status of Trace Elements and Metallothioneins in Patients with COVID-19: Relationship with Clinical, Biochemical, and Inflammatory Parameters. Metabolites. 2023; 13(8):931. https://doi.org/10.3390/metabo13080931
Chicago/Turabian StyleHerrera-Quintana, Lourdes, Héctor Vázquez-Lorente, Yenifer Gamarra-Morales, Jorge Molina-López, and Elena Planells. 2023. "Evolution of Status of Trace Elements and Metallothioneins in Patients with COVID-19: Relationship with Clinical, Biochemical, and Inflammatory Parameters" Metabolites 13, no. 8: 931. https://doi.org/10.3390/metabo13080931
APA StyleHerrera-Quintana, L., Vázquez-Lorente, H., Gamarra-Morales, Y., Molina-López, J., & Planells, E. (2023). Evolution of Status of Trace Elements and Metallothioneins in Patients with COVID-19: Relationship with Clinical, Biochemical, and Inflammatory Parameters. Metabolites, 13(8), 931. https://doi.org/10.3390/metabo13080931

