Preliminary Exploration of Metabolic Mechanisms in Copper-Exposed Sepia esculenta Based on Transcriptome Analysis
Abstract
1. Introduction
2. Material and Methods
2.1. S. esculenta Larvae and Exposure
2.2. Sequencing and Transcriptome Analysis
2.3. Gene Function Identify and Network Construction
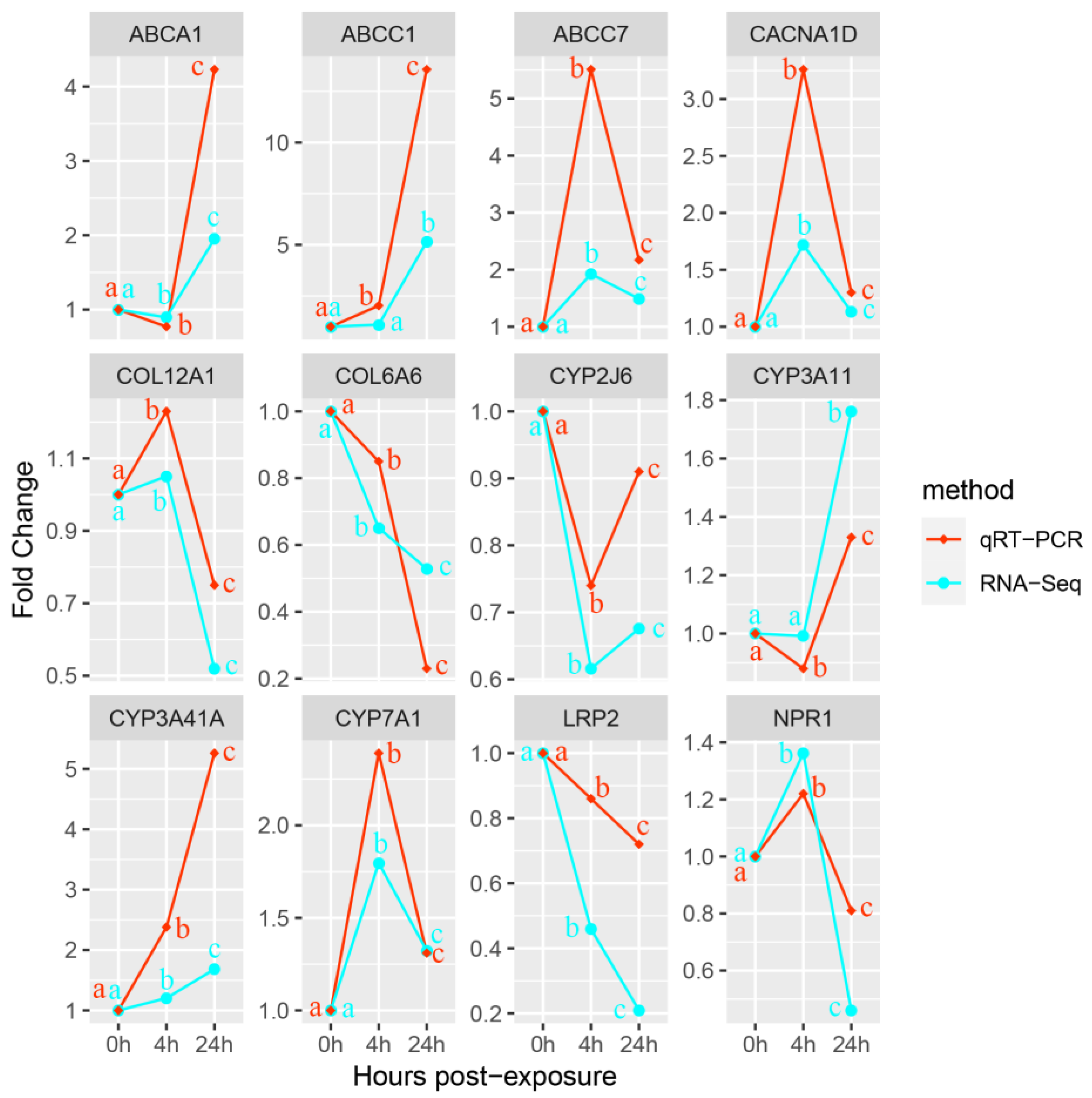
2.4. Quantitative RT-PCR Assay
2.5. Statistical Analysis
3. Results
3.1. Sequencing Quality
3.2. DEGs Expression
3.3. DEGs Functions
3.4. Key and Hub Genes Identify and Verification
4. Discussion
4.1. Metabolic Differences in Mollusk Exposed to Cu
4.2. Gene Functions Based on GO
4.3. KEGG Functional Enrichment Analysis
4.3.1. Purine Metabolism
4.3.2. Protein Digestion and Absorption
4.3.3. Cholesterol Metabolism
4.4. Hub Genes Functional Analysis
4.5. Other Key DEGs and Pathways Analyses
5. Conclusions
Supplementary Materials
Author Contributions
Funding
Institutional Review Board Statement
Informed Consent Statement
Data Availability Statement
Conflicts of Interest
References
- Cui, J.W.; Zhou, Q.; Yu, M.J.; Liu, Y.H.; Teng, X.H.; Gu, X.H. 4-tert-butylphenol triggers common carp hepatocytes ferroptosis via oxidative stress, iron overload, SLC7A11/GSH/GPX4 axis, and ATF4/HSPA5/GPX4 axis. Ecotoxicol. Environ. Saf. 2022, 242, 113944. [Google Scholar] [CrossRef] [PubMed]
- Miao, Z.Y.; Miao, Z.R.; Teng, X.H.; Xu, S.W. Melatonin alleviates lead-induced intestinal epithelial cell pyroptosis in the common carps (Cyprinus carpio) via miR-17-5p/TXNIP axis. Fish Shellfish Immunol. 2022, 131, 127–136. [Google Scholar] [CrossRef] [PubMed]
- Rahman, Z. An overview on heavy metal resistant microorganisms for simultaneous treatment of multiple chemical pollutants at co-contaminated sites, and their multipurpose application. J. Hazard. Mater. 2020, 396, 122682. [Google Scholar] [CrossRef] [PubMed]
- Rahman, Z.; Singh, V.P. The relative impact of toxic heavy metals (THMs) (arsenic (As), cadmium (Cd), chromium (Cr)(VI), mercury (Hg), and lead (Pb)) on the total environment: An overview. Environ. Monit. Assess. 2019, 191, 419. [Google Scholar] [CrossRef]
- Chen, D.C.; Liang, J.T.; Jiang, C.Y.; Wu, D.; Huang, B.; Teng, X.H.; Tang, Y. Mitochondrion Participated in Effect Mechanism of Manganese Poisoning on Heat Shock Protein and Ultrastructure of Testes in Chickens. Biol. Trace Elem. Res. 2022, 201, 1432–1441. [Google Scholar] [CrossRef]
- Jiao, W.Y.; Han, Q.; Xu, Y.M.; Jiang, H.J.; Xing, H.J.; Teng, X.H. Impaired immune function and structural integrity in the gills of common carp (Cyprinus carpio L.) caused by chlorpyrifos exposure: Through oxidative stress and apoptosis. Fish Shellfish Immunol. 2019, 86, 239–245. [Google Scholar] [CrossRef]
- Shah, S.W.A.; Chen, J.Q.; Han, Q.; Xu, Y.M.; Ishfaq, M.; Teng, X.H. Ammonia inhalation impaired immune function and mitochondrial integrity in the broilers bursa of fabricius: Implication of oxidative stress and apoptosis. Ecotoxicol. Environ. Saf. 2020, 190, 110078. [Google Scholar] [CrossRef]
- Wang, S.L.; Xu, X.R.; Sun, Y.X.; Liu, J.L.; Li, H.B. Heavy metal pollution in coastal areas of South China: A review. Mar. Pollut. Bull. 2013, 76, 7–15. [Google Scholar] [CrossRef]
- Wang, R.L.; Ma, G.Z.; Fang, Z.Q. Safety Assessment and Acute Toxicity of Copper, Cadmium and Zinc to White Clound Mountain Minnow Tanichthys albonubes. Fish. Sci. 2006, 25, 117–120. [Google Scholar] [CrossRef]
- Yang, L.H.; Fang, Z.Q.; Zheng, W.B. Safety Assessment and Acute Toxicity of Heavy Metals to Crucian Carassius Auratus. J. South China Norm. Univ. 2003, 2, 101–106. [Google Scholar]
- Flemming, C.A.; Tervors, J.T. Copper toxicity and chemistry in the environment: A review. Water Air Soil Pollut. 1989, 44, 143–158. [Google Scholar] [CrossRef]
- Jin, X.W.; Liu, F.; Wang, Y.Y.; Zhang, L.S.; Li, Z.; Wang, Z.J.; Giesy, J.P.; Wang, Z. Probabilistic ecological risk assessment of copper in Chinese offshore marine environments from 2005 to 2012. Mar. Pollut. Bull. 2015, 94, 96–102. [Google Scholar] [CrossRef] [PubMed]
- Malhotra, N.; Ger, T.; Uapipatanakul, B.; Huang, J.C.; Chen, K.H.; Hsiao, C. Review of Copper and Copper Nanoparticle Toxicity in Fish. Nanomaterials 2020, 10, 1126. [Google Scholar] [CrossRef] [PubMed]
- Grubman, A.; White, A.R. Copper as a key regulator of cell signalling pathways. Expert Rev. Mol. Med. 2014, 16, e11. [Google Scholar] [CrossRef]
- Patel, P.P.; Bielmyer-Fraser, G.K. The influence of salinity and copper exposure on copper accumulation and physiological impairment in the sea anemone, Exaiptasia pallida. Comp. Biochem. Physiol. Part C 2015, 168, 39–47. [Google Scholar] [CrossRef]
- Umasuthan, N.; Bathige, S.D.; Revathy, K.S.; Lee, Y.; Whang, I.; Choi, C.Y.; Park, H.C.; Lee, J. A manganese superoxide dismutase (MnSOD) from Ruditapes philippinarum: Comparative structural- and expressional-analysis with copper/zinc superoxide dismutase (Cu/ZnSOD) and biochemical analysis of its antioxidant activities. Fish Shellfish Immunol. 2012, 33, 753–765. [Google Scholar] [CrossRef]
- Lu, X.; Wang, C.; Liu, B.Z. The role of Cu/Zn-SOD and Mn-SOD in the immune response to oxidative stress and pathogen challenge in the clam Meretrix meretrix. Fish Shellfish Immunol. 2015, 42, 58–65. [Google Scholar] [CrossRef]
- Cao, R.W.; Zhang, T.Y.; Li, X.; Zhao, Y.T.; Wang, Q.; Yan, D.L.; Qu, Y.; Liu, H.; Dong, Z.J.; Zhao, J.M. Seawater acidification increases copper toxicity: A multi-biomarker approach with a key marine invertebrate, the Pacific Oyster Crassostrea gigas. Aquat. Toxicol. 2019, 210, 167–178. [Google Scholar] [CrossRef]
- Cardwell, R.D.; Deforest, D.K.; Brix, K.V.; Adams, W.J. Do Cd, Cu, Ni, Pb, and Zn Biomagnify in Aquatic Ecosystems? Rev. Environ. Contam. Toxicol. 2013, 226, 101–122. [Google Scholar] [CrossRef]
- Roda, J.F.B.; Lauer, M.M.; Risso, W.E.; Martinez, C.B.D.R. Microplastics and copper effects on the neotropical teleost Prochilodus lineatus: Is there any interaction? Comp. Biochem. Physiol. Part A 2020, 242, 110659. [Google Scholar] [CrossRef]
- Zeng, L.; Ai, C.X.; Zheng, J.L.; Zhang, J.S.; Li, W.C. Cu pre-exposure alters antioxidant defense and energy metabolism in large yellow croaker Larimichthys crocea in response to severe hypoxia. Sci. Total Environ. 2019, 687, 702–711. [Google Scholar] [CrossRef] [PubMed]
- Chan, C.Y.; Wang, W.X. A lipidomic approach to understand copper resilience in oyster Crassostrea hongkongensis. Aquat. Toxicol. 2018, 204, 160–170. [Google Scholar] [CrossRef]
- Li, B.; Liu, C.L.; Chen, S.Q.; Zhao, F.Z.; Ge, J.L.; Tian, J. Transcriptome analysis of gene expression patterns during embryonic development in golden cuttlefish (Sepia esculenta). Genes Genom. 2017, 40, 253–263. [Google Scholar] [CrossRef]
- Liu, C.L.; Zhao, F.Z.; Yan, J.P.; Liu, C.S.; Liu, S.W.; Chen, S.Q. Transcriptome Sequencing and De Novo Assembly of Golden Cuttlefish Sepia esculenta Hoyle. Int. J. Mol. Sci. 2016, 17, 1479. [Google Scholar] [CrossRef] [PubMed]
- Fisher, W.S.; DiNuzzo, A.R. Agglutination of bacteria and erythrocytes by serum from six species of marine molluscs. J. Invertebr. Pathol. 1991, 57, 380–394. [Google Scholar] [CrossRef]
- Britto, R.S.; Nascimento, J.P.; Serode, T.; Santos, A.P.; Soares, A.M.V.M.; Figueira, E.; Furtado, C.; Lima-Ventura, J.; Monserrat, J.M.; Freitas, R. The effects of co-exposure of graphene oxide and copper under different pH conditions in Manila clam Ruditapes philippinarum. Environ. Sci. Pollut. Res. 2020, 27, 30945–30956. [Google Scholar] [CrossRef]
- Zhou, L.; Li, M.N.; Zhong, Z.S.; Chen, H.; Wang, X.C.; Wang, M.X.; Xu, Z.; Cao, L.; Lian, C.; Zhang, H.; et al. Biochemical and metabolic responses of the deep-sea mussel Bathymodiolus platifrons to cadmium and copper exposure. Aquat. Toxicol. 2021, 236, 105845. [Google Scholar] [CrossRef]
- Bao, X.K.; Li, Y.; Zhang, J.B.; Chen, X.P.; Xu, X.H.; Feng, Y.W.; Sun, G.H.; Liu, X.M.; Li, B.; Wang, W.J.; et al. Transcriptome Profiling Based on Different Time Points After Hatching Provides a Core Set of Gene Resource for Understanding Larval Immune Response Mechanisms Against Vibrio anguillarum Infection in Amphioctopus fangsiao. Front. Mar. Sci. 2021, 8, 731517. [Google Scholar] [CrossRef]
- Li, Z.; Bao, X.K.; Liu, X.T.; Li, Y.; Cui, M.X.; Liu, X.M.; Li, B.; Feng, Y.W.; Xu, X.H.; Sun, G.H.; et al. Transcriptome profiling based on protein-protein interaction networks provides a set of core genes for understanding the immune response mechanisms of the egg-protecting behavior in Octopus ocellatus. Fish Shellfish Immunol. 2021, 117, 113–123. [Google Scholar] [CrossRef]
- Sun, Q.; Liu, Y.H.; Teng, X.J.; Luan, P.; Teng, X.H.; Yin, X.J. Immunosuppression participated in complement activation-mediated inflammatory injury caused by 4-octylphenol via TLR7/IκBα/NF-κB pathway in common carp (Cyprinus carpio) gills. Aquat. Toxicol. 2022, 249, 106211. [Google Scholar] [CrossRef]
- Ni, X.M.; Wan, L.; Liang, P.P.; Zheng, R.P.; Lin, Z.Y.; Chen, R.C.; Pei, M.K.; Shen, Y.J. The acute toxic effects of hexavalent chromium on the liver of marine medaka (Oryzias melastigma). Comp. Biochem. Physiol. Part C 2020, 231, 108734. [Google Scholar] [CrossRef] [PubMed]
- Zhou, Z.; Yu, X.P.; Tang, J.; Wu, Y.B.; Wang, L.G.; Huang, B. Systemic response of the stony coral Pocillopora damicornis against acute cadmium stress. Aquat. Toxicol. 2018, 194, 132–139. [Google Scholar] [CrossRef] [PubMed]
- Zhao, D.; Zhang, X.N.; Li, X.F.; Ru, S.G.; Wang, Y.W.; Yin, J.B.; Liu, D.S. Oxidative damage induced by copper in testis of the red swamp crayfish Procambarus clarkii and its underlying mechanisms. Aquat. Toxicol. 2018, 207, 120–131. [Google Scholar] [CrossRef] [PubMed]
- Bao, X.K.; Li, Y.; Liu, X.M.; Feng, Y.W.; Xu, X.H.; Sun, G.H.; Wang, W.J.; Li, B.; Li, Z.; Yang, J.M. Effect of acute Cu exposure on immune response mechanisms of golden cuttlefish (Sepia esculenta). Fish Shellfish Immunol. 2022, 130, 252–260. [Google Scholar] [CrossRef] [PubMed]
- Bao, X.K.; Wang, W.J.; Chen, X.P.; Feng, Y.W.; Xu, X.H.; Sun, G.H.; Li, B.; Liu, X.M.; Li, Z.; Yang, J.M. Exploration of immune response mechanisms in cadmium and copper co-exposed juvenile golden cuttlefish (Sepia esculenta) based on transcriptome profiling. Front. Immunol. 2022, 13, 963931. [Google Scholar] [CrossRef]
- Love, M.I.; Huber, W.; Anders, S. Moderated estimation of fold change and dispersion for RNA-seq data with DESeq2. Genome Biol. 2014, 15, 550. [Google Scholar] [CrossRef]
- Jiao, X.L.; Sherman, B.T.; Huang, D.W.; Stephens, R.; Baseler, M.W.; Lane, H.C.; Lempicki, R.A. DAVID-WS: A stateful web service to facilitate gene/protein list analysis. Bioinformatics 2012, 28, 1805–1806. [Google Scholar] [CrossRef]
- Szklarczyk, D.; Gable, A.L.; Lyon, D.; Junge, A.; Wyder, S.; Huerta-Cepas, J.; Simonovic, M.; Doncheva, N.T.; Morris, J.H.; Bork, P.; et al. STRING v11: Protein-protein association networks with increased coverage, supporting functional discovery in genome-wide experimental datasets. Nucleic Acids Res. 2019, 47, 607–613. [Google Scholar] [CrossRef]
- Liu, X.M.; Li, Z.; Wu, W.Z.; Liu, Y.X.; Liu, J.X.; He, Y.; Wang, X.B.; Wang, Z.G.; Qi, J.; Yu, H.Y.; et al. Sequencing-based network analysis provides a core set of gene resource for understanding kidney immune response against Edwardsiella tarda infection in Japanese flounder. Fish Shellfish Immunol. 2017, 67, 643–654. [Google Scholar] [CrossRef]
- Zhou, Q.; Cui, J.W.; Liu, Y.H.; Gu, L.P.; Teng, X.H.; Tang, Y. EGCG alleviated Mn exposure-caused carp kidney damage via trpm2-NLRP3-TNF-α-JNK pathway: Oxidative stress, inflammation, and tight junction dysfunction. Fish Shellfish Immunol. 2023, 134, 108582. [Google Scholar] [CrossRef]
- Alamo, I.L.; Pillet, M.; Boeck, G.D.; Troch, M.D. Peruvian scallop Argopecten purpuratus: From a key aquaculture species to a promising bioindicator species. Chemosphere 2019, 239, 124767. [Google Scholar] [CrossRef]
- Camacho, A.; Montiel, T.; Massieu, L. Sustained metabolic inhibition induces an increase in the content and phosphorylation of the NR2B subunit of N-methyl-D-aspartate receptors and a decrease in glutamate transport in the rat hippocampus in vivo. Neuroscience 2007, 145, 873–886. [Google Scholar] [CrossRef] [PubMed]
- Halestrap, A.P. The monocarboxylate transporter family--Structure and functional characterization. IUBMB Life 2012, 64, 1–9. [Google Scholar] [CrossRef] [PubMed]
- Cui, X.; Qian, D.W.; Jiang, S.; Shang, E.X.; Zhu, Z.H.; Duan, J.A. Scutellariae Radix and Coptidis Rhizoma Improve Glucose and Lipid Metabolism in T2DM Rats via Regulation of the Metabolic Profiling and MAPK/PI3K/Akt Signaling Pathway. Int. J. Mol. Sci. 2018, 19, 3634. [Google Scholar] [CrossRef]
- Peti-Peterdi, J. Metabolic control of renin secretion. Pflug. Arch. 2013, 465, 53–58. [Google Scholar] [CrossRef]
- Yin, J.; Ren, W.K.; Huang, X.G.; Deng, J.P.; Li, T.J.; Yin, Y.L. Potential Mechanisms Connecting Purine Metabolism and Cancer Therapy. Front. Immunol. 2018, 9, 1697. [Google Scholar] [CrossRef]
- Chan, C.Y.; Zhao, H.; Pugh, R.J.; Pedley, A.M.; French, J.; Jones, S.A.; Zhuang, X.W.; Jinnah, H.; Huang, T.J.; Benkovic, S.J. Purinosome formation as a function of the cell cycle. Proc. Natl. Acad. Sci. USA 2015, 112, 1368–1373. [Google Scholar] [CrossRef]
- Maiuolo, J.; Oppedisano, F.; Gratteri, S.; Muscol, C.; Mollace, V. Regulation of uric acid metabolism and excretion. Int. J. Cardiol. 2015, 213, 8–14. [Google Scholar] [CrossRef]
- Hadizadeh, M.; Keyhani, E.; Keyhani, J.; Khodadadi, C. Functional and structural alterations induced by copper in xanthine oxidase. Acta Biochim. Et Biophys. Sin. 2009, 41, 603–617. [Google Scholar] [CrossRef]
- Pizzagalli, M.D.; Bensimon, A.; Superti-Furga, G. A Guide to Plasma Membrane Solute Carrier Proteins. FEBS J. 2021, 288, 2784–2835. [Google Scholar] [CrossRef]
- Dai, X.Y.; Zhang, W.; Zhuo, Z.J.; He, J.Y.; Yin, Z. Neuroendocrine regulation of somatic growth in fishes. Sci. China-Life Sci. 2015, 58, 137–147. [Google Scholar] [CrossRef]
- Westerterp-Plantenga, M.S.; Nieuwenhuizen, A.; Tomé, D.; Soenen, S.; Westerterp, K.R. Dietary protein, weight loss, and weight maintenance. Curr. Opin. Clin. Nutr. Metab. Care 2014, 17, 75–79. [Google Scholar] [CrossRef] [PubMed]
- Mariotti, F.; Huneau, J.F.; Mahé, S.; Tomé, D. Protein metabolism and the gut. Curr. Opin. Clin. Nutr. Metab. Care 2000, 3, 45–50. [Google Scholar] [CrossRef] [PubMed]
- Wang, J.; Ji, H. Influence of Probiotics on Dietary Protein Digestion and Utilization in the Gastrointestinal Tract. Curr. Protein Pept. Sci. 2019, 20, 125–131. [Google Scholar] [CrossRef] [PubMed]
- Ricard-Blum, S. The Collagen Family. Cold Spring Harb. Perspect. Biol. 2011, 3, a004978. [Google Scholar] [CrossRef] [PubMed]
- Wang, Y.Q.; Yutuc, E.; Griffiths, W.J. Cholesterol Metabolism Pathways—Are the Intermediates more Important than the Products? FEBS J. 2021, 288, 3727–3745. [Google Scholar] [CrossRef]
- Wang, C.; Ralko, A.; Ren, Z.; Rosenhouse-Dantsker, A.; Yang, X.J. Modes of Cholesterol Binding in Membrane Proteins: A Joint Analysis of 73 Crystal Structures. Adv. Exp. Med. Biol. 2019, 1135, 67–86. [Google Scholar] [CrossRef]
- Luo, J.; Yang, H.Y.; Song, B.L. Mechanisms and regulation of cholesterol homeostasis. Nat. Rev. Mol. Cell Biol. 2020, 21, 225–245. [Google Scholar] [CrossRef]
- Paalvast, Y.; Kuibenhoven, J.A.; Groen, A.K. Evaluating computational models of cholesterol metabolism. Biochim. Et Biophys. Acta 2015, 1851, 1360–1376. [Google Scholar] [CrossRef]
- Xian, X.D.; Ding, Y.Y.; Dieckmann, M.; Zhou, L.; Plattner, F.; Liu, M.X.; Parks, J.S.; Hammer, R.E.; Boucher, P.; Tsai, S.; et al. LRP1 integrates murine macrophage cholesterol homeostasis and inflammatory responses in atherosclerosis. eLife 2017, 6, e29292. [Google Scholar] [CrossRef]
- Engle, T.E.; Spears, J.W.; Armstrong, T.A.; Wright, C.L.; Odle, J. Effects of dietary copper source and concentration on carcass characteristics and lipid and cholesterol metabolism in growing and finishing steers. J. Anim. Sci. 2000, 78, 1053–1059. [Google Scholar] [CrossRef] [PubMed]
- Gerth, K.; Kodidela, S.; Mahon, M.; Haque, S.; Verma, N.; Kumar, S. Circulating Extracellular Vesicles Containing Xenobiotic Metabolizing CYP Enzymes and Their Potential Roles in Extrahepatic Cells Via Cell-Cell Interactions. Int. J. Mol. Sci. 2019, 20, 6178. [Google Scholar] [CrossRef] [PubMed]
- Lynch, T.; Price, A. The effect of cytochrome P450 metabolism on drug response, interactions, and adverse effects. Am. Fam. Physician 2007, 76, 391–396. [Google Scholar] [CrossRef] [PubMed]
- Manikandan, P.; Nagini, S. Cytochrome P450 Structure, Function and Clinical Significance: A Review. Curr. Drug Targets 2018, 19, 38–54. [Google Scholar] [CrossRef]
- Chambers, K.F.; Day, P.E.; Aboufarrag, H.T.; Kroon, P.A. Polyphenol Effects on Cholesterol Metabolism via Bile Acid Biosynthesis, CYP7A1: A Review. Nutrients 2019, 11, 2588. [Google Scholar] [CrossRef]
- Wahlström, A.; Al-Dury, S.; StåHlman, M.; Bäckhed, F.; Marschall, H.U. Cyp3a11 is not essential for the formation of murine bile acids. Biochem. Biophys. Rep. 2017, 10, 70–75. [Google Scholar] [CrossRef]
- Chen, L.; Zhao, Z.W.; Zeng, P.H.; Zhou, Y.J.; Yin, W.J. Molecular mechanisms for ABCA1-mediated cholesterol efflux. Cell Cycle 2022, 22, 1121–1139. [Google Scholar] [CrossRef]
- Phillips, M.C. Is ABCA1 a Lipid Transfer Protein? J. Lipid Res. 2018, 59, 749–763. [Google Scholar] [CrossRef]
- Li, L.; Li, R.; Zacharek, A.; Wang, F.J.; Landschoot-Ward, J.; Chopp, M.; Chen, J.L.; Cui, X. ABCA1/ApoE/HDL Signaling Pathway Facilitates Myelination and Oligodendrogenesis after Stroke. Int. J. Mol. Sci. 2020, 21, 4369. [Google Scholar] [CrossRef]
- Kang, I.; Lee, B.C.; Lee, J.Y.; Kim, J.J.; Sung, E.A.; Lee, S.E.; Shin, N.; Choi, S.W.; Seo, Y.; Kim, H.S.; et al. Stem cell-secreted 14,15- epoxyeicosatrienoic acid rescues cholesterol homeostasis and autophagic flux in Niemann–Pick-type C disease. Exp. Mol. Med. 2018, 50, 149. [Google Scholar] [CrossRef]
- Sakuma, T.; Kitajima, K.; Nishiyama, M.; Endo, Y.; Miyauchi, K.; Jarukamjorn, K.; Nemoto, N. Collaborated regulation of female-specific murine Cyp3a41 gene expression by growth and glucocorticoid hormones. Biochem. Biophys. Res. Commun. 2004, 314, 495–500. [Google Scholar] [CrossRef] [PubMed]
- Behl, T.; Kaur, I.; Sehgal, A.; Kumar, A.; Uddin, M.S.; Bungau, S. The Interplay of ABC Transporters in Aβ Translocation and Cholesterol Metabolism: Implicating Their Roles in Alzheimer’s Disease. Mol. Neurobiol. 2021, 58, 1564–1582. [Google Scholar] [CrossRef] [PubMed]
- Liu, X.D. ABC Family Transporters. Adv. Exp. Med. Biol. 2019, 1141, 13–100. [Google Scholar] [CrossRef] [PubMed]







| Pathways | Number of DEGs |
|---|---|
| ABC transporters | 3 |
| Aldosterone synthesis and secretion | 3 |
| Apoptosis | 4 |
| Carbohydrate digestion and absorption | 2 |
| cGMP-PKG signaling pathway | 4 |
| Cholesterol metabolism | 4 |
| Cortisol synthesis and secretion | 2 |
| ECM–receptor interaction | 3 |
| GABAergic synapse | 2 |
| Insulin secretion | 3 |
| Linoleic acid metabolism | 3 |
| Metabolic pathways | 7 |
| PI3K-Akt signaling pathway | 4 |
| Protein digestion and absorption | 6 |
| Purine metabolism | 3 |
| Renin secretion | 3 |
| Retinol metabolism | 6 |
| Steroid hormone biosynthesis | 6 |
| Thyroid hormone synthesis | 2 |
| Vascular smooth muscle contraction | 3 |
| Gene Name (Abbreviation) | Gene Name (Official Full Name) | Number of Protein–Protein Interactions | Number of KEGG Signaling Pathways |
|---|---|---|---|
| CYP7A1 | cytochrome P450, family 7, subfamily a, polypeptide 1 | 12 | 2 |
| CYP3A11 | cytochrome P450, family 3, subfamily a, polypeptide 11 | 11 | 3 |
| ABCA1 | ATP binding cassette subfamily A member 1 | 10 | 2 |
| ABCC7 | ATP binding cassette subfamily C member 7 | 10 | 1 |
| CACNA1D | calcium voltage-gated channel subunit alpha1 D | 9 | 7 |
| CYP3A41A | cytochrome P450, family 3, subfamily a, polypeptide 41A | 9 | 3 |
| ABCC1 | ATP binding cassette subfamily C member 1 | 9 | 1 |
| LRP2 | low density lipoprotein receptor-related protein 2 | 7 | 2 |
| NPR1 | natriuretic peptide receptor 1 | 4 | 5 |
| COL12A1 | collagen, type XII, alpha 1 | 4 | 2 |
| COL6A6 | collagen, type VI, alpha 6 | 4 | 2 |
| CYP2J6 | cytochrome P450, family 2, subfamily j, polypeptide 6 | 4 | 1 |
Disclaimer/Publisher’s Note: The statements, opinions and data contained in all publications are solely those of the individual author(s) and contributor(s) and not of MDPI and/or the editor(s). MDPI and/or the editor(s) disclaim responsibility for any injury to people or property resulting from any ideas, methods, instructions or products referred to in the content. |
© 2023 by the authors. Licensee MDPI, Basel, Switzerland. This article is an open access article distributed under the terms and conditions of the Creative Commons Attribution (CC BY) license (https://creativecommons.org/licenses/by/4.0/).
Share and Cite
Li, Z.; Jiang, L.; Xu, T.; Bao, X.; Wang, W.; Feng, Y.; Yang, J.; Ma, J. Preliminary Exploration of Metabolic Mechanisms in Copper-Exposed Sepia esculenta Based on Transcriptome Analysis. Metabolites 2023, 13, 471. https://doi.org/10.3390/metabo13040471
Li Z, Jiang L, Xu T, Bao X, Wang W, Feng Y, Yang J, Ma J. Preliminary Exploration of Metabolic Mechanisms in Copper-Exposed Sepia esculenta Based on Transcriptome Analysis. Metabolites. 2023; 13(4):471. https://doi.org/10.3390/metabo13040471
Chicago/Turabian StyleLi, Zan, Lisheng Jiang, Tao Xu, Xiaokai Bao, Weijun Wang, Yanwei Feng, Jianmin Yang, and Jingjun Ma. 2023. "Preliminary Exploration of Metabolic Mechanisms in Copper-Exposed Sepia esculenta Based on Transcriptome Analysis" Metabolites 13, no. 4: 471. https://doi.org/10.3390/metabo13040471
APA StyleLi, Z., Jiang, L., Xu, T., Bao, X., Wang, W., Feng, Y., Yang, J., & Ma, J. (2023). Preliminary Exploration of Metabolic Mechanisms in Copper-Exposed Sepia esculenta Based on Transcriptome Analysis. Metabolites, 13(4), 471. https://doi.org/10.3390/metabo13040471
