Food Service Kitchen Scraps as a Source of Bioactive Phytochemicals: Disposal Survey, Optimized Extraction, Metabolomic Screening and Chemometric Evaluation
Abstract
1. Introduction
2. Materials and Methods
2.1. Data Survey and Fruit and Vegetable by-Products (FVB) Selection
2.2. Phenolic Compound Extraction
2.3. Determination of Antioxidant Capacity
2.4. Metabolomics Analysis of FVB Phenolic Profile by UHPLC-MSE
2.5. Statistical Analysis
3. Results and Discussion
3.1. Survey and Selection of Kitchen Scraps from Food Services
3.2. Extractor Selection by Mixing Planning
3.3. Selection of Ultrasonication Treatment Time
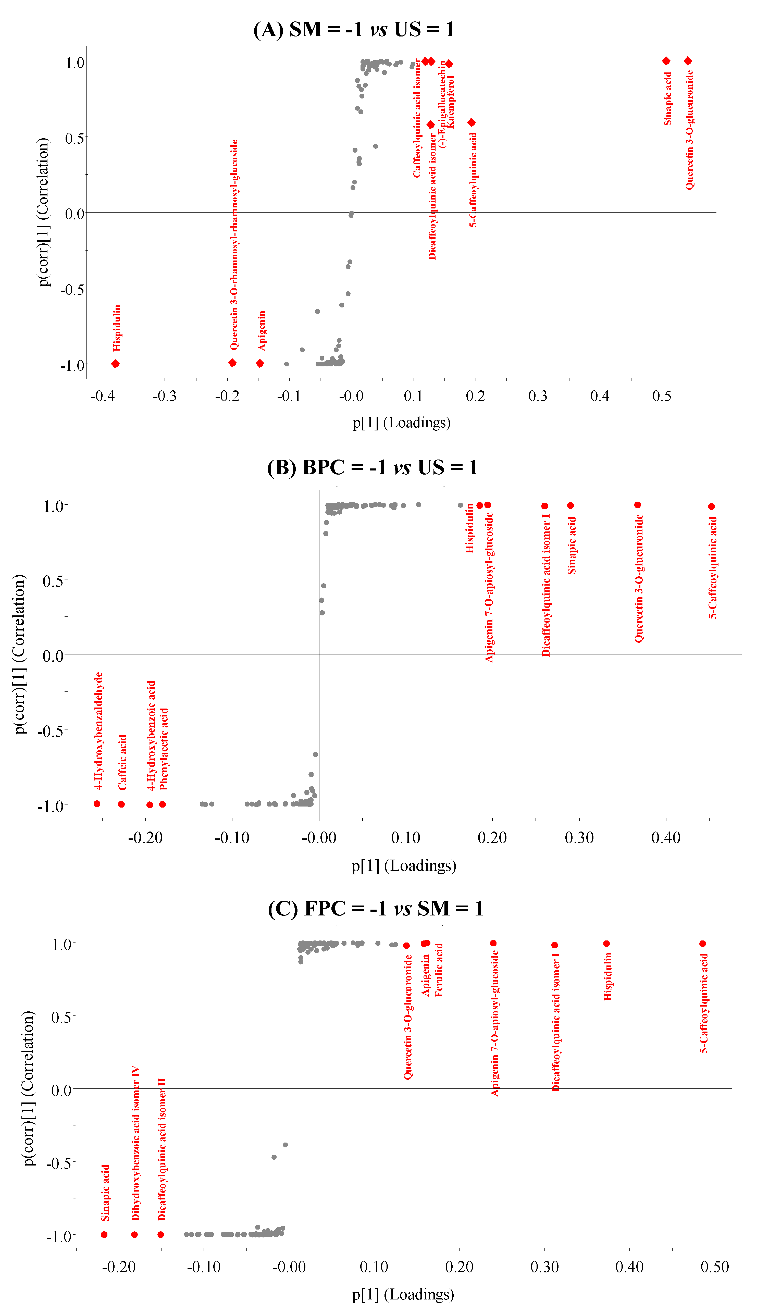
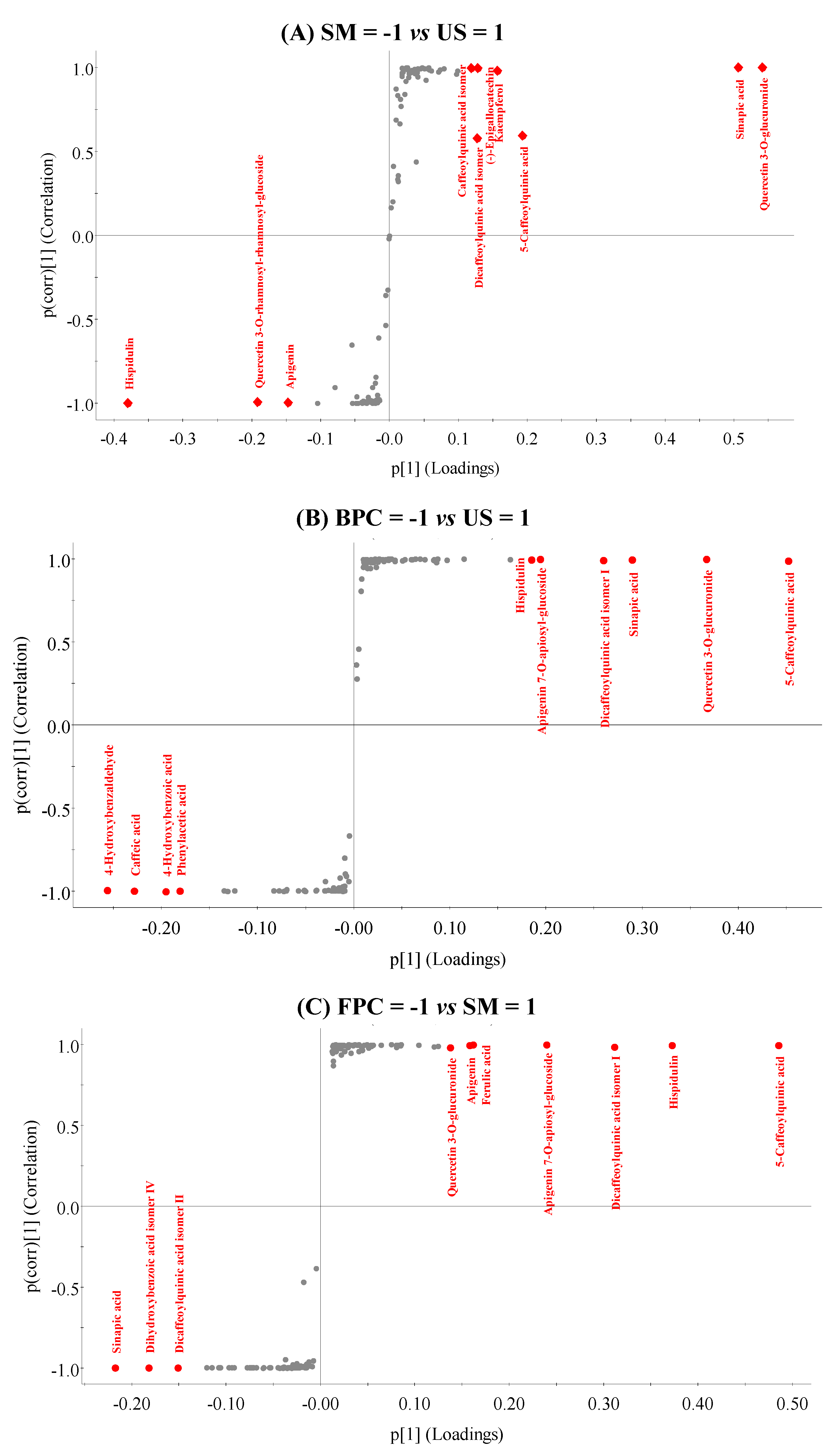
3.4. Phenolic Profile Evaluation in Each Extractor by ULPC-MSE
3.5. Metabolomics Characterization of Each FVB by UHPLC-MSE
4. Conclusions
Supplementary Materials
Author Contributions
Funding
Institutional Review Board Statement
Informed Consent Statement
Data Availability Statement
Conflicts of Interest
References
- WHO. Fruit and Vegetables for Health. Report of the Joint FAO/WHO Workshop on Fruit and Vegetables for Health; World Health Organization: Geneva, Switzerland, 2005. [Google Scholar]
- FAO. Fruit and vegetables—your dietary essentials. In The International Year of Fruits and Vegetables; FAO: Rome, Italy, 2020. [Google Scholar] [CrossRef]
- Alsayed, H.; Ahmed, A.R.; Al-Sayed, H.M.A. Utilization of watermelon rinds and sharlyn melon peels as a natural source of dietary fiber and antioxidants in cake. Ann. Agric. Sci. 2013, 6, 11–18. [Google Scholar] [CrossRef]
- Wu, Z.-G.; Xu, H.-Y.; Ma, Q.; Cao, Y.; Ma, J.-N.; Ma, C.-M. Isolation, identification and quantification of unsaturated fatty acids, amides, phenolic compounds and glycoalkaloids from potato peel. Food Chem. 2012, 135, 2425–2429. [Google Scholar] [CrossRef] [PubMed]
- Kühn, S.; Wollseifen, H.; Galensa, R.; Schulze-Kaysers, N.; Kunz, B. Adsorption of flavonols from onion (Allium cepa L.) processing residues on a macroporous acrylic resin. Food Res. Int. 2014, 65, 103–108. [Google Scholar] [CrossRef]
- Ruiz-Montañez, G.; Ragazzo-Sánchez, J.; Calderón-Santoyo, M.; la Cruz, G.V.-D.; de León, J.R.; Navarro-Ocaña, A. Evaluation of extraction methods for preparative scale obtention of mangiferin and lupeol from mango peels (Mangifera indica L.). Food Chem. 2014, 159, 267–272. [Google Scholar] [CrossRef]
- Darwis, D.; Ehrich Lister, I.N.; Fachrial, E. A comparative study of peel and seed extract of passion fruit (Passiflora edulis) as antihyaluronidase. Am. Sci. Res. J. Eng. Technol. Sci. 2019, 52, 189–196. [Google Scholar]
- Sayago-Ayerdi, S.; García-Martínez, D.L.; Ramírez-Castillo, A.C.; Ramírez-Concepción, H.R.; Viuda-Martos, M. Tropical Fruits and Their Co-Products as Bioactive Compounds and Their Health Effects: A Review. Foods 2021, 10, 1952. [Google Scholar] [CrossRef] [PubMed]
- Harish, K.; Neha, C.; Varsha, N.; Naveen, K.; Raman, S. Phenolic compounds and their health benefits: A review. J. Food Res. Technol. 2017, 2, 46–59. [Google Scholar] [CrossRef]
- Granato, D.; Barba, F.J.; Kovačević, D.B.; Lorenzo, J.M.; Cruz, A.G.; Putnik, P. Functional Foods: Product Development, Technological Trends, Efficacy Testing, and Safety. Annu. Rev. Food Sci. Technol. 2020, 11, 93–118. [Google Scholar] [CrossRef]
- Slavin, J.L.; Lloyd, B. Health Benefits of Fruits and Vegetables. Adv. Nutr. Int. Rev. J. 2012, 3, 506–516. [Google Scholar] [CrossRef]
- Jiménez-Moreno, N.; Esparza, I.; Bimbela, F.; Gandía, L.M.; Ancín-Azpilicueta, C. Valorization of selected fruit and vegetable wastes as bioactive compounds: Opportunities and challenges. Crit. Rev. Environ. Sci. Technol. 2020, 50, 2061–2108. [Google Scholar] [CrossRef]
- Uzombah, T.A. The Implications of Replacing Synthetic Antioxidants with Natural Ones in the Food Systems. In Food Additives; Lage, M.Á.Á.P., Otero, P., Eds.; IntechOpen: London, UK, 2022. [Google Scholar]
- Çam, M.; Hışıl, Y. Pressurised water extraction of polyphenols from pomegranate peels. Food Chem. 2010, 123, 878–885. [Google Scholar] [CrossRef]
- Xi, J.; He, L.; Yan, L.-G. Continuous extraction of phenolic compounds from pomegranate peel using high voltage electrical discharge. Food Chem. 2017, 230, 354–361. [Google Scholar] [CrossRef]
- Boggia, R.; Turrini, F.; Villa, C.; Lacapra, C.; Zunin, P.; Parodi, B. Green extraction from pomegranate marcs for the production of functional foods and cosmetics. Pharmaceuticals 2016, 9, 63–74. [Google Scholar] [CrossRef]
- Zhou, Y.; Zhao, X.; Huang, H. Effects of pulsed electric fields on anthocyanin extraction yield of blueberry processing by-products. J. Food Process. Preserv. 2015, 39, 1898–1904. [Google Scholar] [CrossRef]
- Villamil-Galindo, E.; Van de Velde, F.; Piagentini, A.M. Strawberry agro-industrial by-products as a source of bioactive compounds: Effect of cultivar on the phenolic profile and the antioxidant capacity. Bioresour. Bioprocess. 2021, 8, 61. [Google Scholar] [CrossRef]
- Guinot, P.; Benonge, I.; Nicolett, G.; Gargadennec, A.; Andary, C.; Rapior, S. Combined dyeing and antioxidative properties of some plant by-products. Acta Bot. Gallica 2007, 154, 43–52. [Google Scholar] [CrossRef]
- Masibo, M.; He, Q. Mango Bioactive Compounds and Related Nutraceutical Properties—A Review. Food Rev. Int. 2009, 25, 346–370. [Google Scholar] [CrossRef]
- Ashok-Kumar, K.; Narayani, M.; Subanthini, A.; Jayakumar, M. Antimicrobial activity and phytochemical analysis of citrus fruit peels-utilization of fruit waste. Int. J. Eng. Sci. Technol. 2011, 3, 5414–5421. [Google Scholar]
- Benítez, V.; Mollá, E.; Martín-Cabrejas, M.A.; Aguilera, Y.; López-Andréu, F.J.; Cools, K.; Terry, L.A.; Esteban, R.M. Characterization of Industrial Onion Wastes (Allium cepa L.): Dietary Fibre and Bioactive Compounds. Plant Foods Hum. Nutr. 2011, 66, 48–57. [Google Scholar] [CrossRef]
- Ferreira, M.S.L.; Santos, M.C.P.; Moro, T.M.A.; Basto, G.J.; Andrade, R.M.S.; Gonçalves, C.B.A. Formulation and characterization of functional foods based on fruit and vegetable residue flour. J. Food Sci. Technol. 2015, 52, 822–830. [Google Scholar] [CrossRef]
- Ayala-Zavala, J.; González-Aguilar, G. Use of Additives to Preserve the Quality of Fresh-Cut Fruits and Vegetables. In Advances in Fresh-Cut Fruits and Vegetables Processing; CRC Press: Boca Raton, FL, USA, 2010; pp. 231–254. [Google Scholar] [CrossRef]
- Rodríguez, L.G.R.; Gasga, V.M.Z.; Pescuma, M.; Van Nieuwenhove, C.; Mozzi, F.; Burgos, J.A.S. Fruits and fruit by-products as sources of bioactive compounds. Benefits and trends of lactic acid fermentation in the development of novel fruit-based functional beverages. Food Res. Int. 2021, 140, 109854. [Google Scholar] [CrossRef]
- Brito, T.B.N.; Ferreira, M.S.L.; Fai, A.E.C. Utilization of Agricultural By-products: Bioactive Properties and Technological Applications. Food Rev. Int. 2020, 38, 1305–1329. [Google Scholar] [CrossRef]
- Cabanillas-Bojórquez, L.A.; Gutiérrez-Grijalva, E.P.; Contreras-Angulo, L.A.; Aviles-Gaxiola, S.; Heredia, J.B. Biotechnology for Extraction of Plant Phenolics. In Plant Phenolics in Sustainable Agriculture; Springer: Singapore, 2020; pp. 39–67. [Google Scholar]
- Soquetta, M.B.; Terra, L.D.M.; Bastos, C.P. Green technologies for the extraction of bioactive compounds in fruits and vegetables. CyTA J. Food 2018, 16, 400–412. [Google Scholar] [CrossRef]
- Roselló-Soto, E.; Koubaa, M.; Moubarik, A.; Lopes, R.P.; Saraiva, J.A.; Boussetta, N.; Grimi, N.; Barba, F.J. Emerging opportunities for the effective valorization of wastes and by-products generated during olive oil production process: Non-conventional methods for the recovery of high-added value compounds. Trends Food Sci. Technol. 2015, 45, 296–310. [Google Scholar] [CrossRef]
- Fidelis, M.; De Moura, C.; Junior, T.K.; Pap, N.; Mattila, P.H.; Mäkinen, S.; Putnik, P.; Kovačević, D.B.; Tian, Y.; Yang, B.; et al. Fruit Seeds as Sources of Bioactive Compounds: Sustainable Production of High Value-Added Ingredients from By-Products within Circular Economy. Molecules 2019, 24, 3854. [Google Scholar] [CrossRef] [PubMed]
- Brito, T.; Lima, L.R.; Santos, M.B.; Moreira, R.A.; Cameron, L.; Fai, A.C.; Ferreira, M.S. Antimicrobial, antioxidant, volatile and phenolic profiles of cabbage-stalk and pineapple-crown flour revealed by GC-MS and UPLC-MSE. Food Chem. 2021, 339, 127882. [Google Scholar] [CrossRef] [PubMed]
- Maia, I.D.C.; D’Almeida, C.T.D.S.; Freire, D.M.G.; Cavalcanti, E.D.C.; Cameron, L.C.; Dias, J.F.; Ferreira, M.S.L. Effect of solid-state fermentation over the release of phenolic compounds from brewer’s spent grain revealed by UPLC-MSE. LWT 2020, 133, 110136. [Google Scholar] [CrossRef]
- Santos, M.C.B.; Lima, L.R.D.S.; Nascimento, F.R.; Nascimento, T.P.D.; Cameron, L.C.; Ferreira, M.S.L. Metabolomic approach for characterization of phenolic compounds in different wheat genotypes during grain development. Food Res. Int. 2019, 124, 118–128. [Google Scholar] [CrossRef] [PubMed]
- Sompong, R.; Siebenhandl-Ehn, S.; Linsberger-Martin, G.; Berghofer, E. Physicochemical and antioxidative properties of red and black rice varieties from Thailand, China and Sri Lanka. Food Chem. 2011, 124, 132–140. [Google Scholar] [CrossRef]
- Singleton, V.L.; Orthofer, R.; Lamuela-Raventós, R.M. Analysis of total phenols and other oxidation substrates and antioxidants by means of folin-ciocalteu reagent. In Methods in Enzymology; Academic Press: Cambridge, MA, USA, 1999; Volume 299, pp. 152–178. [Google Scholar]
- Sumner, L.W.; Amberg, A.; Barrett, D.; Beale, M.H.; Beger, R.; Daykin, C.A.; Fan, T.W.-M.; Fiehn, O.; Goodacre, R.; Griffin, J.L.; et al. Proposed minimum reporting standards for chemical analysis Chemical Analysis Working Group (CAWG) Metabolomics Standards Initiative (MSI). Metabolomics 2007, 3, 211–221. [Google Scholar] [CrossRef]
- Vieira, E.F.; Pinho, O.; Ferreira, I.M.; Delerue-Matos, C. Chayote (Sechium edule): A review of nutritional composition, bioactivities and potential applications. Food Chem. 2019, 275, 557–568. [Google Scholar] [CrossRef] [PubMed]
- Rodrigues, L.G.G.; Mazzutti, S.; Vitali, L.; Micke, G.A.; Ferreira, S.R.S. Recovery of bioactive phenolic compounds from papaya seeds agroindustrial residue using subcritical water extraction. Biocatal. Agric. Biotechnol. 2019, 22, 101367. [Google Scholar] [CrossRef]
- Karadag, A.; Ozcelik, B.; Saner, S. Review of Methods to Determine Antioxidant Capacities. Food Anal. Methods 2009, 2, 41–60. [Google Scholar] [CrossRef]
- Magalhaes, L.M.; Segundo, M.A.; Reis, S.; Lima, J.L. Methodological aspects about in vitro evaluation of antioxidant properties. Anal. Chim. Acta 2008, 613, 1–19. [Google Scholar] [CrossRef]
- Contreras-Calderón, J.; Calderón-Jaimes, L.; Guerra-Hernández, E.; García-Villanova, B. Antioxidant capacity, phenolic content and vitamin C in pulp, peel and seed from 24 exotic fruits from Colombia. Food Res. Int. 2011, 44, 2047–2053. [Google Scholar] [CrossRef]
- De Andrade Lima, M.M.A.; Charalampopoulos, D.; Chatzifragkou, A. Optimisation and modelling of supercritical CO2 extraction process of carotenoids from carrot peels. J. Supercrit. Fluids 2017, 133, 94–102. [Google Scholar] [CrossRef]
- Pyo, Y.-H.; Lee, T.-C.; Logendra, L.; Rosen, R.T. Antioxidant activity and phenolic compounds of Swiss chard (Beta vulgaris subspecies cycla) extracts. Food Chem. 2004, 85, 19–26. [Google Scholar] [CrossRef]
- Riviello-Flores, M.D.L.L.; Arévalo-Galarza, M.D.L.; Cadena-Iñiguez, J.; Soto-Hernández, R.M.; Ruiz-Posadas, L.D.M.; Gómez-Merino, F.C. Nutraceutic Characteristics of the Extracts and Juice of Chayote (Sechium edule (Jacq.) Sw.) Fruits. Beverages 2018, 4, 37. [Google Scholar] [CrossRef]
- Maran, J.P.; Priya, B. Supercritical fluid extraction of oil from muskmelon (Cucumis melo) seeds. J. Taiwan Inst. Chem. Eng. 2015, 47, 71–78. [Google Scholar] [CrossRef]
- Das, A.B.; Goud, V.V.; Das, C. Extraction of phenolic compounds and anthocyanin from black and purple rice bran (Oryza sativa L.) using ultrasound: A comparative analysis and phytochemical profiling. Ind. Crop. Prod. 2017, 95, 332–341. [Google Scholar] [CrossRef]
- Albu, S.; Joyce, E.; Paniwnyk, L.; Lorimer, J.; Mason, T. Potential for the Use of Ultrasound in the Extraction of Antioxidants from Rosmarinus officinalis for the Food and Pharmaceutical Industry. Ultrason. Sonochem. 2004, 11, 261–265. [Google Scholar] [CrossRef] [PubMed]
- Veeru, P.; Kishor, M.P.; Meenakshi, M. Screening of medicinal plant extracts for antioxidant activity. J. Med. Plants Res. 2009, 3, 608–612. [Google Scholar]
- Fernandez-Orozco, R.; Roca, M.; Gandul-Rojas, B.; Gallardo-Guerrero, L. DPPH-scavenging capacity of chloroplastic pigments and phenolic compounds of olive fruits (cv. Arbequina) during ripening. J. Food Compos. Anal. 2011, 24, 858–864. [Google Scholar] [CrossRef]
- Mokrani, A.; Madani, K. Effect of solvent, time and temperature on the extraction of phenolic compounds and antioxidant capacity of peach (Prunus persica L.) fruit. Sep. Purif. Technol. 2016, 162, 68–76. [Google Scholar] [CrossRef]
- Fitriansyah, S.N.; Aulifa, D.L.; Febriani, Y.; Sapitri, E. Correlation of total phenolic, flavonoid and carotenoid content of Phyllanthus emblica extract from bandung with DPPH scavenging activities. Pharmacogn. J. 2018, 10, 447–452. [Google Scholar] [CrossRef]
- Camarena-Tello, J.C.; Martínez-Flores, H.E.; Garnica-Romo, M.G.; Padilla-Ramírez, J.S.; Saavedra-Molina, A.; Alvarez-Cortes, O.; Bartolomé-Camacho, M.C.; Rodiles-López, J.O. Quantification of Phenolic Compounds and In Vitro Radical Scavenging Abilities with Leaf Extracts from Two Varieties of Psidium guajava L. Antioxidants 2018, 7, 34. [Google Scholar] [CrossRef]
- Ge, X.; Jing, L.; Zhao, K.; Su, C.; Zhang, B.; Zhang, Q.; Han, L.; Yu, X.; Li, W. The phenolic compounds profile, quantitative analysis and antioxidant activity of four naked barley grains with different color. Food Chem. 2021, 335, 127655. [Google Scholar] [CrossRef] [PubMed]
- Loizzo, M.R.; Bonesi, M.; Menichini, F.; Tenuta, M.C.; Leporini, M.; Tundis, R. Antioxidant and Carbohydrate-Hydrolysing Enzymes Potential of Sechium edule (Jacq.) Swartz (Cucurbitaceae) Peel, Leaves and Pulp Fresh and Processed. Plant Foods Hum. Nutr. 2016, 71, 381–387. [Google Scholar] [CrossRef]
- Ovando-Martínez, M.; López-Teros, M.V.; Tortoledo-Ortiz, O.; Astiazarán-García, H.; Ayala-Zavala, J.F.; Villegas-Ochoa, M.A.; González-Aguilar, G.A. Effect of ripening on physico-chemical properties and bioactive compounds in papaya pulp, skin and seeds. Indian J. Nat. Prod. Resour. 2018, 9, 47–59. [Google Scholar]
- Peng, H.; Li, W.; Li, H.; Deng, Z.; Zhang, B. Extractable and non-extractable bound phenolic compositions and their antioxidant properties in seed coat and cotyledon of black soybean (Glycinemax (L.) merr). J. Funct. Foods 2017, 32, 296–312. [Google Scholar] [CrossRef]
- Zhang, B.; Zhang, Y.; Li, H.; Deng, Z.; Tsao, R. A review on insoluble-bound phenolics in plant-based food matrix and their contribution to human health with future perspectives. Trends Food Sci. Technol. 2020, 105, 347–362. [Google Scholar] [CrossRef]
- Do, Q.D.; Angkawijaya, A.E.; Tran-Nguyen, P.L.; Huynh, L.H.; Soetaredjo, F.E.; Ismadji, S.; Ju, Y.-H. Effect of extraction solvent on total phenol content, total flavonoid content, and antioxidant activity of Limnophila aromatica. J. Food Drug Anal. 2014, 22, 296–302. [Google Scholar] [CrossRef] [PubMed]
- Irakli, M.; Chatzopoulou, P.; Ekateriniadou, L. Optimization of ultrasound-assisted extraction of phenolic compounds: Oleuropein, phenolic acids, phenolic alcohols and flavonoids from olive leaves and evaluation of its antioxidant activities. Ind. Crop. Prod. 2018, 124, 382–388. [Google Scholar] [CrossRef]
- Medina-Torres, N.; Ayora-Talavera, T.; Espinosa-Andrews, H.; Sánchez-Contreras, A.; Pacheco, N. Ultrasound Assisted Extraction for the Recovery of Phenolic Compounds from Vegetable Sources. Agronomy 2017, 7, 47. [Google Scholar] [CrossRef]
- Pathak, P.D.; Mandavgane, S.A.; Kulkarni, B.D. Waste to Wealth: A Case Study of Papaya Peel. Waste Biomass Valorization 2019, 10, 1755–1766. [Google Scholar] [CrossRef]
- Kuppusamy, S.; Venkateswarlu, K.; Megharaj, M. Examining the polyphenol content, antioxidant activity and fatty acid composition of twenty-one different wastes of fruits, vegetables, oilseeds and beverages. SN Appl. Sci. 2020, 2, 673. [Google Scholar] [CrossRef]
- Shahidi, F.; Varatharajan, V.; Oh, W.Y.; Peng, H. Phenolic compounds in agri-food by-products, their bioavailability and health effects. J. Food Bioact 2019, 5, 57–119. [Google Scholar] [CrossRef]
- Wongsa, P.; Chaiwarit, J.; Zamaludien, A. In vitro screening of phenolic compounds, potential inhibition against α-amylase and α-glucosidase of culinary herbs in Thailand. Food Chem. 2012, 131, 964–971. [Google Scholar] [CrossRef]
- Mzoughi, Z.; Chahdoura, H.; Chakroun, Y.; Cámara, M.; Fernández-Ruiz, V.; Morales, P.; Mosbah, H.; Flamini, G.; Snoussi, M.; Majdoub, H. Wild edible Swiss chard leaves (Beta vulgaris L. var. cicla): Nutritional, phytochemical composition and biological activities. Food Res. Int. 2019, 119, 612–621. [Google Scholar] [CrossRef]
- Gamba, M.; Raguindin, P.F.; Asllanaj, E.; Merlo, F.; Glisic, M.; Minder, B.; Bussler, W.; Metzger, B.; Kern, H.; Muka, T. Bioactive compounds and nutritional composition of Swiss chard (Beta vulgaris L. var. cicla and flavescens): A systematic review. Crit. Rev. Food Sci. Nutr. 2020, 61, 3465–3480. [Google Scholar] [CrossRef]
- Díaz-De-Cerio, E.; Verardo, V.; Fernández-Gutiérrez, A.; Gómez-Caravaca, A.M. New insight into phenolic composition of chayote (Sechium edule (Jacq.) Sw.). Food Chem. 2019, 295, 514–519. [Google Scholar] [CrossRef] [PubMed]





| Sample | Statistical Model | Sum of Squares | df | F-Value | p-Value | R2 | Critical Value | |
|---|---|---|---|---|---|---|---|---|
| EtOH (%) | H2O (%) | |||||||
| TRC | ||||||||
| Carrot peel | Linear | 15,639.20 | 1 | 0.26 | 0.65 | 0.08 | 46 | 54 |
| Quadratic | 170,265.40 * | 1 | 26.04 * | 0.04 * | 0.93 | |||
| Chard | Linear | 118,045.90 | 1 | 4.37 | 0.13 | 0.59 | 30 | 70 |
| Quadratic | 61,589.00 | 1 | 6.30 | 0.13 | 0.90 | |||
| Chayote peel | Linear | 172,731.10 * | 1 | 16.12 * | 0.03 * | 0.84 * | 0 | 100 |
| Quadratic | 2349.40 | 1 | 0.16 | 0.73 | 0.86 | |||
| Papaya | Linear | 308,433.00 | 1 | 2.19 | 0.24 | 0.42 | 37 | 63 |
| Quadratic | 391,315.20 * | 1 | 25.48 * | 0.04 * | 0.96 * | |||
| Papaya seed | Linear | 4480.59 | 1 | 5.44 | 0.10 | 0.64 | 28 | 72 |
| Quadratic | 2034.99 | 1 | 9.30 | 0.09 | 0.94 | |||
| AC (DPPH) | ||||||||
| Carrot peel | Linear | 47.80 | 1 | 0.00 | 0.98 | 0.00 | 50 | 50 |
| Quadratic | 202,871.40 | 1 | 8.93 | 0.10 | 0.82 | |||
| Chard | Linear | 4228.72 | 1 | 3.62 | 0.15 | 0.55 | 10 | 90 |
| Quadratic | 586.27 | 1 | 0.40 | 0.59 | 0.62 | |||
| Chayote peel | Linear | 4254.19 * | 1 | 13.27 * | 0.04 * | 0.82 * | 0 | 100 |
| Quadratic | 333.33 | 1 | 1.06 | 0.41 | 0.88 | |||
| Papaya | Linear | 37,539.00 | 1 | 0.98 | 0.39 | 0.25 | 39 | 61 |
| Quadratic | 72,929.00 | 1 | 3.52 | 0.20 | 0.73 | |||
| Papaya seed | Linear | 6998.84 | 1 | 1.95 | 0.26 | 0.40 | 30 | 70 |
| Quadratic | 3672.29 | 1 | 1.03 | 0.42 | 0.60 | |||
| Sample | Extract | TRC (mg GAE 100 g−1) | AC (DPPH) (µmol TE g−1) | AC (FRAP) (µmol FeSO4 g−1) | AC (ORAC) (µmol TE g−1) |
|---|---|---|---|---|---|
| Carrot peel | SM | 576.83 ± 26.20 b | 610.62 ± 24.44 b | 172.52 ± 6.13 A | 214.01 ± 92.47 A |
| US | 1332.95 ± 166.82 a | 857.80 ± 51.66 aA | |||
| Chard | SM | 610.41 ± 52.98 b | 134.43 ± 1.78 a | 46.28 ± 5.01 BC | 111.96 ± 47.81 A |
| US | 1461.56 ± 82.43 a | 102.10 ± 8.50 bD | |||
| Chayote peel | SM | 746.46 ± 58.73 a | 85.26 ± 9.97 b | 32.32 ± 2.24 C | 192.22 ± 92.48 A |
| US | 903.55 ± 89.00 a | 150.21 ± 3.84 aD | |||
| Papaya | SM | 1332.92 ± 14.28 b | 338.30 ± 41.15 a | 148.62 ± 9.54 A | 225.18 ± 97.29 A |
| US | 2048.63 ± 157.34 a | 389.88 ± 18.78 aB | |||
| Papaya seed | SM | 510.57 ± 43.71 b | 197.61 ± 11.94 b | 57.46 ± 5.62 B | 183.59 ± 122.57 A |
| US | 945.90 ± 82.81 a | 242.66 ± 5.49 aC |
| Possible Identifications | m/z (exp) | RT (min) | Molecular Formula | Score (%) | FS (%) | Mass Error (ppm) | IS (%) | Class |
|---|---|---|---|---|---|---|---|---|
| Carrot peel | ||||||||
| 5-caffeoylquinic acid | 353.0864 | 3.41 | C16H18O9 | 45.1 | 33.3 | −3.91 | 96.87 | PA |
| Dicaffeoylquinic acid isomer IV | 515.1186 | 6.29 | C25H24O12 | 44.1 | 25.0 | −1.77 | 97.62 | PA |
| Dicaffeoylquinic acid isomer II | 515.1200 | 5.66 | C25H24O12 | 41.1 | 8.2 | 0.90 | 98.21 | PA |
| 3-feruloylquinic acid | 367.1025 | 3.59 | C17H20O9 | 45.4 | 31.2 | −2.69 | 98.92 | PA |
| Dicaffeoylquinic acid isomer III | 515.1199 | 6.03 | C25H24O12 | 50.7 | 56.8 | 0.74 | 97.37 | PA |
| Caffeoylquinic acid isomer II | 353.0870 | 2.68 | C16H18O9 | 42.8 | 21.6 | −2.41 | 95.10 | PA |
| Benzoic acid | 121.0285 | 3.35 | C7H6O2 | 38.0 | 0 | −8.12 | 99.23 | PA |
| 5-tricosylresorcinol | 431.3867 | 3.26 | C29H52O2 | 36.9 | 8.5 | −6.33 | 83.42 | OP |
| Vanillic acid | 167.0342 | 2.03 | C8H8O4 | 53.0 | 72.7 | −4.57 | 97.69 | PA |
| 3,4-dihydroxyphenylacetic acid | 167.0352 | 2.93 | C8H8O4 | 58.6 | 96.1 | 1.13 | 98.08 | PA |
| Chard | ||||||||
| Quercetin 3-O-glucuronide | 477.0632 | 4.66 | C21H18O13 | 41.2 | 25.7 | −8.84 | 90.24 | F |
| Sinapic acid | 223.0598 | 5.56 | C11H12O5 | 46.1 | 40.2 | −6.35 | 97.63 | PA |
| 4-hydroxybenzaldehyde | 121.0290 | 7.55 | C7H6O2 | 57.8 | 94.9 | −3.91 | 98.89 | OP |
| Ferulic acid | 193.0490 | 5.53 | C10H10O4 | 42.0 | 21.7 | −8.59 | 97.67 | PA |
| 4-hydroxybenzoic acid | 137.0238 | 5.92 | C7H6O3 | 50.5 | 58.1 | −4.30 | 99.49 | PA |
| 2,5-dihydroxybenzoic acid | 153.0185 | 3.10 | C7H6O4 | 38.6 | 0 | −5.27 | 99.01 | PA |
| (-)-epigallocatechin | 305.0690 | 3.80 | C15H14O7 | 38.9 | 7.3 | 7.47 | 95.41 | F |
| 3-feruloylquinic acid | 367.1025 | 3.59 | C17H20O9 | 45.4 | 31.2 | −2.69 | 98.92 | PA |
| Myricetin 3-O-glucoside | 479.0828 | 5.93 | C21H20O13 | 42.6 | 16.7 | −0.58 | 97.15 | F |
| Protocatechuic aldehyde | 137.0237 | 2.93 | C7H6O3 | 55.2 | 83.6 | −5.47 | 98.84 | OP |
| Chayote peel | ||||||||
| Hispidulin | 299.0545 | 9.21 | C16H12O6 | 50.1 | 59.2 | −5.43 | 97.33 | F |
| Apigenin 7-O-apiosyl-glucoside | 563.1400 | 4.60 | C26H28O14 | 51.0 | 62.0 | −1.07 | 94.09 | F |
| Caffeic acid | 179.0346 | 7.67 | C9H8O4 | 56.8 | 87.7 | −1.94 | 98.56 | PA |
| Phenylacetic acid | 135.0448 | 3.60 | C8H8O2 | 39.3 | 0 | −2.55 | 99.76 | PA |
| 4-hydroxybenzoic acid | 137.0238 | 5.92 | C7H6O3 | 50.5 | 58.1 | −4.30 | 99.49 | PA |
| Apigenin | 269.0440 | 8.89 | C15H10O5 | 39.5 | 8.2 | −5.82 | 96.13 | F |
| Chrysoeriol 7-O-apiosyl-glucoside | 593.1509 | 4.10 | C27H30O15 | 47.8 | 43.4 | −0.52 | 96.46 | F |
| Protocatechuic aldehyde | 137.0237 | 2.93 | C7H6O3 | 55.2 | 83.6 | −5.47 | 98.84 | OP |
| Neohesperidin | 609.1879 | 0.57 | C28H34O15 | 43.3 | 37.1 | 8.88 | 89.46 | F |
| Dihydroxybenzoic acid isomer IV | 153.0189 | 3.64 | C7H6O4 | 39.1 | 0 | −3.04 | 98.92 | PA |
| Papaya | ||||||||
| Quercetin 3-O-glucuronide | 477.0632 | 4.66 | C21H18O13 | 41.2 | 25.7 | −8.84 | 90.24 | F |
| Sinapic acid | 223.0598 | 5.56 | C11H12O5 | 46.1 | 40.2 | −6.35 | 97.63 | PA |
| Ferulic acid | 193.0490 | 5.53 | C10H10O4 | 42.0 | 21.7 | −8.59 | 97.67 | PA |
| Quercetin 3-O-rhamnosyl-rhamnosyl-glucoside | 755.2042 | 4.55 | C33H40O20 | 48.5 | 54.0 | 0.25 | 88.75 | F |
| (-)-epigallocatechin | 305.0690 | 3.80 | C15H14O7 | 38.9 | 7.3 | 7.47 | 95.41 | F |
| 4-hydroxybenzaldehyde | 121.0290 | 7.55 | C7H6O2 | 57.8 | 94.9 | −3.91 | 98.89 | OP |
| Diosmetin 7-O-rutinoside | 607.1665 | 6.14 | C28H32O15 | 38.3 | 3.6 | −0.50 | 88.71 | F |
| Benzoic acid | 121.0285 | 3.35 | C7H6O2 | 38.0 | 0 | −8.12 | 99.23 | PA |
| 3-feruloylquinic acid | 367.1025 | 3.59 | C17H20O9 | 45.4 | 31.2 | −2.69 | 98.92 | PA |
| Kaempferol | 285.0391 | 6.40 | C15H10O6 | 38.4 | 0 | −4.87 | 97.40 | F |
| Papaya seed | ||||||||
| Kaempferol | 285.0391 | 6.40 | C15H10O6 | 38.4 | 0 | −4.87 | 97.40 | F |
| Phenacetylglycine | 192.0648 | 3.72 | C10H11NO3 | 37.6 | 0 | −9.48 | 98.31 | PA |
| Dihydroxybenzoic acid isomer IV | 153.0189 | 3.64 | C7H6O4 | 39.1 | 0 | −3.04 | 98.92 | PA |
| Gallic acid | 169.0133 | 2.50 | C7H6O5 | 48.4 | 49.2 | −5.32 | 99.03 | PA |
| O-Methylgallic acid isomer II | 183.0281 | 4.20 | C8H8O5 | 37.5 | 0 | −10.00 | 98.50 | PA |
| Benzoic acid | 121.0285 | 3.35 | C7H6O2 | 38.0 | 0 | −8.12 | 99.23 | PA |
| 4-hydroxybenzoic acid | 137.0238 | 5.92 | C7H6O3 | 50.5 | 58.1 | −4.30 | 99.49 | PA |
| Scopoletin | 191.0332 | 3.60 | C10H8O4 | 40.7 | 14.3 | −9.36 | 99.45 | OP |
| 4-hydroxybenzaldehyde | 121.0290 | 7.55 | C7H6O2 | 57.8 | 94.9 | −3.91 | 98.89 | OP |
| Protocatechuic aldehyde | 137.0237 | 2.93 | C7H6O3 | 55.2 | 83.6 | −5.47 | 98.84 | OP |
Disclaimer/Publisher’s Note: The statements, opinions and data contained in all publications are solely those of the individual author(s) and contributor(s) and not of MDPI and/or the editor(s). MDPI and/or the editor(s) disclaim responsibility for any injury to people or property resulting from any ideas, methods, instructions or products referred to in the content. |
© 2023 by the authors. Licensee MDPI, Basel, Switzerland. This article is an open access article distributed under the terms and conditions of the Creative Commons Attribution (CC BY) license (https://creativecommons.org/licenses/by/4.0/).
Share and Cite
de Souza Medina, T.; D’Almeida, C.T.d.S.; Nascimento, T.P.d.; de Abreu, J.P.; de Souza, V.R.; Kalili, D.C.; Teodoro, A.J.; Cameron, L.C.; Koblitz, M.G.; Ferreira, M.S.L. Food Service Kitchen Scraps as a Source of Bioactive Phytochemicals: Disposal Survey, Optimized Extraction, Metabolomic Screening and Chemometric Evaluation. Metabolites 2023, 13, 386. https://doi.org/10.3390/metabo13030386
de Souza Medina T, D’Almeida CTdS, Nascimento TPd, de Abreu JP, de Souza VR, Kalili DC, Teodoro AJ, Cameron LC, Koblitz MG, Ferreira MSL. Food Service Kitchen Scraps as a Source of Bioactive Phytochemicals: Disposal Survey, Optimized Extraction, Metabolomic Screening and Chemometric Evaluation. Metabolites. 2023; 13(3):386. https://doi.org/10.3390/metabo13030386
Chicago/Turabian Stylede Souza Medina, Tatiana, Carolina Thomaz dos Santos D’Almeida, Talita Pimenta do Nascimento, Joel Pimentel de Abreu, Vanessa Rosse de Souza, Diego Calandrini Kalili, Anderson Junger Teodoro, Luiz Claudio Cameron, Maria Gabriela Koblitz, and Mariana Simões Larraz Ferreira. 2023. "Food Service Kitchen Scraps as a Source of Bioactive Phytochemicals: Disposal Survey, Optimized Extraction, Metabolomic Screening and Chemometric Evaluation" Metabolites 13, no. 3: 386. https://doi.org/10.3390/metabo13030386
APA Stylede Souza Medina, T., D’Almeida, C. T. d. S., Nascimento, T. P. d., de Abreu, J. P., de Souza, V. R., Kalili, D. C., Teodoro, A. J., Cameron, L. C., Koblitz, M. G., & Ferreira, M. S. L. (2023). Food Service Kitchen Scraps as a Source of Bioactive Phytochemicals: Disposal Survey, Optimized Extraction, Metabolomic Screening and Chemometric Evaluation. Metabolites, 13(3), 386. https://doi.org/10.3390/metabo13030386

