Capacity of HDL to Efflux Cellular Cholesterol from Lipid-Loaded Macrophages Is Reduced in Patients with Familial Hypercholesterolemia
Abstract
1. Introduction
2. Materials and Methods
2.1. Study Populations
2.2. Isolation and Compositional Characterization of HDL Subfraction
2.3. Cholesterol Efflux Assay
2.4. Statistics
3. Results
3.1. Patients’ Characteristics
3.2. Compositional Characterization of HDL Subfractions
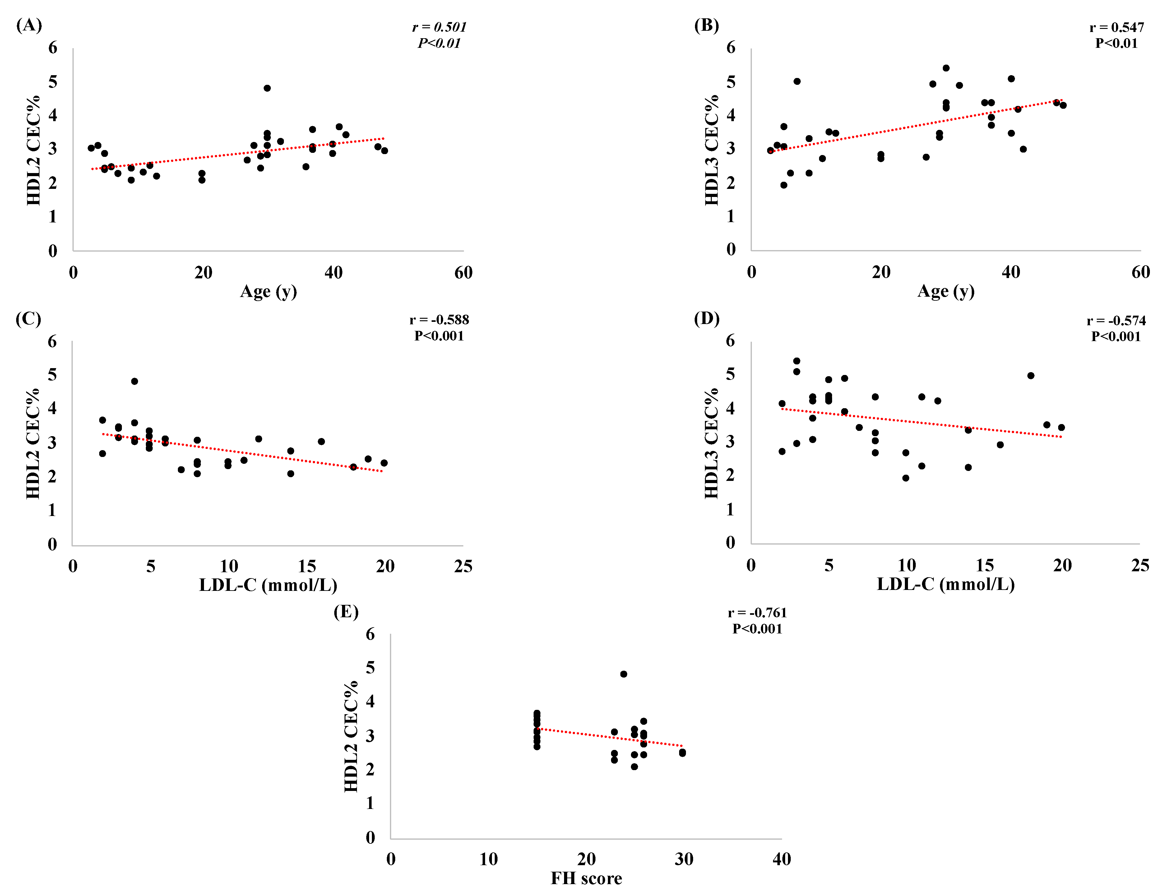
3.3. The Percentage of Cholesterol Efflux Capacity of HDL Subfractions
4. Discussion
Author Contributions
Funding
Institutional Review Board Statement
Informed Consent Statement
Data Availability Statement
Conflicts of Interest
References
- Alonso, R.; Perez de Isla, L.; Muñiz-Grijalvo, O.; Diaz-Diaz, J.L.; Mata, P. Familial Hypercholesterolaemia Diagnosis and Management. Eur. Cardiol. 2018, 13, 14–20. [Google Scholar] [CrossRef] [PubMed]
- Hu, P.; Dharmayat, K.I.; Stevens, C.A.T.; Sharabiani, M.T.A.; Jones, R.S.; Watts, G.F.; Genest, J.; Ray, K.K.; Vallejo-Vaz, A.J. Prevalence of familial hypercholesterolemia among the general population and patients with atherosclerotic cardiovascular disease: A systematic review and meta-analysis. Circulation 2020, 141, 1742–1759. [Google Scholar] [CrossRef] [PubMed]
- EAS Familial Hypercholesterolaemia Studies Collaboration; Vallejo-Vaz, A.J.; De Marco, M.; Stevens, C.A.T.; Akram, A.; Freiberger, T.; Hovingh, G.K.; Kastelein, J.J.P.; Mata, P.; Raal, F.J.; et al. Overview of the current status of familial hypercholesterolaemia care in over 60 countries—The EAS Familial Hypercholesterolaemia Studies Collaboration (FHSC). Atherosclerosis 2018, 277, 234–255. [Google Scholar] [CrossRef] [PubMed]
- Reeskamp, L.; Tromp, T.R.; Defesche, J.C.; Grefhorst, A.; Stroes, E.S.; Hovingh, G.K.; Zuurbier, L. Next-generation sequencing to confirm clinical familial hypercholesterolemia. Eur. J. Prev. Cardiol. 2021, 28, 875–883. [Google Scholar] [CrossRef] [PubMed]
- Abifadel, M.; Boileau, C. Genetic and molecular architecture of familial hypercholesterolemia. J. Intern. Med. 2023, 293, 144–165. [Google Scholar] [CrossRef] [PubMed]
- Beheshti, S.O.; Madsen, C.M.; Varbo, A.; Nordestgaard, B.G. Worldwide prevalence of familial hypercholesterolemia: Meta-analyses of 11 million subjects. J. Am. Coll. Cardiol. 2020, 75, 2553–2566. [Google Scholar] [CrossRef]
- Cuchel, M.; Bruckert, E.; Ginsberg, H.N.; Raal, F.J.; Santos, R.D.; Hegele, R.A.; Kuivenhoven, J.A.; Nordestgaard, B.G.; Descamps, O.S.; Steinhagen-Thiessen, E.; et al. Homozygous familial hypercholesterolaemia: New insights and guidance for clinicians to improve detection and clinical management. A position paper from the Consensus Panel on Familial Hypercholesterolaemia of the European Atherosclerosis Society. Eur. Heart J. 2014, 35, 2146–2157. [Google Scholar] [CrossRef]
- Vallejo-Vaz, A.J.; Ray, K.K. Epidemiology of familial hypercholesterolaemia: Community and clinical. Atherosclerosis 2018, 277, 289–297. [Google Scholar] [CrossRef]
- Marks, D.; Thorogood, M.; Neil, H.A.W.; Humphries, S.E. A review on the diagnosis, natural history, and treatment of familial hypercholesterolaemia. Atherosclerosis 2003, 168, 1–14. [Google Scholar] [CrossRef]
- Turgeon, R.D.; Barry, A.R.; Pearson, G.J. Familial hypercholesterolemia: Review of diagnosis, screening, and treatment. Can. Fam. Physician 2016, 62, 32–37. [Google Scholar] [PubMed]
- Ganjali, S.; Momtazi, A.A.; Banach, M.; Kovanen, P.T.; Stein, E.A.; Sahebkar, A. HDL abnormalities in familial hypercholesterolemia: Focus on biological functions. Prog. Lipid Res. 2017, 67, 16–26. [Google Scholar] [CrossRef] [PubMed]
- Rohatgi, A.; Khera, A.; Berry, J.D.; Givens, E.G.; Ayers, C.R.; Wedin, K.E.; Neeland, I.J.; Yuhanna, I.S.; Rader, D.R.; de Lemos, J.A.; et al. HDL Cholesterol Efflux Capacity and Incident Cardiovascular Events. N. Engl. J. Med. 2014, 371, 2383–2393. [Google Scholar] [CrossRef] [PubMed]
- Ebtehaj, S.; Gruppen, E.G.; Bakker, S.J.; Dullaart, R.P.; Tietge, U.J. HDL (high-density lipoprotein) cholesterol efflux capacity is associated with incident cardiovascular disease in the general population: A case-control study from the PREVEND cohort. Arterioscler. Thromb. Vasc. Biol. 2019, 39, 1874–1883. [Google Scholar] [CrossRef] [PubMed]
- Kontush, A.; Chapman, M.J. Functionally Defective High-Density Lipoprotein: A New Therapeutic Target at the Crossroads of Dyslipidemia, Inflammation, and Atherosclerosis. Pharmacol. Rev. 2006, 58, 342–374. [Google Scholar] [CrossRef] [PubMed]
- Ogura, M.; Hori, M.; Harada-Shiba, M. Association Between Cholesterol Efflux Capacity and Atherosclerotic Cardiovascular Disease in Patients with Familial Hypercholesterolemia. Arter. Thromb. Vasc. Biol. 2016, 36, 181–188. [Google Scholar] [CrossRef] [PubMed]
- Lee, J.J.; Chi, G.; Fitzgerald, C.; Kazmi, S.H.; Korjian, S.; Duffy, D.; Shaunik, A.; Kingwell, B.; Yeh, R.; Bhatt, D.; et al. Association of Cholesterol Efflux Capacity with Adverse Cardiovascular Outcomes: A Meta-Analysis. J. Clin. Lipidol. 2022, 16, e1–e2. [Google Scholar] [CrossRef]
- Escola-Gil, J.; Cedó, L.; Plana, N.; Metso, J.; García-León, A.; Sabaté, S.; Heras, M.; Santos, D.; Rivas-Urbina, A.; Lee-Rueckert, M.; et al. Defective HDL remodeling and macrophage cholesterol efflux in adult and adolescent familial hypercholesterolemic patients. Atherosclerosis 2018, 275, e167–e168. [Google Scholar] [CrossRef]
- Ganjali, S.; Keshavarz, R.; Hosseini, S.; Mansouri, A.; Mannarino, M.R.; Pirro, M.; Jamialahmadi, T.; Sahebkar, A. Evaluation of Oxidative Stress Status in Familial Hypercholesterolemia. J. Clin. Med. 2021, 10, 5867. [Google Scholar] [CrossRef]
- Feng, M.; Darabi, M.; Tubeuf, E.; Canicio, A.; Lhomme, M.; Frisdal, E.; Lanfranchi-Lebreton, S.; Matheron, L.; Rached, F.; Ponnaiah, M.; et al. Free cholesterol transfer to high-density lipoprotein (HDL) upon triglyceride lipolysis underlies the U-shape relationship between HDL-cholesterol and cardiovascular disease. Eur. J. Prev. Cardiol. 2020, 27, 1606–1616. [Google Scholar] [CrossRef]
- McPherson, P.A.C.; Young, I.; McKibben, B.; McEneny, J. High density lipoprotein subfractions: Isolation, composition, and their duplicitous role in oxidation. J. Lipid Res. 2007, 48, 86–95. [Google Scholar] [CrossRef]
- Rosenson, R.S.; Brewer, H.B., Jr.; Chapman, M.J.; Fazio, S.; Hussain, M.M.; Kontush, A.; Krauss, R.M.; Otvos, J.D.; Remaley, A.T.; Schaefer, E.J.; et al. HDL measures, particle heterogeneity, proposed nomenclature, and relation to atherosclerotic cardiovascular events. Clin. Chem. 2011, 57, 392–410. [Google Scholar] [CrossRef] [PubMed]
- Ganjali, S.; Mahdipour, E.; Aghaee-Bakhtiari, S.H.; Ghayour-Mobarhan, M.; Soflaei, S.S.; Banach, M.; Kontush, A.; Sahebkar, A. Compositional and functional properties of high-density lipoproteins in relation to coronary in-stent restenosis. Arch. Med. Sci. 2023, 19. [Google Scholar] [CrossRef]
- Rached, F.; Santos, R.D.; Camont, L.; Miname, M.H.; Lhomme, M.; Dauteuille, C.; Lecocq, S.; Serrano, C.V., Jr.; Chapman, M.J.; Kontush, A. Defective functionality of HDL particles in familial apoA-I deficiency: Relevance of alterations in HDL lipidome and proteome. J. Lipid Res. 2014, 55, 2509–2520. [Google Scholar] [CrossRef] [PubMed]
- Sasidhar, M.V.; Chevooru, S.K.; Eickelberg, O.; Hartung, H.-P.; Neuhaus, O. Downregulation of monocytic differentiation via modulation of CD147 by 3-hydroxy-3-methylglutaryl coenzyme A reductase inhibitors. PLoS ONE 2017, 12, e0189701. [Google Scholar] [CrossRef] [PubMed]
- Bacchetti, T.; Ferretti, G.; Carbone, F.; Ministrini, S.; Montecucco, F.; Jamialahmadi, T.; Sahebkar, A. Dysfunctional High-density Lipoprotein: The Role of Myeloperoxidase and Paraoxonase-1. Curr. Med. Chem. 2021, 28, 2842–2850. [Google Scholar] [CrossRef]
- Rader, D.J.; Hovingh, G.K. HDL and cardiovascular disease. Lancet 2014, 384, 618–625. [Google Scholar] [CrossRef]
- Ganjali, S.; Gotto, A.M., Jr.; Ruscica, M.; Atkin, S.L.; Butler, A.E.; Banach, M.; Sahebkar, A. Monocyte-to-HDL-cholesterol ratio as a prognostic marker in cardiovascular diseases. J. Cell. Physiol. 2018, 233, 9237–9246. [Google Scholar] [CrossRef]
- Ganjali, S.; Blesso, C.N.; Banach, M.; Pirro, M.; Majeed, M.; Sahebkar, A. Effects of curcumin on HDL functionality. Pharmacol. Res. 2017, 119, 208–218. [Google Scholar] [CrossRef] [PubMed]
- Rosenson, R.S.; Brewer, H.B., Jr.; Davidson, W.S.; Fayad, Z.A.; Fuster, V.; Goldstein, J.; Hellerstein, M.; Jiang, X.C.; Phillips, M.C.; Rader, D.J.; et al. Cholesterol efflux and atheroprotection: Advancing the concept of reverse cholesterol transport. Circulation 2012, 125, 1905–1919. [Google Scholar] [CrossRef]
- Mainieri, F.; Tagi, V.M.; Chiarelli, F. Recent Advances on Familial Hypercholesterolemia in Children and Adolescents. Biomedicines 2022, 10, 1043. [Google Scholar] [CrossRef]
- Balstad, T.; Holven, K.; Ottestad, I.; Otterdal, K.; Halvorsen, B.; Myhre, A.; Ose, L.; Nenseter, M. Altered composition of HDL3 in FH subjects causing a HDL subfraction with less atheroprotective function. Clin. Chim. Acta 2005, 359, 171–178. [Google Scholar] [CrossRef] [PubMed]
- Ganjali, S.; Watts, G.F.; Banach, M.; Reiner, Z.; Nachtigal, P.; Sahebkar, A. The Yin and Yang of High-density Lipoprotein and Atherosclerotic Cardiovascular Disease: Focusing on Functionality and Cholesterol Efflux to Reframe the HDL Hypothesis. Curr. Med. Chem. 2021, 28, 6066–6081. [Google Scholar] [CrossRef]
- Luo, D.-X.; Cao, D.-L.; Xiong, Y.; Peng, X.-H.; Liao, D.-F. A novel model of cholesterol efflux from lipid-loaded cells. Acta Pharmacol. Sin. 2010, 31, 1243–1257. [Google Scholar] [CrossRef]
- Nenseter, M.S.; Narverud, I.; Græsdal, A.; Bogsrud, M.P.; Aukrust, P.; Retterstøl, K.; Ose, L.; Halvorsen, B.; Holven, K.B. Cholesterol efflux mediators in homozygous familial hypercholesterolemia patients on low-density lipoprotein apheresis. J. Clin. Lipidol. 2013, 7, 109–116. [Google Scholar] [CrossRef] [PubMed]
- Hussein, H.; Saheb, S.; Couturier, M.; Atassi, M.; Orsoni, A.; Carrié, A.; Therond, P.; Chantepie, S.; Robillard, P.; Bruckert, E.; et al. Small, dense high-density lipoprotein 3 particles exhibit defective antioxidative and anti-inflammatory function in familial hypercholesterolemia: Partial correction by low-density lipoprotein apheresis. J. Clin. Lipidol. 2016, 10, 124–133. [Google Scholar] [CrossRef] [PubMed]
- Ryu, S.K.; Hutten, B.A.; Vissers, M.N.; Wiegman, A.; Kastelein, J.J.; Tsimikas, S. Lipoprotein-associated phospholipase A2 mass and activity in children with heterozygous familial hypercholesterolemia and unaffected siblings: Effect of pravastatin. J. Clin. Lipidol. 2011, 5, 50–56. [Google Scholar] [CrossRef]
- Van Himbergen, T.M.; Roest, M.; de Graaf, J.; Jansen, E.; Hattori, H.; Kastelein, J.J.; Voorbij, H.A.; Stalenhoef, A.F.; van Tits, L.J. Indications that paraoxonase-1 contributes to plasma high density lipoprotein levels in familial hypercholesterolemia. J. Lipid Res. 2005, 46, 445–451. [Google Scholar] [CrossRef]
- Versmissen, J.; Vongpromek, R.; Yahya, R.; Net, J.B.; der Zee, L.V.; Blommesteijn-Touw, J.; Wattimena, D.; Rietveld, T.; Pullinger, C.R.; Christoffersen, C.; et al. Familial hypercholesterolaemia: Cholesterol efflux and coronary disease. Eur. J. Clin. Investig. 2016, 46, 643–650. [Google Scholar] [CrossRef]
- Escolà-Gil, J.C.; Rotllan, N.; Julve, J.; Blanco-Vaca, F. Reverse Cholesterol Transport Dysfunction Is a Feature of Familial Hypercholesterolemia. Curr. Atheroscler. Rep. 2021, 23, 1–8. [Google Scholar] [CrossRef]
- Hogue, J.-C.; Lamarche, B.; Gaudet, D.; Tremblay, A.J.; Després, J.-P.; Bergeron, J.; Gagné, C.; Couture, P. Association of heterozygous familial hypercholesterolemia with smaller HDL particle size. Atherosclerosis 2007, 190, 429–435. [Google Scholar] [CrossRef]
- Chemello, K.; García-Nafría, J.; Gallo, A.; Martín, C.; Lambert, G.; Blom, D. Lipoprotein metabolism in familial hypercholesterolemia. J. Lipid Res. 2021, 62, 100062. [Google Scholar] [CrossRef] [PubMed]
- Martinez, L.R.; Santos, R.D.; Miname, M.H.; Deus, D.F.; Lima, E.S.; Maranhão, R.C. Transfer of lipids to high-density lipoprotein (HDL) is altered in patients with familial hypercholesterolemia. Metabolism 2013, 62, 1061–1064. [Google Scholar] [CrossRef] [PubMed]


| Variables | Familial Hypercholesterolemia (N = 34) | Healthy (N = 20) | p-Value | ||
|---|---|---|---|---|---|
| HEFH (N = 18) | HOFH (N = 16) | ||||
| Sex | Male | 10 (55.6%) | 5 (31.3%) | 10 (50.0%) | 0.361 |
| Female | 8 (44.4%) | 11 (68.8%) | 10 (50.0%) | ||
| Age (y) | 33.61 ± 2.3 a | 14.0 ± 2.7 | 48.5 ± 1.9 a,b | <0.001 | |
| TC (mmol/L) | 6.4 ± 0.5 a | 16.1 ± 1.2 | 4.9 ± 0.2 a | <0.001 | |
| TG (mmol/L) | 1.2 ± 0.1 a | 2.3 ± 0.4 | 1.4 ± 0.1 a | <0.01 | |
| HDL-C (mmol/L) | 1.6 ± 0.3 | 1.6 ± 0.2 | 1.3 ± 0.1 | 0.376 | |
| LDL-C (mmol/L) | 4.3 ± 0.4 a | 11.9 ± 1.1 | 2.9 ± 0.1 a | <0.001 | |
| HDL2 | PL/TP | 0.5 ± 0.0 a | 0.6 ± 0.0 | 0.6 ± 0.0 | <0.05 |
| TC/TP | 0.3 ± 0.0 | 0.4 ± 0.0 b | 0.4 ± 0.0 b | <0.01 | |
| HDL3 | PL/TP | 0.4 ± 0.0 | 0.5 ± 0.0 | 0.4 ± 0.0 | 0.080 |
| TC/TP | 0.3 ± 0.0 | 0.3 ± 0.0 | 0.3 ± 0.0 | 0.734 | |
| HDL2/HDL3 | 2.6 ± 0.1 a | 1.6 ± 0.2 | 2.4 ± 0.2 a | <0.001 | |
| Variables | Familial Hypercholesterolemia (N = 34) | p-Value | ||
|---|---|---|---|---|
| HEFH (N = 18) | HOFH (N = 16) | |||
| FH score | 15.0 ± 0.0 | 25.6 ± 0.5 | <0.001 | |
| Number of patients with xanthoma symptoms | 0.0% | 100.0% | <0.001 | |
| Number of patients with MI history | 0% | 68.8% | <0.001 | |
| Mutation (%) | Previously reported | 84.6% | 84.6% | 1.000 |
| Novel | 15.4% | 15.4% | ||
| Mutation type (%) | Missense | 44.4% | 50.0% | 1.000 |
| Truncated | 27.8% | 25.0% | ||
| Single nucleotide variant | 16.7% | 12.5% | ||
| Single nucleotide polymorphism | 11.1% | 6.3% | ||
| Missense, truncated | 0.0% | 6.3% | ||
| Position of LDLR mutation (%) | Exon | 72.7% | 84.6% | 0.630 |
| Intron | 27.3% | 12.5% | ||
| Drugs consumption (%) | No drug | 66.7% | 6.2% | <0.01 |
| Only statin | 33.3% | 18.8% | ||
| Statin + ezetimibe | 0% | 75.0% | ||
| Variables | Familial Hypercholesterolemia (N = 34) | Healthy (N = 20) | p-Value | |
|---|---|---|---|---|
| HEFH (N = 18) | HOFH (N = 16) | |||
| HDL2 CEC (%) | 3.2 ± 0.1 a | 2.5 ± 0.1 | 3.3 ± 0.2 a | <0.001 |
| HDL3 CEC (%) | 4.1 ± 0.2 a | 3.2 ± 0.2 | 4.5 ± 0.3 a | <0.001 |
| HDL2 CEC/HDL-C | 2.3 ± 0.2 | 1.9 ± 0.3 | 2.6 ± 0.2 | 0.126 |
| HDL3 CEC/HDL-C | 2.9 ± 0.3 | 2.5 ± 0.3 | 3.6 ± 0.3 a | <0.05 |
| Variables | HOFH | HEFH | ||||||
|---|---|---|---|---|---|---|---|---|
| Unadjusted | Adjusted # | Unadjusted | Adjusted # | |||||
| OR (95% CI) | p Value | OR (95% CI) | p Value | OR (95% CI) | p Value | OR (95% CI) | p Value | |
| HDL2 CEC (%) | 0.091 (0.018–0.452) | <0.01 | 0.145 (0.018–1.175) | 0.071 | 0.864 (0.330–2.258) | 0.765 | 1.631 (0.386–6.887) | 0.505 |
| HDL3 CEC (%) | 0.118 (0.035–0.399) | <0.01 | 0.306 (0.062–1.498) | 0.144 | 0.681 (0.345–1.343) | 0.268 | 0.763 (0.295–1.972) | 0.577 |
| HDL2 CEC/HDL-C | 0.439 (0.194–0.991) | <0.05 | 1.149 (0.183–7.209) | 0.882 | 0.721 (0.321–1.623) | 0.430 | 1.187 (0.303–4.652) | 0.805 |
| HDL3 CEC/HDL-C | 0.452 (0.240–0.852) | <0.05 | 0.860 (0.196–3.777) | 0.841 | 0.680 (0.240–1.250) | 0.214 | 0.856 (0.318–2.301) | 0.758 |
| Variables | Unadjusted | Adjusted # | ||
|---|---|---|---|---|
| OR (95% CI) | p Value | OR (95% CI) | p Value | |
| HDL2 CEC (%) | 0.004 (0.000–0.123) | <0.01 | 0.010 (0.000–0.533) | <0.05 |
| HDL3 CEC (%) | 0.181 (0.055–0.595) | <0.01 | 0.385 (0.101–1.471) | 0.163 |
| HDL2 CEC/HDL-C | 0.669 (0.300–1.490) | 0.325 | 1.005 (0.254–3.966) | 0.995 |
| HDL3 CEC/HDL-C | 0.708 (0.383–1.311) | 0.272 | 1.013(0.317–3.241) | 0.982 |
Disclaimer/Publisher’s Note: The statements, opinions and data contained in all publications are solely those of the individual author(s) and contributor(s) and not of MDPI and/or the editor(s). MDPI and/or the editor(s) disclaim responsibility for any injury to people or property resulting from any ideas, methods, instructions or products referred to in the content. |
© 2023 by the authors. Licensee MDPI, Basel, Switzerland. This article is an open access article distributed under the terms and conditions of the Creative Commons Attribution (CC BY) license (https://creativecommons.org/licenses/by/4.0/).
Share and Cite
Ganjali, S.; Hosseini, S.; Rizzo, M.; Kontush, A.; Sahebkar, A. Capacity of HDL to Efflux Cellular Cholesterol from Lipid-Loaded Macrophages Is Reduced in Patients with Familial Hypercholesterolemia. Metabolites 2023, 13, 197. https://doi.org/10.3390/metabo13020197
Ganjali S, Hosseini S, Rizzo M, Kontush A, Sahebkar A. Capacity of HDL to Efflux Cellular Cholesterol from Lipid-Loaded Macrophages Is Reduced in Patients with Familial Hypercholesterolemia. Metabolites. 2023; 13(2):197. https://doi.org/10.3390/metabo13020197
Chicago/Turabian StyleGanjali, Shiva, Susan Hosseini, Manfredi Rizzo, Anatol Kontush, and Amirhossein Sahebkar. 2023. "Capacity of HDL to Efflux Cellular Cholesterol from Lipid-Loaded Macrophages Is Reduced in Patients with Familial Hypercholesterolemia" Metabolites 13, no. 2: 197. https://doi.org/10.3390/metabo13020197
APA StyleGanjali, S., Hosseini, S., Rizzo, M., Kontush, A., & Sahebkar, A. (2023). Capacity of HDL to Efflux Cellular Cholesterol from Lipid-Loaded Macrophages Is Reduced in Patients with Familial Hypercholesterolemia. Metabolites, 13(2), 197. https://doi.org/10.3390/metabo13020197

