Automated Sequential Analysis of Hydrophilic and Lipophilic Fractions of Biological Samples: Increasing Single-Injection Chemical Coverage in Untargeted Metabolomics
Abstract
1. Introduction
2. Results and Discussion
2.1. Instrumental Configuration
2.2. Choice of Heart-Cut Dilution Method
2.3. Conditions Related to Trapping of the Collected Compounds
2.3.1. Selection of Trap Column Stationary Phase
2.3.2. Investigation of Necessary Dilution Factor
2.4. Selection of HILIC Separation Conditions
2.5. Optimization of RPLC Parameters with Backflush of the Trap Column
2.5.1. Flow Rate in the RPLC Separation
2.5.2. Temperature of the RPLC Column
2.5.3. Gradient in the RPLC Separation
2.6. Validation of the Method for Untargeted Metabolomics
2.6.1. Choice of Sample Material
2.6.2. Choice of Standard Compounds
2.6.3. Conditioning of the System
2.6.4. Retention Time and Peak Area Stability throughout All Injections
2.6.5. Carry Over
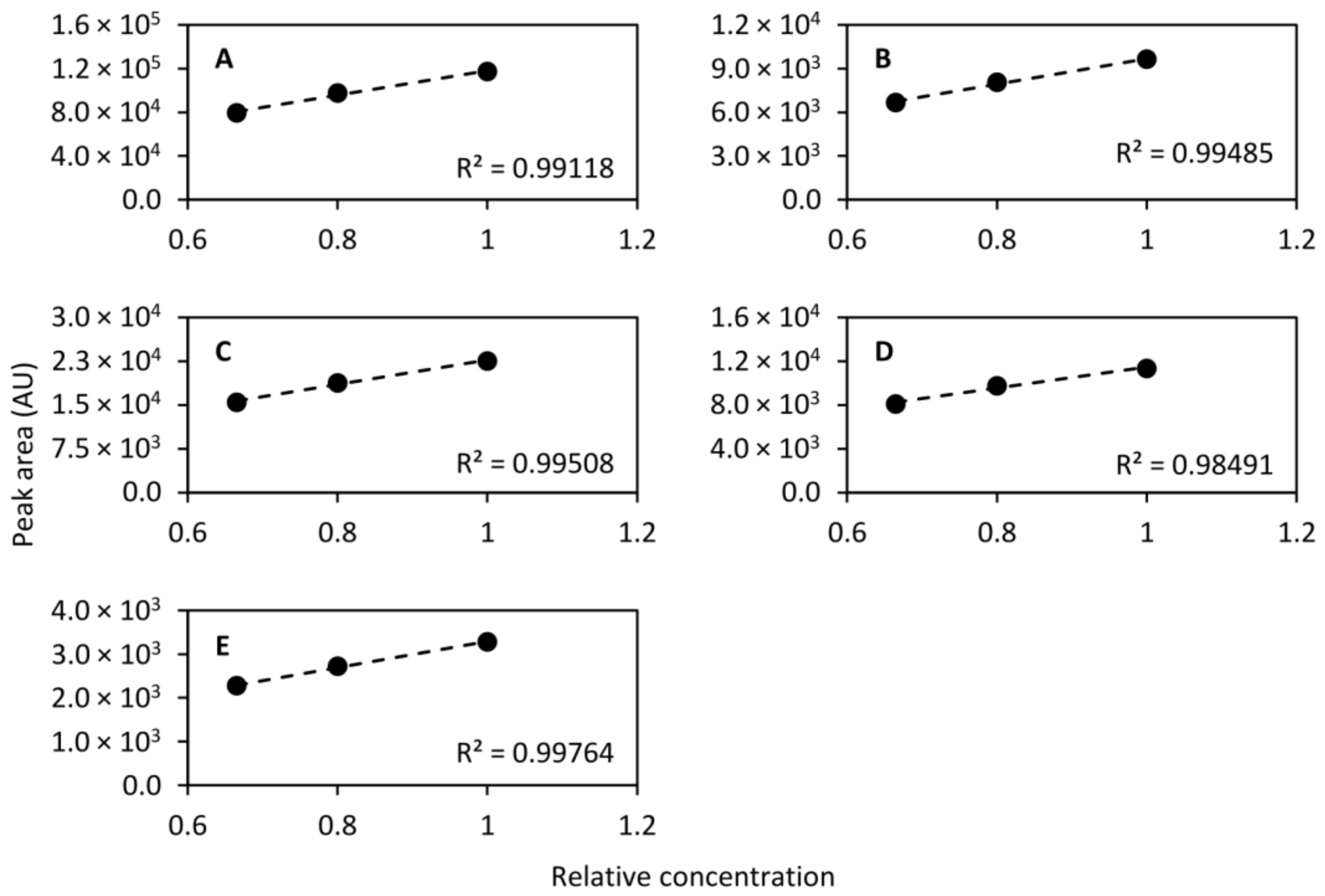
2.6.6. Linearity
2.6.7. Back Pressure Stability
2.6.8. Summary of the Validation
2.7. Analysis of Guinea Pig Perilymph Samples in an Untargeted Metabolomics Study
2.7.1. Modifications to the HILIC and RPLC Separation Gradients
2.7.2. Univariate Quality Control
2.7.3. Multivariate Quality Control
3. Materials and Methods
3.1. Chemicals
3.2. Instrumentals
3.3. Software
3.4. Validation of the Developed Method for Use in Untargeted Metabolomics
3.4.1. Experimental Design
3.4.2. Protein Precipitation of Human Blood Plasma
3.5. Sequential LC–MS Analysis of Hydrophilic and Lipophilic Component of Biological Samples
3.6. Untargeted Metabolomics Analysis of Guinea Pig Perilymph Samples
3.6.1. Protein Precipitation of Perilymph Samples
3.6.2. Modified Gradients Used When Analyzing the Guinea Pig Perilymph Samples
3.7. MS Detection
3.8. Data Processing and Analysis
4. Conclusions
Supplementary Materials
Author Contributions
Funding
Institutional Review Board Statement
Informed Consent Statement
Data Availability Statement
Conflicts of Interest
References
- Psychogios, N.; Hau, D.D.; Peng, J.; Guo, A.C.; Mandal, R.; Bouatra, S.; Sinelnikov, I.; Krishnamurthy, R.; Eisner, R.; Gautam, B.; et al. The Human Serum Metabolome. PLoS ONE 2011, 6, e16957. [Google Scholar] [CrossRef] [PubMed]
- Wishart, D.S.; Jewison, T.; Guo, A.C.; Wilson, M.; Knox, C.; Liu, Y.; Djoumbou, Y.; Mandal, R.; Aziat, F.; Dong, E.; et al. HMDB 3.0—The Human Metabolome Database in 2013. Nucleic Acids Res. 2012, 41, D801–D807. [Google Scholar] [CrossRef] [PubMed]
- Gika, H.G.; Theodoridis, G.A.; Earll, M.; Wilson, I.D. A QC Approach to the Determination of Day-to-Day Reproducibility and Robustness of LC–MS Methods for Global Metabolite Profiling in Metabonomics/Metabolomics. Bioanalysis 2012, 4, 2239–2247. [Google Scholar] [CrossRef] [PubMed]
- Ivanisevic, J.; Zhu, Z.-J.; Plate, L.; Tautenhahn, R.; Chen, S.; O’Brien, P.J.; Johnson, C.H.; Marletta, M.A.; Patti, G.J.; Siuzdak, G. Toward Omic Scale Metabolite Profiling: A Dual Separation–Mass Spectrometry Approach for Coverage of Lipid and Central Carbon Metabolism. Anal. Chem. 2013, 85, 6876–6884. [Google Scholar] [CrossRef]
- Vorkas, P.A.; Isaac, G.; Anwar, M.A.; Davies, A.H.; Want, E.J.; Nicholson, J.K.; Holmes, E. Untargeted UPLC-MS Profiling Pipeline to Expand Tissue Metabolome Coverage: Application to Cardiovascular Disease. Anal. Chem. 2015, 87, 4184–4193. [Google Scholar] [CrossRef] [PubMed]
- Gika, H.G.; Theodoridis, G.A.; Plumb, R.S.; Wilson, I.D. Current Practice of Liquid Chromatography–Mass Spectrometry in Metabolomics and Metabonomics. J. Pharm Biomed. Anal. 2014, 87, 12–25. [Google Scholar] [CrossRef] [PubMed]
- Want, E.J.; Wilson, I.D.; Gika, H.; Theodoridis, G.; Plumb, R.S.; Shockcor, J.; Holmes, E.; Nicholson, J.K. Global Metabolic Profiling Procedures for Urine Using UPLC–MS. Nat. Protoc. 2010, 5, 1005–1018. [Google Scholar] [CrossRef]
- Spagou, K.; Tsoukali, H.; Raikos, N.; Gika, H.; Wilson, I.D.; Theodoridis, G. Hydrophilic Interaction Chromatography Coupled to MS for Metabonomic/Metabolomic Studies. J. Sep. Sci. 2010, 33, 716–727. [Google Scholar] [CrossRef]
- Pirttilä, K.; Videhult Pierre, P.; Haglöf, J.; Engskog, M.; Hedeland, M.; Laurell, G.; Arvidsson, T.; Pettersson, C. An LCMS-Based Untargeted Metabolomics Protocol for Cochlear Perilymph: Highlighting Metabolic Effects of Hydrogen Gas on the Inner Ear of Noise Exposed Guinea Pigs. Metabolomics 2019, 15, 138. [Google Scholar] [CrossRef]
- Fransson, A.E.; Kisiel, M.; Pirttilä, K.; Pettersson, C.; Videhult Pierre, P.; Laurell, G.F.E. Hydrogen Inhalation Protects against Ototoxicity Induced by Intravenous Cisplatin in the Guinea Pig. Front. Cell. Neurosci. 2017, 11, 280. [Google Scholar] [CrossRef]
- Videhult Pierre, P.; Pirttilä, K.; Pettersson, C.; Haglöf, J.; Kiesel, M.; Fransson, A.E.; Laurell, G. Inhalation of Molecular Hydrogen Attenuates Acute Noise Trauma: A Preclinical in Vivo Study. Unpublished, Manuscript in Preparation.
- Hara, A.; Salt, A.N.; Thalmann, R. Perilymph Composition in Scala Tympani of the Cochlea: Influence of Cerebrospinal Fluid. Heart Res. 1989, 42, 265–271. [Google Scholar] [CrossRef]
- Stanley, S.M.R.; Foo, H.C. Screening for Basic Drugs in Equine Urine Using Direct-Injection Differential-Gradient LC–LC Coupled to Hybrid Tandem MS/MS. J. Chromatogr. B 2006, 836, 1–14. [Google Scholar] [CrossRef]
- Kwok, W.H.; Choi, T.L.S.; Tsoi, Y.Y.K.; Leung, G.N.W.; Wan, T.S.M. Screening of over 100 Drugs in Horse Urine Using Automated On-Line Solid-Phase Extraction Coupled to Liquid Chromatography-High Resolution Mass Spectrometry for Doping Control. J. Chromatogr. A 2017, 1490, 89–101. [Google Scholar] [CrossRef]
- Louw, S.; Pereira, A.S.; Lynen, F.; Hanna-Brown, M.; Sandra, P. Serial Coupling of Reversed-Phase and Hydrophilic Interaction Liquid Chromatography to Broaden the Elution Window for the Analysis of Pharmaceutical Compounds. J. Chromatogr. A 2008, 1208, 90–94. [Google Scholar] [CrossRef]
- Falasca, S.; Petruzziello, F.; Kretz, R.; Rainer, G.; Zhang, X. Analysis of Multiple Quaternary Ammonium Compounds in the Brain Using Tandem Capillary Column Separation and High Resolution Mass Spectrometric Detection. J. Chromatogr. A 2012, 1241, 46–51. [Google Scholar] [CrossRef]
- Greco, G.; Grosse, S.; Letzel, T. Serial Coupling of Reversed-Phase and Zwitterionic Hydrophilic Interaction LC/MS for the Analysis of Polar and Nonpolar Phenols in Wine: Liquid Chromatography. J. Sep. Sci. 2013, 36, 1379–1388. [Google Scholar] [CrossRef]
- Rajab, M.; Greco, G.; Heim, C.; Helmreich, B.; Letzel, T. Serial Coupling of RP and Zwitterionic Hydrophilic Interaction LC-MS: Suspects Screening of Diclofenac Transformation Products by Oxidation with a Boron-Doped Diamond Electrode: Liquid Chromatography. J. Sep. Sci. 2013, 36, 3011–3018. [Google Scholar] [CrossRef]
- Ortmayr, K.; Hann, S.; Koellensperger, G. Complementing Reversed-Phase Selectivity with Porous Graphitized Carbon to Increase the Metabolome Coverage in an on-Line Two-Dimensional LC-MS Setup for Metabolomics. Analyst 2015, 140, 3465–3473. [Google Scholar] [CrossRef]
- Gargano, A.F.G.; Duffin, M.; Navarro, P.; Schoenmakers, P.J. Reducing Dilution and Analysis Time in Online Comprehensive Two-Dimensional Liquid Chromatography by Active Modulation. Anal. Chem. 2016, 88, 1785–1793. [Google Scholar] [CrossRef]
- Wang, Y.; Lehmann, R.; Lu, X.; Zhao, X.; Xu, G. Novel, Fully Automatic Hydrophilic Interaction/Reversed-Phase Column-Switching High-Performance Liquid Chromatographic System for the Complementary Analysis of Polar and Apolar Compounds in Complex Samples. J. Chromatogr. A 2008, 1204, 28–34. [Google Scholar] [CrossRef]
- Kittlaus, S.; Schimanke, J.; Kempe, G.; Speer, K. Development and Validation of an Efficient Automated Method for the Analysis of 300 Pesticides in Foods Using Two-Dimensional Liquid Chromatography–Tandem Mass Spectrometry. J. Chromatogr. A 2013, 1283, 98–109. [Google Scholar] [CrossRef] [PubMed]
- Cabooter, D.; Choikhet, K.; Lestremau, F.; Dittmann, M.; Desmet, G. Towards a Generic Variable Column Length Method Development Strategy for Samples with a Large Variety in Polarity. J. Chromatogr. A 2014, 1372, 174–186. [Google Scholar] [CrossRef]
- Loos, G.; Shoykhet, K.; Dittmann, M.; Cabooter, D. Restriction Capillaries as an Innovative Mixing Unit for Intermediate Mobile Phase Exchange in Multidimensional Analysis. J. Chromatogr. A 2017, 1497, 70–80. [Google Scholar] [CrossRef]
- Wang, S.; Zhou, L.; Wang, Z.; Shi, X.; Xu, G. Simultaneous Metabolomics and Lipidomics Analysis Based on Novel Heart-Cutting Two-Dimensional Liquid Chromatography-Mass Spectrometry. Anal. Chim. Acta 2017, 966, 34–40. [Google Scholar] [CrossRef] [PubMed]
- Engskog, M.K.R.; Haglöf, J.; Arvidsson, T.; Pettersson, C. LC–MS Based Global Metabolite Profiling: The Necessity of High Data Quality. Metabolomics 2016, 12, 114. [Google Scholar] [CrossRef]
- Broadhurst, D.; Goodacre, R.; Reinke, S.N.; Kuligowski, J.; Wilson, I.D.; Lewis, M.R.; Dunn, W.B. Guidelines and Considerations for the Use of System Suitability and Quality Control Samples in Mass Spectrometry Assays Applied in Untargeted Clinical Metabolomic Studies. Metabolomics 2018, 14. [Google Scholar] [CrossRef] [PubMed]
- Scheibe, F.; Haupt, H. Biochemical Differences between Perilymph, Cerebrospinal Fluid and Blood Plasma in the Guinea Pig. Hear. Res. 1985, 17, 61–66. [Google Scholar] [CrossRef]
- Thalmann, I.; Comegys, T.H.; Liu, S.Z.; Ito, Z.; Thalmann, R. Protein Profiles of Perilymph and Endolymph of the Guinea Pig. Hear. Res. 1992, 63, 37–42. [Google Scholar] [CrossRef]
- Leary Swan, E.E.; Peppi, M.; Chen, Z.; Green, K.M.; Evans, J.E.; McKenna, M.J.; Mescher, M.J.; Kujawa, S.G.; Sewell, W.F. Proteomics Analysis of Perilymph and Cerebrospinal Fluid in Mouse: Perilymph Proteomics Analysis. Laryngoscope 2009, 119, 953–958. [Google Scholar] [CrossRef]
- Fujita, T.; Yamashita, D.; Irino, Y.; Kitamoto, J.; Fukuda, Y.; Inokuchi, G.; Hasegawa, S.; Otsuki, N.; Yoshida, M.; Nibu, K. Metabolomic Profiling in Inner Ear Fluid by Gas Chromatography/Mass Spectrometry in Guinea Pig Cochlea. Neurosci. Lett. 2015, 606, 188–193. [Google Scholar] [CrossRef]
- Dunn, W.B.; Wilson, I.D.; Nicholls, A.W.; Broadhurst, D. The Importance of Experimental Design and QC Samples in Large-Scale and MS-Driven Untargeted Metabolomic Studies of Humans. Bioanalysis 2012, 4, 2249–2264. [Google Scholar] [CrossRef] [PubMed]
- Smith, C.A.; Want, E.J.; O’Maille, G.; Abagyan, R.; Siuzdak, G. XCMS: Processing Mass Spectrometry Data for Metabolite Profiling Using Nonlinear Peak Alignment, Matching, and Identification. Anal. Chem. 2006, 78, 779–787. [Google Scholar] [CrossRef] [PubMed]
- Brunius, C.; Shi, L.; Landberg, R. Large-Scale Untargeted LC-MS Metabolomics Data Correction Using between-Batch Feature Alignment and Cluster-Based within-Batch Signal Intensity Drift Correction. Metabolomics 2016, 12, 173. [Google Scholar] [CrossRef] [PubMed]















| Compound | Mode a | Mean Retention Time (min) | Retention Time RSD (%) | Mean Peak Area (AU) | Peak Area RSD (%) |
|---|---|---|---|---|---|
| Acetylcholine | HILIC | 1.59 | 0.00 | 8158.53 | 4.23 |
| Acetylcarnitine | HILIC | 4.71 | 0.07 | 20,584.15 | 3.88 |
| Serotonin | HILIC | 3.10 | 0.00 | 28,693.17 | 3.83 |
| Phenylalanine | HILIC | 4.39 | 0.07 | 34,879.93 | 3.10 |
| Caffeine | RPLC | 5.16 | 0.13 | 122,893.94 | 1.68 |
| Theobromine | RPLC | 4.53 | 0.11 | 10,203.70 | 3.81 |
| Theophylline | RPLC | 4.77 | 0.11 | 23,866.90 | 2.52 |
| Diclofenac | RPLC | 9.21 | 0.08 | 3958.71 | 24.4 |
| 2-aminobenzoic acid | RPLC | 6.35 | 0.16 | 11,799.13 | 2.92 |
| Standard Compound | Peak Area, Last QC Injection (AU) | Peak Area, Blank Injection (AU) | Carry Over |
|---|---|---|---|
| Acetylcholine | 6837.1 | n.d. | n.d. |
| Acetylcarnitine | 21352.6 | 96.1 | 0.45% |
| Serotonin | 20631.0 | n.d. | n.d. |
| Phenylalanine | 27144.9 | n.d. | n.d. |
| Caffeine | 108608.6 | 1214.5 | 1.1% |
| Theobromine | 9178.5 | 303.8 | 3.3% |
| Theophylline | 21561.0 | 245.0 | 1.1% |
| Diclofenac | 2627.0 | n.d. | n.d. |
| 2-aminobenzoic acid | 10742.1 | n.d. | n.d. |
| Compound | Chromatographic Mode | Detection Mode | Detected m/z | Molecular Formulaa | rt (min) | Peak Area RSD (%)b | Retention Time RSD (%)b |
|---|---|---|---|---|---|---|---|
| Choline | HILIC | ESI+ | 104.1072 | [C5H14NO]+ | 2.85 | 2.55 | 0.00 |
| Nicotinic acid | HILIC | ESI+ | 124.0394 | [C6H5NO2+H]+ | 3.66 | 4.06 | 0.16 |
| Cytidine | HILIC | ESI+ | 266.0747 | [C9H13N3O5+Na]+ | 3.97 | 2.20 | 0.13 |
| Burytylcarnitine | HILIC | ESI+ | 232.1544 | [C11H21NO4+H]+ | 4.37 | 2.04 | 0.07 |
| Glycine betaine | HILIC | ESI+ | 118.0863 | [C5H12NO2]+ | 5.04 | 2.04 | 0.09 |
| Phenylalanine | HILIC | ESI+ | 120.0813 | [C8H10N]+ | 5.14 | 1.73 | 0.06 |
| Tryptophan | HILIC | ESI+ | 188.0713 | [C11H10NO2]+ | 5.40 | 5.58 | 0.22 |
| Carnitine | HILIC | ESI+ | 162.1129 | [C7H15NO3+H]+ | 6.38 | 3.38 | 0.07 |
| Taurine | HILIC | ESI+ | 126.0222 | [C2H8NO3S+H]+ | 6.49 | 2.04 | 0.07 |
| Creatine | HILIC | ESI+ | 132.0771 | [C4H9N3O2+H]+ | 8.64 | 3.22 | 0.08 |
| Glutamine | HILIC | ESI+ | 130.0496 | [C5H8NO3]+ | 10.0 | 1.51 | 0.03 |
| Arginine | HILIC | ESI+ | 175.1197 | [C6H14N4O2+H]+ | 11.9 | 2.50 | 0.00 |
| Uridine | HILIC | ESI− | 243.0623 | [C9H12N2O6−H]− | 2.13 | 9.38 | 0.14 |
| Taurine | HILIC | ESI− | 124.0074 | [C2H7NO3S−H]− | 6.51 | 11.1 | 0.12 |
| Glutamine | HILIC | ESI− | 145.0619 | [C5H10N2O3−H]− | 10.0 | 9.78 | 0.04 |
| Xanthine | HILIC | ESI− | 151.0261 | [C5H4N4O2−H]− | 2.56 | 7.56 | 0.20 |
| 5’-Methylthioadenosine | RPLC | ESI+ | 298.0971 | [C11H15N5O3S+H]+ | 4.51 | 21.8 | 0.25 |
| Norketamine | RPLC | ESI+ | 224.0840 | [C12H14NOCl+H]+ | 5.07 | 4.76 | 0.18 |
| Ketamine | RPLC | ESI+ | 238.0993 | [C13H16NOCl+H]+ | 5.14 | 4.76 | 0.18 |
| U5.28 | RPLC | ESI+ | 287.0786 | [C15H12NO5+H]+ | 5.28 | 5.42 | 0.27 |
| Phenylalanylcysteine | RPLC | ESI+ | 269.0984 | [C12H16N2O3S+H]+ | 5.35 | 10.4 | 0.28 |
| Xylazine | RPLC | ESI+ | 221.1115 | [C12H16N2S+H]+ | 5.41 | 4.34 | 0.23 |
| U5.45 | RPLC | ESI+ | 251.1765 | [C14H22N2O2+H]+ | 5.45 | 8.31 | 0.21 |
| U5.75 | RPLC | ESI+ | 240.1498 | [C15H17N3+H]+ | 5.75 | 5.9 | 0.17 |
| Bupivacaine | RPLC | ESI+ | 289.2287 | [C18H28N2O+H]+ | 5.88 | 3.63 | 0.21 |
| U6.73 | RPLC | ESI+ | 267.1230 | [C15H22S2+H]+ | 6.73 | 4.9 | 0.16 |
| U7.34 | RPLC | ESI+ | 288.2899 | [C17H37NO2+H]+ | 7.34 | 3.47 | 0.18 |
| U7.96 | RPLC | ESI+ | 267.1234 | [C14H18O5+H]+ | 7.96 | 28.6 | 0.14 |
| Tetracosahexaenoic acid | RPLC | ESI+ | 357.2794 | [C24H36O2+H]+ | 8.68 | 7.38 | 0.19 |
| U8.68 | RPLC | ESI+ | 478.3224 | [C30H41N2O3+H]+ | 8.68 | 21.0 | 0.10 |
| Substance | Monoisotopic Mass (g/mol) | Concentration in the Spiked Samples (µM) | ||
|---|---|---|---|---|
| QC | QCd1 | QCd2 | ||
| 2-aminobenzoic acid | 137.0477 | 4.01 | 3.21 | 2.68 |
| Acetylcarnitine | 203.1158 | 0.0197 | 0.0157 | 0.0131 |
| Acetylcholine | 146.1181 | 0.224 | 0.179 | 0.149 |
| Caffeine | 194.0804 | 0.194 | 0.155 | 0.129 |
| Diclofenac | 295.0167 | 0.308 | 0.246 | 0.205 |
| Phenylalanine | 165.0790 | 4.98 | 3.98 | 3.32 |
| Serotonin | 176.0950 | 0.504 | 0.403 | 0.336 |
| Theophylline | 180.0647 | 0.511 | 0.409 | 0.341 |
| Theobromine | 180.0647 | 0.528 | 0.422 | 0.352 |
| BSM1 Mobile-Phase Gradient | BSM2 Mobile-Phase Gradient | ISM Mobile-Phase Gradient | |||||
|---|---|---|---|---|---|---|---|
| Time (min) | Flow Rate (mL/min) | %A | Time (min) | Flow Rate (mL/min) | %A | Time (min) | Flow Rate (mL/min) |
| Initial | 0.400 | 95 | Initial | 0.025 | 100 | Initial | 0.050 |
| 1.00 | 0.400 | 95 | 10.00 | 0.025 | 100 | 1.15 | 0.050 |
| 11.50 | 0.400 | 65 | 10.10 | 0.300 | 100 | 1.40 | 1.900 |
| 12.10 | 0.400 | 40 | 14.50 | 0.300 | 100 | 10.00 | 1.900 |
| 14.00 | 0.400 | 40 | 15.00 | 0.300 | 100 | 10.10 | 0.000 |
| 14.10 | 0.400 | 95 | 16.50 | 0.300 | 100 | 14.50 | 0.000 |
| 14.50 | 0.400 | 95 | 25.00 | 0.300 | 2 | 31.00 | 0.000 |
| 18.00 | 0.400 | 95 | 28.00 | 0.300 | 2 | 31.10 | 0.050 |
| 18.10 | 0.050 | 95 | 28.50 | 0.300 | 100 | 34.50 | 0.050 |
| 26.40 | 0.050 | 95 | 33.90 | 0.300 | 100 | ||
| 26.50 | 0.400 | 95 | 34.00 | 0.025 | 100 | ||
| 34.50 | 0.400 | 95 | 34.50 | 0.025 | 100 | ||
Publisher’s Note: MDPI stays neutral with regard to jurisdictional claims in published maps and institutional affiliations. |
© 2021 by the authors. Licensee MDPI, Basel, Switzerland. This article is an open access article distributed under the terms and conditions of the Creative Commons Attribution (CC BY) license (https://creativecommons.org/licenses/by/4.0/).
Share and Cite
Pirttilä, K.; Laurell, G.; Pettersson, C.; Hedeland, M. Automated Sequential Analysis of Hydrophilic and Lipophilic Fractions of Biological Samples: Increasing Single-Injection Chemical Coverage in Untargeted Metabolomics. Metabolites 2021, 11, 295. https://doi.org/10.3390/metabo11050295
Pirttilä K, Laurell G, Pettersson C, Hedeland M. Automated Sequential Analysis of Hydrophilic and Lipophilic Fractions of Biological Samples: Increasing Single-Injection Chemical Coverage in Untargeted Metabolomics. Metabolites. 2021; 11(5):295. https://doi.org/10.3390/metabo11050295
Chicago/Turabian StylePirttilä, Kristian, Göran Laurell, Curt Pettersson, and Mikael Hedeland. 2021. "Automated Sequential Analysis of Hydrophilic and Lipophilic Fractions of Biological Samples: Increasing Single-Injection Chemical Coverage in Untargeted Metabolomics" Metabolites 11, no. 5: 295. https://doi.org/10.3390/metabo11050295
APA StylePirttilä, K., Laurell, G., Pettersson, C., & Hedeland, M. (2021). Automated Sequential Analysis of Hydrophilic and Lipophilic Fractions of Biological Samples: Increasing Single-Injection Chemical Coverage in Untargeted Metabolomics. Metabolites, 11(5), 295. https://doi.org/10.3390/metabo11050295

