Phytochemical Profile and Antioxidant Activity of Aerial and Underground Parts of Salvia bulleyana Diels. Plants
Abstract
1. Introduction
2. Results and Discussion
2.1. Quantitative Analysis of Analyzed Hydromethanolic Extracts
2.1.1. Identification of Phenolic Acid Derivatives
2.1.2. Identification of Flavonoids
2.1.3. Identification of a Non-Phenolic Compound
2.2. Quantitative Analysis
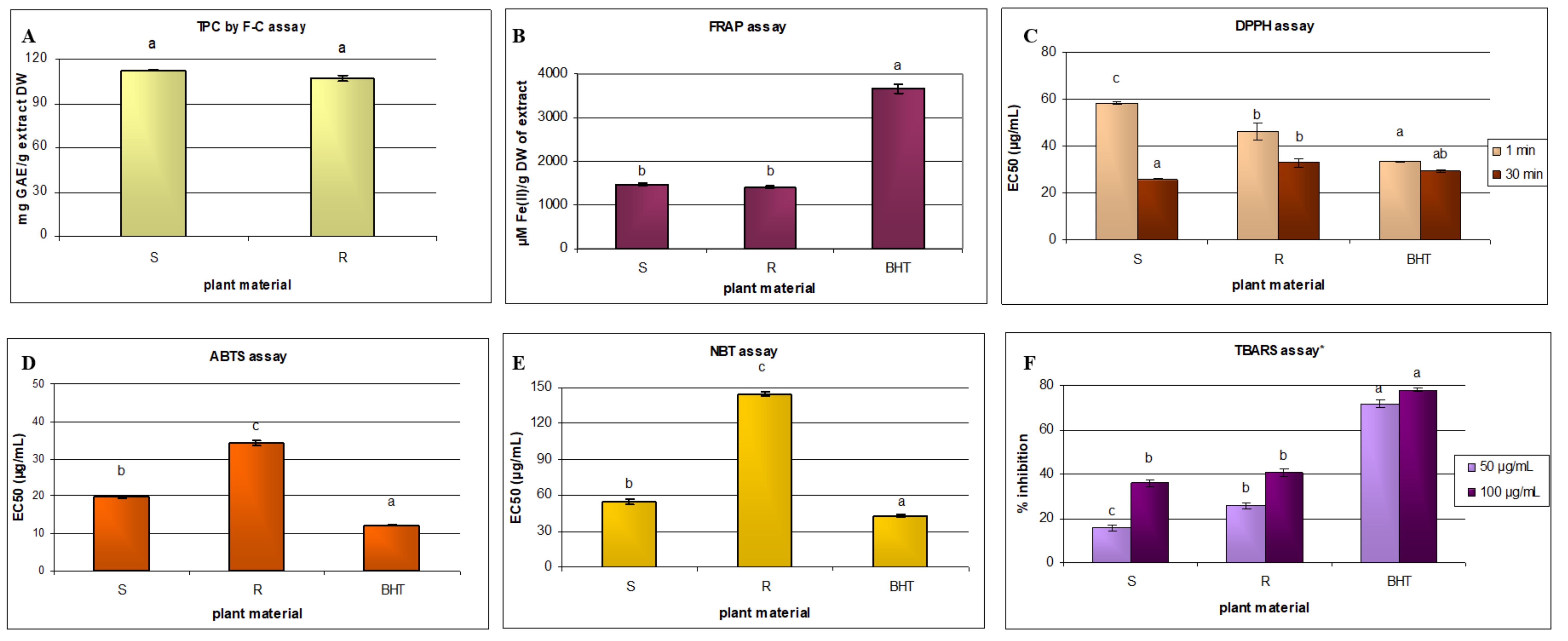
2.3. Antioxidant Properties
3. Materials and Methods
3.1. The Origin of the Plant Material
3.2. Standards and Reagents
3.3. Extraction Procedure
3.4. Qualitative UHPLC-PDA-ESI-MS Analysis
3.5. Quantitative HPLC-PDA Analysis of Polyphenolic Acids
3.6. Quantitative HPLC-PDA Analysis of Flavonoids
3.7. Antioxidant Assays
3.7.1. Total Phenolic Content
3.7.2. FRAP Assay
3.7.3. DPPH Radical Scavenging Assay
3.7.4. ABTS Radical Scavenging Assay
3.7.5. O2•− Scavenging Assay
3.7.6. Inhibition of Linoleic Acid Peroxidation Assay
3.8. Statistical Analysis
4. Conclusions
Author Contributions
Funding
Conflicts of Interest
References
- Pandey, K.B.; Rizvi, S.I. Plant polyphenols as dietary antioxidants in human health and disease. Oxid. Med. Cell. Longev. 2009, 2, 270–278. [Google Scholar] [CrossRef] [PubMed]
- Li, M.H.; Chen, J.M.; Peng, Y.; Xiao, P.G. Distribution of phenolic acids in Chinese Salvia plants. World Sci. Technol. 2008, 10, 46–52. [Google Scholar]
- Li, M.; Li, Q.; Zhang, C.; Zhang, N.; Cui, Z.; Huang, L.; Xiao, P. An ethnopharmacological investigation of medicinal Salvia plants (Lamiaceae) in China. Acta Pharm. Sin. B 2013, 3, 273–280. [Google Scholar] [CrossRef]
- Xu, J.; Wei, K.; Zhang, G.; Lei, L.; Yang, D.; Wang, W.; Han, Q.; Xia, Y.; Bi, Y.; Yang, M.; et al. Ethnopharmacology, phytochemistry, and pharmacology of Chinese Salvia species: A review. J. Ethnopharmacol. 2018, 225, 18–30. [Google Scholar] [CrossRef] [PubMed]
- Li, M.H.; Chen, J.M.; Peng, Y.; Wu, Q.; Xiao, P.G. Investigation of Danshen and related medicinal plants in China. J. Ethnopharmacol. 2018, 120, 419–426. [Google Scholar] [CrossRef]
- Kasimu, R.; Tanaka, K.; Tezuka, Y.; Gong, Z.N.; Li, J.X.; Basnet, P.; Namba, T.; Kadota, S. Comparative study of seventeen Salvia plants: Aldose reductase inhibitory activity of water and MeOH extracts and liquid chromatography-mass spectrometry (LC-MS) analysis of water extracts. Chem. Pharm. Bull. 1998, 46, 500–504. [Google Scholar] [CrossRef] [PubMed]
- Grzegorczyk-Karolak, I.; Kiss, A.K. Determination of the phenolic profile and antioxidant properties of Salvia viridis L. shoots: A comparison of aqueous and hydroethanolic extracts. Molecules 2018, 23, 1468. [Google Scholar] [CrossRef]
- Cvetkovikj, I.; Stefkov, G.; Acevska, J.; Stanoeva, J.P.; Karapandzova, M.; Stefova, M.; Dimitrovska, A.; Kulevanova, S. Polyphenolic characterization and chromatographic methods for fast assessment of culinary Salvia species from South East Europe. J. Chromatogr. A 2013, 1282, 38–45. [Google Scholar] [CrossRef]
- Krzyżanowska-Kowalczyk, J.; Pecio, Ł.; Mołdoch, J.; Ludwiczuk, A.; Kowalczyk, M. Novel phenolic constituents of Pulmonaria officinalis L. LC-MS/MS comparison of Spring and Autumn metabolite profiles. Molecules 2018, 23, 2277. [Google Scholar] [CrossRef]
- Zengin, G.; Llorent-Martínez, E.J.; Fernández-de Córdova, M.L.; Bahadori, M.B.; Mocan, A.; Locatelli, M.; Aktumsek, A. Chemical composition and biological activities of extracts from three Salvia species: S. blepharochlaena, S. euphratica var. leiocalycina, and S. verticillata subsp. amasiaca. Ind. Crops Prod. 2018, 111, 11–21. [Google Scholar] [CrossRef]
- Zengin, G.; Mahomoodally, F.; Picot-Allain, C.; Diuzheva, A.; Jekő, J.; Cziáky, Z.; Cvetanović, A.; Aktumsek, A.; Zekoviće, Z.; Rengasamy, K.R. Metabolomic profile of Salvia viridis L. root extracts using HPLC–MS/MS technique and their pharmacological properties: A comparative study. Ind. Crops Prod. 2019, 131, 266–280. [Google Scholar] [CrossRef]
- Afonso, A.F.; Pereira, O.R.; Fernandes, A.; Calhelha, R.C.; Silva, A.; Ferreira, I.C.; Cardoso, S.M. Phytochemical composition and bioactive effects of Salvia africana, Salvia officinalis ‘Icterina’and Salvia mexicana aqueous extracts. Molecules 2019, 24, 4327. [Google Scholar] [CrossRef] [PubMed]
- Wojciechowska, M.; Owczarek, A.; Kiss, A.K.; Grąbkowska, R.; Olszewska, M.A.; Grzegorczyk-Karolak, I. Establishment of hairy root cultures of Salvia bulleyana Diels for production of polyphenolic compounds. J. Biotechnol. 2020, 318, 10–19. [Google Scholar] [CrossRef] [PubMed]
- Stanković, J.S.K.; Srećković, N.; Mišić, D.; Gašić, U.; Imbimbo, P.; Monti, D.M.; Mihailović, V. Bioactivity, biocompatibility and phytochemical assessment of lilac sage, Salvia verticillata L. (Lamiaceae)- A plant rich in rosmarinic acid. Ind. Crops Prod. 2020, 143, 111932. [Google Scholar] [CrossRef]
- Pereira, O.R.; Catarino, M.D.; Afonso, A.F.; Silva, A.; Cardoso, S.M. Salvia elegans, Salvia greggii and Salvia officinalis decoctions: Antioxidant activities and inhibition of carbohydrate and lipid metabolic enzymes. Molecules 2018, 23, 3169. [Google Scholar] [CrossRef] [PubMed]
- Hamed, A.I.; Said, R.B.; Kontek, B.; Al-Ayed, A.S.; Kowalczyk, M.; Moldoch, J.; Stochmal, A.; Olas, B. LC–ESI-MS/MS profile of phenolic and glucosinolate compounds in samh flour (Mesembryanthemum forsskalei Hochst. ex Boiss) and the inhibition of oxidative stress by these compounds in human plasma. Food Res. Inter. 2016, 85, 282–290. [Google Scholar] [CrossRef]
- Gonzales, G.B.; Raes, K.; Vanhoutte, H.; Coelus, S.; Smagghe, G.; Van Camp, J. Liquid chromatography–mass spectrometry coupled with multivariate analysis for the characterization and discrimination of extractable and nonextractable polyphenols and glucosinolates from red cabbage and Brussels sprout waste streams. J. Chromatogr. A 2015, 1402, 60–70. [Google Scholar] [CrossRef]
- Herrmann, K.; Nagel, C.W. Occurrence and content of hydroxycinnamic and hydroxybenzoic acid compounds in foods. Crit. Rev. Food Sci. Nutr. 1989, 28, 315–347. [Google Scholar] [CrossRef]
- Grzegorczyk-Karolak, I.; Kuźma, Ł.; Skała, E.; Kiss, A.K. Hairy root cultures of Salvia viridis L. for production of polyphenolic compounds. Ind. Crops Prod. 2018, 117, 235–244. [Google Scholar] [CrossRef]
- Piątczak, E.; Owczarek, A.; Lisiecki, P.; Gonciarz, W.; Kozłowska, W.; Szemraj, M.; Chmiela, M.; Kiss, A.K.; Olszewska, M.A.; Grzegorczyk-Karolak, I. Identification and quantification of phenolic compounds in Salvia cadmica Boiss. and their biological potential. Ind. Crops Prod. 2020. [Google Scholar] [CrossRef]
- Grzegorczyk-Karolak, I.; Kuźma, Ł.; Lisiecki, P.; Kiss, A. Accumulation of phenolic compounds in different in vitro cultures of Salvia viridis L. and their antioxidant and antimicrobial potential. Phytochem. Lett. 2019, 30, 324–332. [Google Scholar] [CrossRef]
- Selenge, E.; Murata, T.; Tanaka, S.; Sasaki, K.; Batkhuu, J.; Yoshizaki, F. Monoterpene glycosides, phenylpropanoids, and acacetin glycosides from Dracocephalum foetidum. Phytochemistry 2014, 101, 91–100. [Google Scholar] [CrossRef] [PubMed]
- Chen, H.; Zhang, Q.; Wang, X.; Yang, J.; Wang, Q. Qualitative analysis and simultaneous quantification of phenolic compounds in the aerial parts of Salvia miltiorrhiza by HPLC-DAD and ESI/MSn. Phytochem. Anal. 2011, 22, 247–257. [Google Scholar] [CrossRef] [PubMed]
- Jiang, T.F.; Ou, Q.Y.; Shi, Y.P. Separation and determination of phenylpropanoid glycosides from Pedicularis species by capillary electrophoresis. J. Chromatogr. A. 2003, 986, 163–167. [Google Scholar] [CrossRef]
- Zeng, G.; Xiao, H.; Liu, J.; Liang, X. Identification of phenolic constituents in radix Salvia miltiorrhizae by liquid chromatography/electrospray ionization mass spectrometry. Rapid Commun. Mass Spectrom. 2006, 20, 499–506. [Google Scholar] [CrossRef]
- Mabry, T.; Markham, K.R.; Thomas, M.B. The Systematic Identification of Flavonoids; Springer Science & Business Media: New York, NY, USA, 2012. [Google Scholar]
- Lu, Y.; Foo, Y. Polyphenolics of Salvia—A review. Phytochemistry 2002, 59, 117–140. [Google Scholar] [CrossRef]
- Martins, N.; Barros, L.; Santos-Buelga, C.; Henriques, M.; Silva, S.; Ferreira, I.C. Evaluation of bioactive properties and phenolic compounds in different extracts prepared from Salvia officinalis L. Food Chem. 2015, 170, 378–385. [Google Scholar] [CrossRef]
- Fotovvat, M.; Radjabian, T.; Saboora, A. HPLC fingerprint of important phenolic compounds in some Salvia L. species from Iran. Rec. Nat. Prod. 2018, 13. [Google Scholar] [CrossRef]
- Modarres, M.; Asili, J.; Lahouti, M.; Gangali, A.; Iranshahy, M.; Sahebkar, A. Simultaneous determination of rosmarinic acid, salvianolic acid B and caffeic acid in Salvia leriifolia Benth. root, leaf and callus extracts using a high-performance liquid chromatography with diode-array detection technique. J. Liq. Chromatogr. Relat. Technol. 2014, 37, 1721–1730. [Google Scholar] [CrossRef]
- Lamuela-Raventós, R.M. Folin-Ciocalteu method for the measurement of total phenolic content and antioxidant capacity. In Measurement of Antioxidant Activity & Capacity: Recent Trends and Applications; John Wiley & Sons Ltd.: Hoboken, NJ, USA, 2018; pp. 107–117. [Google Scholar]
- Grzegorczyk, I.; Matkowski, A.; Wysokińska, H. Antioxidant activity of extracts from in vitro cultures of Salvia officinalis L. Food Chem. 2007, 104, 536–541. [Google Scholar] [CrossRef]
- Matkowski, A.; Zielińska, S.; Oszmiański, J.; Lamer-Zarawska, E. Antioxidant activity of extracts from leaves and roots of Salvia miltiorrhiza Bunge, S. przewalskii Maxim., and S. verticillata L. Bioresour. Technol. 2008, 99, 7892–7896. [Google Scholar] [CrossRef]
- Boukhary, R.; Raafat, K.; Ghoneim, A.I.; Aboul-Ela, M.; El-Lakany, A. Anti-inflammatory and antioxidant activities of Salvia fruticosa: An HPLC determination of phenolic contents. Evid. Based Complementary Altern. Med. 2016, 2016. [Google Scholar] [CrossRef] [PubMed]
- Bahadori, M.B.; Asghari, B.; Dinparast, L.; Zengin, G.; Sarikurkcu, C.; Abbas-Mohammadi, M.; Bahadori, S. Salvia nemorosa L.: A novel source of bioactive agents with functional connections. LWT 2017, 75, 42–50. [Google Scholar] [CrossRef]
- Prior, R.L.; Wu, X.; Schaich, K. Standardized methods for the determination of antioxidant capacity and phenolics in foods and dietary supplements. J. Agric. Food Chem. 2005, 53, 4290–4302. [Google Scholar] [CrossRef] [PubMed]
- Damašius, J.; Venskutonis, P.R.; Kaškonienė, V.; Maruška, A. Fast screening of the main phenolic acids with antioxidant properties in common spices using on-line HPLC/UV/DPPH radical scavenging assay. Anal. Methods 2014, 6, 2774–2779. [Google Scholar] [CrossRef]
- Erkan, N. Antioxidant activity of phenolic compounds of fractions from Protulaca oleracea L. Food Chem. 2012, 133, 775–781. [Google Scholar] [CrossRef]
- Chan, K.W.K.; Ho, W.S. Anti-oxidative and hepatoprotective effects of lithospermic acid against carbon tetrachloride-induced liver oxidative damage in vitro and in vivo. Oncol. Rep. 2015, 34, 673–680. [Google Scholar] [CrossRef] [PubMed]
- Lin, Y.H.; Liu, A.H.; Wu, H.L.; Westenbroek, C.; Song, Q.L.; Yu, H.M.; Ter Horst, G.J.; Li, X.J. Salvianolic acid B, an antioxidant from Salvia miltiorrhiza, prevents Aβ25–35-induced reduction in BPRP in PC12 cells. Bioch. Biophys. Res. Comm. 2006, 348, 593–599. [Google Scholar] [CrossRef]
- López-Lázaro, M. Distribution and biological activities of the flavonoid luteolin. Mini Rev. Med. Chem. 2009, 9, 31–59. [Google Scholar] [CrossRef]
- Flora of China. Available online: http://www.efloras.org/ (accessed on 28 October 2020).
- Grzegorczyk-Karolak, I.; Kontek, B.; Kontek, R.; Wysokińska, H.; Olas, B. Evaluation of antioxidant activity of extracts from the roots and shoots of Scutellaria alpina L. and S. altissima L. in selected blood cells. Adv. Clin. Exp. Med. 2019, 28, 453–460. [Google Scholar] [CrossRef]
- Grzegorczyk-Karolak, I.; Kuźma, Ł.; Wysokińska, H. The effect of cytokinins on shoot proliferation, secondary metabolite production and antioxidant potential in shoot cultures of Scutellaria alpina. Plant Cell Tiss. Organ Cult. 2015, 122, 699–708. [Google Scholar] [CrossRef]



| Peak No. | Rt [min] | λmax (nm) | [M−H]− | Fragmentation Ions | Tentative Identification | Reference | Plant Material |
|---|---|---|---|---|---|---|---|
| 1 | 2.7 | 191 | Quinic acid | [15] | S | ||
| 2 | 12.6 | 295sh, 342 | 297 | 179, 161, 135 | Caffeoyl-threonic acid (I) | [9] | S |
| 3 | 14.5 | 297sh, 326 | 297 | 179, 161, 135 | Caffeoyl-threonic acid (II) | [9] | S |
| 4 | 18.6 | 292sh, 321 | 179 | 135 | Caffeic acid | [19] | R, S |
| 5 | 19.8 | 328 | 385 | 223, 247, 205, 164 | Sinapic acid hexose | [11] | S |
| 6 | 20.1 | 291sh, 325 | 297 | 279, 179, 135 | Caffeoyl-threonic acid (III) | [9] | S |
| 7 | 21.6 | 267, 340 | 801 | 639, 477, 463, 301 | Hydroxyluteolin-O-dihexoside-O-hexuronide | [12] | S |
| 8 | 22.3 | 279, 323 | 489 | 223, 205 | Sinapic acid derivative | S | |
| 9 | 23.1 | 277, 323 | 706 | 662, 619, 526, 508, 482, 464, 439, 420, 376, 253, 197 | Unknown compound | S | |
| 10 | 26.6 | 281, 324 | 571 | 553, 527, 509, 483, 439, 285, 197, 179 | Yunnaneic acid E | [12] | S |
| 11 | 28.1 | 270, 336 | 639 | 477, 301 | Hydroxyluteolin-O-hexoside-O-hexuronide | [12] | S |
| 12 | 28.5 | 272, 323 | 623 | 461, 447, 285 | Luteolin-O-hexoside-O-hexuronide | [8] | S |
| 13 | 29.3 | 267, 343 | 593 | 285 | Luteolin-O-rhamnohexoside | [7] | S |
| 14 | 30.8 | 269, 340 | 461 | 285 | Luteolin-O-hexuronide | [11] | S |
| 15 | 31.5 | 287sh, 319 | 521 | 359 | Rosmarinic acid hexoside | [19] | R, S |
| 16 | 32.9 | 269, 328 | 555 | 537, 511, 449, 357, 313, 269, 241 | Salvianolic acid K isomer | [20] | S |
| 17 | 32.9 | 269, 328 | 577 | 269 | Trihydroxyflavone-O-rhamnohexoside | S | |
| 18 | 33.5 | 271, 331 | 607 | 299 | Trihydroxymethoxyflavone-O-rhamnohexoside | [8,12] | S |
| 19 | 35.0 | 268, 334 | 445 | 269, 175 | Trihydroxyflavone-O-hexuronide | S | |
| 20 | 36.6 | 289sh, 325 | 359 | 223, 197, 179, 161 | Rosmarinic acid | [19] | R, S |
| 21 | 37.4 | 286, 321 | 555 | 537, 493, 449, 359, 313, 269 | Salvianolic acid K | [13] | R, S |
| 22 | 38.6 | 284sh, 324 | 683 | 521, 485, 359, 321 | Caffeic acid derivative | S | |
| 23 | 40.2 | 289sh, 324 | 537 | 493, 359 | Lithospermic acid isomer (I) | [20] | S |
| 24 | 40.7 | 286, 328 | 651 | 505, 475, 329, 265, 193 | Martinoside | [7] | S |
| 25 | 41.4 | 282, 318 | 343 | 325, 223, 197, 179, 135 | Dehydrorosmarinic acid | [21] | S |
| 26 | 41.9 | 717 | 519, 321 | Salvianolic acid B isomer | [21] | R | |
| 27 | 43.0 | 285, 324 | 727 | 529, 359 | Rosmarinic acid sinapoyl-hexoside (I) | [22] | S |
| 28 | 43.5 | 286sh, 327 | 373 | 179, 135 | Methyl rosmarinate | [19] | R |
| 29 | 45.2 | 281, 324 | 537 | 493, 359, 295 | Lithospermic acid isomer II | [20] | S |
| 30 | 45.6 | 280, 321 | 727 | 565, 521, 359 | Rosmarinic acid sinapoyl-hexoside (II) | [22] | S |
| 31 | 46.1 | 278, 320 | 727 | 565, 529, 359 | Rosmarinic acid sinapoyl-hexoside (III) | [22] | S |
| 32 | 46.8 | 282, 325 | 693 | 651, 635, 475, | Acetylmartynoside | S | |
| 33 | 47.5 | 273sh, 313 | 811 | 635, 443, 285 | Unidentified flavone | S | |
| 34 | 48.8 | 285sh, 324 | 551 | 519, 359, 339, 161 | Monomethyl lithospermate isomer | [23] | S |
| 35 | 50.8 | 336 | 313 | 269,161 | Salvianolic acid F isomer (I) | [13] | R |
| 36 | 51.2 | 284, 319 | 717 | 519, 359, 339 | Salvianolic acid B isomer (II) | S | |
| 37 | 53.6 | 302sh, 335 | 313 | 269, 203, 161 | Salvianolic acid F isomer (II) | [13] | R |
| 38 | 55.8 | 278sh, 327 | 735 | 693, 547, 505 | Diacetylmartynoside | [24] | R, S |
| Compound | Aerial Parts | Roots |
|---|---|---|
| Caffeic acid | 0.03 ± 0.01 b | 0.24 ± 0.007 a |
| Rosmarinic acid hexoside | 0.25 ± 0.05 a | 0.30 ± 0.004 a |
| Rosmarinic acid | 6.07 ± 0.73 b | 8.34 ± 0.14 a |
| Salvianolic acid K | 0.76 ± 0.15 b | 12.34 ± 0.05 a |
| Lithospermic acid isomer (I) | 3.78 ± 0.51 | nd |
| Salvianolic acid B isomer (I) | nd | 0.923 ± 0.006 |
| Methyl rosmarinate | nd | 0.58 ± 0.012 |
| Salvianolic acid F isomer (II) | nd | 0.156 ± 0.004 |
| Sum of other PAD | 1.08 ± 0.46 a | 0.206 ± 0.008 b |
| TF | 2.42 ± 0.11 | nd |
| PAD | 14.39 ± 2.02 b | 23.085 ± 0.23 a |
Publisher’s Note: MDPI stays neutral with regard to jurisdictional claims in published maps and institutional affiliations. |
© 2020 by the authors. Licensee MDPI, Basel, Switzerland. This article is an open access article distributed under the terms and conditions of the Creative Commons Attribution (CC BY) license (http://creativecommons.org/licenses/by/4.0/).
Share and Cite
Grzegorczyk-Karolak, I.; Krzemińska, M.; Kiss, A.K.; Olszewska, M.A.; Owczarek, A. Phytochemical Profile and Antioxidant Activity of Aerial and Underground Parts of Salvia bulleyana Diels. Plants. Metabolites 2020, 10, 497. https://doi.org/10.3390/metabo10120497
Grzegorczyk-Karolak I, Krzemińska M, Kiss AK, Olszewska MA, Owczarek A. Phytochemical Profile and Antioxidant Activity of Aerial and Underground Parts of Salvia bulleyana Diels. Plants. Metabolites. 2020; 10(12):497. https://doi.org/10.3390/metabo10120497
Chicago/Turabian StyleGrzegorczyk-Karolak, Izabela, Marta Krzemińska, Anna K. Kiss, Monika A. Olszewska, and Aleksandra Owczarek. 2020. "Phytochemical Profile and Antioxidant Activity of Aerial and Underground Parts of Salvia bulleyana Diels. Plants" Metabolites 10, no. 12: 497. https://doi.org/10.3390/metabo10120497
APA StyleGrzegorczyk-Karolak, I., Krzemińska, M., Kiss, A. K., Olszewska, M. A., & Owczarek, A. (2020). Phytochemical Profile and Antioxidant Activity of Aerial and Underground Parts of Salvia bulleyana Diels. Plants. Metabolites, 10(12), 497. https://doi.org/10.3390/metabo10120497

