Abstract
The dynamic development of information and communication technology (ICT) reported in recent years has caused significant changes in almost all areas of social and economic life. The digitalization process resulting from this development is now becoming a determinant of both progress and modernity. This issue has been addressed in this paper, and thereby we present a methodology developed to study the level of digitalization and the use of innovative technologies among the enterprises of the EU-27 countries. The research was conducted using selected indicators—determinants (10) characterizing the main digital technologies and infrastructure associated with their implementation in the enterprises under study. Based on these indicators, the Entropy-Multi-Objective Optimization on the basis of Ratio Analysis (MOORA) method was used to determine the index (level) of digitalization among the companies of the EU-27. The level of use of digital technologies and infrastructure for Industry 4.0 was also determined. Another important goal of the study was to determine a relationship between the values of the digitalization index for the EU-27 countries and the economic parameters characterizing their economies. For this analysis, non-parametric tests such as the Kendall’s Tau and Spearman’s rank correlation coefficients were applied. The results significantly enrich the knowledge of methodology for studying the level of digitalization and its status among the enterprises of the EU-27. These findings provide great opportunities for interpretation and practical application, especially in terms of building an innovative knowledge-based economy. They show great diversity of the EU-27 countries in the field of digitalization and poor results reported in this area by the so-called “new EU” countries. Among the many interesting findings, it is worth pointing out the positive impact of spending on research and development on the process of digitalization of enterprises. The results should be used when creating a digitalization strategy for individual countries and their groups.
1. Introduction
The digital transformation process that has been ongoing for many years in the global economy is closely linked to the idea of Industry 4.0 and is driven by innovative digital technologies [1,2]. In recent years, this process has been gaining momentum, covering virtually all areas of life. Particularly intensive changes are taking place in manufacturing and service companies which, as a result of high competition, must quickly adapt to the changes associated with the digitalization of the economy [3,4]. Striving for competitive advantage, digital technologies associated with the idea of Industry 4.0 are increasingly being used by these companies [5], which is also strongly influenced by the open innovation (OI) model used by them to an increasing extent [6,7]. This approach contributes to the development of collaborations between people and organizations outside a given company and enables very effective knowledge sharing. Among the most important technologies that are related to the idea of Industry 4.0 and contribute to the development of digital economy, the following can be mentioned: System Integration, Big Data and Analytics, Cloud Computing, Simulation, Additive Manufacturing, Cyber-Physical System, Cybersecurity, Collaborative Robotics, and Augmented Reality [8,9]. The multitude of these solutions and their increasing availability force companies to quickly familiarize themselves with them and evaluate the possibility of using them in their business [10]. Despite the expanding and available knowledge of the possibilities of using modern digital solutions and their popularity, in many cases companies have problems with their implementation [11]. This problem can also be observed in the countries of the European Union (EU), which sees a huge potential in the digitalization process when building a competitive and innovative knowledge-based economy.
Despite the high availability of digital technologies in the market, the degree of their use among the companies of the EU-27 is unsatisfactory. Therefore, for many years, actions have been taken to promote and encourage their wider use. This is confirmed by a number of acts, documents, and programs developed and adopted by the EU, such as: “ Digital Agenda for Europe” [12], “European Broadband: Investing in Digitally Driven Growth” [13], “Towards a Thriving Data-Driven Economy” [14], “The Digital Single Market Strategy” [15], “Building a European Data Economy” [16], “Information Society” [17], “Age of Artificial Intelligence: Towards a European Strategy for Human-Centric Machines” [18], and “The Digital Europe Programme” [19].
In addition to these documents, individual member states have developed and adopted their strategies related to the digitalization and implementation of modern technologies associated with the idea of Industry 4.0. Individual countries are increasingly aware that investments in building an innovative digital economy are currently some of the most desirable and profitable. The size and scale of these investments are now a measure of civilization development for individual countries.
As already mentioned, the importance of the digitalization process for companies and the whole economy is well understood in the EU-27, because it is obvious that countries/groups of countries where the digital transformation process is at a high level can gain a competitive advantage. Business activities in such countries, based on modern and innovative solutions, are also more resistant to crises and market changes. Their advantage is production flexibility and ability to quickly adapt to customer needs, which makes these companies well perceived by customers and usually more effective than those not using digital solutions. These features have been particularly evident during the ongoing pandemic caused by the SARS-CoV-2 coronavirus [20].
In the case of the EU-27, the problem is related to the high fragmentation of its structure (as many as 27 countries) and the different levels of economic development and wealth of individual countries. This uneven level also results in large differences between individual countries in terms of the digitalization process (use of technologies related to Industry 4.0) and the use of innovative technologies. These differences mean that the assessment of the implementation of assumptions about the level of digitalization of the entire EU-27 economy must also take into account countries characterized by disruptions to this process.
The different levels of economic development of the EU-27 Member States, and thus the advancement of digitalization processes and the use of innovative technologies, justify conducting research to assess the level of these processes among the enterprises of individual EU-27 countries. In order to achieve the research objective, the following research questions need to be answered:
- Which digital technologies (related to the Industry 4.0 idea) are used among the enterprises of EU-27 countries?
- What is the level of implementation of the Industry 4.0 technologies in individual EU-27 countries and are there any interdependencies between these technologies?
- Is there a relationship between the index (level) of digitalization and the economic parameters of EU-27 countries?
In order to answer the above questions, research was carried out based on 10 selected indicators (determinants) characterizing the main digital technologies and the infrastructure associated with their implementation in the companies of the EU-27. Analytical methods were used for the study.
Given the timeliness and importance of the subject matter undertaken, as well as the adopted scope of research and its methodology, it is possible to identify factors that prove the originality of this study.
The first such factor is the assessment of the relationship (correlation) between digital technologies and infrastructure for Industry 4.0 implemented by the companies of the EU-27. This part of the research will identify the co-occurrence of digital technologies in the companies under study. The second factor concerns the determination of the index (level) of digitalization of studied enterprises. The originality of this paper is also evidenced when considering the analysis of whether and which economic parameters affect the digitalization index among the enterprises in question. In this case, the originality is evidenced by both the selection of these parameters and the determined relationships.
Another crucial factor, also testifying to the originality of the study, are the methods used to conduct research. To determine the index of digitalization, a hybrid method—namely MCDM (the Entropy-Multi-Objective Optimization on the basis of Ratio Analysis (MOORA) method)—was used, and to determine a relationship between the index of digitalization and economic parameters, non-parametric tests, such as the Kendall’s Tau and Spearman’s rank correlation coefficients, were applied. Undoubtedly, the use of these methods increases the scientific value of the research and gives credibility to the results.
It is also important to emphasize the significant utilitarian value of the research and its findings. The diagnosis of the level of digitalization and the determined levels of the use of innovative technologies among the enterprises of the EU-27 should enable a comprehensive approach to the process of digital transformation, taking into account differences between these countries.
2. Literature Review
Topics related to the study of the level of digitalization and use of innovative technologies in manufacturing companies have been present in the literature for years and concern various aspects. The presented review focuses on presenting the most relevant studies on technologies related to the concept of Industry 4.0 and the open innovation (OI) model, as well as the impact of the digitalization process on economic parameters.
The literature review was related to the research questions formulated in this paper, as it refers to the key and necessary elements connected with the digitalization of enterprises in the EU-27 countries, i.e., digital technologies and innovation, as well as correlations between these elements and economic parameters.
2.1. Industry 4.0 Technologies and Open Innovation
While the fourth industrial revolution has been developing in the global economy for many years, the term Industry 4.0 was first used at the Hannover Fair in 2011 as part of the presentation of a high-tech strategy aimed at meeting new economic challenges and ensuring the competitiveness of the German manufacturing industry [21]. This term refers to the dynamic changes in the global economy caused by the development of modern technologies. Over time, the industrial application of these technologies and the resulting development of various types of solutions began to be used in other areas as well, and now this influence is present in almost all spheres of life. The term Industry 4.0 is most often used in Europe, while in the USA the concept is called Internet Industry of Things or smart manufacturing [22].
The European concept seems to be much broader, which has been confirmed by many researchers indicating that Industry 4.0 is a combination of advanced information technologies based on integrated and increasingly intelligent software systems that enable the connection of all production units present in the economic system [23,24,25]. Of key importance in this process is also the development of sensor-based systems and their integration enabling the registration of many parameters of machine operation, which in turn can be used to optimize processes and monitor their work [26,27,28]. Consequently, the results of such analyses can be used for intelligent support of the process of managing machines and whole processes [29,30,31].
The Industry 4.0 concept is also associated with a number of new, innovative technologies, the development of which—and, above all, the possibility of practical application—is possible thanks to the development of information and communication technology (ICT) systems. The basic technologies related to the Industry 4.0 concept are presented in Figure 1 and their brief characteristics in Table 1.
Figure 1.
Basic Industry 4.0 technologies.
Table 1.
The summary of models to determine the digital maturity of enterprises (own elaboration based on [32,33,34,35,36,37,38,39]).
The digital technologies discussed above, and their solutions, are of great importance to today’s economy and other areas of life. When it comes to business activities, each of these technologies poses a huge challenge for a company. These are very modern solutions, in many cases still under development, which may cause many problems in their implementation. Companies have to consider both advantages and disadvantages of such solutions, possibilities of their use, costs and potential profits connected with their application (e.g., time of return on investment), as well as their resources. In this regard, the most important are human resources that have appropriate competencies to implement and use (operate) solutions based on modern technologies. Therefore, the process of gaining knowledge of these technologies and their use becomes crucial. The concept of Open Innovation (OI) [7,40,41,42], which assumes the exchange of information and the flow of knowledge, ideas, and technologies that accelerate the innovation process between entrepreneurs and other (e.g., scientific and research) entities, creates great opportunities in this respect. Open Innovation in Industry 4.0 is extremely important due to the use of external knowledge to adapt new technologies, which is particularly relevant for companies with limited resources. With such dynamically developing technologies, and thus shortening the product life cycle, IO creates opportunities for companies to effectively increase their innovation based on the latest solutions [43]. Therefore, it is fully justified for enterprises to use open models of cooperation involving knowledge exchange, which must take place in an innovative environment [44]. In the era of Industry 4.0, IO, in addition to acquiring innovative technologies, should also be seen as a way to achieve sustainable competitive advantage and create enterprise value through open collaboration, co-operation, and co-opetition [45,46]. The research results presented in one study [47,48,49] show that the IO concept works well for both large enterprises and small and medium-sized enterprises (SMEs).
The presented literature review clearly indicates that, in the process of digitalization and implementation of innovative technologies in enterprises, human resources, knowledge, and the ability to adapt to changing environmental conditions are of key importance in addition to investment (financial) resources. The presented technologies reflect the trends in the world economy, related to the implementation of the Industry 4.0 idea, and the IO concept creates great opportunities for companies around the world to use the latest solutions. With regard to the assessment of the level of digitalization of enterprises in the EU-27, the inclusion of indicators characterizing these technologies and the Internet infrastructure seems fully justified and adequate to the current state and trends of economic development.
2.2. The Impact of Digitalization on Economy
The existing scientific literature provides a lot of information on the reasons for the economic growth observed in recent times. One of them is the dynamic development of new and innovative digital technologies, based on which revolutionary changes in production processes are taking place and are increasingly driving the observed economic growth [50]. The development of these technologies, including ICT, has also been widely documented in many interesting publications. One of the most significant lines of research that emerges from the analysis of these publications concerns the assessment of the impact of the use of modern technologies, including digital ones, on the economic growth of both developed and developing economies. In this context, a reverse analysis is also a very interesting topic, i.e., the impact of a high degree of economic development on the implementation of digital technologies, being one of the objectives of this paper.
The use of digital technologies contributes to changing the economic and social structure by influencing the economic growth and social welfare of groups that can quickly adapt to these changes [50,51]. Therefore, technology is one of the primary factors affecting economic growth [52,53].
Contemporary theories such as the neo-Schumpeterian theory [54] and the neoclassical growth theory [55,56] emphasize the existence of an important positive relationship between economic growth and ICT. They suggest that ICT makes a huge contribution to economic supply in the form of capital. This, combined with technological advances and increased worker competence, improves the efficiency of production processes. As a result, the field of ICT affects the growth of value added at the company and sector level, which leads to improved productivity and economic growth at the country level [57,58].
For years, many researchers [59,60,61,62,63,64,65,66] have been trying to answer questions (which undoubtedly complement the Solow–Swan model) about the role of technology and the manner of formally capturing the phenomenon of technological progress unexplained by this model [55,67]. In this field, the manifestations of this progress are considered, i.e., inventions, innovative solutions, research and development activities, as well as equipment and the use of IT infrastructure along with the application of advanced technologies (ICT). A very important objective of this research is also to determine the place of human capital in creating economic growth and technological progress.
It has long been recognized that digitalization (as a process of implementing new technologies) is one of the most important factors affecting economic development, as it raises the productivity of both capital and labor while lowering transaction costs and facilitating access to global markets [68]. It is also emphasized [69] that digital technologies play a key role in supporting economic prosperity in both developed and developing countries. Some researchers even believe that new digital technologies help developing economies to leapfrog even to the status of developed economies [70].
On the other hand, Billon et al. [71] indicate that information and communication technologies have a statistically significant impact on a country’s economic development as measured by GDP value. The authors conducted their study on a group of 142 countries. In turn, other authors [70] analyzed the contribution of digitalization to economic growth of 44 Sub-Saharan Africa (SSA) countries and compared it with the economies of 33 countries from the Organization for Economic Cooperation and Development (OECD). The results showed that digitalization had a positive impact on economic growth in both groups of countries. The authors showed that the impact of broadband Internet was minimal in SSA countries compared to the OECD countries, while the impact of mobile telecommunications was higher in SSA countries compared to the OECD counterpart.
Habibi and Zabardast [72], on the other hand, examined the impact of information and communication technology on the economic growth of the Middle East countries versus the economies of OECD countries. The results showed that information and communication technology solutions were positively related to economic growth in both groups of countries. On the other hand, Niebel [73] analyzed the impact of ICT on economic growth in developing, emerging, and developed countries. The results of these studies indicate that developing and emerging countries do not gain more from ICT investments than already developed economies. For the EU countries, some authors [74] showed a positive and strong effect of the use of information and communication technology infrastructure for digital technologies on economic growth in the EU-27 countries, but the magnitude of this effect varies depending on the type of infrastructure. On the other hand, Salahuddin and Gow [75] studied the effect of Internet use, financial development, and trade openness on economic growth. Their results indicate a positive and significant relationship between Internet use and financial development and economic growth. Zagorchev et al. [76] examined the impact of financial and information and communication technology development on economic growth in Central and Eastern European countries. The results revealed that financial development and increased investment in telecommunication technologies contribute significantly to GDP per capita growth. Etro [77], on the other hand, studied the macroeconomic effects of cloud computing technology adoption in the EU countries on economic growth. The results indicate that the rapid implementation and diffusion of cloud computing in the European economy could have a positive impact on GDP, employment, and new business creation.
When analyzing the discussed studies, it can be concluded that the impact of digitalization on economic development is an important, current, and relevant problem undertaken by many researchers. The approach to its analysis is very different, which is due to its complexity, the methodology used, and the access to reliable data necessary for such analyses. These works show that the assessment of the impact of the digitalization process among the enterprises of the EU-27 on their economic development has not been made in the scope covered in this study to date, which justifies undertaking this topic. Therefore, combining this problem with the assessment of the degree of digitalization and the use of new technologies seems fully logical and provides great opportunities to acquire new knowledge of these processes.
Thus, the results of the research presented in this paper should, first of all, extend and enrich the knowledge (and literature) in the field of the impact of innovative digital technologies and ICT infrastructure on economic growth in the EU-27 countries. The study will also constitute additional knowledge in the field of methodology for assessing the level of digitalization among a given group of countries. Thus, from both a scientific and a utilitarian point of view, this paper should represent a new and original approach to the assessment of the digitalization process and its impact on the economy of the EU-27 countries.
3. Materials and Methods
The section characterizes data used for the study and their source, as well as discusses the developed research methodology and applied methods.
3.1. Data
Statistical data from the statistical office of the European Union (EUROSTAT) were used for the study [78]. These data are from 2020 (for indicators: use of 3D printing; use of industrial or service robots; analysis of big data internally from any data source; enterprises sending eInvoices; ICT security measure used: VPN; and maximum contracted download speed of the fastest fixed line internet connection is at least 100 Mb/s but less than 500 Mb/s) and from 2021 (for indicators: enterprises using AI technologies; use of interconnected devices or systems that can be monitored or remotely controlled via the internet; purchase of cloud computing services used over the internet; and enterprises that have ERP software package to share information between different functional areas) and constitute current data on enterprise ITC usage. The data characterize the areas of ICT use in enterprises in terms of e-business, ICT security, and Internet connection. They concern enterprises classified according to NACE Rev. 2, without financial sector (ten or more employees and self-employed individuals) and inform the percentage of enterprises that use a given digital technology and a given speed of Internet connection, which characterizes the area of infrastructure (necessary to implement Industry 4.0 solutions).
Based on the literature review and the authors’ own experience, as well as the availability and completeness of data, a set of nine indicators characterizing the nine technologies used by enterprises and one indicator characterizing the infrastructure necessary for the implementation of the digitalization process was adopted for the study. The values of the indicators adopted for the research, for countries under study (EU-27), are presented in Table 2.
Table 2.
The summary of values of indicators characterizing the use of digital technologies and applied infrastructure for Industry 4.0 among enterprises in individual EU-27 countries (own elaboration based on [78]).
3.2. Methods
The following methods were used to conduct the study:
- Descriptive statistics (mean, median, kurtosis, coefficient of variation, skewness, variance, and standard deviation) and the Pearson’s correlation coefficient (to analyze the relationship between the adopted indicators);
- The Entropy-MOORA method (to determine the value of the digitalization index);
- Non-parametric tests such as the Kendall’s Tau and Spearman’s rank correlation coefficient (to analyze the influence of economic parameters on the value of the digitalization index).
The following subsections characterize these methods and discuss the purpose of their application.
3.2.1. Multi-Objective Optimization on the Basis of Ratio Analysis Methods
The digitalization index for each country was determined using the Multi-Objective Optimization on the basis of Ratio Analysis (MOORA) method. This method is one of the multi-criteria decision optimization methods and allows for the evaluation of the variants (EU countries) in terms of criteria (indicators) included in this evaluation [79].
To determine the digitization index by the MOORA method, the following steps need to be taken:
- Create a decision matrix X with m number of alternatives and n number of criteria according to Equation (1):
- 2.
- Create a normalized decision matrix:
- 3.
- Calculate the normalized score value for each alternative, considering all the existing alternatives. In fact, the final score of each variants is determined by Equation (3):
The index represents the MOORA score for the i-th alternative, while j = 1, 2, 3…t, and j = t + 1, t + 2…n refer to the objectives that must be maximized (beneficial criteria) and minimized (non-beneficial criteria), respectively. As, when evaluating alternatives, weights are considered in terms of certain criteria, the MOORA score for each alternative is determined by Equation (4):
where wj is weight of the i-th criterion.
In the final ranking, the variant with the highest score is considered the best option and the one with the lowest score the worst option.
The Entropy method was used to determine weights for the adopted digital technologies and infrastructure for Industry 4.0 (indicators). The main steps for determining weights in this method are as follows:
- 4.
- Create a decision matrix (according to Equation (1));
- 5.
- Create a normalized decision matrix (Equation (5)):
- 6.
- Determine value of Entropy, according to equation (Equation (6)):where k = 1/ln(m) and nij is the proportion of samples in time t in the i indicator.
- 7.
- Determine the level of Entropy variation for each criterion (the degree of divergence of ratings in relation to subsequent criteria):
- 8.
- Determine weights of the criteria from Equation (8):
The values of weights determined from Equation (8) are used in the MOORA method (Equation (4)).
3.2.2. Non-Parametric Tests
To determine the impact of economic development of a country on the level of digitalization, non-parametric tests were used, based on which the Kendall’s Tau and Spearman’s rank correlation coefficients were determined. Parameters characterizing the economic level of the studied countries were: value of GDP, value of GDP per capita, gross value added, gross domestic expenditure on Research and Development (R&D), and business enterprise expenditure on R&D by NACE Rev. 2 activity. The parameter characterizing the level of digitalization was the value of the digitalization index determined by the MOORA method (from Equation (4)).
The Kendall’s Tau correlation coefficient was determined from Equation (9):
The value of this coefficient takes values in the the interval between +1 and −1. The value “−1” indicates total data contradiction, the value “0”—no matching (no ordering correspondence), and the value “1”—full matching (full correspondence).
The second non-prarametric test was the Spearman’s rank coefficient, which was determined from Equation (10):
This coefficient also takes values in the interval between +1 and −1. The lower limit of the Spearman’s coefficient value is reached when the random variables are oppositely monotonic, while the upper limit is reached when the variables are semi-monotonic.
There is a relationship between the Kendall’s tau coefficients and the Spearman’s rank coefficient as described in Equations (11) and (12).
4. Results
With the use of the discussed methods and the developed methodology, a study was conducted, the results of which are presented in this section. The results obtained from each stage of the analysis have been supplemented with brief comments.
Analysis of Used Digital Technologies and Infrastructure for Industry 4.0 among the Enterprises of the EU-27
The indicators adopted for the study, characterizing the implemented digital technologies and infrastructure for Industry 4.0 among the enterprises of the EU-27 countries, were subjected to preliminary analysis and their basic statistical parameters were determined, which are summarized in Table 3. In turn, Figure 2 presents the percentage of enterprises using these technologies and infrastructure for Industry 4.0 in individual EU-27 countries.
Table 3.
Basic static parameters of studied variables.

Figure 2.
The use of studied digital technologies and infrastructure for Industry 4.0 among the enterprises of individual EU-27 countries ((a)—Enterprises using AI technologies; (b)—Use of interconnected devices or systems that can be monitored or remotely controlled via the internet (Internet of Things); (c)—Use of 3D printing; (d)—Use of industrial or service robots; (e)—Analysis of big data internally from any data source; (f)—Purchase of cloud computing services used over the internet; (g)—Enterprises sending eInvoices, suitable for automated processing; (h)—Enterprises that have ERP software package to share information between different functional areas; (i)—ICT security measure used: VPN; and (j)—The maximum contracted download speed of the fastest fixed line internet connection is at least 100 Mb/s but less than 500 Mb/s).
When analyzing the results in Table 3, it was found that the most widely used technology among studied enterprises is cloud computing services. On average, the use of this technology was declared by more than 42% of enterprises across the EU-27, with the highest percentage in Finland and Sweden (75% each) and the lowest in Romania (14%) and Bulgaria (13%) (Figure 2). The second most popular technology was reported to be the use of network security in the form of VPN (Virtual Private Network). On average, this protection is used by 40.3% of all enterprises in the EU-27. In Denmark, VPN was found to be used by the highest number of enterprises (62%) and in Romania by the lowest (only 15%) number of enterprises. The least used technologies were reported to be 3D printing and the use of robots. On average, these technologies were found to be used by 4.59% and 6.44% of enterprises in the EU-27, respectively. Additionally, 3D printing was found to be most popular in Germany, where it is used by 9% of enterprises, and least popular in Ireland, Greece, Spain, Latvia, and Romania (only 2% of enterprises use this technology). When it comes to the use of industrial and/or service robots, this technology was found to be used to the greatest extent by enterprises in Denmark (13%) and to the least extent in Ireland (only 2%).
In terms of the infrastructure used for Industry 4.0, i.e., Internet connection speed from 100 Mbps to 500 Mbps, it was found that this speed is used, on average, by less than 30% of enterprises. The highest number was reported for Sweden (42%), followed by Denmark and Portugal (41% each) and Romania (40%), and the lowest for Croatia (17%).
The skewness coefficient for digital technologies used among the enterprises of the EU-27 countries—such as artificial intelligence, IoT, 3D printing, robotization, big data analysis, cloud computing, and integration with customers/suppliers—was found to take positive values. Only technologies such as integration of internal processes, cybersecurity, and infrastructure for Internet connection technologies were found to be at a higher level than the EU average.
When analyzing the kurtosis coefficient values, it was shown that the use of technologies such as 3D printing, big data analysis, cloud computing, integration of internal processes, cybersecurity, and infrastructure for these technologies, in many EU-27 countries, is significantly different from the EU average. This means that a few countries use them to a large extent, while others significantly deviate from the leaders.
In the next stage of the research, we investigated whether the use of digital technologies and infrastructure for Industry 4.0 presented in Table 1 by the enterprises of the EU-27 correlated with one other. For this purpose, correlation coefficients between digital technologies and infrastructure for Industry 4.0 were determined (Table 4). It was shown that many technologies have statistically significant correlations with one another. The highest value of the correlation coefficient was reported between AI technologies and robotization and cybersecurity, 3D printing and cybersecurity, big data and cybersecurity, and cloud computing and cybersecurity (correlation coefficient value above 0.7). Additionally, a significant correlation was found between AI technologies and 3D printing, robotization and 3D printing, big data analysis and AI, integration of internal processes and AI, and integration of internal processes and robotization. Integration with customers/suppliers’ technology correlated only with robotization and cloud computing.
Table 4.
Correlation coefficients between the indicators (determinants) adopted for the study (for significance level p < 0.005).
However, no correlation was found between the use of technologies in enterprises such as AI and IoT or 3D printing and IoT, big data analysis, or robotization, among others. A negative correlation was reported only between the use of big data analysis technology and IoT. All statistically significant relationships are marked in Table 4 in bold.
In the next part of the research, with the use of the Entropy-MOORA method, the authors determined a digitalization index and made a ranking of the studied EU-27 countries in terms of the level of digitalization (the extent of implemented digital technologies and used infrastructure for Industry 4.0) among the enterprises in the countries under study. The determined values of the weights for the indicators used in the study are presented in Figure 3.
Figure 3.
The values of weights for the indicators adopted for the study.
The highest weight value was assigned to IoT technology and the lowest to integration with customers/suppliers. The value of the assigned weights results from entropy, i.e., the degree of disorder within the studied population of countries. This allowed the authors to determine the significance of individual indicators based on the divergence of their values.
Next, with the MOORA method, the digitalization index values for each country were determined (Figure 4).
Figure 4.
The digitalization index values for the EU-27 countries.
The highest value of this index was found in Denmark, Finland, and Belgium, and the lowest in Hungary, Bulgaria, and Romania. As many as 13 countries did not reach the average value for the EU-27, and as many as 11 of them belong to the “new union” group of countries. These countries were admitted to the EU after 2004. These were the Czech Republic, Croatia, Estonia, Cyprus, Lithuania, Slovakia, Poland, Latvia, Hungary, Bulgaria, and Romania. Therefore, companies in these countries are much slower to introduce digital solutions than in the so-called “old Union” (EU-14) countries. The main reasons for this are the economy and the lack of qualified personnel. It is obvious that the digitalization process requires huge financial investments and significant economic and social changes. According to some research [80], only 13% of entities operating in the “new union” declare that they have a digital transformation strategy for the economy or are working on its implementation.
Thus, it is not surprising that the designated values of the business digitalization index for this group of countries are at a low level. In addition to economic aspects, many other factors influencing this state can also be identified [81,82]. These include, among others, the short time of implementation of a free market economy in these countries, which results in the lack of experience of the management, and thus no awareness of the need for change. Additionally, the relatively low expenditure on research means that the innovativeness of these countries, despite significant improvement in recent years, is still low compared to the “old EU” countries. Undoubtedly, a positive factor is the growing social awareness, mainly in the young generation, of building a modern and competitive knowledge-based economy. Thus, the innovative approach of the young generation can be a great opportunity to achieve success in digitalizing enterprises in these countries.
After determining the digitalization index for individual EU-27 countries, two non-parametric tests were performed to determine a relationship between the values of this index and the basic economic parameters of the economies of studied countries. The economic parameters used for this analysis were: value of GDP, value of GDP per capita, gross value added (as % of GDP), gross domestic expenditure on R&D (as % of GDP), and business enterprise expenditure on R&D by NACE Rev. 2 activity (as % of GDP). Figure 5 shows these values.
Figure 5.
Basic economic parameters of EU-27 adopted for the study (own elaboration based on [78]) ((a)—value of GDP and GDP per capital; (b)—gross value added; and (c)—value of gross domestic expenditure on R&D (as % of GDP) and business enterprise expenditure on R&D by NACE Rev. 2 activity).
All these values characterized the EU-27 countries in 2020. In terms of value of GDP, the leader among the EU-27 countries is Germany and the runner-up is France; while the lowest value of GDP, in turn, was found for Cyprus and Malta. In terms of value of GDP per capita, Luxembourg is the leader and Ireland is the runner-up. The least wealthy countries in this respect are Romania and Bulgaria. Gross domestic expenditure on R&D (as % of GDP) [83] is a very important economic parameter that characterizes approach to innovation and competitiveness of a country. The leader in R&D expenditures (as % of GDP) is Sweden (4%), followed by Belgium, Denmark, Germany, Austria, and Finland (3%). The worst situation in this respect is in Romania, which devotes less than 1% of its GDP to R&D activities.
In this regard, there are significant differences for individual EU-27 countries, which results from their full autonomy in determining the expenditure on R&D, which is a certain percentage of GDP. However, the size of these expenditures can be treated as a measure of a country’s determination to build an innovative economy.
Based on the values of economic parameters adopted for the study and the digitalization index, the Spearman’s rank correlation coefficient and the Kendall’s Tau Correlation Coefficient were determined for the entire European community. The results of the calculations are presented in Table 5. All statistically significant relationships are marked in Table 5 in bold.
Table 5.
The Spearman’s rank correlation coefficient and the Kendall’s Tau Correlation Coefficient between the value of the digitalization index and the basic economic parameters of the EU-27 economy.
The results indicate that the values of the Spearman’s rank correlation coefficients are significantly higher than the values of the Kendall’s Tau coefficients. This means that the strength of the relationship between the digitalization index and the studied economic parameters of the EU-27 economies was found to be higher for the Spearman’s rank correlation coefficients.
Statistically significant positive relationships were reported between the digitalization index and value of GDP per capita, value of gross domestic expenditure on R&D, and value of business enterprise expenditure on R&D by NACE Rev. 2 activity. On the other hand, statistically insignificant relationships were reported between this index and value of GDP and gross value added.
Thus, it can be concluded that a relatively high economic level, measured by GDP per capita, is indeed strongly associated with the level of business digitalization in the EU-27. On the other hand, no statistically significant evidence was found as to a high economic level of a country, measured by GDP and Gross value added (as % of GDP value), showing a relationship with a high level of business digitalization in the EU-27. However, it is very important to confirm that both the value of gross domestic expenditure on R&D (as % of GDP) and business enterprise expenditure on R&D by NACE Rev. 2 activity (as % of GDP) show a link with the level of business digitalization. Thus, a direct link can be noted between R&D expenditures and the development of digitalization and the introduction of innovative technologies.
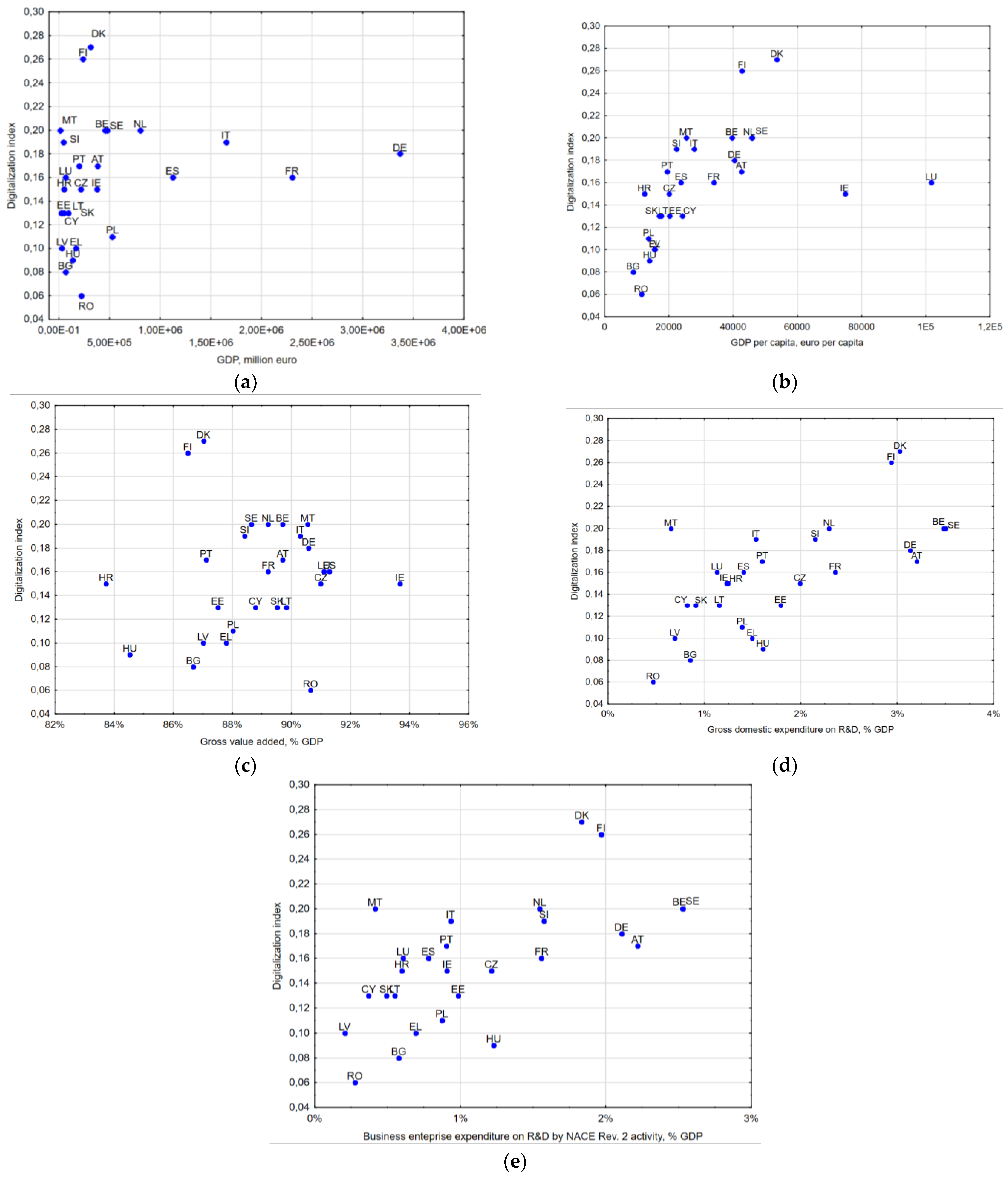
For a more detailed analysis and comparison of the relationship between the digital-ization index values and the economic parameters adopted for the study for each country, Figure 6 shows these correlations.
Figure 6.
The relationships between the digitalization index values for individual EU-27 countries and their economic parameters ((a)—Digitalization index vs. GDP; (b)—Digitalization index vs. GDP per capita; (c)—Digitalization index vs. gross value added; (d)—Digitalization index vs. Gross domestic expenditure on R&D; and (e)—Digitalization index vs. Business enterprise expenditure on R&D by NACE Rev. 2 activity).
5. Discussion and Conclusions
The development of digital technologies has caused enormous changes in the activities of companies around the world. This applies to both organizational and technical aspects of production and service processes, as well as to marketing and social issues, and above all to the product offerings of these processes. These changes are mainly caused by the development of an innovative economy based on new and widely available innovative solutions. Of key importance in this process is the concept of Open Innovation allowing entrepreneurs easy access to new solutions both horizontally (from other entrepreneurs) and vertically (from research and development units). The effect of this process, which has a global character, is the dynamic development of information and communication technology and other technologies related to the Industry 4.0 concept.
These technologies, integrated even with conventional and organizational capabilities of enterprises, are currently the source of competitive advantage, i.e., the key success factor in the activity on local and supra-local markets. The great advantage of these technologies and the whole process of digitalization is their enormous development potential and the possibility of application in practically every industry and sector for the implementation of business processes. The whole digital transformation of enterprises is a comprehensive process driven mainly by digital technologies and playing an important role in achieving a company’s goals, as well as having an impact on a country’s economy, society and the environment [84].
The fact that a modern digital economy is based on digital technologies [85] was noticed many years ago, also in the EU. For many years, it has been promoted that companies build their business by implementing and using modern technologies and solutions based, among others, on the Internet. However, the processes associated with this do not proceed at the same pace in all EU-27 countries, as clearly shown by the results of this study. The main aim of the study was to diagnose the level of digitalization and related use of innovative technologies among the enterprises of the EU-27 countries. To achieve this task, 10 indicators characterizing the digitalization process in the EU-27 countries were selected and widely analyzed.
The digitalization index based on these indicators allowed the assessment of the digitalization level of individual countries and the relationship between its value and the economic parameters of these countries and the EU-27 as a whole. The research was conducted using descriptive statistical methods, including the Pearson’s correlation coefficient, non-parametric tests, and the Entropy-MOORA method.
It was shown that the most widely used digital technology is cloud computing, which is used on average by nearly 43% of enterprises in the EU-27. Of the enterprises that use cloud computing in the EU-27, the vast majority (79%) use it to host their e-mail systems. About two-thirds use the cloud for file storage (68%) and office software, such as word processing and spreadsheets (61%). More than half of the enterprises use the cloud for security software (59%) [86].
As cloud services are provided online, enterprises must have access to the Internet to use them. Therefore, it was examined how many enterprises in the EU-27 use Internet speeds between 100 Mbps and 500 Mbps. The results showed that, on average, only 30% of enterprises have a connection of this speed. Countries where a significant number of enterprises have a well-developed infrastructure for Industry 4.0—which in this case is the speed of the Internet connection—use digital technologies to a much greater extent. This applies to Denmark, Finland, Belgium, Sweden, and the Netherlands (Figure 2). These results clearly indicate how crucial, in terms of the digitalization process, adequate ICT infrastructure is, which is the basis for further expansion and implementation of digital technologies [66]. Thus, as indicated by one study [87,88,89], in order to implement and develop digital technologies in enterprises, it is necessary to invest at the national level in modern teleinformation infrastructure (broadband Internet, 5G, and 6G networks). Superfast optical connections and good cooperation in building a modern next-generation network—5G—can be important impulses for the development of many sectors of the European economy. An essential aspect of industrial networks used in enterprises is the need to ensure uninterrupted operation, which unfortunately is not provided by classical wireless networks based on WiFi 5 and 6 standards. Efficient and, at the same time, secure infrastructure for Industry 4.0 technology makes it possible to take full advantage of IIoT solutions, AI, and data analytics in the area of production and services, which ensures the continuity of systems and enables seamless vertical and horizontal integration in an enterprise [90,91].
To the smallest extent, companies from the EU-27 countries use 3D printing technology. Its relatively low use (EU-27 average is slightly more than 4%) results from the fact that it is primarily dedicated to industrial enterprises whose activities are related to the production of goods (products) in technological processes. This technology is most often used for prototyping or making models for internal company use (64%), prototyping and making models for sale (37%), and in production processes (36%) [92]. It is worth noting that the EU-27 countries are really interested in this technology and its possibilities. This is due to the fact that one of the most attractive features of 3D printing is the ability of mass customization. There are several industries that directly benefit from 3D printers’ ability to mass customize: dentistry, jewelry, and art. For years, global brands such as Nike and Adidas have been using 3D printers to produce custom shoes [93]. This technology has great potential and will likely be used in other industries. However, there are a number of barriers such as cost, competent workers, and consumer expectations that hinder its use. Consumers expect 3D products to compete with standard products in terms of cost and performance, which is difficult to achieve at this stage (especially cost). Barriers in the development of 3D printing are also copyright, lack of designers and experts, slow printing speed, limited object size, availability of raw materials for printing, the complexity of 3D software, and the sheer cost of printers [94,95,96]. Of course, with time, some of these barriers will fade away.
The use of advanced digital technologies such as AI by companies in the EU-27 is still relatively low. Especially in micro, small, and medium-sized enterprises, it is due to insufficient knowledge of the possibilities of these technologies and the benefits they can bring to a company. Another important aspect are financial barriers and uncertainty as to the profitability of implementing these solutions, as well as the lack of qualified staff. Introducing new, innovative technologies in a company requires a number of internal and external business process changes, and in many cases also changes in mentality, which is not an easy process. According to Conde and Twinn [97], artificial intelligence will increasingly transform the global economy. It is estimated that its development will increase the global economic output in 2030 by as much as about USD 13 trillion. This technology has a wide range of applications in different areas of life and economy. One of the factors facilitating the safe and efficient movement of goods and people is, for example, the possibility of forecasting the time of arrival and departure using AI. Examples include Uber and Lyft using AI-based applications to optimize their services [98]. The problem in implementing this technology is its complexity, which many companies, especially SMEs, with fewer resources, will not be able to handle very easily [99].
With regard to this area, it can be helpful to use solutions contained in the concept of open innovation, which in the light of the digitalization of companies can be a driving force and significantly accelerate this process [100]. In the light of the conducted research, countries of the so called “new union” seem to be an ideal area where digitalization is at a low level and the implementation of the IO concept gives great opportunities to benefit from the experience of other countries and companies [101,102,103]. The application and inclusion of the IO concept in the development strategy of this region should enable its rapid development and entry into new markets, while stimulating the activities of the “old union” countries (synergy phenomenon).
The research conducted also made it possible to identify technologies, the use of which is correlated. The results of the research indicate, for a start, that enterprises using cloud computing technology also use, to a significant extent, the following solutions: AI, IoT, 3D printing, or big data analysis. The use of technology integration of internal processes, in turn, is correlated with: AI, 3D printing, big data analysis, or robotization. Today, one of the most important technologies, regardless of the type of business, is cybersecurity technology [104]. Indeed, the increasing number of cybersecurity breaches has a negative impact on the efficiency of companies and can seriously hamper their business operations [90,105,106], as well as undermine the credibility of a company.
The use of digital technologies, especially the Internet, results in the increasing integration of machines and devices, which, combined with sophisticated sensory systems, generates large sets of diagnostic data. These data, thanks to AI systems, can be used to monitor and support process management. It is therefore clear that cybersecurity correlates with most of the technologies included in the research, especially with: AI, 3D printing, robotization, big data analysis, cloud computing, and integration of internal processes.
An important part of the research was to determine the digitalization index of the EU-27 countries (as a measure of implemented digital technologies). The results obtained indicate that its highest values were reported in Denmark, Finland, and Belgium, and the lowest in Hungary, Bulgaria, and Romania. In general, the results show that companies located in the so-called “old EU” do much better in implementing new digital technologies in their companies than the countries of the so-called “new Union”. The exceptions are Malta and Slovenia, which in terms of digitalization are ahead of such economic powers as Germany, Spain, and France. On the other hand, Greece, despite belonging to the “old Union” group, performs much worse than the “new Union” countries (Figure 4). The results obtained in this regard largely coincide with the EU DESI index [107], which is a measure of the digital growth of both economy and society.
The Digitalization Index of Enterprises also allowed the study of which economic parameters affect its value in the EU-27. The results of the analysis showed that these parameters are GDP per capita, the gross domestic expenditure on R&D, and business enterprise expenditure on R&D by NACE Rev. 2 activity. However, no relationship was found between the values of GDP and gross value added and the digitalization index (Table 5).
These results are consistent with the results of Habibi and Zabardast [72] and Billon et al. [71] who, in their studies, also showed that ICT affects economic growth measured by GDP per capita.
Additionally, other studies [108,109,110,111,112] indicate that innovative enterprises show a high correlation with economic growth of different groups of countries. The results presented in this study confirm that the introduction of digital technologies in enterprises is also related to the value of R&D and business enterprise expenditure on R&D by NACE Rev. 2 activity. Similar relationships were shown by Georgescu et al. [113]. Indeed, using canonical correlation, they showed that real GDP growth, unit labor cost growth, resource productivity, and R&D expenditure of GDP are related to the digitalization of economies.
To sum up, it can be said that the conducted research, especially in terms of determining the digitalization index and a relationship between its value and the economic level of a country/groups of countries is a new approach to the subject of assessing the level of digitalization. Therefore, they undoubtedly broaden the knowledge in this area. The results also made it possible to answer the research questions. Digital technologies used in the EU-27 enterprises were identified, the level of their implementation was determined, and the relationships between these technologies and their impact on the economic parameters of the entire EU27, as well as individual countries, were specified. The results also showed which of them is particularly important for building an innovative economy.
It is therefore reasonable that the governments of other EU-27 member states, and the EU as a whole, should take a more decisive and positive approach to financing research and development activities, both in individual countries and in companies or their industry groups. Therefore, if the EU countries are going to develop their economies and achieve higher economic growth, decisions and actions at the EU and national level have to be taken to promote investments in digitalization. External stakeholders and entrepreneurs should have an important voice in this matter. The institutional support should include increasing the share of public spending on the production of technological innovations from GDP, developing practices that encourage innovation projects based on R&D, as well as investing in education. Competent human resources are of great importance for the development of an innovative economy [114,115,116,117]. In order to develop modern digital technologies in companies and increase their competitiveness, the EU and individual countries must invest in the development of broadband networks (especially in smaller towns and villages) and cyber security. These measures should make it easier to do business and improve customer service and the competitiveness and efficiency of businesses.
Digital technologies, including industrial data analytics, AI, and infrastructure in-vestments, will increase the level of EU digitalization. At the same time, issues related to raising the professional skills of employees and the future workforce cannot be ignored. It is necessary at the national and European level to support education and training in technological innovation and its use in enterprises. Therefore, it is reasonable to create appropriate theoretical and practical programs and develop key directions of education in the EU-27 countries.
The results presented in the paper also have some limitations, which should be taken into account in future research on the process of digitalization of enterprises and economic growth of countries and their groups. The paper presents research results for the entire population of the EU-27 countries. However, the EU is a community of 27 countries characterized by considerable diversity. In addition, these countries can be divided into two subgroups, namely the countries of the so-called “old EU” and “new EU”. It would therefore be interesting to analyze both groups and compare them. Additionally, a breakdown by country should also provide new knowledge regarding the level of digitalization and its impact on growth and economic levels. The results of such analyses would provide an extended diagnosis of the current state of affairs, an assessment of the changes introduced in these countries and possibilities to develop strategies regarding the directions of their further development. It would also be valuable to refer to individual (most important) sectors and size of enterprises. The results would allow for an even more detailed analysis of the digitalization process and an assessment of the reasons for and barriers to the implementation of new technologies.
It can be assumed that, as the level of digitalization varies in individual countries, then in different sectors and enterprises depending on their size, it will probably be highly differentiated. However, obtaining data on the level of this diversity can introduce dedicated strategies and programs for individual industries or groups of companies.
Author Contributions
Conceptualization, M.T. and J.B.; methodology, J.B. and M.T.; software, M.T. and J.B.; formal analysis, J.B. and M.T.; investigation, J.B. and M.T.; resources, M.T. and J.B.; data curation, M.T. and J.B.; writing—original draft preparation, M.T. and J.B.; writing—review and editing, J.B. and M.T.; visualization, M.T.; supervision, M.T. and J.B.; project administration, M.T. and J.B.; and funding acquisition, M.T. All authors have read and agreed to the published version of the manuscript.
Funding
This publication was funded by the statutory research performed at Silesian University of Technology, Department of Production Engineering, Faculty of Organization and Management and Department of Safety Engineering, and Faculty of Mining, Safety Engineering and Industrial Automation.
Institutional Review Board Statement
Not applicable.
Informed Consent Statement
Not applicable.
Data Availability Statement
Not applicable.
Conflicts of Interest
The authors declare no conflict of interest.
References
- Hizam-Hanafiah, M.; Soomro, M.A. The Situation of Technology Companies in Industry 4.0 and the Open Innovation. J. Open Innov. Technol. Mark. Complex. 2021, 7, 34. [Google Scholar] [CrossRef]
- Schwab, K. The Fourth Industrial Revolution; Crown: New York, NY, USA, 2016; Volume 91. [Google Scholar]
- Saucedo-Martínez, J.A.; Pérez-Lara, M.; Marmolejo-Saucedo, J.A.; Salais-Fierro, T.E.; Vasant, P. Industry 4.0 framework for management and operations: A review. J. Ambient Intell. Humaniz. Comput. 2018, 9, 789–801. [Google Scholar] [CrossRef]
- Botha, A.P. Rapidly Arriving Futures: Future Readiness for Industry 4.0. S. Afr. J. Ind. Eng. 2018, 29, 148–160. [Google Scholar] [CrossRef] [Green Version]
- Bahrin, M.A.K.; Othman, M.F.; Azli, N.H.N.; Talib, M.F. Industry 4.0: A review on industrial automation and robotic. J. Teknol. 2016, 78, 137–143. [Google Scholar]
- Fayyaz, A.; Chaudhry, B.N.; Fiaz, M. Upholding Knowledge Sharing for Organization Innovation Efficiency in Pakistan. J. Open Innov. Technol. Mark. Complex. 2021, 7, 4. [Google Scholar] [CrossRef]
- Skordoulis, M.; Ntanos, S.; Kyriakopoulos, G.L. Environmental Innovation, Open Innovation Dynamics and Competitive Advantage of Medium and Large-Sized Firms. J. Open Innov. Technol. Mark. Complex. 2020, 6, 195. [Google Scholar] [CrossRef]
- Rüßmann, M.; Lorenz, M.; Gerbert, P.; Waldner, M.; Justus, J.; Engel, P.; Harnisch, M. Industry 4.0: The future of productivity and growth in manufacturing industries. Boston Consult. Group 2015, 9, 54–89. [Google Scholar]
- Wee, D.; Kelly, R.; Cattel, J.; Breunig, M. Industry 4.0-how to navigate digitization of the manufacturing sector. McKinsey Co. 2015, 58, 7–11. [Google Scholar]
- Sony, M. Key ingredients for evaluating Industry 4.0 readiness for organizations: A literature review. Benchmarking Int. J. 2019, 27, 2213–2232. [Google Scholar] [CrossRef]
- Sanders, A.; Elangeswaran, C.; Wulfsberg, J. Industry 4.0 implies lean manufacturing: Research activities in industry 4.0 function as enablers for lean manufacturing. J. Ind. Eng. Manag. 2016, 9, 811–833. [Google Scholar] [CrossRef] [Green Version]
- EUR-Lex. A Digital Agenda for Europe. Available online: https://eur-lex.europa.eu/legal-content/EN/TXT/PDF/?uri=CELEX:52010DC0245&from=en (accessed on 20 February 2022).
- EUR-Lex. European Broadband: Investing in Digitally Driven Growth. Available online: https://eur-lex.europa.eu/legal-content/EN/TXT/HTML/?uri=LEGISSUM:si0017&from=EN (accessed on 20 February 2022).
- EUR-Lex. Towards a Thriving Data-Driven Economy. Available online: http://eur-lex.europa.eu/legal-content/EN/TXT/?uri=COM%3A2014%3A0442%3AFIN (accessed on 20 February 2022).
- EUR-Lex. The EU’s New Digital Single Market Strategy. Available online: http://eur-lex.europa.eu/legal-content/EN/TXT/?uri=legissum:3102_3 (accessed on 20 February 2022).
- EUR-Lex. Building a European Data Economy. Available online: https://eur-lex.europa.eu/legal-content/EN/TXT/?qid=1521790097276&uri=CELEX:52017DC0009 (accessed on 20 February 2022).
- EUR-Lex. Information Society. Available online: http://eur-lex.europa.eu/summary/chapter/information_society.html?root_default=SUM_1_CODED%3D31&locale=en#s_1244 (accessed on 20 February 2022).
- European Commission. The Age of Artificial Intelligence: Towards a European Strategy for Human-Centric Machines. Available online: https://ec.europa.eu/jrc/communities/en/node/1286/document/age-artificial-intelligence-towards-european-strategy-human-centric-machines (accessed on 20 February 2022).
- The Digital Europe Programme. Available online: https://digital-strategy.ec.europa.eu/en/activities/digital-programme (accessed on 20 February 2022).
- Akram, U.; Fülöp, M.T.; Tiron-Tudor, A.; Topor, D.I.; Căpușneanu, S. Impact of Digitalization on Customers’ Well-Being in the Pandemic Period: Challenges and Opportunities for the Retail Industry. Int. J. Environ. Res. Public Health 2021, 18, 7533. [Google Scholar] [CrossRef] [PubMed]
- Kagermann, H.; Wahlster, W.; Helbig, J. Recommendations for Implementing the Strategic Initiative Industrie 4.0: Final Report of the Industrie 4.0 Working Group; Forschungsunion: Berlin, Germany, 2013. [Google Scholar]
- Mittal, S.; Khan, M.A.; Romero, D.; Wuest, T. A critical review of smart manufacturing & Industry 4.0 maturity models: Implications for small and medium-sized enterprises (SMEs). J. Manuf. Syst. 2018, 49, 194–214. [Google Scholar]
- Mosterman, P.J.; Zander, J. Industry 4.0 as a Cyber-Physical System Study; Springer: Berlin/Heidelberg, Germany, 2015; Volume 15, pp. 17–29. [Google Scholar]
- Dilberoglu, U.M.; Gharehpapagh, B.; Yaman, U.; Dolen, M. The role of additive manufacturing in the era of industry 4.0. Procedia Manuf. 2017, 11, 545–554. [Google Scholar] [CrossRef]
- Guoping, L.; Yun, H.; Aizhi, W. Fourth industrial revolution: Technological drivers, impacts and coping methods. Chin. Geogr. Sci. 2017, 27, 626–663. [Google Scholar]
- Uhlmann, E.; Hohwieler, E.; Geisert, C. Intelligent production systems in the era of Industrie 4.0—Changing mindsets and business models. J. Mach. Eng. 2017, 17, 5–24. [Google Scholar]
- Wan, J.; Tang, S.; Shu, Z.; Li, D.; Wang, S.; Imran, M.; Vasilakos, A.V. Software-defined industrial Internet of Things in the context of Industry 4.0. IEEE Sens. J. 2016, 16, 7373–7380. [Google Scholar] [CrossRef]
- Goezler, P.; Cato, P.; Amberg, M. Data Processing Requirements of Industry 4.0—Use Cases Forbig Data Applications. In Proceedings of the Twenty-Third European Conference on Information Systems (ECIS), Münster, Germany, 26–29 May 2015. [Google Scholar]
- Li, B.; Hou, B.; Yu, W.; Lu, X.; Yang, C. Alications of artificial intelligence in intelligent manufacturing: A review. Front. Inf. Technol. Electron. Eng. 2017, 18, 86–96. [Google Scholar] [CrossRef]
- Koren, Y.; Wang, W.; Gu, X. Value creation through design for scalability of reconfigurable manufacturing systems. Int. J. Prod. Res. 2017, 55, 1227–1242. [Google Scholar] [CrossRef]
- Oztemel, E. Intelligent manufacturing systems. In Artificial Intelligence Techniques for Networked Manufacturing Enterprises Management; Benyoucef, L., Grabot, B., Eds.; Springer: London, UK, 2010; pp. 1–41. [Google Scholar]
- Jamwal, A.; Agrawal, R.; Sharma, M.; Giallanza, A. Industry 4.0 Technologies for Manufacturing Sustainability: A Systematic Review and Future Research Directions. Appl. Sci. 2021, 11, 5725. [Google Scholar] [CrossRef]
- Korner, M.E.H.; Lambán, M.P.; Albajez, J.A.; Santolaria, J.; Corrales, L.C.N.; Royo, J. Systematic Literature Review: Integration of Additive Manufacturing and Industry 4.0. Metals 2020, 10, 1061. [Google Scholar] [CrossRef]
- Addo-Tenkorang, R.; Helo, P.T. Big Data Applications in Operations/Supply-Chain Management: A Literature Review. Comput. Ind. Eng. 2016, 101, 528–543. [Google Scholar] [CrossRef]
- Lee, J.; Davari, H.; Singh, J.; Pandhare, V. Industrial Artificial Intelligence for Industry 4.0-Based Manufacturing Systems. Manuf. Lett. 2018, 18, 20–23. [Google Scholar] [CrossRef]
- Bottani, E.; Vignali, G. Augmented Reality Technology in the Manufacturing Industry: A Review of the Last Decade. IISE Trans. 2019, 51, 284–310. [Google Scholar] [CrossRef] [Green Version]
- Goel, R.; Gupta, P. Robotics and industry 4.0. In A Roadmap to Industry 4.0: Smart Production, Sharp Business and Sustainable Development; Nayyar, A., Kumar, A., Eds.; Springer: Berlin/Heidelberg, Germany, 2020; pp. 157–169. [Google Scholar]
- Li, B.-H.; Zhang, L.; Ren, L.; Chai, X.-D.; Tao, F.; Wang, Y.-Z.; Yin, C.; Huang, P.; Zhao, X.-P.; Zhou, Z.-D. Typical Characteristics, Technologies and Applications of Cloud Manufacturing. Comput. Integr. Manuf. Syst. 2012, 18, 1345–1356. [Google Scholar]
- Culot, G.; Fattori, F.; Podrecca, M.; Sartor, M. Addressing Industry 4.0 Cybersecurity Challenges. IEEE Eng. Manag. Rev. 2019, 47, 79–86. [Google Scholar] [CrossRef]
- Chesbrough, H.W. Open Innovation: The New Imperative for Creating and Profiting from Technology; Harvard Business Press: Boston, MA, USA, 2003. [Google Scholar]
- Chesbrough, H. Open Business Models: How to Thrive in the New Innovation Landscape; Harvard Business Press: Brighton, MA, USA, 2006. [Google Scholar]
- Yun, J.J.; Kim, D.; Yan, M.-R. Open Innovation Engineering—Preliminary Study on New Entrance of Technology to Market. Electronics 2020, 9, 791. [Google Scholar] [CrossRef]
- Enkel, E.; Heil, S.; Hengstler, M.; Wirth, H. Exploratory and exploitative innovation: To what extent do the dimensions of individual level absorptive capacity contribute? Technovation 2017, 60, 29–38. [Google Scholar] [CrossRef]
- Chesbrough, H.; Vanhaverbeke, W.; West, J. Open Innovation: Researching a New Paradigm; Oxford University Press on Demand: Oxford, UK, 2006. [Google Scholar]
- Feng, H.; Wang, X.; Duan, Y.; Zhang, J.; Zhang, X. Applying blockchain technology to improve agri-food traceability: A review of development methods, benefits and challenges. J. Clean. Prod. 2020, 260, 121031. [Google Scholar] [CrossRef]
- Chesbrough, H. To recover faster from Covid-19, open up: Managerial implications from an open innovation perspective. Ind. Market. Manag. 2020, 88, 410–413. [Google Scholar] [CrossRef]
- Lichtenthaler, U. Open innovation in practice: An analysis of strategic approaches to technology transactions. IEEE Trans. Eng. Manag. 2008, 55, 148–157. [Google Scholar] [CrossRef]
- Lichtenthaler, U. Outbound open innovation and its effect on firm performance: Examining environmental influence. RD Manag. 2009, 39, 317–330. [Google Scholar] [CrossRef]
- Lee, S.; Park, G.; Yoon, B.; Park, J. Open innovation in SMEs—An intermediated network model. Res. Policy 2010, 39, 290–300. [Google Scholar] [CrossRef]
- World Bank (WB) Africa Infrastructure Country Diagnostics (AICD) (2015). Available online: https://www.icafrica.org/en/knowledge-hub/article/africas-infrastructure-a-time-for-transformation-9/ (accessed on 20 February 2022).
- Yoo, I.; Yi, C.-G. Economic Innovation Caused by Digital Transformation and Impact on Social Systems. Sustainability 2022, 14, 2600. [Google Scholar] [CrossRef]
- Samuelson, P.A.; Nordhaus, W.D. Economics, 19th ed.; McGraw-Hill Education Ltd.: New York, NY, USA, 2009. [Google Scholar]
- Zhou, G.; Luo, S. Higher Education Input, Technological Innovation, and Economic Growth in China. Sustainability 2018, 10, 2615. [Google Scholar] [CrossRef] [Green Version]
- Pyka, A.; Andersen, E.S. Introduction: Long term economic development: Demand, finance, organization, policy and innovation in a schumpeterian perspective. J. Evol. Econ. 2012, 22, 621–625. [Google Scholar] [CrossRef] [Green Version]
- Solow, R. A contribution to the theory of economic growth. Q. J. Econ. 1956, 70, 65. [Google Scholar] [CrossRef]
- Hahn, F.H. Neoclassical growth theory. In Economic Growth (The New Palgrave Economics Collection); Durlauf, S.N., Blume, L.E., Eds.; Palgrave Macmillan: London, UK, 2010. [Google Scholar] [CrossRef]
- Quah, D. Technology dissemination and economic growth: Some lessons for the new economy. In Technology and the New Economy; Bai, C.-E., Yuen, C.-W., Eds.; MIT Press: Cambridge, MA, USA, 2002; pp. 95–156. [Google Scholar]
- Aghaei, M.; Mahdieh, R. The impact of information and communication technology (ICT) on economic growth in the OIC Countries. Environ. Socio-Econ. Stud. 2017, 17, 255–276. [Google Scholar] [CrossRef]
- Barro, R.J. Convergence. J. Political Econ. 1992, 100, 223–251. [Google Scholar] [CrossRef]
- Lucas, R.E., Jr. On the mechanics of economic development. J. Monet. Econ. 1988, 22, 3–42. [Google Scholar] [CrossRef]
- Grossman, G.M.; Helpman, E. Innovation and Growth in the Global Economy; MIT Press: Cambridge, MA, USA, 1991. [Google Scholar]
- Glaeser, E.L.; La Porta, R.; Lopez-de-Silanes, F.; Shleifer, A. Do institutions cause growth? J. Econ. Growth 2004, 9, 271–303. [Google Scholar] [CrossRef]
- Acemoglu, D.; Robinson, J. Why Nations Fail: The Origins of Power, Prosperity, and Poverty; Crown Business: New York, NY, USA, 2012. [Google Scholar]
- Engelbrecht, H.J. Human Capital and Economic Growth: Cross-Section Evidence for OECD. Econ. Rec. Północne Palmerst. 2003, 79, 40–51. [Google Scholar] [CrossRef]
- Carlaw, K.; Lipsey, R. Productivity, Technology and Economic Growth: What is the Relationship? J. Econ. Surv. 2003, 17, 457–495. [Google Scholar] [CrossRef]
- Bahrini, R.; Qaffas, A.A. Impact of Information and Communication Technology on Economic Growth: Evidence from Developing Countries. Economies 2019, 7, 21. [Google Scholar] [CrossRef] [Green Version]
- Swan, T. Economic growth and capital accumulation. Econ. Rec. 1956, 32, 334–361. [Google Scholar] [CrossRef]
- Dahlman, C.; Mealy, S.; Wermelinger, M. Harnessing the Digital Economy for Developing Countries OECD, Paris (2016). Available online: http://www.oecd-ilibrary.org/docserver/download/4adffb24-en.pdf (accessed on 20 February 2022).
- Arendt, L. The digital economy, ICT and economic growth in the CEE countries. Olszt. Econ. J. 2015, 10, 247–262. [Google Scholar] [CrossRef]
- Myovella, G.; Karacuka, M.; Haucap, J. Digitalization and economic growth: A comparative analysis of sub-Saharan Africa and OECD economies. Telecommun. Policy 2020, 44, 101856. [Google Scholar] [CrossRef]
- Billon, M.; Lera-Lopez, F.; Marco, R. Differences in digitalization levels: A multivariate analysis studying the global digital divide. Rev. World Econ. 2010, 146, 39–73. [Google Scholar] [CrossRef] [Green Version]
- Habibi, F.; Zabardast, A.A. Digitalization, education and economic growth: A comparative analysis of Middle East and OECD countries. Technol. Soc. 2020, 43, 101370. [Google Scholar] [CrossRef]
- Niebel, T. ICT and economic growth comparing developing, emerging and developed countries. SSRN Elect. J. 2014, 104, 197–211. [Google Scholar] [CrossRef] [Green Version]
- Toader, E.; Firtescu, B.N.; Roman, A.; Anton, S.G. Impact of Information and Communication Technology Infrastructure on Economic Growth: An Empirical Assessment for the EU Countries. Sustainability 2018, 10, 3750. [Google Scholar] [CrossRef] [Green Version]
- Salahuddin, M.; Gow, J. The effects of Internet usage, financial development and trade openness on economic growth in South Africa: A time series analysis. Telemat. Inform. 2016, 33, 1141–1154. [Google Scholar] [CrossRef] [Green Version]
- Zagorchev, A.; Vasconcellos, G.; Bae, Y. Financial development, technology, growth and performance: Evidence from the accession to the EU. J. Int. Financ. Mark. Inst. Money 2011, 21, 743–759. [Google Scholar] [CrossRef]
- Etro, F. The economic impact of cloud computing on business creation, employment and output in Europe. Rev. Bus. Econ. 2009, 54, 179–208. [Google Scholar]
- Eurostat Database. Available online: https://ec.europa.eu/eurostat/web/main/data/database (accessed on 10 January 2022).
- Zavadskas, E.K.; Antucheviciene, J.; Kar, S. Multi-Objective and Multi-Attribute Optimization for Sustainable Development Decision Aiding. Sustainability 2019, 11, 3069. [Google Scholar] [CrossRef] [Green Version]
- Microsoft Digital Defense Report. Available online: https://download.microsoft.com/download/f/8/1/f816b8b6-bee3-41e5-b6cc-e925a5688f61/Microsoft_Digital_Defense_Report_2020_September.pdf (accessed on 10 January 2022).
- Vrchota, J.; Volek, T.; Novotná, M. Factors Introducing Industry 4.0 to SMES. Soc. Sci. 2019, 8, 130. [Google Scholar] [CrossRef] [Green Version]
- Jabłoński, M.; Jabłoński, A. Social Factors as a Basic Driver of the Digitalization of the Business Models of Railway Companies. Sustainability 2019, 11, 3367. [Google Scholar] [CrossRef] [Green Version]
- Kijek, T.; Kijek, A.; Matras-Bolibok, A. Club Convergence in R&D Expenditure across European Regions. Sustainability 2022, 14, 832. [Google Scholar] [CrossRef]
- Mondejar, M.E.; Avtar, R.; Diaz, H.L.B.; Dubey, R.K.; Esteban, J.; Gómez-Morales, A.; Hallam, B.; Mbungu, N.T.; Okolo, C.C.; Prasad, K.A.; et al. Digitalization to achieve sustainable development goals: Steps towards a Smart Green Planet. Sci. Total Environ. 2021, 794, 148539. [Google Scholar] [CrossRef]
- Rouse, M. Digital Economy, Techtarget, Newton, MA 2016. Available online: http://searchcio.techtarget.com/definition/digital-economy (accessed on 10 January 2022).
- Cloud Computing Used by 42% of Enterprises. Available online: https://ec.europa.eu/eurostat/web/products-eurostat-news/-/ddn-20211209-2 (accessed on 10 January 2022).
- Castelo-Branco, I.; Cruz-Jesus, F.; Oliveira, T. Assessing industry 4.0 readiness in manufacturing: Evidence for the European union. Comput. Ind. 2019, 107, 22–32. [Google Scholar] [CrossRef]
- Peres, R.S.; Jia, X.; Lee, J.; Sun, K.; Colombo, A.W.; Barata, J. Industrial Artificial Intelligence in Industry 4.0—Systematic Review, Challenges and Outlook. IEEE Access 2020, 8, 220121–220139. [Google Scholar] [CrossRef]
- Raj, A.; Dwivedi, G.; Sharma, A.; de Sousa Jabbour, A.B.L.; Rajak, S. Barriers to the adoption of industry 4.0 technologies in the manufacturing sector: An inter-country comparative perspective. Int. J. Prod. Econ. 2020, 224, 107546. [Google Scholar] [CrossRef]
- Corallo, A.; Lazoi, M.; Lezzi, M. Cybersecurity in the context of industry 4.0: A structured classification of critical assets and business impacts. Comput. Ind. 2020, 114, 103165. [Google Scholar] [CrossRef]
- Autenrieth, P.; Lörcher, C.; Pfeiffer, C.; Winkens, T.; Martin, L. Current Significance of IT-Infrastructure Enabling Industry 4.0 in Large Companies. In Proceedings of the 2018 IEEE International Conference on Engineering, Technology and Innovation (ICE/ITMC), Stuttgart, Germany, 17–20 June 2018. [Google Scholar] [CrossRef]
- Share of Companies Using 3D Printing in Poland and European Union in 2020. Available online: https://www.statista.com/statistics/1229268/poland-3d-printing-use-in-companies-by-purpose (accessed on 10 January 2022).
- Glenday, J. Adidas Races ahead of Nike with 3D Printed Shoe Mass Production First. Available online: http://www.thedrum.com/news/2017/04/07/adidas-races-ahead-nike-with-3d-printed-shoe-mass-production-first (accessed on 20 March 2021).
- Shukla, M.; Todorov, I.; Kapletia, D. Application of additive manufacturing for mass customisation: Understanding the interaction of critical barriers. Prod. Plan. Control. 2018, 29, 814–825. [Google Scholar] [CrossRef] [Green Version]
- Weller, C.; Kleer, R.; Piller, F.T. Economic Implications of 3D Printing: Market Structure Models in Light of Additive Manufacturing Revisited. Int. J. Prod. Econ. 2015, 164, 43–56. [Google Scholar] [CrossRef]
- Kietzmann, J.; Pitt, L.; Berthon, P. Disruptions, Decisions, and Destinations: Enter the Age of 3-D Printing and Additive Manufacturing. Bus. Horiz. 2015, 58, 209–215. [Google Scholar] [CrossRef]
- Conde, M.L.; Twinn, I. How Artificial Intelligence is Making Transport Safer, Cleaner, More Reliable and Efficient in Emerging Markets 2019. Available online: www.ifc.org/thoughtleadership (accessed on 20 March 2021).
- Mhlanga, D. Artificial Intelligence in the Industry 4.0, and Its Impact on Poverty, Innovation, Infrastructure Development, and the Sustainable Development Goals: Lessons from Emerging Economies? Sustainability 2021, 13, 5788. [Google Scholar] [CrossRef]
- Hansen, E.B.; Bøgh, S. Artificial intelligence and internet of things in small and medium-sized enterprises: A survey. J. Manuf. Syst. 2021, 58, 362–372. [Google Scholar] [CrossRef]
- Jelonek, D. The Role of Open Innovations in the Development of e-Entrepreneurship. Procedia Comput. Sci. 2015, 65, 1013–1022. [Google Scholar] [CrossRef] [Green Version]
- Vrgović, P.; JošanovVrgović, I. Open innovation systems in developing countries: Sustainable digital networks and collaboration in smes. Dyn. Relatsh. Manag. J. 2018, 7, 5–11. [Google Scholar]
- Sağ, S.; Sezen, B.; Güzel, M. Factors That Motivate or Prevent Adoption of Open Innovation by SMEs in Developing Countries and Policy Suggestions. Procedia Soc. Behav. Sci. 2016, 235, 756–763. [Google Scholar] [CrossRef]
- Tereshko, E.; Romanovich, M.; Rudskaya, I. Readiness of Regions for Digitalization of the Construction Complex. J. Open Innov. Technol. Mark. Complex. 2021, 7, 2. [Google Scholar] [CrossRef]
- Lezzi, M.; Lazoi, M.; Corallo, A. Cybersecurity for Industry 4.0 in the current literature: A reference framework. Comput. Ind. 2018, 103, 97–110. [Google Scholar] [CrossRef]
- Ober, J.; Kochmańska, A. Adaptation of Innovations in the IT Industry in Poland: The Impact of Selected Internal Communication Factors. Sustainability 2022, 14, 140. [Google Scholar] [CrossRef]
- Wu, B.; Gong, C. Impact of Open Innovation Communities on Enterprise Innovation Performance: A System Dynamics Perspective. Sustainability 2019, 11, 4794. [Google Scholar] [CrossRef] [Green Version]
- DESI. Digital Economy and Society Index 2020. Available online: https://ec.europa.eu/digital-single-market/en/digital-economy-and-society-index-desi (accessed on 20 March 2021).
- Ivanović-Đukić, M.; Stevanović, T.; Rađenović, T. Does digitalization affect the contribution of entrepreneurship to economic growth? Proc. Rij. Fac. Econ. J. Econ. Bus. 2019, 37, 653–679. [Google Scholar]
- Valliere, D.; Peterson, R. Entrepreneurship and economic growth: Evidence from emerging and developed countries. Entrep. Reg. Dev. 2009, 21, 459–480. [Google Scholar] [CrossRef]
- Salango-Banda, H. Entrepreneurship and economic growth: An empirical analysis. J. Dev. Entrep. 2007, 12, 3–29. [Google Scholar]
- Sinha, M.; Sengupta, P.P. FDI Inflow, ICT expansion and economic growth: An empirical study on Asia-Pacific developing countries. Glob. Bus. Rev. 2019. [Google Scholar] [CrossRef]
- Dimelis, S.P.; Papaioannou, S.K. FDI and ICT effects on productivity growth: A comparative analysis of developing and developed countries. Eur. J. Dev. Res. 2010, 22, 79–96. [Google Scholar] [CrossRef]
- Georgescu, I.; Androniceanu, A.-M.; Kinnunen, J.; Drăgulănescu, I. Correlative Approach to Digitalization and Economic Growth. Available online: https://sciendo.com/article/10.2478/picbe-2021-0006# (accessed on 20 March 2021).
- Uğurluay, K.; Kirikkaleli, D. Sustainable Technology in High-Income Economies: The Role of Innovation. Sustainability 2022, 14, 3320. [Google Scholar] [CrossRef]
- Yun, J.J.; Yigitcanlar, T. Open Innovation in Value Chain for Sustainability of Firms. Sustainability 2017, 9, 811. [Google Scholar] [CrossRef] [Green Version]
- Jun, Y.; Kim, K. Developing an Open Innovation Attitude Assessment Framework for Organizations: Focusing on Open Innovation Role Perspective and Locus of Activity. Behav. Sci. 2022, 12, 46. [Google Scholar] [CrossRef] [PubMed]
- Lee, S.Y.; Jung, M. Exploring Competing Perspectives on How to Design Open Innovation Program for High School STEM Education: A Case Study. Educ. Sci. 2021, 11, 322. [Google Scholar] [CrossRef]
Publisher’s Note: MDPI stays neutral with regard to jurisdictional claims in published maps and institutional affiliations. |
© 2022 by the authors. Licensee MDPI, Basel, Switzerland. This article is an open access article distributed under the terms and conditions of the Creative Commons Attribution (CC BY) license (https://creativecommons.org/licenses/by/4.0/).






