SAgric-IoT: An IoT-Based Platform and Deep Learning for Greenhouse Monitoring
Abstract
:1. Introduction
2. Related Work
3. SAgric-IoT Platform Description
3.1. General Scenario
3.2. Layered IoT Architecture
3.2.1. Gathering Layer
3.2.2. Communication Layer
3.2.3. Processing Layer
3.2.4. End User Layer
3.2.5. Security Layer
3.3. Electronical Board
3.4. Proposed Dissemination Protocol
3.5. Convolutional Neural Network Model
3.5.1. Dataset
3.5.2. Model Creation
3.5.3. Model Training
4. Results
4.1. Prototype Evaluation
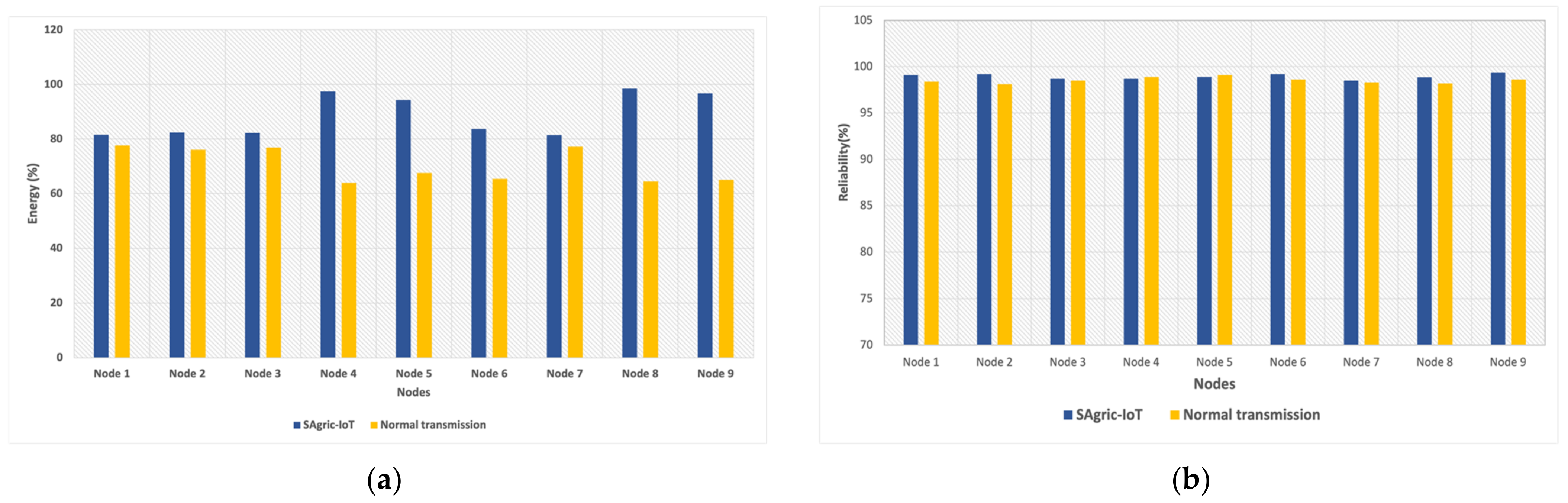
Scenarios Results
4.2. Model Evaluation
Results Obtained
5. Conclusions
Author Contributions
Funding
Institutional Review Board Statement
Informed Consent Statement
Data Availability Statement
Conflicts of Interest
References
- Alexandratos, N.; Bruinsma, J.; Alexandratos, N.; Bruinsma, J. World Agriculture towards 2030/2050: The 2012 Revision; 2012. Available online: https://ageconsearch.umn.edu/record/288998 (accessed on 21 December 2022).
- The Associated Press. Trump Winery Seeks More Foreign Workers This Season. In Denver Post; MediaNews Group: Denver, CO, USA, 2017; Available online: https://www.denverpost.com/2017/03/20/trump-winery-foreign-workers/ (accessed on 1 February 2023).
- European Environment Agency. Water for Agriculture. European Environment Information and Observation Network. Eionet: Copenhagen, Denmark. 2012. Available online: https://www.eea.europa.eu/articles/water-for-agriculture (accessed on 1 February 2023).
- CONAGUA. Estadísticas Del Agua En México 2014; Secretaría de Medio Ambiente y Recursos Naturales: Ciudad de México, Mexico, 2015; Available online: https://agua.org.mx/wp-content/uploads/2015/02/EstadisticasAguaenMexico2014.pdf (accessed on 1 February 2023).
- Hoekstra, A. The Water Footprint of Food; Water for food; University of Twente: Enschede, The Netherlands, 2008. [Google Scholar]
- Presidencia de la República. Se Han Sentado Las Nuevas Bases Del Sector Agropecuario, Afirma Presidente López Obrador al Informar Avances Para El Campo Mexicano. Gob. México 2019. [Google Scholar]
- FAO. Climate Change Fans Spread of Pests and Threatens Plants and Crops; FAO: Rome, Italy, 2021. [Google Scholar]
- Santoshkumar, K.C.; Chavhan, S. Development of Wireless Sensor Node to Monitor Poultry Farm. In Mobile Communication and Power Engineering; Das, V.V., Chaba, Y., Eds.; Communications in Computer and Information Science; Springer: Berlin/Heidelberg, Germany, 2013; Volume 296, pp. 27–32. ISBN 978-3-642-35863-0. [Google Scholar]
- Zhou, L.; Chen, N.; Chen, Z.; Xing, C. ROSCC: An Efficient Remote Sensing Observation-Sharing Method Based on Cloud Computing for Soil Moisture Mapping in Precision Agriculture. IEEE J. Sel. Top. Appl. Earth Obs. Remote Sens. 2016, 9, 5588–5598. [Google Scholar] [CrossRef]
- Srbinovska, M.; Gavrovski, C.; Dimcev, V.; Krkoleva, A.; Borozan, V. Environmental Parameters Monitoring in Precision Agriculture Using Wireless Sensor Networks. J. Clean. Prod. 2015, 88, 297–307. [Google Scholar] [CrossRef]
- Chen, N.; Zhang, X.; Wang, C. Integrated Open Geospatial Web Service Enabled Cyber-Physical Information Infrastructure for Precision Agriculture Monitoring. Comput. Electron. Agric. 2015, 111, 78–91. [Google Scholar] [CrossRef]
- Misra, S.; Krishna, P.V.; Saritha, V.; Agarwal, H.; Shu, L.; Obaidat, M.S. Efficient Medium Access Control for Cyber–Physical Systems with Heterogeneous Networks. IEEE Syst. J. 2015, 9, 22–30. [Google Scholar] [CrossRef]
- Behzadan, A.; Anpalagan, A.; Woungang, I.; Ma, B.; Chao, H.-C. An Energy-Efficient Utility-Based Distributed Data Routing Scheme for Heterogenous Sensor Networks: An Energy-Efficient Scheme for Heterogenous Sensor Networks. Wirel. Commun. Mob. Comput. 2015, 15, 2020–2037. [Google Scholar] [CrossRef]
- Dhurandher, S.K.; Sharma, D.K.; Woungang, I.; Saini, A. Efficient Routing Based on Past Information to Predict the Future Location for Message Passing in Infrastructure-Less Opportunistic Networks. J. Supercomput. 2015, 71, 1694–1711. [Google Scholar] [CrossRef]
- Du, L.; Gong, W.; Shi, S.; Yang, J.; Sun, J.; Zhu, B.; Song, S. Estimation of Rice Leaf Nitrogen Contents Based on Hyperspectral LIDAR. Int. J. Appl. Earth Obs. Geoinf. 2016, 44, 136–143. [Google Scholar] [CrossRef]
- Guzman-Sandoval, V.M.; Gaytan-Lugo, L.S.; Santana-Mancilla, P.C. I-Care: An IoMT Remote Monitoring System of Physiological Pain in Pediatric Patients. In Proceedings of the 2021 Mexican International Conference on Computer Science (ENC), Morelia, Mexico, 9 August 2021; pp. 1–4. [Google Scholar]
- Cambra, C.; Díaz, J.R.; Lloret, J. Deployment and Performance Study of an Ad Hoc Network Protocol for Intelligent Video Sensing in Precision Agriculture. In Ad-hoc Networks and Wireless; Garcia Pineda, M., Lloret, J., Papavassiliou, S., Ruehrup, S., Westphall, C.B., Eds.; Lecture Notes in Computer Science; Springer: Berlin/Heidelberg, Germany, 2015; Volume 8629, pp. 165–175. ISBN 978-3-662-46337-6. [Google Scholar]
- Barcelo-Ordinas, J.M.; García-Vidal, J.; Chanet, J.P.; Hou, J.M. A Survey of Wireless Sensor Technologies Applied to Precision Agriculture. In Precision Agriculture ’13; Wageningen Academic Publishers: Gelderland, The Netherlands, 2013; pp. 801–808. [Google Scholar]
- Dholu, M.; Ghodinde, K.A. Internet of Things (IoT) for Precision Agriculture Application. In Proceedings of the 2018 2nd International Conference on Trends in Electronics and Informatics (ICOEI), Tirunelveli, India, 11–12 May 2018; pp. 339–342. [Google Scholar]
- Lee, S.; Yang, Y.; Ibrahim, M.A.; Jun, C.; Lim, E.G.; Zhai, Y. Design on Smart Grid and Irrigation Management: Based on Information Sharing. In Proceedings of the 2021 18th International SoC Design Conference (ISOCC), Jeju Island, Republic of Korea, 6 October 2021; pp. 191–192. [Google Scholar]
- Vaishali, S.; Suraj, S.; Vignesh, G.; Dhivya, S.; Udhayakumar, S. Mobile Integrated Smart Irrigation Management and Monitoring System Using IOT. In Proceedings of the 2017 International Conference on Communication and Signal Processing (ICCSP), Chennai, India, 6–8 April 2017; pp. 2164–2167. [Google Scholar]
- Qiong, D.; Hao, P. Design and Implementation of Irrigation Water Saving Control System Based on WSN. In Proceedings of the 2021 International Conference on Intelligent Transportation, Big Data & Smart City (ICITBS), Xi’an, China, 27–28 March 2021; pp. 75–78. [Google Scholar]
- Yang, J.; Xu, Z.; Sun, Q. Research and Design of Greenhouse Environment Monitoring System Based on NB-IoT. In Proceedings of the 2021 33rd Chinese Control and Decision Conference (CCDC), Kunming, China, 22 May 2021; pp. 5641–5646. [Google Scholar]
- Singh, R.K.; Berkvens, R.; Weyn, M. Energy Efficient Wireless Communication for IoT Enabled Greenhouses. In Proceedings of the 2020 International Conference on Communication Systems & NETworkS (COMSNETS), Bengaluru, India, 7–11 January 2020; pp. 885–887. [Google Scholar]
- Sundari, M.S.; Mathana, J.M.; Nagarajan, T.S. Secured IoT Based Smart Greenhouse System with Image Inspection. In Proceedings of the 2020 6th International Conference on Advanced Computing and Communication Systems (ICACCS), Coimbatore, India, 6–7 March 2020; pp. 1080–1082. [Google Scholar]
- DeChant, C.; Wiesner-Hanks, T.; Chen, S.; Stewart, E.L.; Yosinski, J.; Gore, M.A.; Nelson, R.J.; Lipson, H. Automated Identification of Northern Leaf Blight-Infected Maize Plants from Field Imagery Using Deep Learning. Phytopathology 2017, 107, 1426–1432. [Google Scholar] [CrossRef]
- Bock, C.H.; Poole, G.H.; Parker, P.E.; Gottwald, T.R. Plant Disease Severity Estimated Visually, by Digital Photography and Image Analysis, and by Hyperspectral Imaging. Crit. Rev. Plant Sci. 2010, 29, 59–107. [Google Scholar] [CrossRef]
- Devaraj, A.; Rathan, K.; Jaahnavi, S.; Indira, K. Identification of Plant Disease Using Image Processing Technique. In Proceedings of the 2019 International Conference on Communication and Signal Processing (ICCSP), Chennai, India, 4–6 April 2019; pp. 0749–0753. [Google Scholar]
- Mugithe, P.K.; Mudunuri, R.V.; Rajasekar, B.; Karthikeyan, S. Image Processing Technique for Automatic Detection of Plant Diseases and Alerting System in Agricultural Farms. In Proceedings of the 2020 International Conference on Communication and Signal Processing (ICCSP), Chennai, India, 28–30 July 2020; pp. 1603–1607. [Google Scholar]
- Phadikar, S.; Sil, J. Rice Disease Identification Using Pattern Recognition Techniques. In Proceedings of the 2008 11th International Conference on Computer and Information Technology, Khulna, Bangladesh, 24–27 December 2008; pp. 420–423. [Google Scholar]
- Sarayloo, Z.; Asemani, D. Designing a Classifier for Automatic Detection of Fungal Diseases in Wheat Plant: By Pattern Recognition Techniques. In Proceedings of the 2015 23rd Iranian Conference on Electrical Engineering, Tehran, Iran, 10–14 May 2015; pp. 1193–1197. [Google Scholar]
- Thangadurai, K.; Padmavathi, K. Computer Visionimage Enhancement for Plant Leaves Disease Detection. In Proceedings of the 2014 World Congress on Computing and Communication Technologies, Trichirappalli, India, 27 February–1 March 2014; pp. 173–175. [Google Scholar]
- Yong, Z.; Tonghui, R.; Changming, L.; Chao, W.; Jiya, T. Research on Recognition Method of Common Corn Diseases Based on Computer Vision. In Proceedings of the 2019 11th International Conference on Intelligent Human-Machine Systems and Cybernetics (IHMSC), Hangzhou, China, 24–25 August 2019; pp. 328–331. [Google Scholar]
- Puranik, V.; Sharmila; Ranjan, A.; Kumari, A. Automation in Agriculture and IoT. In Proceedings of the 2019 4th International Conference on Internet of Things: Smart Innovation and Usages (IoT-SIU), Ghaziabad, India, 18–19 April 2019; pp. 1–6. [Google Scholar]
- Guo, T.; Zhong, W. Design and Implementation of the Span Greenhouse Agriculture Internet of Things System. In Proceedings of the 2015 International Conference on Fluid Power and Mechatronics (FPM), Harbin, China, 5–7 August 2015; pp. 398–401. [Google Scholar]
- Guerrero-ibanez, J.A.; Zeadally, S.; Contreras-Castillo, J. Integration Challenges of Intelligent Transportation Systems with Connected Vehicle, Cloud Computing, and Internet of Things Technologies. IEEE Wirel. Commun. 2015, 22, 122–128. [Google Scholar] [CrossRef]
- Celesti, A.; Galletta, A.; Carnevale, L.; Fazio, M.; Lay-Ekuakille, A.; Villari, M. An IoT Cloud System for Traffic Monitoring and Vehicular Accidents Prevention Based on Mobile Sensor Data Processing. IEEE Sens. J. 2018, 18, 4795–4802. [Google Scholar] [CrossRef]
- Contreras-Castillo, J.; Zeadally, S.; Guerrero-Ibanez, J.A. Internet of Vehicles: Architecture, Protocols, and Security. IEEE Internet Things J. 2018, 5, 3701–3709. [Google Scholar] [CrossRef]
- Ji, Z.; Ganchev, I.; O’Droma, M. A Generic IoT Architecture for Smart Cities. In Proceedings of the 25th IET Irish Signals & Systems Conference 2014 and 2014 China-Ireland International Conference on Information and Communities Technologies (ISSC 2014/CIICT 2014), Limerick, Ireland, 26–27 June 2014; Institution of Engineering and Technology: Limerick, Ireland, 2014; pp. 196–199. [Google Scholar]
- Hajam, S.S.; Sofi, S.A. IoT-Fog Architectures in Smart City Applications: A Survey. China Commun. 2021, 18, 117–140. [Google Scholar] [CrossRef]
- Kaushik, N.; Bagga, T. Smart Cities Using IoT. In Proceedings of the 2021 9th International Conference on Reliability, Infocom Technologies and Optimization (Trends and Future Directions) (ICRITO), Noida, India, 3 September 2021; pp. 1–6. [Google Scholar]
- Ramos-García, O.I.; Vuelvas-Alvarado, A.A.; Osorio-Pérez, N.A.; Ruiz-Torres, M.Á.; Estrada-González, F.; Gaytan-Lugo, L.S.; Fajardo-Flores, S.B.; Santana-Mancilla, P.C. An IoT Braille Display towards Assisting Visually Impaired Students in Mexico. In Proceedings of the The 9th International Electronic Conference on Sensors and Applications, Online, 1 November 2022; p. 11. [Google Scholar]
- Santana-Mancilla, P.C.; Magaña Echeverría, M.A.; Rojas Santos, J.C.; Nieblas Castellanos, J.A.; Salazar Díaz, A.P. Towards Smart Education: Ambient Intelligence in the Mexican Classrooms. Procedia-Soc. Behav. Sci. 2013, 106, 3141–3148. [Google Scholar] [CrossRef]
- Contreras-Castillo, J.; Santana-Mancilla, P.C.; Barón-Ramírez, N.; Morales Vanegas, E.A. IoET Enabled Classrooms to Foster Education 4.0 in Mexican Elementary Schools. Asia-Pac. Collab. Educ. J. 2020, 16, 26–30. [Google Scholar]
- Adiono, T.; Toha, A.M.; Pamungkas, S.; Sutisna, N.; Sumiarsih, E. Internet of Things for Marine Aquaculture. In Proceedings of the 2021 International Symposium on Electronics and Smart Devices (ISESD), Bandung, Indonesia, 29 June 2021; pp. 1–5. [Google Scholar]
- Guerrero, J.A.; Cosio, M.; Espinoza, A.; Ruiz, E.; Sanchez, J.D.; Contreras, J.; Nieto, J.I. GeoSoc: A Geocast-Based Communication Protocol for Monitoring of Marine Environments. IEEE Lat. Am. Trans. 2017, 15, 324–332. [Google Scholar] [CrossRef]
- Guerrero Ibanez, J.A.; Garcia Morales, L.A.; Contreras Castillo, J.J.; Buenrostro Mariscal, R.; Cosio Leon, M. HYRMA: A Hybrid Routing Protocol for Monitoring of Marine Environments. IEEE Lat. Am. Trans. 2015, 13, 1562–1568. [Google Scholar] [CrossRef]
- Gopinath, A.R.; Singh, Y.P.; Narawade, N.S. Design of Fog Computing System For Health Care Applications Based On IoT. In Proceedings of the 2022 3rd International Conference for Emerging Technology (INCET), Belgaum, India, 27 May 2022; pp. 1–4. [Google Scholar]
- Al-Mahmud, O.; Khan, K.; Roy, R.; Mashuque Alamgir, F. Internet of Things (IoT) Based Smart Health Care Medical Box for Elderly People. In Proceedings of the 2020 International Conference for Emerging Technology (INCET), Belgaum, India, 5–7 June 2020; pp. 1–6. [Google Scholar]
- Ahmad, N.; George, R.P.; Jahan, R. Emerging Trends in IoT for Categorized Health Care. In Proceedings of the 2019 2nd International Conference on Intelligent Computing, Instrumentation and Control Technologies (ICICICT), Kannur, Kerala, India, 5–6 July 2019; pp. 1438–1441. [Google Scholar]
- Santana-Mancilla, P.C.; Anido-Rifón, L.E.; Contreras-Castillo, J.; Buenrostro-Mariscal, R. Heuristic Evaluation of an IoMT System for Remote Health Monitoring in Senior Care. Int. J. Environ. Res. Public. Health 2020, 17, 1586. [Google Scholar] [CrossRef] [PubMed]
- Durán-Vega, L.A.; Santana-Mancilla, P.C.; Buenrostro-Mariscal, R.; Contreras-Castillo, J.; Anido-Rifón, L.E.; García-Ruiz, M.A.; Montesinos-López, O.A.; Estrada-González, F. An IoT System for Remote Health Monitoring in Elderly Adults through a Wearable Device and Mobile Application. Geriatrics 2019, 4, 34. [Google Scholar] [CrossRef] [PubMed]
- De la Rosa, J.; Conesa, M.; Domingo, R.; Aguayo, E.; Falagán, N.; Pérez-Pastor, A. Combined Effects of Deficit Irrigation and Crop Level on Early Nectarine Trees. Agric. Water Manag. 2016, 170, 120–132. [Google Scholar] [CrossRef]
- Morillo, J.G.; Martín, M.; Camacho, E.; Díaz, J.A.R.; Montesinos, P. Toward Precision Irrigation for Intensive Strawberry Cultivation. Agric. Water Manag. 2015, 151, 43–51. [Google Scholar] [CrossRef]
- López, J.A.; Navarro, H.; Soto, F.; Pavón, N.; Suardíaz, J.; Torres, R. GAIA2: A Multifunctional Wireless Device for Enhancing Crop Management. Agric. Water Manag. 2015, 151, 75–86. [Google Scholar] [CrossRef]
- Ryu, M.; Yun, J.; Miao, T.; Ahn, I.Y.; Choi, S.C.; Kim, J. Design and Implementation of a Connected Farm for Smart Farming System. In Proceedings of the 2015 IEEE SENSORS, Busan, Republic of Korea, 1–4 November 2015; pp. 1–4. [Google Scholar]
- Baranwal, T.; Nitika; Pateriya, P.K. Development of IoT Based Smart Security and Monitoring Devices for Agriculture. In Proceedings of the 2016 6th International Conference–Cloud System and Big Data Engineering (Confluence), Noida, India, 14–15 January 2016; pp. 597–602.
- Ahmad, N.; Hussain, A.; Ullah, I.; Zaidi, B.H. IOT Based Wireless Sensor Network for Precision Agriculture. In Proceedings of the 2019 7th International Electrical Engineering Congress (iEECON), Hua Hin, Thailand, 9–11 March 2019; pp. 1–4. [Google Scholar]
- Mhaisen, N.; Abazeed, O.; Hariri, Y.A.; Alsalemi, A.; Halabi, O. Self-Powered IoT-Enabled Water Monitoring System. In Proceedings of the 2018 International Conference on Computer and Applications (ICCA), Beirut, Lebanon, 25–26 August 2018; pp. 41–45. [Google Scholar]
- Hernandez-Alpizar, L.; Carrasquilla-Batista, A.; Sancho-Chavarria, L. IoT Application for Water Quality Monitoring: Nitrates. In Proceedings of the 2020 IEEE 11th Latin American Symposium on Circuits & Systems (LASCAS), San Jose, Costa Rica, 25–28 February 2020; pp. 1–4. [Google Scholar]
- Ghanim, M.E.; Alammary, J. AgroBahrain: A Conceptual Framework for Agriculture Big Data for Bahrain. In Proceedings of the 2021 International Conference on Electronic Information Technology and Smart Agriculture (ICEITSA), Huaihua, China, 10–12 December 2021; pp. 545–550. [Google Scholar]
- Pesonen, L.A.; Teye, F.K.-W.; Ronkainen, A.K.; Koistinen, M.O.; Kaivosoja, J.J.; Suomi, P.F.; Linkolehto, R.O. Cropinfra—An Internet-Based Service Infrastructure to Support Crop Production in Future Farms. Biosyst. Eng. 2014, 120, 92–101. [Google Scholar] [CrossRef]
- López-Riquelme, J.A.; Pavón-Pulido, N.; Navarro-Hellín, H.; Soto-Valles, F.; Torres-Sánchez, R. A Software Architecture Based on FIWARE Cloud for Precision Agriculture. Agric. Water Manag. 2017, 183, 123–135. [Google Scholar] [CrossRef]
- Hokazono, S.; Hayashi, K. Variability in Environmental Impacts during Conversion from Conventional to Organic Farming: A Comparison among Three Rice Production Systems in Japan. J. Clean. Prod. 2012, 28, 101–112. [Google Scholar] [CrossRef]
- Wu, D.D.; Olson, D.L.; Birge, J.R. Risk Management in Cleaner Production. J. Clean. Prod. 2013, 53, 1–6. [Google Scholar] [CrossRef]
- Bouadil, S.; Skouri, S.; Kooli, S.; Lazaar, M.; Farhat, A. Solar Energy Storage Application in Tunisian Greenhouse by Means of Phase Change Materials. In Proceedings of the 2014 International Conference on Composite Materials & Renewable Energy Applications (ICCMREA), Sousse, Tunisia, 22–24 January 2014; pp. 1–4. [Google Scholar]
- Khoshroo, A.; Mulwa, R.; Emrouznejad, A.; Arabi, B. A Non-Parametric Data Envelopment Analysis Approach for Improving Energy Efficiency of Grape Production. Energy 2013, 63, 189–194. [Google Scholar] [CrossRef]
- Kubota, F.I.; da Rosa, L.C. Identification and Conception of Cleaner Production Opportunities with the Theory of Inventive Problem Solving. J. Clean. Prod. 2013, 47, 199–210. [Google Scholar] [CrossRef]
- Bardi, U.; El Asmar, T.; Lavacchi, A. Turning Electricity into Food: The Role of Renewable Energy in the Future of Agriculture. J. Clean. Prod. 2013, 53, 224–231. [Google Scholar] [CrossRef]
- Perc, M.; Gómez-Gardeñes, J.; Szolnoki, A.; Floría, L.M.; Moreno, Y. Evolutionary Dynamics of Group Interactions on Structured Populations: A Review. J. R. Soc. Interface 2013, 10, 20120997. [Google Scholar] [CrossRef] [PubMed]
- Lakshmanarao, A.; Babu, M.R.; Kiran, T.S.R. Plant Disease Prediction and Classification Using Deep Learning ConvNets. In Proceedings of the 2021 International Conference on Artificial Intelligence and Machine Vision (AIMV), Gandhinagar, India, 24 September 2021; pp. 1–6. [Google Scholar]
- Militante, S.V.; Gerardo, B.D.; Dionisio, N.V. Plant Leaf Detection and Disease Recognition Using Deep Learning. In Proceedings of the 2019 IEEE Eurasia Conference on IOT, Communication and Engineering (ECICE), Yunlin, Taiwan, 3–6 October 2019; pp. 579–582. [Google Scholar]
- Marzougui, F.; Elleuch, M.; Kherallah, M. A Deep CNN Approach for Plant Disease Detection. In Proceedings of the 2020 21st International Arab Conference on Information Technology (ACIT), Giza, Egypt, 28 November 2020; pp. 1–6. [Google Scholar]
- Montesinos-López, O.A.; Montesinos-López, A.; Pérez-Rodríguez, P.; Barrón-López, J.A.; Martini, J.W.R.; Fajardo-Flores, S.B.; Gaytan-Lugo, L.S.; Santana-Mancilla, P.C.; Crossa, J. A Review of Deep Learning Applications for Genomic Selection. BMC Genomics 2021, 22, 19. [Google Scholar] [CrossRef] [PubMed]
- Sardogan, M.; Tuncer, A.; Ozen, Y. Plant Leaf Disease Detection and Classification Based on CNN with LVQ Algorithm. In Proceedings of the 2018 3rd International Conference on Computer Science and Engineering (UBMK), Sarajevo, Bosnia and Herzegovina, 15–16 September 2018; pp. 382–385. [Google Scholar]
- Guan, X. A Novel Method of Plant Leaf Disease Detection Based on Deep Learning and Convolutional Neural Network. In Proceedings of the 2021 6th International Conference on Intelligent Computing and Signal Processing (ICSP), Xi’an, China, 9 April 2021; pp. 816–819. [Google Scholar]
- Mattihalli, C.; Gedefaye, E.; Endalamaw, F.; Necho, A. Real Time Automation of Agriculture Land, by Automatically Detecting Plant Leaf Diseases and Auto Medicine. In Proceedings of the 2018 32nd International Conference on Advanced Information Networking and Applications Workshops (WAINA), Krakow, Poland, 16–18 May 2018; pp. 325–330. [Google Scholar]
- Divyashri, P.; Pinto, L.A.; Mary, L.; Manasa, P.; Dass, S. The Real-Time Mobile Application for Identification of Diseases in Coffee Leaves Using the CNN Model. In Proceedings of the 2021 Second International Conference on Electronics and Sustainable Communication Systems (ICESC), Coimbatore, India, 4 August 2021; pp. 1694–1700. [Google Scholar]
- Tm, P.; Pranathi, A.; SaiAshritha, K.; Chittaragi, N.B.; Koolagudi, S.G. Tomato Leaf Disease Detection Using Convolutional Neural Networks. In Proceedings of the 2018 Eleventh International Conference on Contemporary Computing (IC3), Noida, India, 2–4 August 2018; pp. 1–5. [Google Scholar]
- Kumar, A.; Vani, M. Image Based Tomato Leaf Disease Detection. In Proceedings of the 2019 10th International Conference on Computing, Communication and Networking Technologies (ICCCNT), Kanpur, India, 6–8 July 2019; pp. 1–6. [Google Scholar]
- Agarwal, M.; Gupta, S.K.; Biswas, K.K. Development of Efficient CNN Model for Tomato Crop Disease Identification. Sustain. Comput. Inform. Syst. 2020, 28, 100407. [Google Scholar] [CrossRef]
- Widiyanto, S.; Fitrianto, R.; Wardani, D.T. Implementation of Convolutional Neural Network Method for Classification of Diseases in Tomato Leaves. In Proceedings of the 2019 Fourth International Conference on Informatics and Computing (ICIC), Semarang, Indonesia, 16–17 October 2019; pp. 1–5. [Google Scholar]
- Kaur, M.; Bhatia, R. Development of An Improved Tomato Leaf Disease Detection And Classification Method. In Proceedings of the 2019 IEEE Conference on Information and Communication Technology, Allahabad, India, 6–8 December 2019; pp. 1–5. [Google Scholar]
- Montesinos-López, O.A.; Montesinos-López, A.; Cano-Paez, B.; Hernández-Suárez, C.M.; Santana-Mancilla, P.C.; Crossa, J. A Comparison of Three Machine Learning Methods for Multivariate Genomic Prediction Using the Sparse Kernels Method (SKM) Library. Genes 2022, 13, 1494. [Google Scholar] [CrossRef]
- Andreev, S.; Galinina, O.; Pyattaev, A.; Gerasimenko, M.; Tirronen, T.; Torsner, J.; Sachs, J.; Dohler, M.; Koucheryavy, Y. Understanding the IoT Connectivity Landscape: A Contemporary M2M Radio Technology Roadmap. IEEE Commun. Mag. 2015, 53, 32–40. [Google Scholar] [CrossRef]
- ETSI Industry Trends for M2M/IoT Survey Results from the ETSI M2M Workshop 2014; ETSI: Sophia-Antipolis, France, 2014.
- oneM2M. OneM2M Functional Architecture Baseline Draft; Memphis, USA. 2014. Available online: https://www.onem2m.org/images/files/deliverables/TS-0001-oneM2M-Functional-Architecture-V-2014-08.pdf (accessed on 1 February 2023).
- Lee, J.-S.; Su, Y.-W.; Shen, C.-C. A Comparative Study of Wireless Protocols: Bluetooth, UWB, ZigBee, and Wi-Fi. In Proceedings of the IECON 2007–33rd Annual Conference of the IEEE Industrial Electronics Society, Taipei, Taiwan, 5–8 November 2007; pp. 46–51. [Google Scholar]
- Kone, C.T.; Hafid, A.; Boushaba, M. Performance Management of IEEE 802.15.4 Wireless Sensor Network for Precision Agriculture. IEEE Sens. J. 2015, 15, 5734–5747. [Google Scholar] [CrossRef]
- Buenrostro-Mariscal, R.; Santana-Mancilla, P.C.; Montesinos-López, O.A.; Nieto Hipólito, J.I.; Anido-Rifón, L.E. A Review of Deep Learning Applications for the Next Generation of Cognitive Networks. Appl. Sci. 2022, 12, 6262. [Google Scholar] [CrossRef]
- Tairu, O.E. PlantVillage Dataset. Kaggle. 2018. Available online: https://www.kaggle.com/datasets/emmarex/plantdisease (accessed on 1 February 2023).
- Buschermohle, M.J.; Grandle, G.F. Controlling the Environment in Greenhouses Used for Tomato Production; Plant Sciences Commons; The University of Tennessee Agricultural Extension Service: Knoxville, TN, USA, 2010; Available online: https://trace.tennessee.edu/utk_agexcomhort/29/ (accessed on 1 February 2023).
- Konidaris, F.; Tagaris, T.; Sdraka, M.; Stafylopatis, A. Generative Adversarial Networks as an Advanced Data Augmentation Technique for MRI Data. In Proceedings of the 14th International Joint Conference on Computer Vision, Imaging and Computer Graphics Theory and Applications, Prague, Czech Republic, 25–27 February 2019; SCITEPRESS—Science and Technology Publications: Prague, Czech Republic, 2019; pp. 48–59. [Google Scholar]
- Kukačka, J.; Golkov, V.; Cremers, D. Regularization for Deep Learning: A Taxonomy. arXiv 2017, arXiv:1710.10686. [Google Scholar]
- Geetharamani, G.; Pandian, A. Identification of Plant Leaf Diseases Using a Nine-Layer Deep Convolutional Neural Network. Comput. Electr. Eng. 2019, 76, 323–338. [Google Scholar] [CrossRef]
- Hong, H.; Lin, J.; Huang, F. Tomato Disease Detection and Classification by Deep Learning. In Proceedings of the 2020 International Conference on Big Data, Artificial Intelligence and Internet of Things Engineering (ICBAIE), Fuzhou, China, 12–14 June 2020; pp. 25–29. [Google Scholar]
- Ferentinos, K.P. Deep Learning Models for Plant Disease Detection and Diagnosis. Comput. Electron. Agric. 2018, 145, 311–318. [Google Scholar] [CrossRef]
- Morellos, A.; Pantazi, X.E.; Paraskevas, C.; Moshou, D. Comparison of Deep Neural Networks in Detecting Field Grapevine Diseases Using Transfer Learning. Remote Sens. 2022, 14, 4648. [Google Scholar] [CrossRef]















| Parameter | Bluetooth | ZigBee | Wi-Fi Halow | Ultra-Wideband |
|---|---|---|---|---|
| Frequency | 2.4 GHz | 868 MHz, 915 MHz and 2.4 GHz | 900 MHz | 3.1–10.6 GHz |
| Max. signal rate | 1,2,3 Mbps | 10–100 m | Up to 347 Mbps | 53.3–480 Mbps |
| Coverage | 10 m | 10–100 m | Up to 1 km | 300 m |
| Max. no of cell nodes | 8 | >65,000 | Up to 6000 devices | 8 |
| Nominal TX power | 0–10 dBm | (−25)–0 dBm | −17 dB | −41.3 dBm/MHz |
| Security | E0 encryption algorithm | 128-bit AES | AES | |
| Number of R.F. channels | 79 | 1/10; 16 | 26 channels | 1–15 |
| Channel bandwidth | 1 MHz | 0.3/0.6 MHZ; 2 MHZ | 2 MHz and 16 MHz | 500 MHz–7.5 GHz |
| Parameter | Ideal Value |
|---|---|
| Day temperature | 70 °F |
| Night temperature | 60–64 °F |
| Day humidity | 80–90% |
| Night humidity | 65–75% |
| pH | Near 7 |
| Sensor | Model |
|---|---|
| Air temperature | AM2315 |
| Air humidity | AM2315 |
| Soil moisture sensor | SHT-10 |
| Soil temperature sensor | SHT-10 |
| Wind speed/direction | SEN-08942 |
| Case temperature | AM2302 |
| Case humidity | AM2302 |
| #Number | Category | Number of Images |
|---|---|---|
| 1 | Pepper__bell___Bacterial_spot | 997 |
| 2 | Pepper__bell___healthy | 1478 |
| 3 | Potato___Early_blight | 1000 |
| 4 | Potato___Late_blight | 1000 |
| 5 | Potato___healthy | 152 |
| 6 | Tomato_Bacterial_spot | 2127 |
| 7 | Tomato_Early_blight | 1000 |
| 8 | Tomato_Late_blight | 1909 |
| 9 | Tomato_Leaf_Mold | 952 |
| 10 | Tomato_Septoria_leaf_spot | 1771 |
| 11 | Tomato_Spider_mites_Two_spotted_spider_mite | 1676 |
| 12 | Tomato__Target_Spot | 1404 |
| 13 | Tomato__Tomato_YellowLeaf__Curl_Virus | 3209 |
| 14 | Tomato__Tomato_mosaic_virus | 373 |
| 15 | Tomato_healthy | 1591 |
| Parameter | Value |
|---|---|
| Batch size | 32 |
| Number of epochs | 200 |
| Steps per epoch | 16,012 |
| Validation steps | 3202 |
| Activation function | ReLU |
| Optimization algorithm | Adam |
| Loss function | Categorical cross-entropy |
| Category | Precision | Recall | f1-Score | Support |
|---|---|---|---|---|
| tomato bacterial spot | 0.96 | 0.96 | 0.97 | 100 |
| tomato late blight | 0.99 | 0.98 | 0.98 | 100 |
| tomato yellow leaf curl virus | 0.98 | 0.98 | 0.98 | 100 |
| tomato early blight | 0.96 | 0.97 | 0.97 | 100 |
| tomato Septoria leaf spot | 0.98 | 0.97 | 0.99 | 100 |
| tomato mosaic virus | 0.94 | 0.98 | 0.91 | 100 |
| tomato target spot | 0.98 | 0.98 | 0.98 | 100 |
| tomato leaf mold | 0.96 | 0.97 | 0.99 | 100 |
| tomato spider mites two spotted | 0.97 | 0.98 | 0.97 | 100 |
| tomato healthy | 0.98 | 0.98 | 0.98 | 100 |
Disclaimer/Publisher’s Note: The statements, opinions and data contained in all publications are solely those of the individual author(s) and contributor(s) and not of MDPI and/or the editor(s). MDPI and/or the editor(s) disclaim responsibility for any injury to people or property resulting from any ideas, methods, instructions or products referred to in the content. |
© 2023 by the authors. Licensee MDPI, Basel, Switzerland. This article is an open access article distributed under the terms and conditions of the Creative Commons Attribution (CC BY) license (https://creativecommons.org/licenses/by/4.0/).
Share and Cite
Contreras-Castillo, J.; Guerrero-Ibañez, J.A.; Santana-Mancilla, P.C.; Anido-Rifón, L. SAgric-IoT: An IoT-Based Platform and Deep Learning for Greenhouse Monitoring. Appl. Sci. 2023, 13, 1961. https://doi.org/10.3390/app13031961
Contreras-Castillo J, Guerrero-Ibañez JA, Santana-Mancilla PC, Anido-Rifón L. SAgric-IoT: An IoT-Based Platform and Deep Learning for Greenhouse Monitoring. Applied Sciences. 2023; 13(3):1961. https://doi.org/10.3390/app13031961
Chicago/Turabian StyleContreras-Castillo, Juan, Juan Antonio Guerrero-Ibañez, Pedro C. Santana-Mancilla, and Luis Anido-Rifón. 2023. "SAgric-IoT: An IoT-Based Platform and Deep Learning for Greenhouse Monitoring" Applied Sciences 13, no. 3: 1961. https://doi.org/10.3390/app13031961
APA StyleContreras-Castillo, J., Guerrero-Ibañez, J. A., Santana-Mancilla, P. C., & Anido-Rifón, L. (2023). SAgric-IoT: An IoT-Based Platform and Deep Learning for Greenhouse Monitoring. Applied Sciences, 13(3), 1961. https://doi.org/10.3390/app13031961

