Effective Direct Power Control for a Sensor-Less Doubly Fed Induction Generator with a Losses Minimization Criterion
Abstract
:1. Introduction
- A new design procedure for the direct power control of the DFIG has been introduced.
- The new control design has been described and analyzed in a systematic manner, which enables understanding the control dynamics: when and why it works properly.
- An effective losses minimization criterion (LMC) has been formulated in order to improve the DFIG efficiency. The derivation of the LMC has been described in detail.
- A robust rotor position estimator has been designed and tested for various operating speeds. The proposed estimator is simple in construction and non-sensitive to the machine parameters’ variation.
- Extensive tests are carried out to validate the proposed DPC control system and the LMC with the position estimator. The obtained results confirm the feasibility of the system and its ability to achieve the desired dynamic performance with high precision.
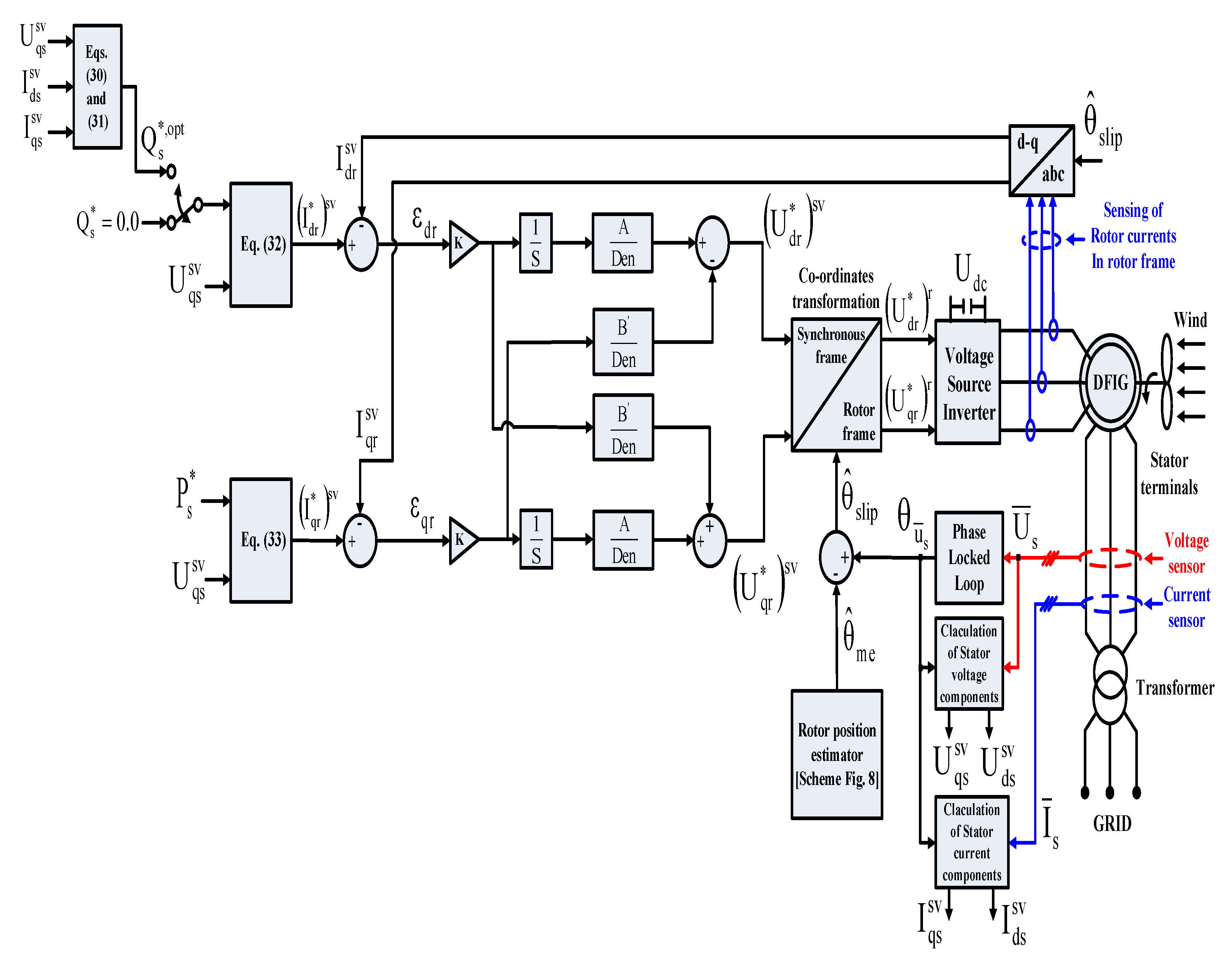
2. Proposed DPC Approach
2.1. Design of Rotor Current Controllers
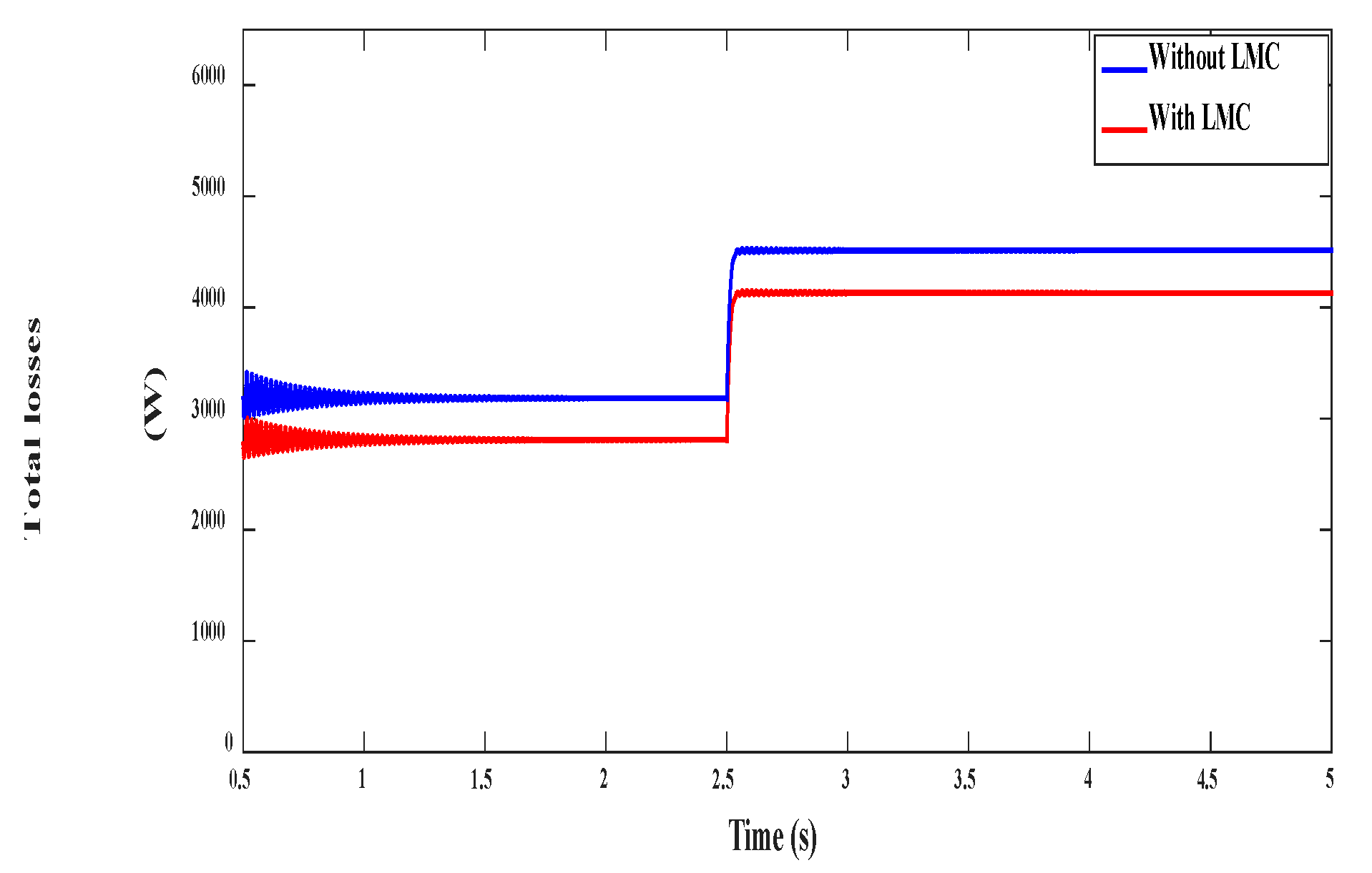
2.2. Losses Minimization Criterion
3. Estimation of Rotor Position
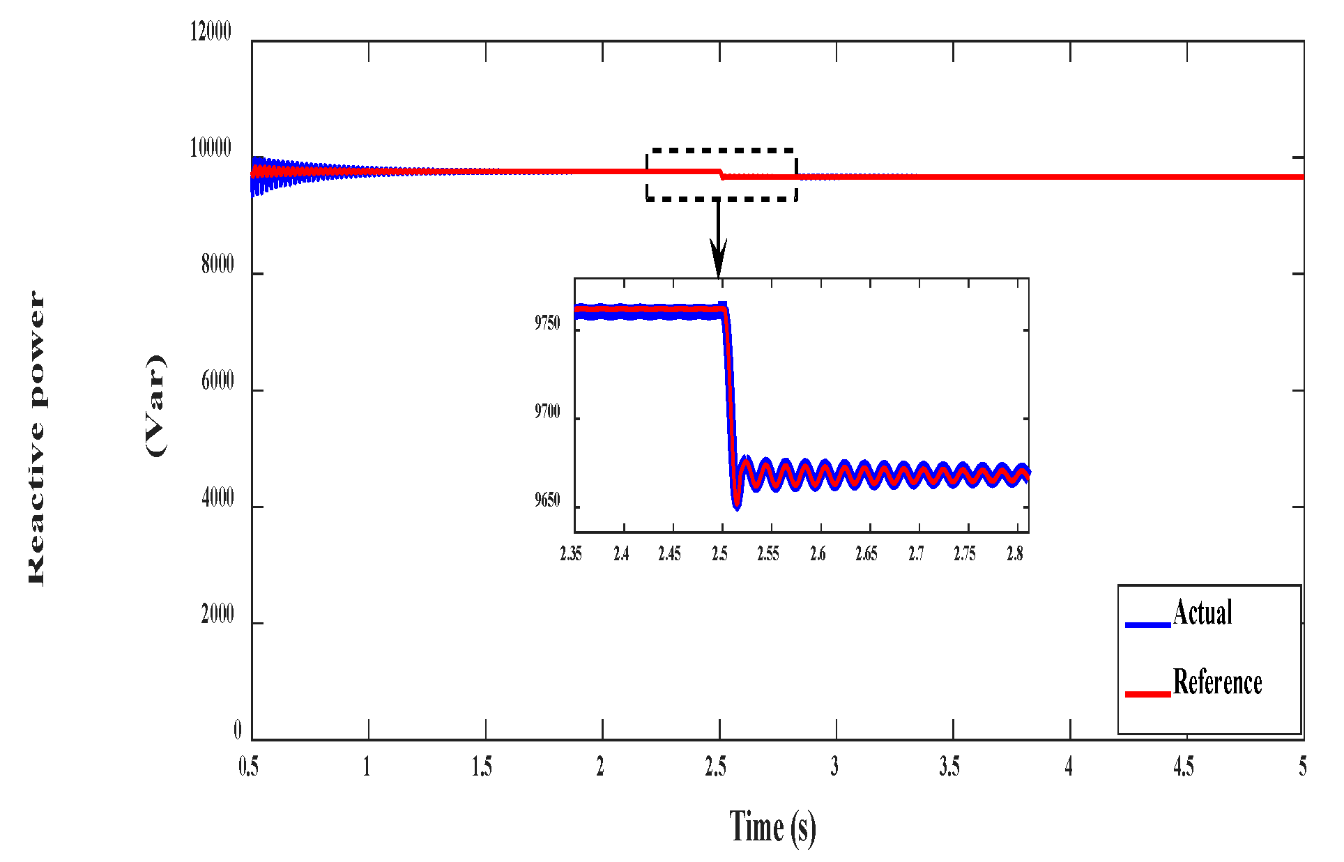
4. Test Results
4.1. Testing Without LMC at Super-Synchronous Speed
4.2. Testing with LMC at Super-Synchronous Speed
4.3. Testing with LMC at Low Speed
4.4. Evaluating the Performance of Previous Estimation Procedure
4.4.1. Testing at Super Synchronous Speed
With a Mismatch in Stator Resistance () of 50%.
With a Mismatch in Stator Inductance () of 5%.
With a mismatch in mutual inductance () of 10%.
4.4.2. Testing at Low Speed
With a Mismatch in Stator Resistance () of 50%.
With a Mismatch in Stator Inductance () of 5%.
With a Mismatch in Mutual Inductance () of 10%.
5. Conclusions
Author Contributions
Funding
Conflicts of Interest
Appendix A
| Parameters | Value | Parameters | Value |
|---|---|---|---|
| Rated power | 55 kW | Lm | 16 mH |
| Rs | 70 mΩ | Ri | 150 Ω |
| Rr | 87 mΩ | Usn (nominal stator voltage) | 380 V |
| Ls | 16.25 mH | Urn (nominal rotor voltage) | 365 V |
| Lr | 16.3 mH | Isn (nominal stator current) | 115 A |
References
- Ma, J.; Zhao, D.; Yao, L.; Qian, M.; Yamashita, K.; Zhu, L. Analysis on application of a current-source based DFIG wind generator model. CSEE J. Power Energy Syst. 2018, 4, 352–361. [Google Scholar] [CrossRef]
- Shu, Z.; Jirutitijaroen, P. Optimal Operation Strategy of Energy Storage System for Grid-Connected Wind Power Plants. IEEE Trans. Sustain. Energy 2014, 5, 190–199. [Google Scholar] [CrossRef]
- Chen, Z.; Yin, M.; Zou, Y.; Meng, K.; Dong, Z. Maximum Wind Energy Extraction for Variable Speed Wind Turbines with Slow Dynamic Behavior. IEEE Trans. Power Syst. 2014, 32, 3321–3322. [Google Scholar] [CrossRef]
- Almeida, R.G.D.; Castronuovo, E.D.; Lopes, J.A.P. Optimum generation control in wind parks when carrying out system operator requests. IEEE Trans. Power Syst. 2006, 21, 718–725. [Google Scholar] [CrossRef] [Green Version]
- Tran, D.H.; Sareni, B.; Roboam, X.; Espanet, C. Integrated Optimal Design of a Passive Wind Turbine System: An Experimental Validation. IEEE Trans. Sustain. Energy 2010, 1, 48–56. [Google Scholar] [CrossRef] [Green Version]
- Kalamen, L.; Rafajdus, P.; Sekerák, P.; Hrabovcová, V. A Novel Method of Magnetizing Inductance Investigation of Self-Excited Induction Generators. IEEE Trans. Magn. 2012, 48, 1657–1660. [Google Scholar] [CrossRef]
- Joshi, D.; Sandhu, K.S.; Soni, M.K. Constant voltage constant frequency operation for a self-excited induction generator. IEEE Trans. Energy Convers. 2006, 21, 228–234. [Google Scholar] [CrossRef]
- Chilipi, R.R.; Singh, B.; Murthy, S.S. Performance of a Self-Excited Induction Generator with DSTATCOM-DTC Drive-Based Voltage and Frequency Controller. IEEE Trans. Energy Convers. 2014, 29, 545–557. [Google Scholar] [CrossRef]
- Guan, M.; Pan, W.; Zhang, J.; Hao, Q.; Cheng, J.; Zheng, X. Synchronous Generator Emulation Control Strategy for Voltage Source Converter (VSC) Stations. IEEE Trans. Power Syst. 2015, 30, 3093–3101. [Google Scholar] [CrossRef]
- Haque, M.E.; Saw, Y.C.; Chowdhury, M.M. Advanced Control Scheme for an IPM Synchronous Generator-Based Gearless Variable Speed Wind Turbine. IEEE Trans. Sustain. Energy 2014, 5, 354–362. [Google Scholar] [CrossRef]
- Hojabri, H.; Mokhtari, H.; Chang, L. Reactive Power Control of Permanent-Magnet Synchronous Wind Generator with Matrix Converter. IEEE Trans. Power Deliv. 2013, 28, 575–584. [Google Scholar] [CrossRef]
- Cimino, M.; Pagilla, P.R. Reactive Power Control for Multiple Synchronous Generators Connected in Parallel. IEEE Trans. Power Syst. 2016, 31, 4371–4378. [Google Scholar] [CrossRef]
- Nashed, M.N.F. Comparison between types of doubly fed induction generators converter with various switching techniques. CIRED Open Access Proc. J. 2017, 2017, 554–558. [Google Scholar] [CrossRef]
- Duran, M.J.; Barrero, F.; Ruz, A.P.; Guzman, F.; Fernandez, J.; Guzman, H. Understanding Power Electronics and Electrical Machines in Multidisciplinary Wind Energy Conversion System Courses. IEEE Trans. Educ. 2013, 56, 174–182. [Google Scholar] [CrossRef]
- Ong, C.M. Dynamic Simulations of Electric Machinery: Using Matlab/Simulink; Prentice Hall: Upper Saddle River, NJ, USA, 1998. [Google Scholar]
- Lu, M.; Yin, W.; Peyton, A.; Qu, Z.; Meng, X.; Xie, Y.; Zhao, P.; Luo, J.; Zhao, Q.; Tao, Y.; et al. A model for the triboelectric nanogenerator with inductive load and its energy boost potential. Nano Energy 2019, 63, 103883. [Google Scholar] [CrossRef]
- Yaramasu, V.; Wu, B.; Sen, P.C.; Kouro, S.; Narimani, M. High-power wind energy conversion systems: State-of-the-art and emerging technologies. Proc. IEEE 2015, 103, 740–788. [Google Scholar] [CrossRef]
- Protsenko, K.; Xu, D. Modeling and Control of Brushless Doubly-Fed Induction Generators in Wind Energy Applications. IEEE Trans. Power Electr. 2008, 23, 1191–1197. [Google Scholar] [CrossRef]
- Ekanayake, J.; Jenkins, N. Comparison of the response of doubly fed and fixed-speed induction generator wind turbines to changes in network frequency. IEEE Trans. Energy Convers. 2004, 19, 800–802. [Google Scholar] [CrossRef]
- Alsmadi, Y.M.; Xu, L.; Blaabjerg, F.; Ortega, A.J.P.; Abdelaz, A.Y. Detailed Investigation and Performance Improvement of the Dynamic Behavior of Grid-Connected DFIG-Based Wind Turbines Under LVRT Conditions. IEEE Trans. Ind. Appl. 2018, 54, 4795–4812. [Google Scholar] [CrossRef]
- Almeida, R.G.D.; Lopes, J.A.P. Participation of Doubly Fed Induction Wind Generators in System Frequency Regulation. IEEE Trans. Power Syst. 2007, 22, 944–950. [Google Scholar] [CrossRef] [Green Version]
- Castilla, M.; Miret, J.; Matas, J.; Borrel, A.; Vicuna, L.G.D. Direct Rotor Current-Mode Control Improves the Transient Response of Doubly Fed Induction Generator-Based Wind Turbines. IEEE Trans. Energy Convers. 2010, 25, 722–731. [Google Scholar] [CrossRef]
- Xiao, X.; Yang, R.; Zheng, Z.; Wang, Y. Cooperative Rotor-Side SMES and Transient Control for Improving the LVRT Capability of Grid-Connected DFIG-Based Wind Farm. IEEE Trans. Appl. Supercond. 2019, 29, 1–5. [Google Scholar]
- Marques, G.D.; Sousa, D.M. Stator Flux Active Damping Methods for Field-Oriented Doubly Fed Induction Generator. IEEE Trans. Energy Convers. 2012, 27, 799–806. [Google Scholar] [CrossRef]
- Marques, G.D.; Iacchetti, M.F. Stator Frequency Regulation in a Field-Oriented Controlled DFIG Connected to a DC Link. IEEE Trans. Ind. Electr. 2014, 61, 5930–5939. [Google Scholar] [CrossRef] [Green Version]
- Abad, G.; Rodriguez, M.A.; Poza, J.; Canales, J.M. Direct Torque Control for Doubly Fed Induction Machine-Based Wind Turbines under Voltage Dips and Without Crowbar Protection. IEEE Trans. Energy Convers. 2010, 25, 586–588. [Google Scholar] [CrossRef]
- Mondal, S.; Kastha, D. Improved Direct Torque and Reactive Power Control of a Matrix-Converter-Fed Grid-Connected Doubly Fed Induction Generator. IEEE Trans. Ind. Electr. 2015, 62, 7590–7598. [Google Scholar] [CrossRef]
- Marques, G.D.; Iacchetti, M.F. DFIG Topologies for DC Networks: A Review on Control and Design Features. IEEE Trans. Power Electr. 2019, 34, 1299–1316. [Google Scholar] [CrossRef]
- Wong, K.C.; Ho, S.L.; Cheng, K.W.E. Direct control algorithm for doubly fed induction generators in weak grids. IET Electr. Power Appl. 2009, 3, 371–380. [Google Scholar] [CrossRef]
- Demirbas, S. Self-tuning fuzzy-PI-based current control algorithm for doubly fed induction generator. IET Renew. Power Gener. 2017, 11, 1714–1722. [Google Scholar] [CrossRef]
- Jabr, H.M.; Lu, D.; Kar, N.C. Design and Implementation of Neuro-Fuzzy Vector Control for Wind-Driven Doubly-Fed Induction Generator. IEEE Trans. Sustain. Energy 2011, 2, 404–413. [Google Scholar]
- Arbi, J.; Ghorbal, M.J.B.; Belkhodja, I.S.; Charaabi, L. Direct Virtual Torque Control for Doubly Fed Induction Generator Grid Connection. IEEE Trans. Ind. Electr. 2009, 56, 4163–4173. [Google Scholar] [CrossRef]
- Martin, D.S.; Amenedo, J.L.R.; Arnalte, S. Dynamic Programming Power Control for Doubly Fed Induction Generators. IEEE Trans. Power Electr. 2008, 23, 2337–2345. [Google Scholar] [CrossRef]
- Jovanovic, M.G.; Yu, J.; Levi, E. Encoderless direct torque controller for limited speed range applications of brushless doubly fed reluctance motors. IEEE Trans. Ind. Appl. 2006, 42, 712–722. [Google Scholar] [CrossRef] [Green Version]
- Chen, S.Z.; Cheung, N.C.; Wong, K.C.; Wu, J. Integral variable structure direct torque control of doubly fed induction generator. IET Renew. Power Gener. 2011, 5, 18–25. [Google Scholar] [CrossRef]
- Nian, H.; Song, Y. Direct Power Control of Doubly Fed Induction Generator under Distorted Grid Voltage. IEEE Trans. Power Electr. 2014, 29, 894–905. [Google Scholar] [CrossRef]
- Martin, D.S.; Amenedo, J.L.R.; Arnalte, S. Direct Power Control Applied to Doubly Fed Induction Generator under Unbalanced Grid Voltage Conditions. IEEE Trans. Power Electr. 2008, 23, 2328–2336. [Google Scholar] [CrossRef]
- Hu, J.; Zhu, J.; Dorrell, D.G. Predictive Direct Power Control of Doubly Fed Induction Generators under Unbalanced Grid Voltage Conditions for Power Quality Improvement. IEEE Trans. Sustain. Energy 2015, 6, 943–950. [Google Scholar] [CrossRef]
- Rani, A.A.A.; Nagamani, C.; Ilango, G.S. Compensation of Magnetizing Current for Enhanced Operation of DFIG under Grid Unbalance. IEEE Trans. Power Electr. 2017, 32, 5214–5226. [Google Scholar] [CrossRef]
- Pena, R.; Cardenas, R.; Proboste, J.; Asher, G.; Clare, J. Sensorless Control of Doubly-Fed Induction Generators Using a Rotor-Current-Based MRAS Observer. IEEE Trans. Ind. Electr. 2008, 55, 330–339. [Google Scholar] [CrossRef]
- Cardenas, R.; Pena, R.; Asher, G.; Clare, J.; Cartes, J. MRAS observer for doubly fed induction Machines. IEEE Trans. Energy Convers. 2004, 19, 467–468. [Google Scholar] [CrossRef]
- Susperregui, A.; Jugo, J.; Lizarraga, I.; Tapia, G. Automated control of doubly fed induction generator integrating sensorless parameter estimation and grid synchronization. IET Renew. Power Gener. 2014, 8, 76–89. [Google Scholar] [CrossRef]
- Pattnaik, M.; Kastha, D. Adaptive Speed Observer for a Stand-Alone Doubly Fed Induction Generator Feeding Nonlinear and Unbalanced Loads. IEEE Trans. Energy Convers. 2013, 27, 1018–1026. [Google Scholar] [CrossRef]
- Yu, S.; Fernando, T.; Iu, H.H.C.; Emami, K. Realization of State-Estimation-Based DFIG Wind Turbine Control Design in Hybrid Power Systems Using Stochastic Filtering Approaches. IEEE Trans. Ind. Inf. 2016, 12, 1084–1092. [Google Scholar] [CrossRef]
- Chibah, A.; Menna, M.; Yazid, K.; Boufertella, A.; Djadi, H.; Boudour, M. Experimental design of a new fast sensorless control of DFIG in complex domain. IET Electric Power Appl. 2019, 13, 581–593. [Google Scholar] [CrossRef]
- Morel, L.; Godfroid, H.; Mirzaian, A.; Kauffmann, J.M. Double-fed induction machine: Converter optimisation and field oriented control without position sensor. IEE Proc. Electr. Power Appl. 1998, 145, 360–368. [Google Scholar] [CrossRef]
- Poddar, G.; Ranganathan, V.T. Sensorless field-oriented control for double-inverter-fed wound-rotor induction motor drive. IEEE Trans. Ind. Electr. 2004, 51, 1089–1096. [Google Scholar] [CrossRef] [Green Version]
- Datta, R. Rotor Side Control of Grid-Connected Wound Rotor Induction Machine and Its Application to Wind Power Generation. Ph.D. Thesis, India Institute of Science, Bangalore, India, February 2000. [Google Scholar]
- Wee, S.D.; Shin, M.H.; Hyun, D.S. Stator-flux-oriented control of induction motor considering iron loss. IEEE Trans. Ind. Electr. 2001, 48, 602–608. [Google Scholar]






























































© 2020 by the authors. Licensee MDPI, Basel, Switzerland. This article is an open access article distributed under the terms and conditions of the Creative Commons Attribution (CC BY) license (http://creativecommons.org/licenses/by/4.0/).
Share and Cite
A. Mossa, M.; Echeikh, H.; Diab, A.A.Z.; Quynh, N.V. Effective Direct Power Control for a Sensor-Less Doubly Fed Induction Generator with a Losses Minimization Criterion. Electronics 2020, 9, 1269. https://doi.org/10.3390/electronics9081269
A. Mossa M, Echeikh H, Diab AAZ, Quynh NV. Effective Direct Power Control for a Sensor-Less Doubly Fed Induction Generator with a Losses Minimization Criterion. Electronics. 2020; 9(8):1269. https://doi.org/10.3390/electronics9081269
Chicago/Turabian StyleA. Mossa, Mahmoud, Hamdi Echeikh, Ahmed A. Zaki Diab, and Nguyen Vu Quynh. 2020. "Effective Direct Power Control for a Sensor-Less Doubly Fed Induction Generator with a Losses Minimization Criterion" Electronics 9, no. 8: 1269. https://doi.org/10.3390/electronics9081269
APA StyleA. Mossa, M., Echeikh, H., Diab, A. A. Z., & Quynh, N. V. (2020). Effective Direct Power Control for a Sensor-Less Doubly Fed Induction Generator with a Losses Minimization Criterion. Electronics, 9(8), 1269. https://doi.org/10.3390/electronics9081269

