Coplanar Stripline-Fed Wideband Yagi Dipole Antenna with Filtering-Radiating Performance
Abstract
:1. Introduction
2. Design of the Proposed Antenna
2.1. Modified Dipole with Bandwidth Improved (Type A)
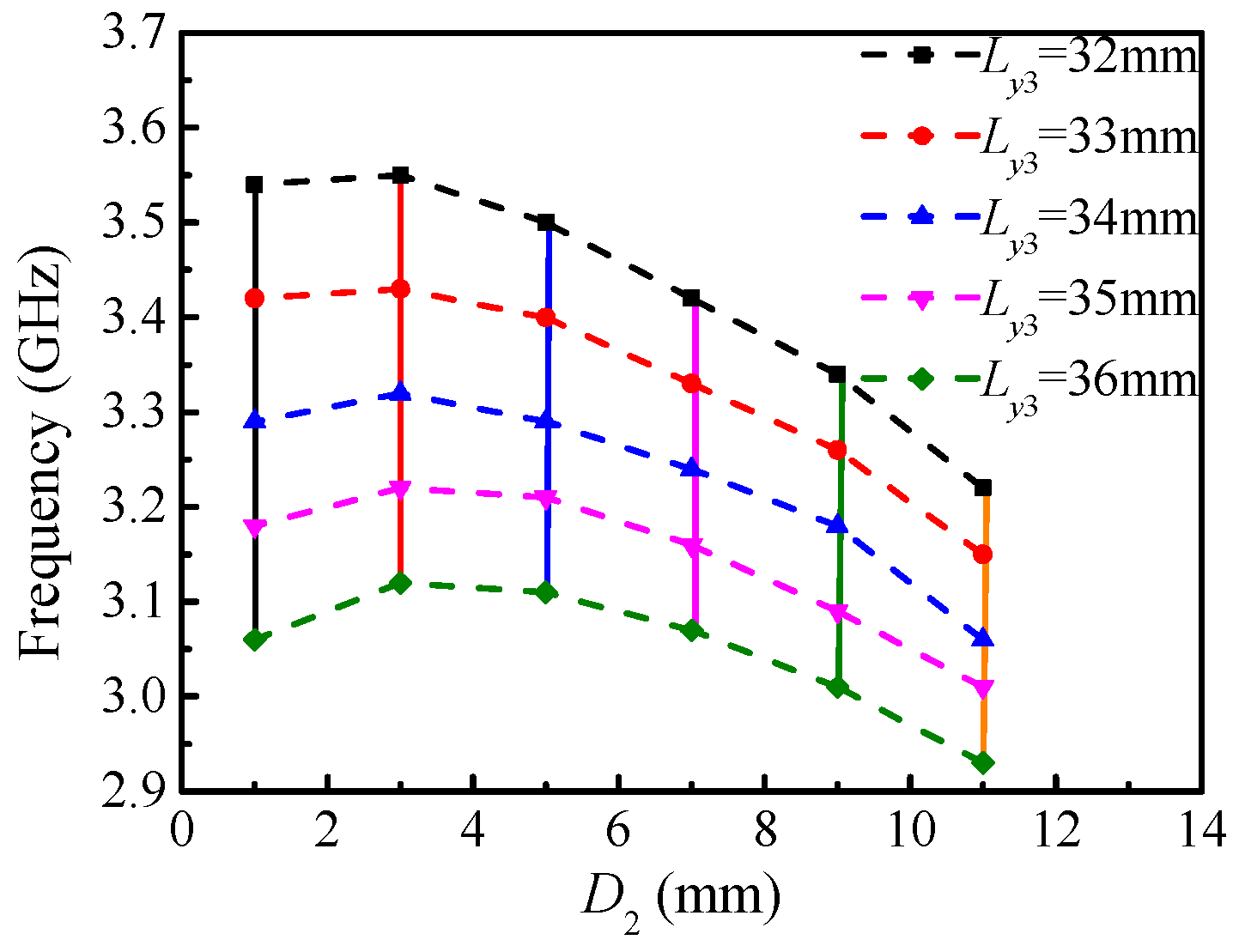
2.2. Study of the Filtering Performance of Yagi Antenna
2.3. Realization of the Proposed Filtering Yagi Dipole Antenna
3. Fabrication and Experimental Results
4. Conclusions
Author Contributions
Funding
Acknowledgments
Conflicts of Interest
References
- Pozar, D.M. Microwave Engineering, 2nd ed.; Wiley: New York, NY, USA, 1998. [Google Scholar]
- Yang, N.; Caloz, C.; Wu, K. Co-designed CPS UWB filter-antenna system. In Proceedings of the 2007 IEEE Antennas and Propagation Society International Symposium, Honolulu, HI, USA, 9–15 June 2007; Volume 6, pp. 1433–1436. [Google Scholar]
- Shen, P.; Qi, Y.; Wang, X.; Zhang, W.; Yu, W. A 2 × 2 MIMO Throughput Analytical Model for RF Front End Optimization. J. Commun. Inf. Netw. 2020, 5, 194–203. [Google Scholar]
- Wu, W.; Ker, M.; Chen, S.; Chen, J.; Linten, D.; Groeseneken, G. RF/High-Speed I/O ESD Protection: Co-optimizing Strategy Between BEOL Capacitance and HBM Immunity in Advanced CMOS Process. IEEE Trans. Electron. Devices 2020, 67, 2752–2759. [Google Scholar] [CrossRef]
- Harati, P.; Kallfass, I. Analogue feed-forward carrier recovery for millimetre-wave broadband wireless links. IET Microw. Antennas Propag. 2020, 14, 366–373. [Google Scholar] [CrossRef]
- Tabarani, F.; Boccia, L.; Calzona, D.; Amendola, G.; Schumacher, H. Power-efficient full-duplex K/Ka-band phased array front-end. IET Microw. Antennas Propag. 2020, 14, 268–280. [Google Scholar] [CrossRef]
- Garcia, J.C.B.; Kamoun, M.; Sibille, A. Complexity Adaptive Spatial Processing of ESPAR Antenna Systems. IEEE Trans. Wirel. Commun. 2020, 19, 3700–3711. [Google Scholar] [CrossRef]
- Jian, F.L.; Zhi, N.C.; Duo, L.W.; Gary, Z.; Yan-Jie, W. Dual-beam filtering patch antennas for wireless communication application. IEEE Trans. Antennas Propag. 2018, 66, 3730–3734. [Google Scholar]
- Zhang, G.; Wang, J.; Wu, W. Wideband balun bandpass filter explored for a balanced dipole antenna with high selectivity. Electron. Lett. 2016, 52, 1153–1155. [Google Scholar] [CrossRef]
- Deng, J.; Hou, S.; Zhao, L.; Guo, L. A reconfigurable filtering antenna with integrated bandpass filters for UWB/WLAN applications. IEEE Trans. Antennas Propag. 2018, 66, 401–404. [Google Scholar] [CrossRef]
- Sohail, M.F.; Leow, C.Y.; Won, S. Energy-Efficient Non-Orthogonal Multiple Access for UAV Communication System. IEEE Trans. Veh. Technol. 2019, 68, 10834–10845. [Google Scholar] [CrossRef]
- Kim, J.; Lee, H.; Chong, S. Super-MAC Design for Tightly Coupled Multi-RAT Networks. IEEE Trans. Commun. 2019, 67, 6939–6951. [Google Scholar] [CrossRef]
- Capovilla, C.E.; Casella, I.R.; Costa, F.F.; Luz-de-Almeida, L.A.; Sguarezi Filho, A.J. DFIG-Based Wind Turbine Predictive Control Employing a Median Filter to Mitigate Impulsive Interferences on Transmitted Wireless References. IEEE Trans. Ind. Appl. 2019, 55, 4091–4099. [Google Scholar] [CrossRef]
- Wu, C.; Wang, Y.; Yin, Z. Realizing Railway Cognitive Radio: A Reinforcement Base-Station Multi-Agent Model. IEEE Trans. Intell. Transp. Syst. 2019, 20, 1452–1467. [Google Scholar] [CrossRef]
- Yagi, H. Beam transmission of the ultra short waves. Proc. IRE 1928, 16, 715–741. [Google Scholar] [CrossRef]
- Liu, S.; Raad, R.; Theoharis, P.; Tubbal, F.A. Printed Yagi Antenna for CubeSat with Multi-Frequency Tilt Operation. Electronics 2020, 9, 986. [Google Scholar] [CrossRef]
- Tang, H.; Chen, J.X.; Chu, H.; Zhang, G.Q.; Yang, Y.J.; Bao, Z.H. Integration design of filtering antenna with load-insensitive multilayer balun filter. IEEE Trans. Compon. Packag. Manuf. Technol. 2016, 6, 1408–1416. [Google Scholar] [CrossRef]
- Shi, J.; Wu, X.; Chen, Z.N.; Qing, X.; Lin, L.; Chen, J.; Bao, Z. A compact differential filtering Quasi-Yagi antenna with high frequency selectivity and low cross-polarization levels. IEEE Antennas Wirel. Propag. Lett. 2015, 14, 1573–1576. [Google Scholar] [CrossRef]
- Deng, H.W.; Xu, T.; Liu, F. Broadband pattern reconfigurable filtering microstrip antenna with Quasi-Yagi structure. IEEE Antennas Wirel. Propag. Lett. 2018, 17, 1127–1131. [Google Scholar] [CrossRef]
- Wang, Z.P.; Hall, P.S.; Gardner, P. Yagi antenna with frequency domain filtering performance. In Proceedings of the 2012 IEEE International Symposium on Antennas and Propagation, Chicago, IL, USA, 8–14 July 2012; pp. 1–2. [Google Scholar]
- Liang, Z.; Yuan, J. Compact dual-wideband multi-mode printed quasi-Yagi antenna with dual-driven elements. IET Microw. Antennas Propag. 2020, 14, 662–670. [Google Scholar] [CrossRef]
- Byeon, C.W.; Eun, K.C.; Park, C.S. A 2.65-pJ/Bit 12.5-Gb/s 60-GHz OOK CMOS Transmitter and Receiver for Proximity Communications. IEEE Trans. Microw. Theory Tech. 2020, 68, 2902–2910. [Google Scholar] [CrossRef]
- Yang, L.; Zhuang, J. Compact quasi-Yagi antenna with enhanced bandwidth and stable high gain. Electron. Lett. 2020, 56, 219–220. [Google Scholar] [CrossRef]
- Sarkar, D.; Mikki, S.M.; Antar, Y.M.M. Poynting Localized Energy: Method and Applications to Gain Enhancement in Coupled Antenna Systems. IEEE Trans. Antennas Propag. 2020, 68, 3978–3988. [Google Scholar] [CrossRef]
- Alekseytsev, S.A.; Gorbachev, A.P. The Novel Printed Dual-Band Quasi-Yagi Antenna with End-Fed Dipole-Like Driver. IEEE Trans. Antennas Propag. 2020, 68, 4088–4090. [Google Scholar] [CrossRef]
- Zhou, Z.; Wei, Z.; Tang, Z.; Yin, Y. Design and Analysis of a Wideband Multiple-Microstrip Dipole Antenna with High Isolation. IEEE Antennas Wirel. Propag. Lett. 2019, 18, 722–726. [Google Scholar] [CrossRef]
- He, K.; Gong, S.; Gao, F. A Wideband Dual-Band Magneto-Electric Dipole Antenna with Improved Feeding Structure. IEEE Antennas Wirel. Propag. Lett. 2014, 13, 1729–1732. [Google Scholar] [CrossRef]
- Liu, Y.; Yi, H.; Wang, F.; Gong, S. A Novel Miniaturized Broadband Dual-Polarized Dipole Antenna for Base Station. IEEE Antennas Wirel. Propag. Lett. 2013, 12, 1335–1338. [Google Scholar] [CrossRef]
- Wang, Z.; Wu, J.; Yin, Y.; Liu, X. A Broadband Dual-Element Folded Dipole Antenna with a Reflector. IEEE Antennas Wirel. Propag. Lett. 2014, 13, 750–753. [Google Scholar] [CrossRef]
- Lehmensiek, R.; de Villiers, D.I.L. Constant Radiation Characteristics for Log-Periodic Dipole Array Antennas. IEEE Trans. Antennas Propag. 2014, 62, 2866–2869. [Google Scholar]
- Tao, J.; Feng, Q.; Liu, T. Dual-Wideband Magnetoelectric Dipole Antenna with Director Loaded. IEEE Antennas Wirel. Propag. Lett. 2018, 17, 1885–1889. [Google Scholar] [CrossRef]
- Yin, H.; Wang, M.; Wang, J.; Wu, W. A compact wideband filtering quasi-yagi antenna. In Proceedings of the 2017 Sixth Asia-Pacific Conference on Antennas and Propagation (APCAP), Xi’an, China, 16–19 October 2017; pp. 1–3. [Google Scholar]












| Type | Parameters | W | Ly1 | Ly2 | Ly3 | D1 | D2 |
|---|---|---|---|---|---|---|---|
| Traditional | Values(mm) | 2 | 30 | 31.22 | 26.33 | 18.98 | 15.3 |
| Optimized | Values(mm) | 2 | 30 | 27.55 | 33.67 | 2.02 | 3.06 |
| Ref. | Bandwidth (%) | Central Frequency | Design Principle | Realized Gain (dBi) | Size (λ0) | Number of Radiation Null | Number of Layer |
|---|---|---|---|---|---|---|---|
| [17] | 16.7 | 1.72 GHz | Cascade | 5.9 | 0.6 × 0.6 × 0.007 | 0 | 3 |
| [18] | 5.5 | 1.82 GHz | Cascade | 5.1 | 0.75 × 0.6 × 0.007 | 0 | 3 |
| [19] | 25 | 5.2 GHz | From filter to antenna | 7.0 | 0.65 × 0.62 × 0.009 | 1 | 1 |
| [20] | 8.7 | 0.95 GHz | From antenna to filter | 10.6 | 0.55 × 0.15 × N.A | 2 | 1 |
| Our work | 18.5 | 4.01 GHz | From antenna to filter | 5.8 | 0.56 × 0.4 × 0.013 | 3 | 1 |
© 2020 by the authors. Licensee MDPI, Basel, Switzerland. This article is an open access article distributed under the terms and conditions of the Creative Commons Attribution (CC BY) license (http://creativecommons.org/licenses/by/4.0/).
Share and Cite
Chen, Y.; Lu, G.; Wang, S.; Wang, J. Coplanar Stripline-Fed Wideband Yagi Dipole Antenna with Filtering-Radiating Performance. Electronics 2020, 9, 1258. https://doi.org/10.3390/electronics9081258
Chen Y, Lu G, Wang S, Wang J. Coplanar Stripline-Fed Wideband Yagi Dipole Antenna with Filtering-Radiating Performance. Electronics. 2020; 9(8):1258. https://doi.org/10.3390/electronics9081258
Chicago/Turabian StyleChen, Yong, Gege Lu, Shiyan Wang, and Jianpeng Wang. 2020. "Coplanar Stripline-Fed Wideband Yagi Dipole Antenna with Filtering-Radiating Performance" Electronics 9, no. 8: 1258. https://doi.org/10.3390/electronics9081258
APA StyleChen, Y., Lu, G., Wang, S., & Wang, J. (2020). Coplanar Stripline-Fed Wideband Yagi Dipole Antenna with Filtering-Radiating Performance. Electronics, 9(8), 1258. https://doi.org/10.3390/electronics9081258
