Effective PCB Decoupling Optimization by Combining an Iterative Genetic Algorithm and Machine Learning
Abstract
1. Introduction
2. The Machine Learning Approach
2.1. The Artificial Neural Network Structure
2.2. The Training Set
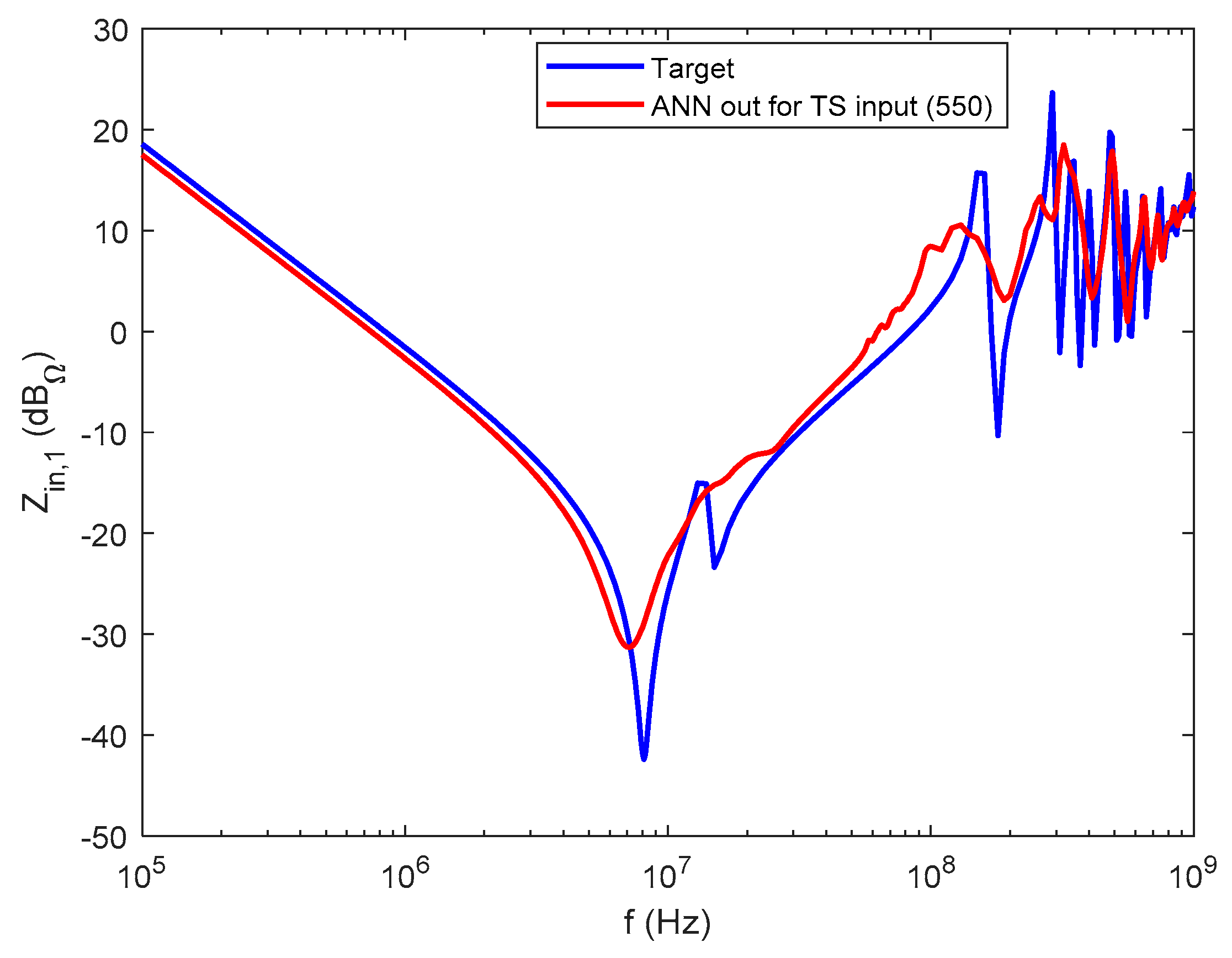
2.3. ANN Validation
3. The Genetic Algorithm
- The population size Np;
- The number of generations Ngen;
- The binary coding that is able to better randomize the generation of new chromosomes, since it is based on a limited number of integer values associated to both locations and decap type;
- The twin removal aimed at avoiding any redundancy in the creation of new chromosomes within a given population;
- The evaluation of the cost function fcost, that, in general, can be associated to multiple input impedances as the sum of the cost functions fcost_i of the Nports for which the PDN impedance should be optimized, with i = 1 Nports.
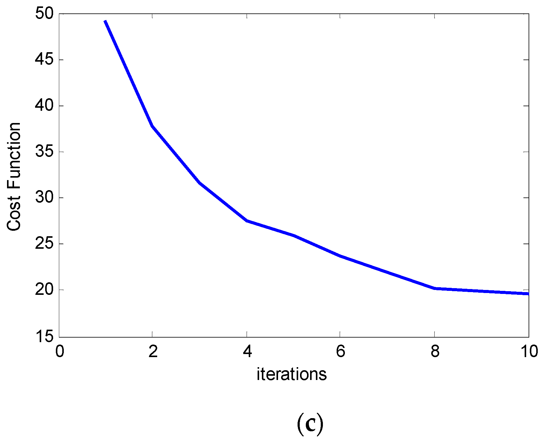
4. Numerical and Experimental Results
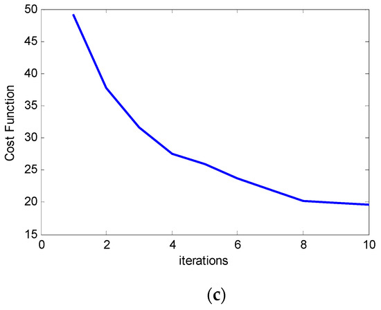
4.1. GA Optimization Based on ANN
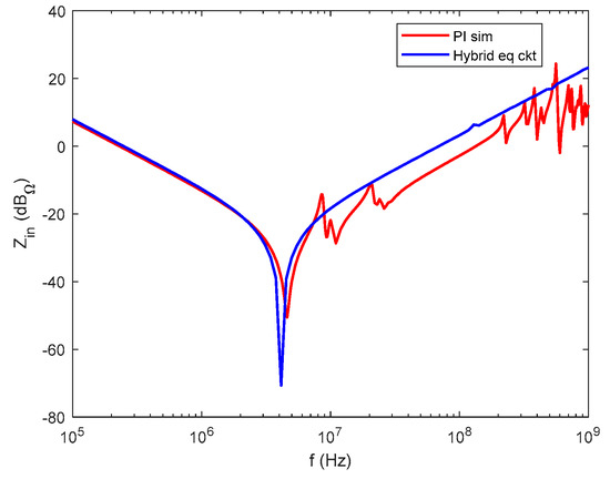
4.2. GA–ANN Optimization and Experimental Validation
5. Conclusions
Author Contributions
Funding
Acknowledgments
Conflicts of Interest
References
- Yang, G.; Chen, K.; Yu, Z.; Zhang, Y.; Zhou, F.; He, J. An Inversion Method for Evaluating Lightning Current Waveform Based on Time Series Neural Network. IEEE Trans. Electromagn. Compat. 2017, 59, 887–893. [Google Scholar] [CrossRef]
- da Arantes, J.; da Arantes, M.; Missaglia, A.B.; Simoes, E.D.V.; Toledo, C.F.M. Evaluating Hardware Platforms and Path Re-planning Strategies for the UAV Emergency Landing Problem. In Proceedings of the 2017 IEEE 29th International Conference on Tools with Artificial Intelligence (ICTAI), Boston, MA, USA, 6–8 November 2017; pp. 937–944. [Google Scholar] [CrossRef]
- Ku, C.K.; Goay, C.H.; Ahmad, N.S.; Goh, P. Jitter Decomposition of High-Speed Data Signals From Jitter Histograms With a Pole–Residue Representation Using Multilayer Perceptron Neural Networks. IEEE Trans. Electromagn. Compat. 2019, 1–11. [Google Scholar] [CrossRef]
- Piersanti, S.; Orlandi, A.; de Paulis, F. Electromagnetic Absorbing Materials Design by Optimization Using a Machine Learning Approach. IEEE Trans. Electromagn. Compat. 2018, 1–8. [Google Scholar] [CrossRef]
- Lu, T.; Wu, K. Machine learning methods in high-speed channel modeling. In Proceedings of the DesignCon 2019, Santa Clara, CA, USA, 29–31 January 2019. [Google Scholar]
- Lu, T.; Sun, J.; Wu, K.; Yang, Z. High-Speed Channel Modeling with Machine Learning Methods for Signal Integrity Analysis. IEEE Trans. Electromagn. Compat. 2018, 60, 1957–1964. [Google Scholar] [CrossRef]
- Xu, J.; Bai, S.; Nalla, K.; Sapozhnikov, M.; Drewniak, J.L.; Hwang, C.; Fan, J. Power Delivery Network Optimization Approach using an Innovative Hybrid Target Impedance. In Proceedings of the 2019 IEEE International Symposium on Electromagnetic Compatibility, Signal & Power Integrity (EMC+SIPI), New Orleans, LA, USA, 22–26 July 2019; pp. 211–216. [Google Scholar]
- Oh, D.; Razmadze, A.; Chandrasekar, K. Power integrity analysis for core logic blocks. In Proceedings of the 2013 IEEE 22nd Conference on Electrical Performance of Electronic Packaging and Systems, San Jose, CA, USA, 27–30 October 2013; pp. 79–82. [Google Scholar]
- Kim, J.; Wu, S.; Wang, H.; Takita, Y.; Takeuchi, H.; Araki, K.; Feng, G.; Fan, J. Improved target impedance and IC transient current measurement for power distribution network design. In Proceedings of the IEEE International Symposium on Electromagnetic Compatibility, Fort Lauderdale, FL, USA, 25–30 July 2010; pp. 445–450. [Google Scholar]
- Armstrong, C. Debug and analysis considerations for optimizing signal integrity in your internet of things design. In Proceedings of the 2017 IEEE International Symposium on Electromagnetic Compatibility & Signal/Power Integrity (EMCSI), Washington, DC, USA, 7–11 August 2017; pp. 20–24. [Google Scholar]
- De Paulis, F.; Zhao, B.; Piersanti, S.; Cho, J.; Cecchetti, R.; Achkir, B.; Orlandi AFan, J. Impact of chip and interposer PDN to eye diagram in high speed channels. In Proceedings of the 2018 IEEE 22nd Workshop on Signal and Power Integrity (SPI), Brest, France, 22–25 May 2018; pp. 1–4. [Google Scholar]
- Piersanti, S.; de Paulis, F.; Olivieri, C.; Orlandi, A. Decoupling Capacitors Placement for a Multichip PDN by a Nature-Inspired Algorithm. IEEE Trans. Electromagn. Compat. 2018, 60, 1678–1685. [Google Scholar] [CrossRef]
- Swaminathan, M.; Han, K.J. Design and Modeling for 3D ICs and Interposers; World Scientific: Singapore, 2014. [Google Scholar]
- Smith, L.D.; Bogatin, E. Principles of Power Integrity for PDN Design; Prentice-Hall: New York, NY, USA, 2016. [Google Scholar]
- Zamek, I.; Boyle, P.; Li, Z.; Sun, S.; Chen, X.; Chandra, S.; Li, T. Modeling FPGA current waveform and spectrum and PDN noise estimation. In Proceedings of the DesignCon 2008, Santa Clara, CA, USA, 22 February 2008. [Google Scholar]
- Erdin, I.; Achar, R. Multi-pin optimization method for placement of decoupling capacitors using genetic algorithm. IEEE Trans. Electromagn. Compat. 2018, 60, 1662–1669. [Google Scholar] [CrossRef]
- Erdin, I.; Achar, R. Multi-Objective Optimization of Decoupling Capacitors for Placement and Component Value. IEEE Trans. Compon. Packag. Manuf. Technol. 2019, 9, 1976–1983. [Google Scholar] [CrossRef]
- Song, E.; Koo, J.; Pak, J.S.; Kim, J. Through-Silicon-Via-Based Decoupling Capacitor Stacked Chip in 3-D-ICs. IEEE Trans. Compon. Packag. Manuf. Technol. 2013, 9, 1467–1480. [Google Scholar] [CrossRef]
- de Paulis, F.; Cecchetti, R.; Olivieri, C.; Piersanti, S.; Orlandi, A.; Buecker, M. Efficient Iterative Process Based on an Improved Genetic Algorithm for Decoupling Capacitor Placement at Board Level. Electronics 2019, 8, 1219. [Google Scholar] [CrossRef]
- Kahng, S. GA-optimized decoupling capacitors damping the rectangular power-bus’ cavity-mode resonances. IEEE Microw. Wirel. Compon. Lett. 2006, 16, 375–377. [Google Scholar] [CrossRef]
- Shringarpure, K.; Zhao, B.; Wei, L.; Archambeault, B.; Ruehli, A.; Cracraft, M.; Cocchini, M.; Wheeler, E.; Fan, J.; Drewniak, J. On finding the optimal number of decoupling capacitors by minimizing the equivalent inductance of the PCB PDN. In Proceedings of the 2014 IEEE International Symposium on Electromagnetic Compatibility (EMC), Raleigh, NC, USA, 4–8 August 2014; pp. 218–223. [Google Scholar]
- Kadlec, P.; Marek, M.; Štumpf, M.; Šeděnka, V. PCB Decoupling Optimization With Variable Number of Capacitors. IEEE Trans. Electromagn. Compat. 2019, 61, 1841–1848. [Google Scholar] [CrossRef]
- Su, H.; Sapatnekar, S.S.; Nassif, S.R. Optimal decoupling capacitor sizing and placement for standard-cell layout designs. IEEE Trans. Comput. Aided Des. Integr. Circuits Syst. 2003, 22, 428–436. [Google Scholar] [CrossRef]
- Wang, X.; Cai, Y.; Zhou, Q.; Tan, S.X.; Eguia, T. Decoupling capacitance efficient placement for reducing transient power supply noise. In Proceedings of the 2009 International Conference on Computer-Aided Design, San Jose, CA, USA, 2–5 November 2009; pp. 745–751. [Google Scholar]
- Zuken. Design Force User Manual. Available online: https://www.zuken.com/it/products/pcb-design/cr-8000/products/design-force (accessed on 2 September 2019).
- Piersanti, S.; Cecchetti, R.; Olivieri, C.; de Paulis, F.; Orlandi, A.; Buecker, M. Decoupling Capacitors Placement at Board Level Adopting a Nature-Inspired Algorithm. Electronics 2019, 8, 737. [Google Scholar] [CrossRef]
- Haupt, R.L.; Werner, D.H. Genetic Algorithms in Electromagnetics; John Wiley & Sons: New York, NY, USA, 2007. [Google Scholar]
- Bishop, C.M.; Roach, C.M. Fast curve fitting using neural networks. Rev. Sci. Instrum. 1992, 63, 4450–4456. [Google Scholar] [CrossRef]
- Matlab Manual: Improve Shallow Neural Network Generalization and Avoid Overfitting MATLAB & Simulink. Available online: https://it.mathworks.com/help/deeplearning/ug/improve-neural-network-generalization-and-avoid-overfitting.html (accessed on 31 July 2020).
- TDK. Available online: https://product.tdk.com/en/search/capacitor/ceramic/mlcc/characteristic/ (accessed on 4 February 2019).
- MacKay, D.J.C. Bayesian interpolation. Neural Comput. 1992, 4, 415–447. [Google Scholar] [CrossRef]
- Demuth, H.B.; Beale, M.H.; De Jess, O.; Hagan, M.T. Beale: Neural Network Design; Martin Hagan: Stillwater, OK, USA, 2014. [Google Scholar]
- Ortega, J.G.; Janer, C.L.; Quero, J.M.; Franquelo, L.G.; Pinilla, J.; Serrano, J. Analog to digital and digital to analog conversion based on stochastic logic. In Proceedings of the IECON ’95-21st Annual Conference on IEEE Industrial Electronics, Orlando, FL, USA, 6–10 November 1995; Volume 2, pp. 995–999. [Google Scholar]
- de Paulis, F.; Cecchetti, R.; Olivieri, C.; Buecker, M. Genetic Algorithm PDN Optimization based on Minimum Number of Decoupling Capacitors Applied to Arbitrary Target Impedance. In Proceedings of the IEEE International Symposium on Electromagnetic Compatibility and Signal & Power Integrity, 3–28 August 2020. www.ieee.com. [Google Scholar]
















| Type | Code | C, ESL, ESR |
|---|---|---|
| 1 | 1 | 100 nF, 222 pH, 8.9 mΩ |
| 2 | 2 | 47 nF, 154 pH, 21.4 mΩ |
| 3 | 3 | 22 nF, 142 pH, 25.2 mΩ |
© 2020 by the authors. Licensee MDPI, Basel, Switzerland. This article is an open access article distributed under the terms and conditions of the Creative Commons Attribution (CC BY) license (http://creativecommons.org/licenses/by/4.0/).
Share and Cite
Cecchetti, R.; de Paulis, F.; Olivieri, C.; Orlandi, A.; Buecker, M. Effective PCB Decoupling Optimization by Combining an Iterative Genetic Algorithm and Machine Learning. Electronics 2020, 9, 1243. https://doi.org/10.3390/electronics9081243
Cecchetti R, de Paulis F, Olivieri C, Orlandi A, Buecker M. Effective PCB Decoupling Optimization by Combining an Iterative Genetic Algorithm and Machine Learning. Electronics. 2020; 9(8):1243. https://doi.org/10.3390/electronics9081243
Chicago/Turabian StyleCecchetti, Riccardo, Francesco de Paulis, Carlo Olivieri, Antonio Orlandi, and Markus Buecker. 2020. "Effective PCB Decoupling Optimization by Combining an Iterative Genetic Algorithm and Machine Learning" Electronics 9, no. 8: 1243. https://doi.org/10.3390/electronics9081243
APA StyleCecchetti, R., de Paulis, F., Olivieri, C., Orlandi, A., & Buecker, M. (2020). Effective PCB Decoupling Optimization by Combining an Iterative Genetic Algorithm and Machine Learning. Electronics, 9(8), 1243. https://doi.org/10.3390/electronics9081243

