Assessment of Head Impacts and Muscle Activity in Soccer Using a T3 Inertial Sensor and a Portable Electromyography (EMG) System: A Preliminary Study
Abstract
1. Introduction
1.1. Background
1.2. Literature Review
1.3. Assessments of Wearable Technology
1.4. Research Questions
2. Materials and Methods
2.1. Instrumentation
2.1.1. Inertial Sensors
2.1.2. Optical Motion Capture
2.1.3. Surface Electromyography System
2.2. Participant Slection
2.2.1. Motion Capture Heading Tests
2.2.2. Field Heading Tests
2.2.3. Neck Muscle Activity (EMG) Intervention Test
2.3. Protocol
2.3.1. Inertial Sensor Validation with Optical Motion Capture
2.3.2. Inertial Sensor Field Testing
2.3.3. Inertial Sensor with Electromyography (Intervention Test)
2.4. Algorithm
2.4.1. Inertial Sensor Validation with Optical Motion Capture
2.4.2. Inertial Sensor Field Testing
2.4.3. Inertial Sensor with Electromyography (Intervention Test)
3. Results
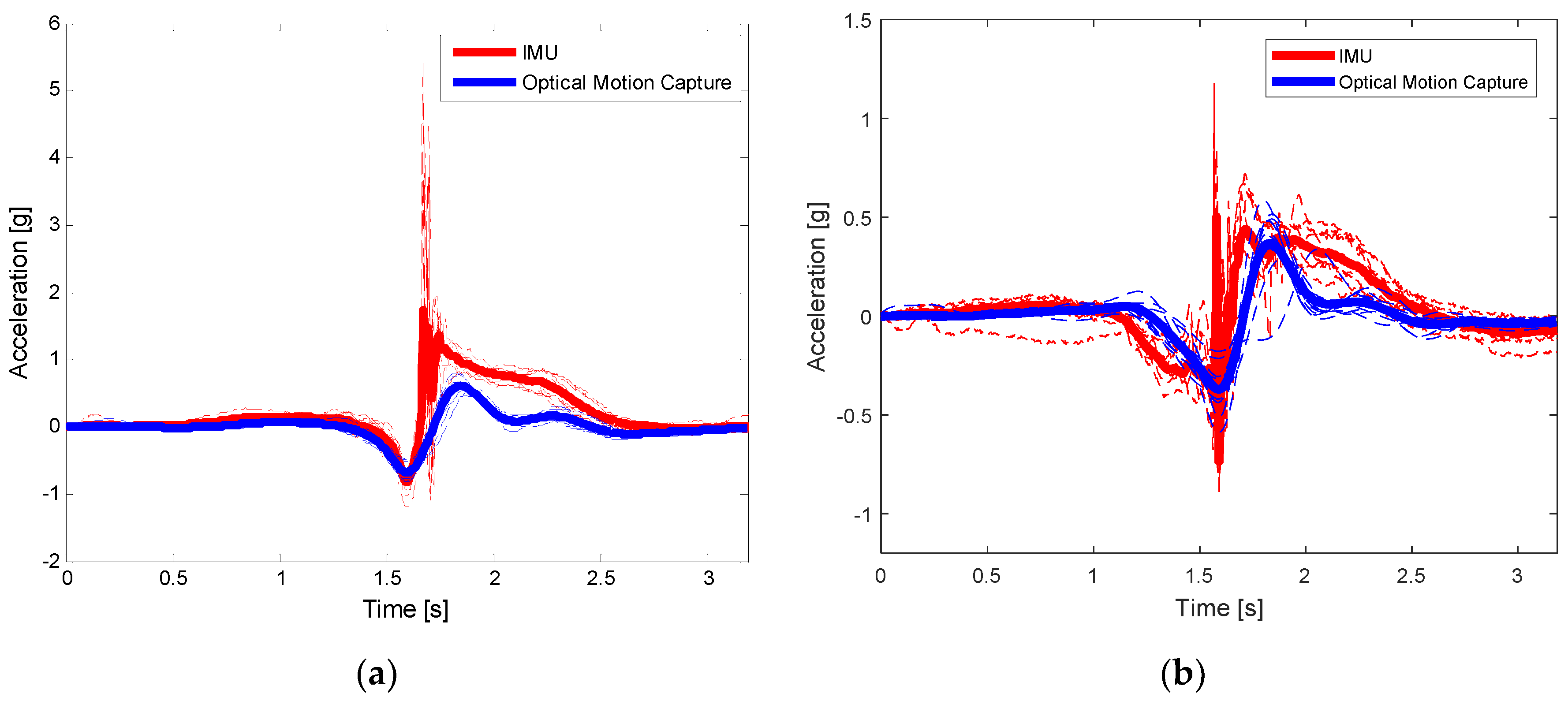
3.1. Inertial Sensor Validation with Optical Motion Capture
3.2. Inertial Sensor Field Measurments
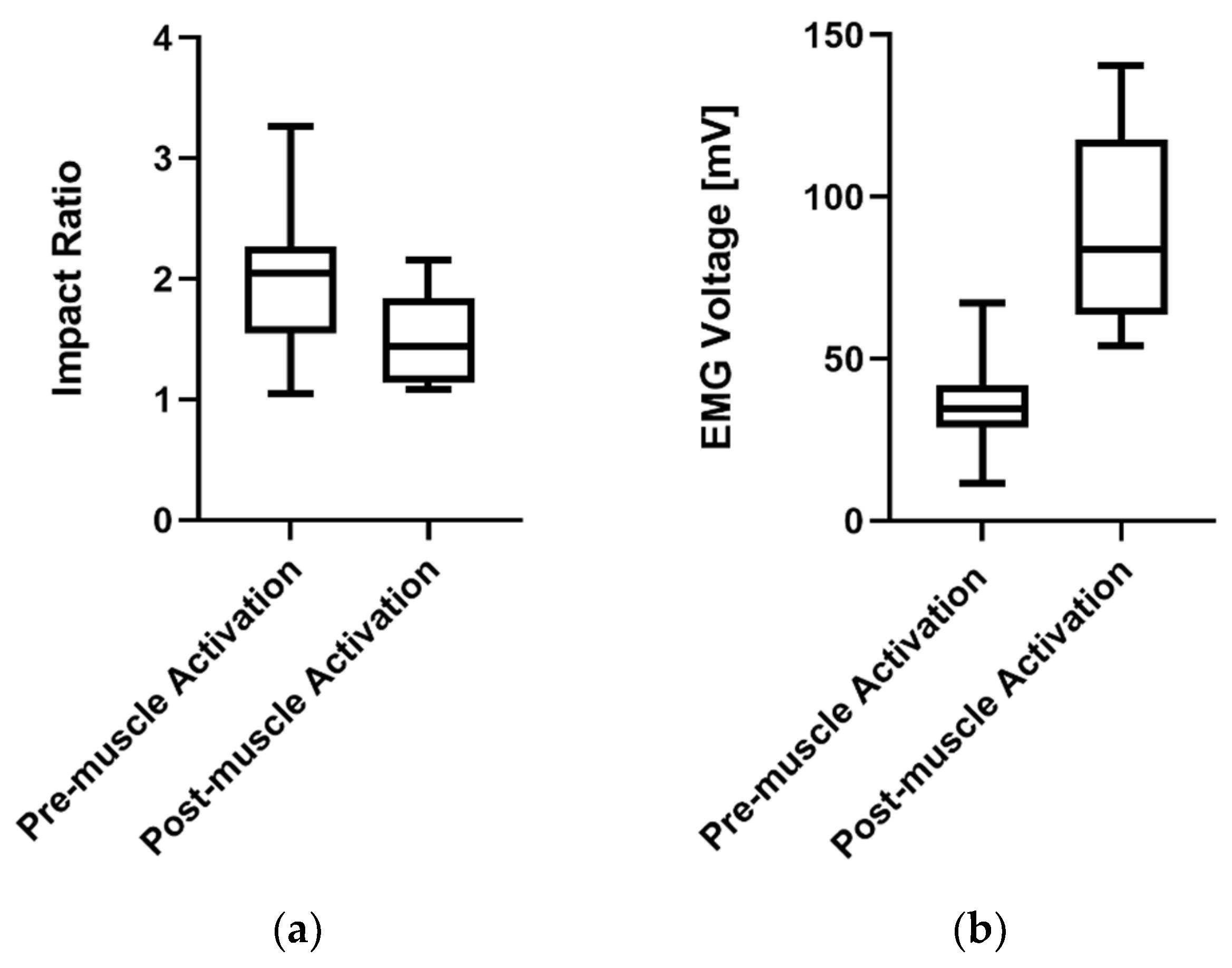
3.3. Inertial Sensor with Electromyogaphy (Intervention Test)
4. Discussion
5. Conclusions
Author Contributions
Funding
Acknowledgments
Conflicts of Interest
References
- Kirkendall, D.T.; Garrett, W.E. Heading in soccer: Integral skill or grounds for cognitive dysfunction? J. Athl. Train. 2001, 36, 328–333. [Google Scholar] [PubMed]
- Kunz, M. 265 million playing football. FIFA Magazine, July 2007; 10–15. Available online: https://www.fifa.com/mm/document/fifafacts/bcoffsurv/emaga_9384_10704.pdf (accessed on 18 May 2020).
- Horne, J. Globalization and football. Leis. Stud. 2012, 31, 123–124. [Google Scholar] [CrossRef]
- Quintero, L.M.; Moore, J.W.; Yeager, M.G.; Rowsey, K.; Olmi, D.J.; Britton-Slater, J.; Harper, M.L.; Zezenski, L.E. Reducing risk of head injury in youth soccer: An extension of behavioral skills training for heading. J. Appl. Behav. Anal. 2019, 53, 237–248. [Google Scholar] [CrossRef] [PubMed]
- Guskiewicz, K.M.; Marshall, S.W.; Bailes, J.; McCrea, M.; Cantu, R.C.; Randolph, C.; Jordan, B.D. Association between recurrent concussion and late-life cognitive impairment in retired professional football players. Neurosurgery 2005, 57, 719–726. [Google Scholar] [CrossRef] [PubMed]
- Maroon, J.C.; Winkelman, R.; Bost, J.; Amos, A.; Mathyssek, C.; Miele, V. Chronic traumatic encephalopathy in contact sports: A systematic review of all reported pathological cases. PLoS ONE 2015, 10, 1–16. [Google Scholar] [CrossRef]
- Maher, M.E.; Hutchison, M.; Cusimano, M.; Comper, P.; Schweizer, T.A. Concussions and heading in soccer: A review of the evidence of incidence, mechanisms, biomarkers and neurocognitive outcomes. Brain Inj. 2014, 28, 271–285. [Google Scholar] [CrossRef]
- Reilly, T.; Thomas, V. A motion analysis of work rate in different positional roles in professional football match play. J. Human Mov. Stud. 1976, 2, 87–97. [Google Scholar]
- Erkmen, N. Evaluating the heading in professional soccer players by playing positions. J. Strength Cond. Res. 2009, 23, 1723–1728. [Google Scholar] [CrossRef]
- Peek, K.; Elliott, J.M.; Orr, R. Higher neck strength is associated with lower head acceleration during purposeful heading in soccer: A systematic review. J. Sci. Med. Sport 2020, 23, 453–462. [Google Scholar] [CrossRef]
- Mansell, J.; Tierney, R.T.; Sitler, M.R.; Swanik, K.A.; Stearne, D. Resistance training and head-neck segment dynamic stabilization in male and female collegiate soccer players. J. Athl. Train. 2005, 40, 310–319. [Google Scholar]
- Nazarahari, M.; Arthur, J.; Rouhani, H. A novel testing device to assess the effect of neck strength on risk of concussion. Ann. Biomed. Eng. 2020, 48, 1–13. [Google Scholar] [CrossRef] [PubMed]
- Caccese, J.B.; Buckley, T.A.; Tierney, R.T.; Rose, W.C.; Glutting, J.J.; Kaminski, T.W. Sex and age differences in head acceleration during purposeful soccer heading. Res. Sports Med. 2018, 26, 64–74. [Google Scholar] [CrossRef]
- Simoneau, M.; Denninger, M.; Hain, T.C. Role of loading on head stability and effective neck stiffness and viscosity. J. Biomech. 2008, 41, 2097–2103. [Google Scholar] [CrossRef] [PubMed]
- Dezman, Z.D.W.; Ledet, E.H.; Kerr, H.A. Neck strength imbalance correlates with increased head acceleration in soccer heading. Sports Health Multidiscip. Approach 2013, 5, 320–326. [Google Scholar] [CrossRef] [PubMed]
- Schmidt, J.D.; Guskiewicz, K.M.; Blackburn, J.T.; Mihalik, J.P.; Siegmund, G.P.; Marshall, S.W. The influence of cervical muscle characteristics on head impact biomechanics in football. Am. J. Sports Med. 2014, 42, 2056–2066. [Google Scholar] [CrossRef]
- Stone, T.; Stone, N.; Roy, N.; Melton, W.; Jackson, J.B.; Nelakuditi, S. On smart soccer ball as a head impact sensor. IEEE Trans. Instrum. Meas. 2019, 68, 2979–2987. [Google Scholar] [CrossRef]
- Camomilla, V.; Bergamini, E.; Fantozzi, S.; Vannozzi, G. Trends supporting the in-field use of wearable inertial sensors for sport performance evaluation: A systematic review. Sensors 2018, 18, 873. [Google Scholar] [CrossRef]
- Espinosa, H.G.; Shepherd, J.B.; Thiel, D.V.; Worsey, M.T.O. Anytime, anywhere! Inertial sensors monitor sports performance. IEEE Potentials 2019, 38, 11–16. [Google Scholar] [CrossRef]
- Espinosa, H.G.; Lee, J.; James, D.A. The inertial sensor: A base platform for wider adoption in sports science and applications. J. Fit. Res. 2015, 4, 13–20. [Google Scholar]
- Shepherd, J.; James, D.; Espinosa, H.; Thiel, D.; Rowlands, D. A literature review informing an operational guideline for inertial sensor propulsion measurement in wheelchair court sports. Sports 2018, 6, 34. [Google Scholar] [CrossRef]
- Worsey, M.T.O.; Espinosa, H.G.; Shepherd, J.B.; Thiel, D.V. Inertial sensors for performance analysis in combat sports: A systematic review. Sports 2019, 7, 28. [Google Scholar] [CrossRef] [PubMed]
- Worsey, M.T.O.; Espinosa, H.G.; Shepherd, J.B.; Thiel, D.V. A systematic review of performance analysis in rowing using inertial sensors. Electronics 2019, 8, 1304. [Google Scholar] [CrossRef]
- Catapult Sports. Available online: https://www.catapultsports.com/ (accessed on 14 November 2018).
- x2 Biosystems xPatch. Available online: http://www.x2biosystems.com/x2_x_patch (accessed on 1 May 2020).
- Reebok Checklight. Available online: https://news.reebok.com/global/latest-news/reebok-checklight-winsfast-company-innovation-by-design-award/s/1487ce21-b8b2-436f-b56ee3d658437f4e (accessed on 1 May 2020).
- Triax SIM-P. Available online: https://www.triaxtec.com/sim-p (accessed on 1 May 2020).
- Shepherd, J.B.; Thiel, D.V.; Espinosa, H.G. Evaluating the use of inertial-magnetic sensors to assess fatigue in boxing during intensive training. IEEE Sens. Lett. 2017, 1, 1–4. [Google Scholar] [CrossRef]
- Shepherd, J.; Wada, T.; Rowlands, D.; James, D. A novel AHRS inertial sensor-based algorithm for wheelchair propulsion performance analysis. Algorithms 2016, 9, 55. [Google Scholar] [CrossRef]
- Thiel, D.V.; Shepherd, J.; Espinosa, H.G.; Kenny, M.; Fischer, K.; Worsey, M.; Matsuo, A.; Wada, T. Predicting ground reaction forces in sprint running using a shank mounted inertial measurement unit. Proceedings 2018, 2, 199. [Google Scholar] [CrossRef]
- Leardini, A.; Biagi, F.; Merlo, A.; Belvedere, C.; Benedetti, M.G. Multi-segment trunk kinematics during locomotion and elementary exercises. Neurosurgery 2011, 26, 562–571. [Google Scholar] [CrossRef]
- Pezzack, J.C.; Norman, R.W.; Winter, D.A. An assessment of derivative determining techniques used for motion analysis. J. Biomech. 1977, 10, 377–382. [Google Scholar] [CrossRef]
- Levendusky, T.A. The Impact Characteristics of Two Types of Soccer Balls Under the Influence of Selected Conditions. Ph.D. Thesis, University of Toledo, Toledo, OH, USA, 1987. [Google Scholar]
- Hodgson, V.R.; Nakamura, M.S.; Nakamura, G.S. Mechanical impedance and impact response of the human cadaver zygoma. J. Biomech. 1968, 1, 73–78. [Google Scholar] [CrossRef]
- Sunami, S.; Maruyama, T. Motion and EMG analysis of soccer-ball heading for the lateral direction. Footb. Sci. 2008, 5, 7–17. [Google Scholar]
- Broglio, S.P. No acute changes in postural control after soccer heading. Br. J. Sports Med. 2004, 38, 561–567. [Google Scholar] [CrossRef]











| Citation | Sport | Number of Subjects | Measurement Technology | Biomechanical Movement | Performance Metric | Research Findings |
|---|---|---|---|---|---|---|
| [13] | Soccer | 100 | 6DOF Inertial sensor (Accel/Gyro) Fs = 1 kHz | Soccer heading | Linear head accelerations; rotational head accelerations | Females (40.9 ± 13.3 g; 3279 ± 1065 rad/s2) Males (27.6 ± 8.5 g, 2219 ± 823 rad/s2) |
| [14] | NA | 7 | Angular velocity sensor | NA | Angular velocity (with/without loading) | Angular velocity of head significantly decreased when muscles were activated due to loading (18% and 20% for backwards and forwards head impacts). |
| [11] | Soccer | 36 | 2-D motion capture system; Video camera Fs = 60 Hz; EMG system Fs = 960 Hz; Force load cell | Maximum voluntary isometric contractions | Neck flexion and extension strength pre and post training intervention. | 15% increase in neck strength (neck girth increased by 3%). No kinematic, EMG or stiffness training effects were seen. |
| [15] | Soccer | 16 | 14 camera optical motion capture system (Vicon MX3) Fs = 450 Hz; Dynamometer | Soccer heading | Linear head accelerations; rotational head accelerations | Neck strength difference was related to head acceleration (p = 0.05) |
| [16] | American football | 49 | Head telemetry system; load cell Fs = 2 kHz; Ultrasound; Electromagnetic motion capture system Fs = 100 Hz; EMG | Head impacts | A range of descriptive statists relating to head and neck strength. | Players with greater cervical stiffness had reduced odds of sustaining both moderate and severe head impacts. |
| [10] | Soccer | 5 cross sectional studies (literature review) | NA | Soccer heading | NA | Higher neck strength is associated with lower head acceleration (p < 9.95, r < −0.5) |
| Overall Reprojection | Worst Camera | Triangulation | Overall Wand Error | Ray Length |
|---|---|---|---|---|
| Mean 3D error: 1.147 mm | Mean 3D error: 1.282 mm | Recommended: 3.1 mm | Mean error: 0.334 mm | Suggested max: 5.7 m |
| Mean 2D error: 0.188 pixels | Mean 2D error: 0.284 pixels | Residual mean error: 1.2 mm | - | - |
| Excellent | Excellent | - | Exceptional | - |
© 2020 by the authors. Licensee MDPI, Basel, Switzerland. This article is an open access article distributed under the terms and conditions of the Creative Commons Attribution (CC BY) license (http://creativecommons.org/licenses/by/4.0/).
Share and Cite
Worsey, M.T.O.; Jones, B.S.; Cervantes, A.; Chauvet, S.P.; Thiel, D.V.; Espinosa, H.G. Assessment of Head Impacts and Muscle Activity in Soccer Using a T3 Inertial Sensor and a Portable Electromyography (EMG) System: A Preliminary Study. Electronics 2020, 9, 834. https://doi.org/10.3390/electronics9050834
Worsey MTO, Jones BS, Cervantes A, Chauvet SP, Thiel DV, Espinosa HG. Assessment of Head Impacts and Muscle Activity in Soccer Using a T3 Inertial Sensor and a Portable Electromyography (EMG) System: A Preliminary Study. Electronics. 2020; 9(5):834. https://doi.org/10.3390/electronics9050834
Chicago/Turabian StyleWorsey, Matthew T. O., Bethany S. Jones, Andres Cervantes, Sabrina P. Chauvet, David V. Thiel, and Hugo G. Espinosa. 2020. "Assessment of Head Impacts and Muscle Activity in Soccer Using a T3 Inertial Sensor and a Portable Electromyography (EMG) System: A Preliminary Study" Electronics 9, no. 5: 834. https://doi.org/10.3390/electronics9050834
APA StyleWorsey, M. T. O., Jones, B. S., Cervantes, A., Chauvet, S. P., Thiel, D. V., & Espinosa, H. G. (2020). Assessment of Head Impacts and Muscle Activity in Soccer Using a T3 Inertial Sensor and a Portable Electromyography (EMG) System: A Preliminary Study. Electronics, 9(5), 834. https://doi.org/10.3390/electronics9050834

