Monopulse Antenna Based on Singular Spoof Surface Plasmon Polariton Structure for Angle Measurement
Abstract
1. Introduction
2. Analysis and Design
2.1. Antenna Configuration
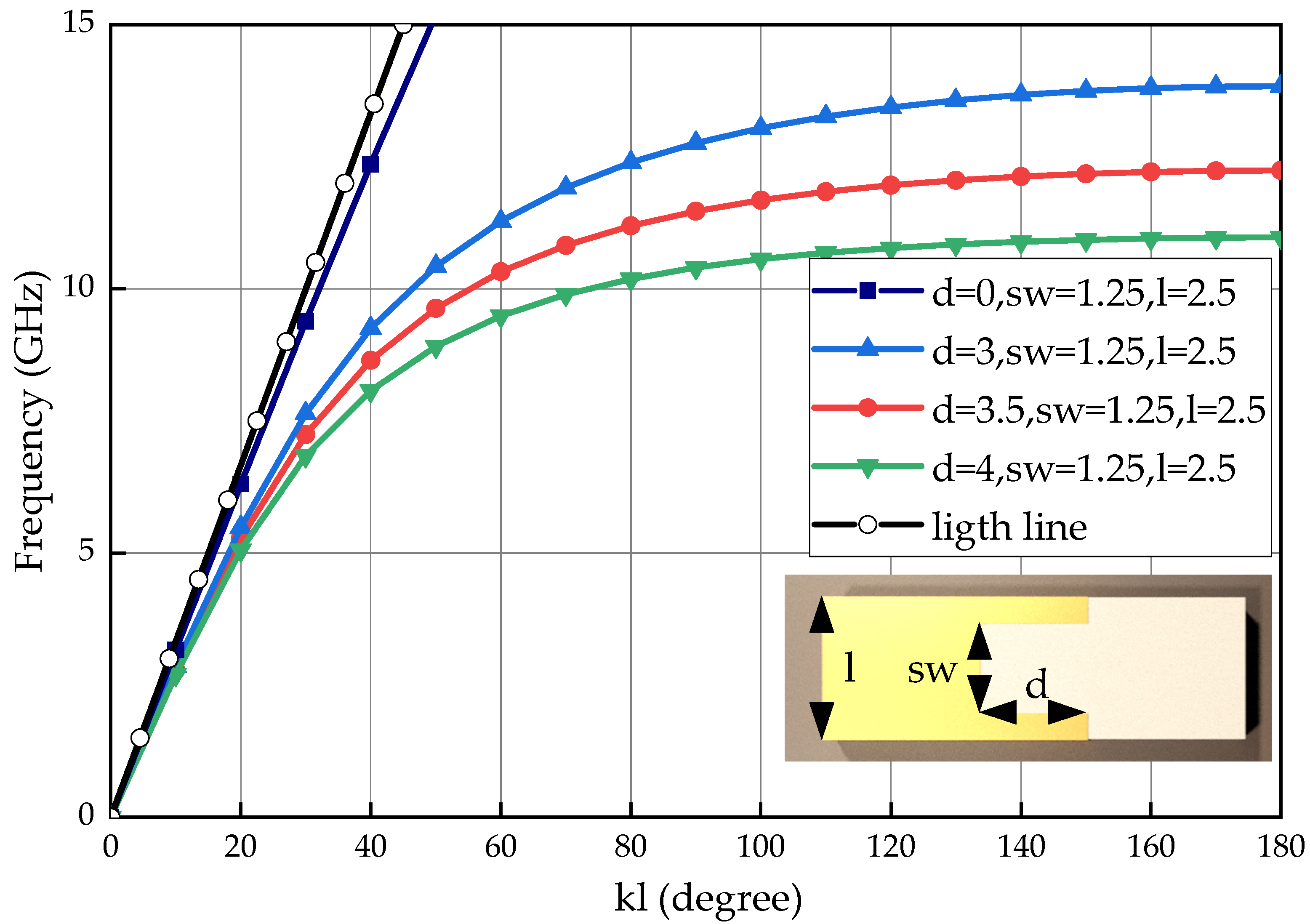
2.2. Field Confinement of the Spoof Surface Plasmon Polariton
2.3. Sum and Differential Feeding Network
2.4. Design and Optimization Using Team Progress Algorithm
2.5. Monopulse Radiation Performance
2.6. Directivity in the Endfire Direction
3. Fabrication and Results
3.1. Fabrication
3.2. Scattering Parameters
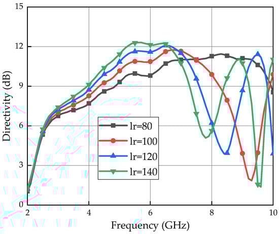
3.3. Radiation Performance
4. Conclusions
Author Contributions
Funding
Conflicts of Interest
References
- Han, J.; Jiang, Y.; Guo, G.; Cheng, X. A Reconfigurable Analog Baseband Circuitry for LFMCW Radar Receivers in 130-Nm Sige Bicmos Process. Electronics 2020, 9, 831. [Google Scholar] [CrossRef]
- Roehr, S.; Gulden, P.; Vossiek, M. Precise Distance and Velocity Measurement for Real Time Locating in Multipath Environments Using a Frequency-Modulated Continuous-Wave Secondary Radar Approach. IEEE Trans. Microw. Theory Tech. 2008, 56, 2329–2339. [Google Scholar] [CrossRef]
- Wei, Y.; Hong, T.; Kadoch, M. Improved Kalman Filter Variants for UAV Tracking with Radar Motion Models. Electronics 2020, 9, 768. [Google Scholar] [CrossRef]
- Shen, S.; Nie, X.; Tang, L.; Bai, Y.; Zhang, X.; Li, L.; Ben, D. An Improved Coherent Integration Method for Wideband Radar Based on Two-Dimensional Frequency Correction. Electronics 2020, 9, 840. [Google Scholar] [CrossRef]
- Ye, L.; Lan, S.; Zhang, K.; Zhang, G. EM-Sign: A Non-Contact Recognition Method Based on 24 GHz Doppler Radar for Continuous Signs and Dialogues. Electronics 2020, 9, 1577. [Google Scholar] [CrossRef]
- Dunn, J.H.; Howard, D.D. RADAR Target Amplitude, Angle, and Doppler Scintillation from Analysis of the Echo Signal Propagating in Space. IEEE Trans. Microw. Theory Tech. 1968, 16, 715–728. [Google Scholar] [CrossRef]
- Definitions and Particulars of Assignments. In Manual of Regulations and Procedures for Federal Radio Frequency Management; National Telecommunications and Information Administration (NITA): Washington, DC, USA, 1993; Section 6.1.1; pp. 6–12.
- Skolnik, M.I. Radar Handbook, 3rd ed.; McGraw-Hill: New York, NY, USA, 2008. [Google Scholar]
- Sherman, S.M.; Barton, D.K. Monopulse Principles and Techniques, 2nd ed.; Artech House: Norwood, MA, USA, 1985. [Google Scholar]
- Zhang, Y.-X.; Liu, Q.-F.; Hong, R.-J.; Pan, P.-P.; Deng, Z.-M. A Novel Monopulse Angle Estimation Method for Wideband LFM Radars. Sensors 2016, 16, 817. [Google Scholar] [CrossRef]
- Rutkowski, A.; Kawalec, A. Some of Problems of Direction Finding of Ground-Based Radars Using Monopulse Location System Installed on Unmanned Aerial Vehicle. Sensors 2020, 20, 5186. [Google Scholar] [CrossRef]
- Zhang, X.; Li, Y.; Yang, X.; Zheng, L.; Long, T.; Baker, C.J. A Novel Monopulse Technique for Adaptive Phased Array Radar. Sensors 2017, 17, 116. [Google Scholar] [CrossRef]
- Zhang, Y.; Jiao, Y.; Zhang, L.; Wen, J. Wideband 2-D Monopulse Antenna Array With Higher-Order Mode Substrate Integrated Waveguide Feeding and 3-D Printed Packaging. IEEE Trans. Antennas Propag. 2020, 68, 3259–3264. [Google Scholar] [CrossRef]
- Wang, Y.; Wang, G.; Yu, Z.; Liang, J.; Gao, X. Ultra-Wideband E-Plane Monopulse Antenna Using Vivaldi Antenna. IEEE Trans. Antennas Propag. 2014, 62, 4961–4969. [Google Scholar] [CrossRef]
- Pan, X.; Yang, F.; Xu, S.; Li, M. A 10240-Element Reconfigurable Reflectarray with Fast Steerable Monopulse Patterns. IEEE Trans. Antennas Propag. 2020, 1. [Google Scholar] [CrossRef]
- Polo-López, L.; Córcoles, J.; Ruiz-Cruz, J.A.; Montejo-Garai, J.R.; Rebollar, J.M. Triple Radiation Pattern Monopulse Horn Feed with Compact Single-layer Comparator Network. IEEE Trans. Antennas Propag. 2020. [Google Scholar] [CrossRef]
- Roy, S.S.; Saha, C.; Nagasekhar, T.; Mane, S.B.; Padmavathy, C.S.; Umadevi, G.; Kumar, M.N. Design of a Compact Multielement Monopulse Feed for Ground-Station Satellite Tracking Applications. IEEE Antennas Wirel. Propag. Lett. 2019, 18, 1721–1725. [Google Scholar] [CrossRef]
- Lopez, A. Monopulse Networks for Series Feeding an Array Antenna. IEEE Trans. Antennas Propag. 1968, 16, 436–440. [Google Scholar] [CrossRef]
- Vazquez-Roy, J.L.; Tamayo-Domínguez, A.; Rajo-Iglesias, E.; Sierra-Castañer, M. Radial Line Slot Antenna Design With Groove Gap Waveguide Feed for Monopulse Radar Systems. IEEE Trans. Antennas Propag. 2019, 67, 6317–6324. [Google Scholar] [CrossRef]
- Zhao, F.; Cheng, Y.J.; Kou, P.F.; Yao, S.S. A Wideband Low-Profile Monopulse Feeder Based on Silicon Micromachining Technology for W-Band High-Resolution System. IEEE Antennas Wirel. Propag. Lett. 2019, 18, 1676–1680. [Google Scholar] [CrossRef]
- Yu, F.; Xie, Y.; Zhang, L. Single Patch Antenna with Monopulse Patterns. IEEE Microw. Wirel. Compon. Lett. 2016, 26, 762–764. [Google Scholar] [CrossRef]
- Subbarao, B.; Fusco, V.F. Single aperture monopulse horn antenna. IEEE Microw. Wirel. Compon. Lett. 2005, 15, 80–82. [Google Scholar] [CrossRef]
- Lalbakhsh, A.; Afzal, M.U.; Esselle, K.P. Multiobjective Particle Swarm Optimization to Design a Time-Delay Equalizer Metasurface for an Electromagnetic Band-Gap Resonator Antenna. IEEE Antennas Wirel. Propag. Lett. 2017, 16, 912–915. [Google Scholar] [CrossRef]
- Lalbakhsh, A.; Afzal, M.U.; Esselle, K. Simulation-driven particle swarm optimization of spatial phase shifters. In Proceedings of the 2016 International Conference on Electromagnetics in Advanced Applications (ICEAA), Cairns, Australia, 19–23 September 2016. [Google Scholar]
- Lalbakhsh, A.; Afzal, M.U.; Esselle, K.P.; Zeb, B.A. Multi-objective particle swarm optimization for the realization of a low profile bandpass frequency selective surface. In Proceedings of the 2015 International Symposium on Antennas and Propagation (ISAP), Hobart, TAS, Australia, 9–12 November 2015. [Google Scholar]
- Lalbakhsh, A.; Afzal, M.U.; Zeb, B.A.; Esselle, K.P. Design of a dielectric phase-correcting structure for an EBG resonator antenna using particle swarm optimization. In Proceedings of the 2015 International Symposium on Antennas and Propagation (ISAP), Hobart, TAS, Australia, 9–12 November 2015. [Google Scholar]
- Tang, Y.; Bo, Y.; Zhu, L.; Zhang, M.; Chang, Y.; Ran, Y. Team Progress Algorithm and its Applications. In Proceedings of the 2018 International Conference on Microwave and Millimeter Wave Technology (ICMMT), Chengdu, China, 7–11 May 2018. [Google Scholar]
- Bo, Y.; Liu, B. An epitome-based evolutionary algorithm with behavior division for multimodal optimizations. In Proceedings of the 2008 International Conference on Neural Networks and Signal Processing, Nanjing, China, 7–11 June 2008; pp. 406–411. [Google Scholar]
- Li, S.; Liu, L.; Yin, X.; Zhao, H. Time Domain Objective Function Based on Euclidean Distance Matrix and its Application in Optimization of Short Pulse Power Divider. IEEE Microw. Wirel. Compon. Lett. 2016, 26, 4–6. [Google Scholar] [CrossRef]
- Li, S.; Zhang, Q.; Xu, Z.; Zhao, H.; Yin, X. Phase Transforming Based on Asymmetric Spoof Surface Plasmon Polariton for Endfire Antenna with Sum and Difference Beams. IEEE Trans. Antennas Propag. 2020, 68, 6602–6613. [Google Scholar] [CrossRef]

















| Ww | Wtg | Wsl | Lc | Ls | Lp | hw | Ltg | Wcc |
| 108 | 25.5 | 0.1 | 16 | 134 | 4 | 30 | 30 | 1 |
| Ws | Wcs | MR | Lr | LSSPP | hsub | MSn | MSw | Wp |
| 70 | 19 | 3.6 | 100 | 17.5 | 0.813 | 0.656 | 1.87 | 2.57 |
| Antennas | Bandwidth (GHz) | Relative Bandwidth (%) | Antenna Type | Boresight Direction |
|---|---|---|---|---|
| 13 | 8–12 | 40 | 4 × 6 Yagi array with lens | Broadside |
| 15 | 9.16–9.64 | 5 | 10240-element reflectarray | ±25° around broadside |
| 17 | 8–8.5 | 6 | 5-element horn feed reflector | Axis of reflector |
| 19 | 23.5–24.5 | 4 | Radial line slot arrays | Broadside |
| 21 | 2.12–2.5 | 16 | Single patch | Normal direction of the patch |
| This work | 5.0–7.5 | 40 | Single SSPP antenna | Endfire |
Publisher’s Note: MDPI stays neutral with regard to jurisdictional claims in published maps and institutional affiliations. |
© 2020 by the authors. Licensee MDPI, Basel, Switzerland. This article is an open access article distributed under the terms and conditions of the Creative Commons Attribution (CC BY) license (http://creativecommons.org/licenses/by/4.0/).
Share and Cite
Li, S.; Zhang, Q.; Li, J.; Zhao, H.; Yin, X.; Yang, M. Monopulse Antenna Based on Singular Spoof Surface Plasmon Polariton Structure for Angle Measurement. Electronics 2020, 9, 2156. https://doi.org/10.3390/electronics9122156
Li S, Zhang Q, Li J, Zhao H, Yin X, Yang M. Monopulse Antenna Based on Singular Spoof Surface Plasmon Polariton Structure for Angle Measurement. Electronics. 2020; 9(12):2156. https://doi.org/10.3390/electronics9122156
Chicago/Turabian StyleLi, Shunli, Qiuyi Zhang, Jinlun Li, Hongxin Zhao, Xiaoxing Yin, and Mei Yang. 2020. "Monopulse Antenna Based on Singular Spoof Surface Plasmon Polariton Structure for Angle Measurement" Electronics 9, no. 12: 2156. https://doi.org/10.3390/electronics9122156
APA StyleLi, S., Zhang, Q., Li, J., Zhao, H., Yin, X., & Yang, M. (2020). Monopulse Antenna Based on Singular Spoof Surface Plasmon Polariton Structure for Angle Measurement. Electronics, 9(12), 2156. https://doi.org/10.3390/electronics9122156

