Next Article in Journal
Adaptive Protection for Microgrid with Distributed Energy Resources
Previous Article in Journal
Unsupervised Adversarial Defense through Tandem Deep Image Priors
 
 
Font Type:
Arial Georgia Verdana
Font Size:
Aa Aa Aa
Line Spacing:
Column Width:
Background:
Article

A Low-Power Memory-in-Pixel Circuit for Liquid Crystal Displays Comprising Low-Temperature Poly-Silicon and Oxide Thin-Film Transistors

1
Department of Information Display, Kyung Hee University, Seoul 02447, Korea
2
School of Electronic Engineering, Kumoh National Institute of Technology, Gumi 39177, Korea
*
Authors to whom correspondence should be addressed.
Electronics 2020, 9(11), 1958; https://doi.org/10.3390/electronics9111958
Submission received: 29 October 2020 / Revised: 15 November 2020 / Accepted: 17 November 2020 / Published: 19 November 2020
(This article belongs to the Section Semiconductor Devices)

Abstract

In this paper, a new pixel structure using low-temperature polycrystalline silicon and oxide (LTPO) thin-film transistors (TFTs) for low-power liquid crystal displays (LCDs) is proposed. The extremely low off-state current of oxide semiconductor TFTs enables the proposed circuit to operate at a very low frame frequency of 1/60 Hz, so that the power consumption can be significantly reduced. In addition, the low-temperature polycrystalline silicon TFTs with high reliability directly drive pixels, which can achieve stable and flicker-free LCDs. The proposed circuit is fabricated using the LTPO TFT backplane and successfully verified by simulation and measurement results. The measurement results prove that the proposed circuit operates well without further programming for 60 s, and the power consumption in the panel (except backlight power) can be reduced to 0.02% of that of conventional LCD.

1. Introduction

Now mobile electronic devices such as laptop and tablet computers, smart phones, and smart watches require displays with high resolution and low power consumption [1,2]. As a result, a new thin-film transistor (TFT) backplane technology has been employed in mobile display products, so called low-temperature polycrystalline silicon and oxide (LTPO) TFT technology. It uses LTPO TFTs to improve the circuit performance by taking advantage of the high mobility and high reliability of low-temperature polycrystalline silicon (LTPS) TFTs as well as the extremely low off-state current of oxide TFTs.
LTPO TFT circuits have been studied for many years. LTPO TFTs were mainly used in complementary metal oxide semiconductor (CMOS) inverter circuits [3,4]. They were called hybrid CMOS circuits to distinguish them from the conventional CMOS circuits using polycrystalline silicon TFTs. They used a p-type LTPS TFT and an n-type oxide TFT to implement the pull-up and pull-down transistors of the inverter circuit, respectively. They adopted the coplanar LTPS TFT structure and etch-stopper layer to protect the active region of oxide TFT. After that, a CMOS inverter [5], a level shifter [6], and an operational amplifier [7] with a simpler LTPO TFT process were developed using the coplanar LTPS TFT without etch-stopper layer. They adopted multiple inverter circuits comprising the LTPO TFTs to generate output signals. Additionally, an LTPO TFT structure comprising both coplanar LTPS and oxide TFT was developed recently [8].
Recently, display circuits comprising LTPO TFTs have been developed actively. Apple Inc. presented a pixel circuit for active-matrix organic light emitting diode (AMOLED) displays using an LTPO TFT process [9]. The LTPS and the oxide TFTs had top-gate and bottom-gate structures, respectively. The LTPS TFTs were used in the integrated gate driver and the pixel circuits. The oxide TFT was placed in the pixel circuit as a switching device to maintain the voltages of image data for a long time. The display panels using LTPO TFTs were first commercialized in the smart watch. Japan Display Inc. developed a different LTPO TFT structure and applied it to display circuits of liquid crystal displays (LCDs) [10,11]. The oxide and LTPS TFTs had a top-gate structure. A light shield layer was placed under the oxide TFT to prevent the active layer from light instability of oxide TFTs. The oxide TFTs were fabricated after the LTPS TFT process and used in each pixel to achieve low frame frequency. The LTPS TFTs were used in gate drivers and demultiplexers for the peripheral display circuits.
To reduce the power consumption of displays, memory-in-pixel (MIP) circuits have been developed. The research on MIP circuits first originated from the development of the integration of display circuits on a glass substrate [12]. The LTPS TFTs feature high mobility and strong reliability, which enable the design of complicated display circuits such as timing controllers, common drivers, gamma circuits, digital-to-analog converters (DACs), and power-supply circuits onto the glass. The objective of the MIP circuit was to integrate the memory devices into the pixel area. Based on this motivation, many studies to reduce the power consumption of display panels were undertaken for several years [13,14,15,16,17,18]. The power consumption of displays employing the MIP circuits can be reduced by virtue of low-frame-frequency driving. H. Kimura et al. [13] developed a reflective LCD with an MIP circuit. They added a digital memory circuit to the conventional LCD pixel structure based on LTPS TFT backplane. M. Senda et al. [14] introduced a 1-bit SRAM circuit into each pixel to realize the MIP circuit. L.-W. Chu et al. [15] proposed an analog MIP circuit using LTPS TFTs. M. Tamaki et al. [16] developed an MIP circuit which embeds SRAM circuits in each pixel for reflective-type LCD based on LTPS TFTs. The reflective-type LCDs with their proposed MIP circuit has been commercialized for various display applications such as digital signage, smart watches, and electronic shelf labels. Utilizing the memory property of a ferroelectric gate insulator, a low-power LCD was proposed using oxide and ferroelectric memory TFTs (Fe-MTFTs) [17]. The Fe-MTFTs exhibited memory characteristics because of their ferroelectric gate insulator. The Fe-MTFTs were used as a driving transistor. However, the ferroelectric gate insulator had reliability problems. An MIP circuit was proposed where the driving transistors were composed of oxide TFTs [18]. The oxide TFTs still suffered from stability problems, and were more vulnerable than LTPS TFTs [19,20,21,22,23].
In this paper, a new MIP circuit using LTPO TFTs is proposed. We expect that the power consumption will be decreased due to greatly reduced frame frequency. Furthermore, LTPS TFTs enable high stability and flicker-free LCDs by directly driving pixels. In Section 2, we review a simple memory cell including LTPO TFTs. In Section 3, we propose the MIP circuit based on the memory cell presented in Section 2. In Section 4, the performance of the proposed circuit is demonstrated.

2. Review of Memory Cell Comprising LTPO TFTs

This section reviews the memory cell comprising LTPO TFTs proposed in [24]. The memory cell consists of two transistors and one capacitor, as shown in Figure 1a. TPG is a programming transistor to transfer programmed voltage (VPGD) signal to the gate node of TRD, VPRG. TRD is a reading transistor. Here, a p-type LTPS TFT is used for TRD and an n-type oxide TFT is used for TPG. CRDA is a storage capacitor used to maintain the charges stored in VPRG node. The serially connected TRD and CRDA act as a memory cell transistor, TC. The circuit has five control signals: VPGC, VPGD, VRDA, VD, and VS. VPGC is used to turn on or off TPG. VPGD is a programming voltage of the memory cell. VRDA is a read-address voltage used to read out data stored in the memory cell. VD and VS are drain and source voltages of the memory cell, respectively, which can be used for bit-line voltages of the memory cell.
Figure 1b shows simulated transfer characteristics of TC depending on the programmed level of VPGD [24]. After programming VPGD through TPG, the voltage level of VRDA was swept and VDS of −0.1 V was applied. As a result, the threshold voltage of TC can be easily modified by changing VPGD. When VPGD had a positive value such as 5 V (a blue line), the electrons were attracted to near the channel of TRD and thus the transfer characteristic of TC was negatively shifted. On the contrary, when a negative VPGD such as −5 V (a red line) was applied, the electrons were repelled from the channel of TRD. Thus, the transfer characteristic of TC was shifted to the positive direction. Consequently, the polarity of VPGD determines the shift direction of transfer characteristics of TC. In the next section, we propose a pixel structure based on the memory cells.

3. Proposed Pixel Circuit

Our proposed MIP circuit comprising LTPO TFTs is shown in Figure 2. Four transistors and two capacitors are used in a unit pixel circuit. D1 and D2 are driving transistors fabricated with p-type LTPS TFTs. They drive the pixel with VW and VB, respectively. P1 and P2 are programming transistors composed of n-type oxide TFTs. They apply VDATA1 and VDATA2 to the gate terminals of D1 and D2, respectively. C1 and C2 are storage capacitors to keep programmed voltages.
The proposed circuit contains five control signals: VSCAN, VDATA1, VDATA2, VW, and VB. VSCAN turns on the programming transistors. Both VDATA1 and VDATA2 determine the on/off-state of the driving transistors. VW and VB are signals to display white and black images, respectively. They have positive (VW+ and VB+) and negative levels (VW− and VB−) for polarity inversion of liquid crystal (LC) cells. The serially connected D1 and C1 are defined as T1 and the serially connected D2 and C2 are defined as T2. T1 and T2 act like memory cell transistors. Thus, VTH,T1 and VTH,T2, the threshold voltages of T1 and T2, can be shifted according to VDATA1 and VDATA2, respectively.
Figure 3a shows a circuit diagram to describe multiple pixel operations. The pixels of the m-th row are connected to VmSCAN. nVDATA1, nVDATA2, nVW, and nVB are connected to the pixels in the n-th column. VCOM is the ground level throughout the circuit operation, as shown in Figure 3b. The operation of the circuit is divided into two steps: programming and displaying.
(1) Programming: During the period (1), VSH turns on P1 and P2. When we display black in the pixel (1, 1), 1VDATA1 with VDH and 1VDATA2 with VDL are transferred to the gate terminals of D1 and D2 in the pixel (1, 1), respectively, when V1SCAN is VSH. Likewise, to display black in the pixel (m, n), nVDATA1 with VDH and nVDATA2 with VDL are programmed in the pixel (m, n), respectively. Here, VDH has a positive value, whereas VDL is a negative one. Thus, VTH,T1 shifts to the negative direction, whereas VTH,T2 is positively shifted. As a result, D1 turns off and D2 turns on since they are p-type TFTs. The pixel voltages in the pixel (1, 1) and pixel (m, n) are charged to VB+ for black image.
(2) Displaying: During the period (2a), VSL turns off P1 and P2. The gate-to-source bias (VGS) of D1 and D2 remain constant until the next program time. Because the driving transistors, D2s in the pixel (1, 1) and pixel (m, n), directly drive the pixel with VB, there is no kickback while displaying image, so that there is no flicker problem. During the period (2b), VW and VB become negative polarities (VW− and VB−), for the polarity inversion. Then, the period from (2a) to (2b) is repeated so that the polarity inversion can be continued without additional programming.
When we display white in the pixels (m, 1) and (1, n), 1VDATA1/nVDATA1 with VDL and 1VDATA2/nVDATA2 with VDH are transferred to the gate terminals of D1 and D2, respectively, in the pixels (m, 1) and (1, n). As a result, during the period (2a), the pixels (m, 1) and (1, n) are charged to a positive level (VW+) and then changed to a negative one (VW−) during the period (2b).

4. Results

The circuit operation was verified with spice simulation, whose parameters were extracted from the fabricated LTPO TFTs. Figure 4 shows simulated results to verify the programming operation. The voltage levels of VDH, VDL, VSH, and VSL were 6 V, −10 V, 10 V, and −15 V, respectively. It was assumed that an LCD worked as a normally black mode. VB+, VB−, VW+, VW−, and VCOM were 0.5 V, −0.5 V, 5 V, −5 V, and 0 V, respectively. The turn-on time of VSCAN was set to 10 μs.
As shown in Figure 4, we set VDATA1 and VDATA2 to VDL and VDH, respectively, to display white at the 1st program. Thus, VTH,T1 was positively shifted and VTH,T2 was negatively shifted, so that D1 turned on and D2 turned off. We observed that the pixel voltage, VPXL, became 5 V (VW+) after the 1st program, which means that D1 turned on successfully. After 16.7 ms, the polarity inversion was successfully achieved as shown in Figure 4. At the 2nd program, VDATA1 and VDATA2 were set to VDH and VDL, respectively. Thus, it is confirmed that the pixel voltage was charged to VB+ of 0.5 V and polarity inversion was performed again.
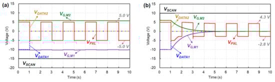
We investigated the long-term operation of the proposed circuit as shown in Figure 5. There was a study about measuring off-state current of oxide TFTs. K. Kato et al. [25] reported that an oxide TFT has an off-state current of approximately 10−21 A/μm. During the simulation, we set the off-state current of the oxide TFT to 10−15 A because it was small enough to verify our circuit operation. As shown in Figure 5a, even if VDATA1 and VDATA2 were changed to 0 V after one second, the gate voltages of D1 (VG,D1) and D2 (VG,D2) were maintained constantly for a long time. VPXL also successfully reached its target level ranging from 5 V to −5 V. We observed that the programming transistors retained the programmed voltages for longer than ten seconds. This is attributable to the remarkably low off-state current of the oxide TFTs. Consequently, the simulated results verify that the proposed pixel circuit can operate at a far lower frame frequency (or programming frequency) than conventional displays.
Figure 5b shows simulated results for comparison when the programming transistors are p-type LTPS TFTs. We set the off-state current of LTPS TFTs to approximately 10−11 A for this simulation. The LTPS TFTs feature higher stability [19,20,21] and larger off-state current than oxide TFTs. Thus, VG,D1 and VG,D2 could not maintain their voltages constantly for hundreds of milliseconds after VDATA1 and VDATA2 became 0 V as shown in Figure 5b. Since D1 and D2 turned on simultaneously, we observed that VPXL was distorted in the range from −2.8 V to 4.3 V.
The proposed pixel circuit was fabricated by using the LTPO TFT process. Figure 6 shows a cross section of the LTPO TFTs and an optical image of the proposed circuit. The LTPS and oxide TFTs used a top-gate and bottom-gate structure, respectively. They shared the same layer of gate metal. Thus, process steps were reduced by these structures.
Figure 7 shows the characteristics of fabricated n-type oxide (red lines) and p-type LTPS (blue lines) TFTs. The width and length of both TFTs were 4 μm and 5 μm, respectively. The threshold voltages (VTH) of oxide and LTPS TFT were −0.1 V and −2.3 V, respectively. The off-state current of the LTPS TFT showed much higher than that of the oxide TFT when a drain bias was −5 V.
We also verified the circuit operation with measurement results. Measuring the pixel voltage directly with an oscilloscope probe can result in distortion of measured signals since the probe impedance is not infinite. To solve this problem, a source follower circuit was used as shown in Figure 8. VDD, VSS, and VBIAS were 10 V, −6 V, and 6 V, respectively. The change in VPXL can be investigated without distortion by measuring VOUT.
As shown in Figure 9a, we measured VOUT while the circuit operated for 60 s. Then, we converted VOUT into VPXL as shown in Figure 9b by using a voltage transfer characteristic (inset). VDATA1 and VDATA2 were programmed only once. We set VDATA1 and VDATA2 to −5 V (VDL) and 5 V (VDH), respectively. As a result, VOUT became 8.2 V, which corresponds to VPXL of 5 V (VW+) after programming. Then, the polarity inversion operated at every second of time. VOUT became −0.6 V, corresponding to VPXL of −5 V (VW−). Therefore, the successful operation of the proposed MIP circuit for 60 s was proved without any problem after programming only once as shown in Figure 9. Furthermore, we evaluated how long the circuit can operate without additional programming. We inverted the pixel polarity at every one minute to make sure the polarity inversion worked well. As a result, we verified that the circuit operated for even 30 min without further programming as shown in Figure 10.

5. Discussion

The power consumption of the LCD comprising the proposed MIP circuit was compared with that of a conventional LCD. It was assumed that the conventional LCD has a pixel structure with one transistor and one capacitor. The resolutions of both LCDs were set to 1920 × 1080 (full high definition). Thus, when we display a horizontal line pattern driven by the column inversion and a full white pattern driven by the dot inversion, both LCDs consume the highest power. Thus, the dynamic power consumption of these two cases were calculated as in [26]. The dynamic power of the conventional LCD (PDyn,C) for a full white pattern based on the dot inversion is expressed as
P D y n , C = C C L × 1920 × 3 × V W 2 × f V × 1080 / 2
CCL, ΔVW, and fV are the capacitance of a column line, the voltage magnitude of the white signal, and a frame frequency, respectively. To calculate the power consumption of the proposed LCD, we should consider the dynamic power (PCL) of the column lines and the dynamic power (PPL) of pixel driving lines, VW and VB. The power consumption of the proposed MIP circuit for a full white pattern based on the dot inversion is expressed as
P C L = C C L × 1920 × 3 × 2 × V DATA 2 × f V × 1080 2
P P L = C P L × 1920 × 3 × V W 2 + V B 2 × f I + C P X L × 1920 × 3 × 1080 × V W 2 × f I     = C P L + C P L × V B 2 V W 2 + C P X L × 1080 × 1920 × 3 × V W 2 × f I
CPL and CPXL are the capacitance of a pixel driving line (VW or VB) and a pixel, respectively. ΔVDATA and ΔVB are the voltage magnitude of the data and black signal, respectively. fI is a polarity inversion frequency. When the proposed LCD displays a full white pattern driven by the dot inversion, ΔVDATA is 0 V, so that PCL is 0 W. The dynamic power consumption of the proposed LCD (PDyn,P) is the sum of PCL and PPL, which is expressed as
P D y n , P = [ ( C C L × V DATA 2 × f V ) + ( C P L + C P L × V B 2 V W 2                                                                 + C P X L × 1080 ) / 1080 × V W 2 × f I ] × 1920 × 3 × 1080
CCL and CPL were set to 100 pF, and CPXL was 1 pF.
Dynamic power consumption (PSCAN) at scan lines applied by VSCAN is calculated as follows:
P S C A N = 1080 × C S C A N × V SCAN 2 × f V
where CSCAN is the load capacitance of a scan line. CSCAN and VSCAN are 180 pF and 25 V, respectively. PSCAN is about 2 μW. As a result, the dynamic power consumption at scan lines is negligible. Thus, we do not include PSCAN in the dynamic power consumption.
Table 1 shows calculated results of the power consumption. The proposed LCD consumes much less power than the conventional one. Compared with conventional LCD, the power consumption of the proposed LCD becomes 0.02% when operating in dot inversion or 0.32% when operating in column inversion. The dynamic power consumption is significantly increased if signal lines are charged and discharged at a high frequency. However, the characteristics of oxide TFTs used as the programming transistors can greatly reduce the frame frequency down to 1/60 Hz, as shown in Figure 9. We set the frequency of the polarity inversion, fI, to 0.5 Hz in the measurement. However, the frequency can be further decreased unless an image sticking effect from LCs occurs [27], by virtue of direct driving of each pixel in the proposed circuit. Thus, the proposed LCD can considerably reduce the power consumption because of such a low operation frequency. In addition, the LTPS TFTs as driving transistors directly drive each pixel continuously, which can provide high stability and flicker-free LCDs. Therefore, the LCD comprising the proposed MIP circuit is expected to be very suitable for displays, which show still images for a long time such as digital signage.
The usefulness of the proposed circuit is not limited to just pixel circuits. LTPS TFTs enable high-resolution displays as well as various types of display circuits such as integrated gate drivers and demultiplexers due to high mobility and stability. Therefore, the proposed circuit with LTPO TFTs is very applicable to a whole display panel.

6. Conclusions

In this paper, the new MIP circuit adopting LTPO TFTs for low-power LCDs has been proposed. Based on the principle of controlling threshold voltages of the memory cell, our MIP circuit can display images without additional programming for a long time. The simulated results have successfully verified the programming operation and low frequency driving. In addition, we have verified that the proposed circuit can significantly decrease the frame frequency by virtue of the extremely low off-state current of the programming transistors made from the oxide TFTs. The driving transistors drive the pixels directly with a highly stable LTPS TFTs, which can guarantee flicker-free LCDs. The LTPS TFTs are widely used for high-resolution displays by integrating display circuits onto a glass or plastic substrate such as gate drivers and demultiplexers. Therefore, we believe that the proposed circuit comprising LTPO TFTs will be immediately applicable to high-resolution display panels with low-power and no flicker.

Author Contributions

Conceptualization: J.K.; original draft preparation: J.K.; writing: J.K. and W.-R.L.; review and editing: J.K. and W.-R.L.; formal analysis: all authors; supervision: S.-W.L., H.-J.C. All authors have read and agreed to the published version of the manuscript.

Funding

This work was funded by the Basic Science Research Program through the National Research Foundation of Korea (NRF) under Grant NRF-2020R1I1A3A04037918.

Conflicts of Interest

The authors declare no conflict of interest.

References

  1. Jang, H.J.; Lee, J.Y.; Kwak, J.; Lee, D.; Park, J.-H.; Lee, B.; Noh, Y.Y. Progress of display performances: AR, VR, QLED, OLED, and TFT. J. Inf. Disp. 2019, 20, 1–8. [Google Scholar] [CrossRef]
  2. Han, J.; Suk, H.-J. Do users perceive the same image differently? Comparison of OLED and LCD in mobile HMDs and smartphones. J. Inf. Disp. 2019, 20, 31–38. [Google Scholar] [CrossRef]
  3. Jin, G.; Choi, J.; Lee, W.; Mo, Y.; Kim, H.; Kim, S.; Kim, M.; Song, J. Simple Fabrication of a Three-Dimensional CMOS Inverter Using p-type Poly-Si and n-Type Amorphous Ga-In-Zn-O Thin-Film Transistors. IEEE Electron Device Lett. 2011, 32, 1236–1238. [Google Scholar] [CrossRef]
  4. Chen, C.; Yang, B.-R.; Liu, C.; Zhou, X.-Y.; Hsu, Y.-J.; Wu, Y.-C.; Im, J.-S.; Lu, P.-Y.; Wong, M.; Kwok, H.-S.; et al. Integrating Poly-Silicon and InGaZnO Thin-Film Transistors for CMOS Inverters. IEEE Trans. Electron Devices 2017, 64, 3668–3671. [Google Scholar] [CrossRef]
  5. Kim, H.; Jeong, D.Y.; Lee, S.; Jang, J. A High Gain Inverter with Low-Temperature Poly-Si Oxide Thin-Film Transistors. IEEE Electron Device Lett. 2019, 40, 411–414. [Google Scholar] [CrossRef]
  6. Rahaman, A.; Jeong, D.Y.; Jang, J. High Speed and Wider Swing, Level Shifter Using Low-Temperature Poly-Silicon Oxide TFTs. IEEE Electron Device Lett. 2019, 40, 1772–1775. [Google Scholar] [CrossRef]
  7. Rahaman, A.; Jeong, H.; Jang, J. A High-Gain CMOS Operational Amplifier Using Low-Temperature Poly-Si Oxide TFTs. IEEE Trans. Electron Devices 2020, 67, 524–527. [Google Scholar] [CrossRef]
  8. Jeong, D.Y.; Chang, Y.; Yoon, W.G.; Do, Y.; Jang, J. Low-Temperature Polysilicon Oxide Thin-Film Transistors with Coplanar Structure Using Six Photomask Steps Demonstrating High Inverter Gain of 264 V V−1. Adv. Eng. Mater. 2020, 22, 1901497. [Google Scholar] [CrossRef]
  9. Chang, T.-K.; Lin, C.-W.; Chang, S. LTPO TFT Technology for AMOLEDs. Sid Int. Symp. Dig. Tech. Pap. 2019, 50, 545–548. [Google Scholar] [CrossRef]
  10. Hanada, A.; Kimura, R.; Ishii, Y. An Advanced LTPS TFT-LCD using Top-Gate Oxide TFT in Pixel. Sid Int. Symp. Dig. Tech. Pap. 2018, 49, 117–120. [Google Scholar] [CrossRef]
  11. Watakabe, H.; Jinnai, T.; Suzumura, I.; Hanada, A.; Onodera, R.; Tada, M.; Mochizuki, K.; Tanaka, H.; Ito, T. Development of Advanced LTPS Technology for Low Power Consumption and Narrow Border LCDs. Sid Int. Symp. Dig. Tech. Pap. 2019, 50, 541–544. [Google Scholar] [CrossRef]
  12. Nakajima, Y.; Teranishi, Y.; Kida, Y.; Maki, Y. Ultra-low-power LTPS TFT-LCD technology using a multi-bit pixel memory circuit. Sid Int. Symp. Dig. Tech. Pap. 2006, 37, 1185–1188. [Google Scholar] [CrossRef]
  13. Kimura, H.; Maeda, T.; Tsunashima, T.; Morita, T.; Murata, H.; Hirota, S.; Sato, H. A 2.15 inch QCIF Reflective Color TFT-LCD with Digital Memory on Glass (DMOG). Sid Int. Symp. Dig. Tech. Pap. 2001, 32, 268–271. [Google Scholar] [CrossRef]
  14. Senda, M.; Tsutsui, Y.; Sasaki, A.; Matsumoto, S.; Yokoyama, R.; Yoneda, K. Ultra-low-power polysilicon AMLCD with full integration. J. Soc. Inf. Disp. 2003, 11, 121–125. [Google Scholar] [CrossRef]
  15. Chu, L.-W.; Liu, P.-T.; Ker, M.-D. Design of Analog Pixel Memory for Low Power Application in TFT-LCDs. J. Disp. Technol. 2011, 7, 62–69. [Google Scholar] [CrossRef]
  16. Tamaki, M.; Fukunaga, Y.; Mitsui, M.; Maeda, K.; Kabe, M.; Teranishi, Y.; Nakanishi, T.; Omori, H.; Hayashi, S.; Takasaki, N.; et al. A memory-in-pixel reflective-type LCD using newly designed system and pixel structure. J. Soc. Inf. Disp. 2015, 22, 251–259. [Google Scholar] [CrossRef]
  17. Lee, S.-H.; Kim, J.; Yoon, S.-H.; Kim, K.-A.; Yoon, S.-M.; Byun, C.; Hwang, C.-S.; Kim, G.H.; Cho, K.-I.; Lee, S.-W. Pixel Architecture for Low-Power Liquid Crystal Display Comprising Oxide and Ferroelectric Memory Thin Film Transistors. IEEE Electron Device Lett. 2015, 36, 585–587. [Google Scholar] [CrossRef]
  18. Lee, S.-H.; Yu, B.-C.; Chung, H.-J.; Lee, S.-W. Memory-in-Pixel Circuit for Low-Power LCDs Comprising Oxide TFTs. IEEE Electron Device Lett. 2017, 11, 1551–1554. [Google Scholar] [CrossRef]
  19. Mativenga, M.; Geng, D.; Jang, J. Oxide Versus LTPS TFTs for Active-Matrix Displays. Sid Int. Symp. Dig. Tech. Pap. 2014, 45, 1–4. [Google Scholar] [CrossRef]
  20. Lee, S.; Mativenga, M.; Jang, J. High Current Stress-Induced Heating Effects in Thin-Film Transistors on Plastic: Oxide Vs. LTPS. ECS Trans. 2015, 67, 73–78. [Google Scholar] [CrossRef]
  21. Jung, Y.H.; Hong, S.; Lee, S.; Jin, S.; Kim, T.-W.; Chang, Y.; Jang, J. Sequential lateral crystallization of amorphous silicon on glass by blue laser annealing for high mobility thin-film transistors. Thin Solid Film. 2019, 681, 93–97. [Google Scholar] [CrossRef]
  22. Jeong, J.-K. Photo-bias instability of metal oxide thin film transistors for advanced active matrix displays. Mat. Res. 2013, 28, 2071–2084. [Google Scholar] [CrossRef]
  23. Yamada, K.; Nomura, K.; Abe, K.; Takeda, S.; Hosono, H. Examination of the ambient effects on the stability of amorphous indium-gallium-zinc oxide thin film transistors using a laser-glass-sealing technology. Appl. Phys. Lett. 2014, 105, 133503. [Google Scholar] [CrossRef]
  24. Kim, J.; Chung, H.-J.; Lee, S.-W. Multi-Level Memory Comprising Low-Temperature Poly-Silicon and Oxide TFTs. IEEE Electron Device Lett. 2020. [Google Scholar] [CrossRef]
  25. Kato, K.; Shionoiri, Y.; Sekine, Y.; Furutani, K.; Hatano, T.; Aoki, T.; Sasaki, M.; Tomatsu, H.; Komeya, J.; Yamazaki, S. Evaluation of Off-State Current Characteristics of Transistor Using Oxide Semiconductor Material, Indium-Gallium-Zinc Oxide. Jpn. J. Appl. Phys. 2012, 51, 021201. [Google Scholar] [CrossRef]
  26. Kim, J.; Chung, H.-J.; Lee, S.-W. A Memory-in-Pixel Circuit for Low-Power Liquid Crystal Displays with Low Temperature Poly-Silicon and Oxide Thin Film Transistors. IEEE Electron Device Lett. 2019, 40, 1957–1960. [Google Scholar] [CrossRef]
  27. Neyts, K.; Vermael, S.; Desimpel, C.; Stojmenovik, G.; Verschueren, A.R.M.; de Boer, D.K.G.; de Boer, D.K.G.; Snijker, R.; Machiels, P.; van Brandenburg, A. Lateral ion transport in nematic liquidcrystal devices. J. Appl. Phys. 2003, 94, 3891–3896. [Google Scholar] [CrossRef]
Figure 1. (a) Schematic of the memory cell comprising low-temperature polycrystalline silicon and oxide (LTPO) thin-film transistors (TFTs) presented in [24]. (b) Simulated transfer characteristics of TC depending on the programmed voltage (VPGD) [24].
Figure 1. (a) Schematic of the memory cell comprising low-temperature polycrystalline silicon and oxide (LTPO) thin-film transistors (TFTs) presented in [24]. (b) Simulated transfer characteristics of TC depending on the programmed voltage (VPGD) [24].
Electronics 09 01958 g001
Figure 2. Circuit diagram of the proposed memory-in-pixel (MIP) circuit.
Figure 2. Circuit diagram of the proposed memory-in-pixel (MIP) circuit.
Electronics 09 01958 g002
Figure 3. (a) Circuit diagram showing arrangement of multiple pixels and (b) timing chart of driving signals.
Figure 3. (a) Circuit diagram showing arrangement of multiple pixels and (b) timing chart of driving signals.
Electronics 09 01958 g003
Figure 4. Simulated results to verify the programming operation of the proposed MIP circuit.
Figure 4. Simulated results to verify the programming operation of the proposed MIP circuit.
Electronics 09 01958 g004
Figure 5. Simulated results to verify the long-term operation. The programming transistors were (a) n-type oxide and (b) p-type LTPS TFTs.
Figure 5. Simulated results to verify the long-term operation. The programming transistors were (a) n-type oxide and (b) p-type LTPS TFTs.
Electronics 09 01958 g005
Figure 6. (a) Cross section of the fabricated LTPO TFTs. (b) An optical image of the proposed circuit.
Figure 6. (a) Cross section of the fabricated LTPO TFTs. (b) An optical image of the proposed circuit.
Electronics 09 01958 g006
Figure 7. Measurement results of an n-type oxide TFT (red) and a p-type LTPS -TFT (blue). (a) Transfer characteristics. (b) Output characteristics.
Figure 7. Measurement results of an n-type oxide TFT (red) and a p-type LTPS -TFT (blue). (a) Transfer characteristics. (b) Output characteristics.
Electronics 09 01958 g007
Figure 8. Schematic of a source follower circuit to measure VPXL.
Figure 8. Schematic of a source follower circuit to measure VPXL.
Electronics 09 01958 g008
Figure 9. (a) Measured output of the source follower. (b) Converted pixel voltage using a voltage transfer characteristic (inset). The circuit worked for 60 s after programming once.
Figure 9. (a) Measured output of the source follower. (b) Converted pixel voltage using a voltage transfer characteristic (inset). The circuit worked for 60 s after programming once.
Electronics 09 01958 g009
Figure 10. (a) Measured output of the source follower. (b) Converted pixel voltage using a voltage transfer characteristic. The circuit worked for 30 min after programming once.
Figure 10. (a) Measured output of the source follower. (b) Converted pixel voltage using a voltage transfer characteristic. The circuit worked for 30 min after programming once.
Electronics 09 01958 g010
Table 1. Calculated results of dynamic power consumption.
Table 1. Calculated results of dynamic power consumption.
ItemConventional LCDProposed LCD
Frame frequency (fV)
or Programming frequency
60 Hz1/60 Hz (0.28%)
Polarity inversion frequency (fI)30 Hz0.5 Hz (1.67%)
Dynamic
Power
Dot inversion
(Full white)
1.87 W0.34 mW (0.02%)
Column inversion
(Horizontal line)
0.38 W1.22 mW (0.32%)
Publisher’s Note: MDPI stays neutral with regard to jurisdictional claims in published maps and institutional affiliations.

Share and Cite

MDPI and ACS Style

Kim, J.; Lee, W.-R.; Chung, H.-J.; Lee, S.-W. A Low-Power Memory-in-Pixel Circuit for Liquid Crystal Displays Comprising Low-Temperature Poly-Silicon and Oxide Thin-Film Transistors. Electronics 2020, 9, 1958. https://doi.org/10.3390/electronics9111958

AMA Style

Kim J, Lee W-R, Chung H-J, Lee S-W. A Low-Power Memory-in-Pixel Circuit for Liquid Crystal Displays Comprising Low-Temperature Poly-Silicon and Oxide Thin-Film Transistors. Electronics. 2020; 9(11):1958. https://doi.org/10.3390/electronics9111958

Chicago/Turabian Style

Kim, Jongbin, Woo-Rim Lee, Hoon-Ju Chung, and Seung-Woo Lee. 2020. "A Low-Power Memory-in-Pixel Circuit for Liquid Crystal Displays Comprising Low-Temperature Poly-Silicon and Oxide Thin-Film Transistors" Electronics 9, no. 11: 1958. https://doi.org/10.3390/electronics9111958

APA Style

Kim, J., Lee, W.-R., Chung, H.-J., & Lee, S.-W. (2020). A Low-Power Memory-in-Pixel Circuit for Liquid Crystal Displays Comprising Low-Temperature Poly-Silicon and Oxide Thin-Film Transistors. Electronics, 9(11), 1958. https://doi.org/10.3390/electronics9111958

Note that from the first issue of 2016, this journal uses article numbers instead of page numbers. See further details here.

Article Metrics

Back to TopTop