A New Method of Detecting and Interrupting High Impedance Faults by Specifying the Z-Source Breaker in DC Power Networks
Abstract
:1. Introduction
1.1. HIF Problem and Its Existing Solutions
1.2. DC System and Protection
1.3. ZCB and HIF Detection/Interruption Modes
2. Brief Introduction of “Intercross Connected Bidirectional Z-Source Breaker”
3. Methodology of HIF Detection/Interruption with Z-Source Breaker
4. Simulation and Experimental Results
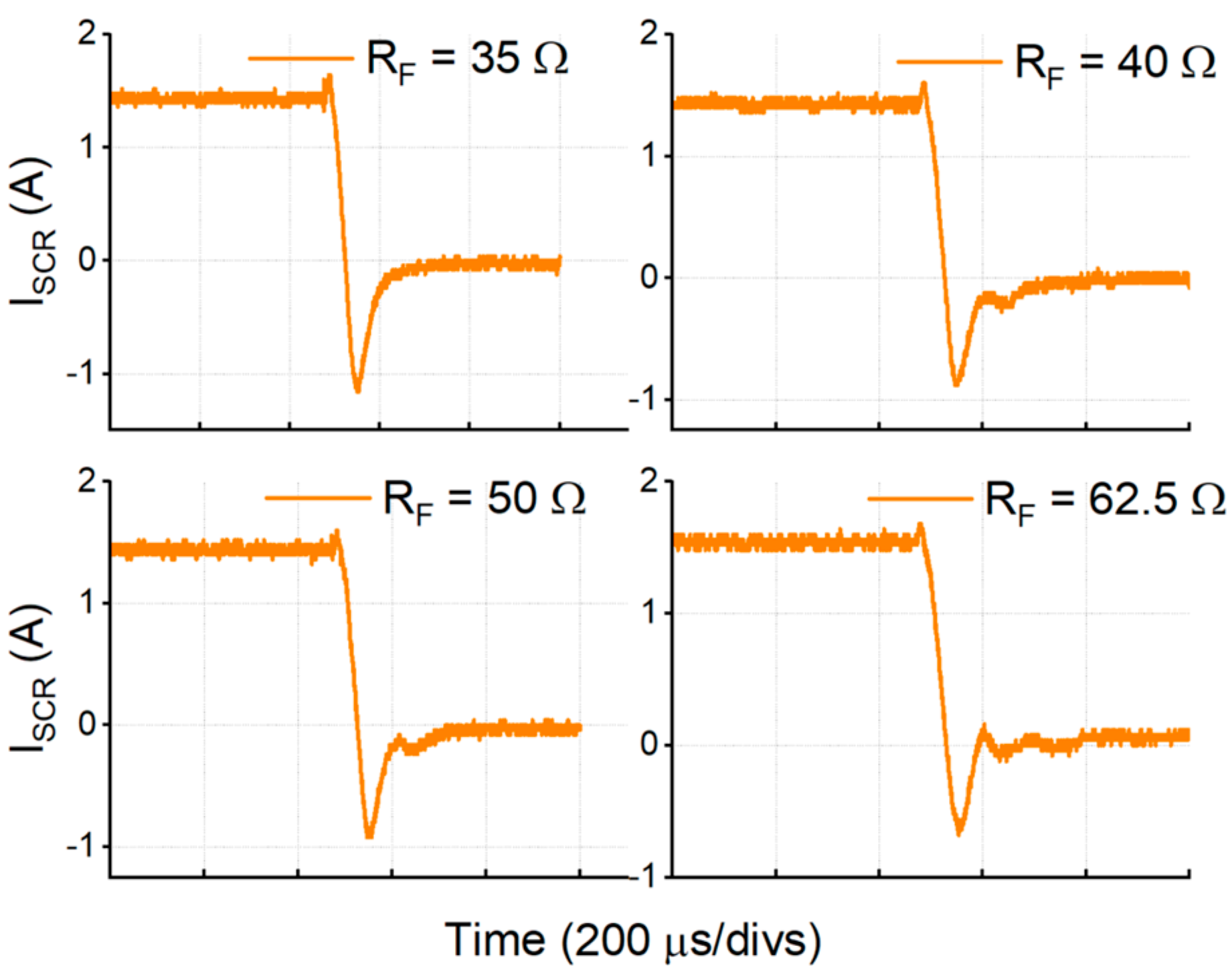
4.1. Experimental Tests on a 180 W, 120 V Testbed
4.1.1. Test #1—“The Cases of Unity Multiplication Factor in CZCB, i.e., CAdj = 1.0 × CZCB”
4.1.2. Test #2—“The Cases of Two-Times Multiplication Factor in CZCB, i.e., CAdj = 2.0 × CZCB”:
4.1.3. Test #3—“The Cases of Four-Times Multiplication Factor in CZCB, i.e., CAdj = 4.0 × CZCB”
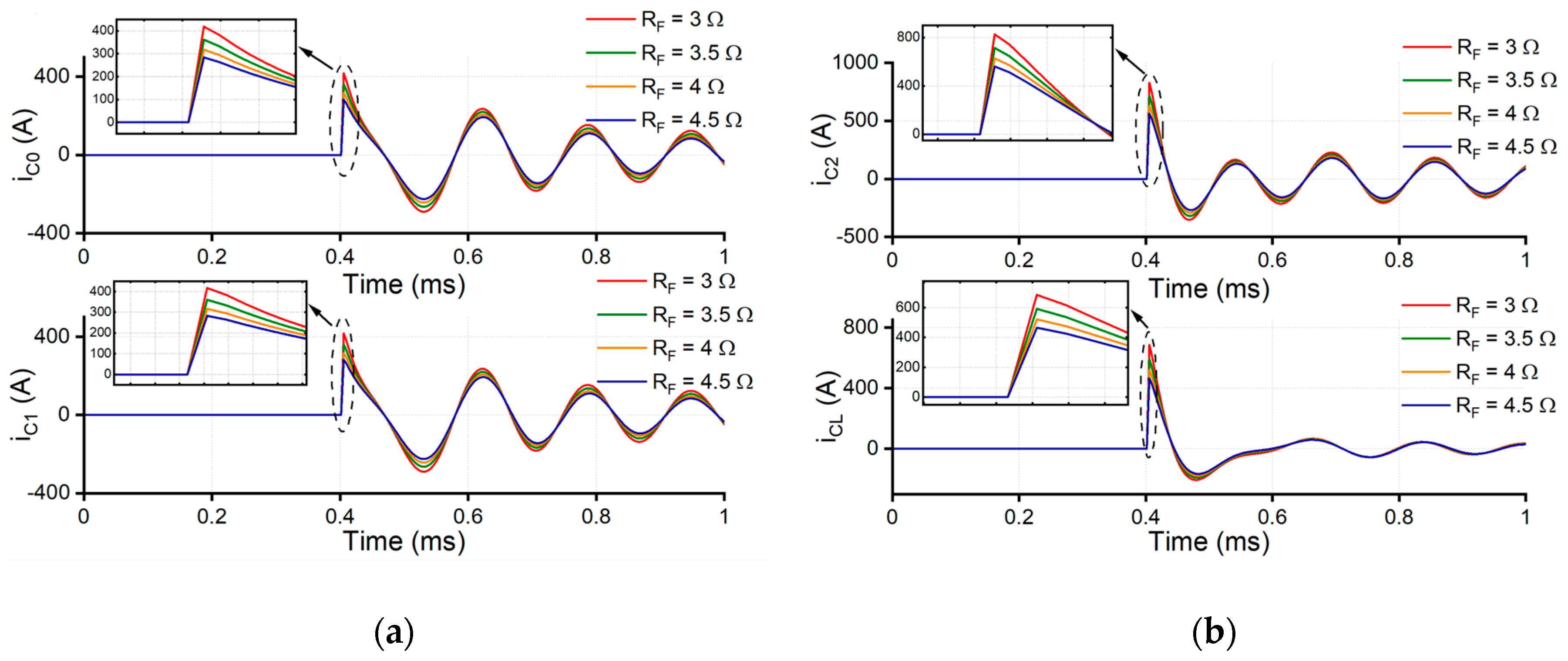
4.2. Simulation Tests of a 5 MW, 5 kV Case
5. Discussion
6. Conclusions
Author Contributions
Funding
Conflicts of Interest
References
- Laaksonen, H.; Hovila, P. Method for high-impedance fault detection. CIRED Open Access Proc. J. 2017, 2017, 1295–1299. [Google Scholar] [CrossRef]
- Gomes, D.P.; Ozansoy, C.; Ulhaq, A. High-sensitivity vegetation high-impedance fault detection based on signal’s high-frequency contents. IEEE Trans. Power Deliv. 2018, 33, 1398–1407. [Google Scholar] [CrossRef]
- Santos, W.; Lopes, F.; Brito, N.; Souza, B. High-impedance fault identification on distribution networks. IEEE Trans. Power Deliv. 2016, 32, 23–32. [Google Scholar] [CrossRef]
- Chen, J.; Phung, T.; Blackburn, T.; Ambikairajah, E.; Zhang, D. Detection of high impedance faults using current transformers for sensing and identification based on features extracted using wavelet transform. IET Gener. Transm. Distrib. 2016, 10, 2990–2998. [Google Scholar] [CrossRef]
- Vieira, F.L.; Filho, M.J.; Silveira, P.M.; Guerrero, C.A.; Leite, M.P. High impedance fault detection and location in distribution networks using smart meters. In Proceedings of the 2018 18th International Conference on Harmonics and Quality of Power (ICHQP), Ljubljana, Slovenia, 13–16 May 2018; pp. 1–6. [Google Scholar]
- Lima, É.M.; Junqueira, C.M.D.S.; Brito, N.S.D.; de Souza, B.A.; Coelho, R.D.; de Medeiros, H.G.M.S. High impedance fault detection method based on the short-time Fourier transform. IET Gener. Transm. Distrib. 2018, 12, 2577–2584. [Google Scholar] [CrossRef]
- Wang, B.; Geng, J.; Dong, X. High-Impedance Fault Detection Based on Nonlinear Voltage–Current Characteristic Profile Identification. IEEE Trans. Smart Grid 2016, 9, 3783–3791. [Google Scholar] [CrossRef]
- Vianna, J.T.A.; Araujo, L.R.; Penido, D.R.R. High impedance fault area location in distribution systems based on current zero sequence component. IEEE Lat. Am. Trans. 2016, 14, 759–766. [Google Scholar] [CrossRef]
- Pasdar, A.M.; Sozer, Y.; Husain, I. Detecting and locating faulty nodes in smart grids based on high frequency signal injection. IEEE Trans. Smart Grid 2013, 4, 1067–1075. [Google Scholar] [CrossRef]
- Arabi, S.; Taheri, P.; Feng, Z.; Conto, J.; Huang, F. Best Locations for Low Frequency Oscillation Monitoring by PMUs. In Proceedings of the 2015 CIGRÉ Canada Conference, Winnipeg, MB, Canada, 31 August–2 September 2015. [Google Scholar]
- de Ferreira, G.; Assis, T.M.L. A Novel High Impedance Arcing Fault Detection Based on the Discrete Wavelet Transform for Smart Distribution Grids. In Proceedings of the 2019 IEEE PES Innovative Smart Grid Technologies Conference-Latin America (ISGT Latin America), Gramado, Brazil, 15–18 September 2019; pp. 1–6. [Google Scholar]
- Dragičević, T.; Lu, X.; Vasquez, J.C.; Guerrero, J.M. DC microgrids—Part I: A review of control strategies and stabilization techniques. IEEE Trans. Power Electron. 2015, 31, 4876–4891. [Google Scholar]
- Liljestrand, L.; Backman, M.; Jonsson, L.; Dullni, E.; Riva, M. Medium voltage DC vacuum circuit breaker. In Proceedings of the 2015 3rd International Conference on Electric Power Equipment – Switching Technology (ICEPE-ST), Busan, Korea, 25–28 October 2015; pp. 495–500. [Google Scholar]
- Jing, G.; Zhang, A.; Zhang, H. Review on DC Distribution Network Protection Technology with Distributed Power Supply. In Proceedings of the 2018 Chinese Automation Congress (CAC), Xi’an, China, 30 November–2 December 2018; pp. 3583–3586. [Google Scholar]
- Shen, Z.J.; Miao, Z.; Roshandeh, A.M. Solid state circuit breakers for DC micrgrids: Current status and future trends in DC Microgrids (ICDCM). In Proceedings of the 2015 IEEE First International Conference on DC Microgrids (ICDCM), Atlanta, GA, USA, 7–10 June 2015; pp. 228–233. [Google Scholar]
- Tokuyama, S.; Arimatsu, K.; Yoshioka, Y.; Kato, Y.; Hirata, K. Development and interrupting tests on 250kV 8kA HVDC circuit breaker. IEEE Power Eng. Rev. 1985, PER-5, 42–43. [Google Scholar] [CrossRef]
- Eriksson, T.; Backman, M.; Halen, S. A Low Loss Mechanical HVDC Breaker for HVDC Grid Applications; Proc. Cigré Session: Paris, France, 2014. [Google Scholar]
- Shi, Z.; Zhang, Y.; Jia, S.; Song, X.; Wang, L.; Chen, M. Design and numerical investigation of a HVDC vacuum switch based on artificial current zero. IEEE Trans. Dielectr. Electr. Insul. 2015, 22, 135–141. [Google Scholar] [CrossRef]
- Novello, L.; Gaio, E.; Piovan, R. Feasibility study of a hybrid mechanical-static dc circuit breaker for superconducting magnet protection. IEEE Trans. Appl. Supercond. 2009, 19, 76–83. [Google Scholar] [CrossRef]
- Meyer, C.; Schroder, S.; de Doncker, R.W. Solid-state circuit breakers and current limiters for medium-voltage systems having distributed power systems. IEEE Trans. Power Electron. 2004, 19, 1333–1340. [Google Scholar] [CrossRef]
- Zhan, C.; Smith, C.; Crane, A.; Bullock, A.; Grieve, D. DC transmission and distribution system for a large offshore wind farm. In Proceedings of the 9th IET International Conference on AC and DC Power Transmission (ACDC 2010), London, UK, 19–21 October 2010. [Google Scholar]
- Jovcic, D.; Wu, B. Fast fault current interruption on high-power DC networks. In Proceedings of the IEEE PES General Meeting, Providence, RI, USA, 25–29 July 2010; pp. 1–6. [Google Scholar]
- Cairoli, P.; Kondratiev, I.; Dougal, R.A. Coordinated control of the bus tie switches and power supply converters for fault protection in DC microgrids. IEEE Trans. Power Electron. 2012, 28, 2037–2047. [Google Scholar] [CrossRef]
- Hajian, M.; Jovcic, D.; Wu, B. Evaluation of semiconductor based methods for fault isolation on high voltage DC grids. IEEE Trans. Smart Grid 2013, 4, 1171–1179. [Google Scholar] [CrossRef]
- Corzine, K.A.; Ashton, R.W. A new Z-source DC circuit breaker. IEEE Trans. Power Electron. 2012, 27, 2796–2804. [Google Scholar] [CrossRef]
- Peng, F.Z. Z-source inverters. In Wiley Encyclopedia of Electrical and Electronics Engineering; Wiley: Hoboken, NJ, USA, 1999; pp. 1–11. [Google Scholar]
- Gajanayake, C.J.; Luo, F.L.; Gooi, H.B.; So, P.L.; Siow, L.K. Extended-boost $ Z $-source inverters. IEEE Trans. Power Electron. 2010, 25, 2642–2652. [Google Scholar] [CrossRef]
- Chang, A.H.; Sennett, B.R.; Avestruz, A.-T.; Leeb, S.B.; Kirtley, J.L. Analysis and design of DC system protection using Z-source circuit breaker. IEEE Trans. Power Electron. 2016, 31, 1036–1049. [Google Scholar] [CrossRef]
- Ryan, D.J.; Torresan, H.D.; Bahrani, B. A Bidirectional Series Z-Source Circuit Breaker. IEEE Trans. Power Electron. 2017, 33, 7609–7621. [Google Scholar] [CrossRef]
- Savaliya, S.G.; Fernandes, B.G. Analysis and Experimental Validation of Bidirectional Z-Source DC Circuit Breakers. IEEE Trans. Ind. Electron. 2019, 67, 4613–4622. [Google Scholar] [CrossRef]
- Yang, Y.; Huang, C. A Low-Loss Z-Source Circuit Breaker for LVDC Systems. IEEE J. Emerg. Sel. Top. Power Electron. 2020. [Google Scholar] [CrossRef]
- Mackey, L.; Rachi, M.R.K.; Peng, C.; Husain, I. Optimization and Control of a Z-Source, Ultrafast Mechanically Switched, High-Efficiency DC Circuit Breaker. IEEE Trans. Ind. Appl. 2020, 56, 2871–2879. [Google Scholar] [CrossRef]
- Jia, K.; Zhao, Q.; Feng, T.; Bi, T. Distance Protection Scheme for DC Distribution Systems Based on the High Frequency Characteristics of Faults. IEEE Trans. Power Deliv. 2019, 35, 234–243. [Google Scholar] [CrossRef]
- Bhatta, S.; Zhang, Y.; Fu, R. Comparative Analysis of Power Loss Associated with Topology of Bi-Directional Z-Source Circuit Breakers. In Proceedings of the SoutheastCon 2018, St. Petersburg, FL, USA, 19–22 April 2018; pp. 1–5. [Google Scholar]
- Keshavarzi, D.; Ghanbari, T.; Farjah, E. A Z-Source-Based Bidirectional DC Circuit Breaker with Fault Current Limitation and Interruption Capabilities. IEEE Trans. Power Electron. 2017, 32, 6813–6822. [Google Scholar] [CrossRef]
- Shah, S.I.A.; Batool, M.; Khaliq, A.; Nawaz, F. DC Fault Protection Strategy for Medium Voltage Integrated Power System: Development and Assessment. Arab. J. Sci. Eng. 2018, 43, 2859–2872. [Google Scholar] [CrossRef]
- Maqsood, A. Z-Source Circuit Breaker Design and Protection Schemes for DC Micro Grid Systems. Master’s Thesis, Electrical Engineering, Clemson University, Clemson, SC, USA, May 2017. [Google Scholar]
- Bhatta, S.; Zhang, Y.; Fu, R. Detecting High-Impedance Fault with Z-Source Circuit Breakers in Smart Grids. In Proceedings of the 2020 IEEE Applied Power Electronics Conference and Exposition (APEC), New Orleans, LA, USA, 15–19 March 2020; pp. 1755–1761. [Google Scholar]
- Bhatta, S.; Zhang, Y.; Fu, R. Relationship of Steady-State Power Loss and Configurable Tripping Time in Z-Source Circuit Breakers. In Proceedings of the 2019 IEEE Applied Power Electronics Conference and Exposition (APEC), Anaheim, CA, USA, 17–21 March 2019; pp. 3483–3489. [Google Scholar]
- Frentzel, R. Use of Similarity Relations in the Analysis of Lightning-Induced Transient Phenomena. Eur. Trans. Electr. Power 1997, 7, 173–177. [Google Scholar] [CrossRef]
- Gharagozloo, P.T. Power Transmission Lines Transient Electromagnetic Fields—A Study of Scale Modeling and the Effects of Ground Loss. Master’s Thesis, Electrical and Computer Engineering, University of Manitoba, Winnipeg, MB, Canada, 2009. [Google Scholar]














| Parameter | Remark | Value |
|---|---|---|
| C1 = C2 = C0 = CZCB | Z-source capacitors | 2.2 µF |
| L1 = L2 = LZCB | Z-source inductors | 1.23 mH |
| CLoad | Load capacitor | 1.26 µF |
| VSource | Source voltage | 240 V |
| IL | Load current | 3 A |
| PL | Load power | 720 W |
| RL | Load resistance | 80 Ω |
| RFault_Base | Fault resistance base | 80 Ω |
| tq | SCR tripping time | 10 µs |
| Base CZCB (µF) | CZCB-New = CZCB-Mul * CZCB (µF) | |||
| CZCB-MUL | 1.0 | 2.0 | 3.0 | |
| 2.2 | CZCB-New | 2.2 | 4.4 | 6.6 |
| RF (in Ω) | ZCB Status | ||
|---|---|---|---|
| CZCB = 1.0 | CZCB = 2.0 | CZCB = 4.0 | |
| 35 Ω and 40 Ω | OFF | OFF | OFF |
| 50 Ω | ON | OFF | OFF |
| 62.5 Ω | ON | ON | OFF |
| Parameter | Remark | Value |
|---|---|---|
| C1 = C2 = C0 = CZCB | Z-source capacitors | 36.92 µF |
| L1 = L2 = LZCB | Z-source inductors | 76.9 µH |
| CLoad | Load capacitor | 20.25 µF |
| VSource | Source voltage | 5000 V |
| RLoad | Load resistance | 5 Ω |
| RFault_base | Fault resistance base | 5 Ω |
| PLoad | Max. Load Power | 5 MW |
| tq | SCR tripping time | 10 µs |
| RF (Ω) | CZCB-MUL | iC0 (A) | iC1 (A) | iC0 + iC1 (A) |
|---|---|---|---|---|
| 3 | 1.0 | 418 | 417 | 835 |
| 3.5 | 362 | 361 | 723 | |
| 4 | 318 | 318 | 636 | |
| 4.5 | 283 | 284 | 567 | |
| 3 | 3.0 | 755 | 755 | 1510 |
| 3.5 | 704 | 704 | 1408 | |
| 4 | 474 | 472 | 946 | |
| 4.5 | 419 | 417 | 836 | |
| 3 | 7.0 | 851 | 851 | 1702 |
| 3.5 | 790 | 790 | 1580 | |
| 4 | 743 | 743 | 1486 | |
| 4.5 | 492 | 482 | 974 | |
| 3 | 9.0 | 875 | 876 | 1751 |
| 3.5 | 813 | 812 | 1625 | |
| 4 | 762 | 763 | 1525 | |
| 4.5 | 723 | 722 | 1445 |
© 2020 by the authors. Licensee MDPI, Basel, Switzerland. This article is an open access article distributed under the terms and conditions of the Creative Commons Attribution (CC BY) license (http://creativecommons.org/licenses/by/4.0/).
Share and Cite
Bhatta, S.; Fu, R.; Zhang, Y. A New Method of Detecting and Interrupting High Impedance Faults by Specifying the Z-Source Breaker in DC Power Networks. Electronics 2020, 9, 1654. https://doi.org/10.3390/electronics9101654
Bhatta S, Fu R, Zhang Y. A New Method of Detecting and Interrupting High Impedance Faults by Specifying the Z-Source Breaker in DC Power Networks. Electronics. 2020; 9(10):1654. https://doi.org/10.3390/electronics9101654
Chicago/Turabian StyleBhatta, Sagar, Ruiyun Fu, and Yucheng Zhang. 2020. "A New Method of Detecting and Interrupting High Impedance Faults by Specifying the Z-Source Breaker in DC Power Networks" Electronics 9, no. 10: 1654. https://doi.org/10.3390/electronics9101654
APA StyleBhatta, S., Fu, R., & Zhang, Y. (2020). A New Method of Detecting and Interrupting High Impedance Faults by Specifying the Z-Source Breaker in DC Power Networks. Electronics, 9(10), 1654. https://doi.org/10.3390/electronics9101654
