Artificial Neural Network Controller for a Modular Robot Using a Software Defined Radio Communication System
Abstract
1. Introduction
2. System Development
2.1. EMERGE Modular Robot
2.2. Modular Robot Simulator
2.3. Artificial Neural Network Controller
| Algorithm 1. Control strategy | |
| FunctionANN (in , out , margin of error ) | |
| //Threshold as stop condition | |
| //In vector layer | |
| //Out vector layer | |
| // is a gaussian function (Equation (1)) | |
| //Matrix 10 neurons × 25 layers | |
| //Initial weight assignment function | |
| While do | |
| //Validation of results | |
| End While | |
| return ANN | |
| EndANN | |
| Function Virtual enviroment () | |
| Load libraries 3D enviroment | //Load virtual objects and robot |
| Start SDR port | //Open port to establish communication |
| Create communication port read thread | //Start communication routine |
| Create communication port send thread | |
| Start GUIO (Graphical User Interface Objects) | //Start program |
| //Select robot morphologie | |
| //Select enviroment | |
| //Select routine test or ANN mode | |
| //Start iterations | |
| If then | |
| //Read predefined movements (Table 1) | |
| else | |
| //Read ANN movements | |
| //Note: inf is a initial value (can be > 10) | |
| //for and start ANN weights | |
| While do | |
| ← Generate movements in the virtual reality environment () | |
| //Nomalize the value and fixes it | |
| //on the actuator scale | |
| Send via serial port () | //Send to each real module |
| Run the move routine for 100 milliseconds | //Delay for the next movement |
| ++ | |
| //Mean Squares Error routine (Equation (2)) | |
| //Simulates the ANN and update weights | |
| End While | |
| End Virtual enviroment | |
2.4. Software-Defined Radio Communication System
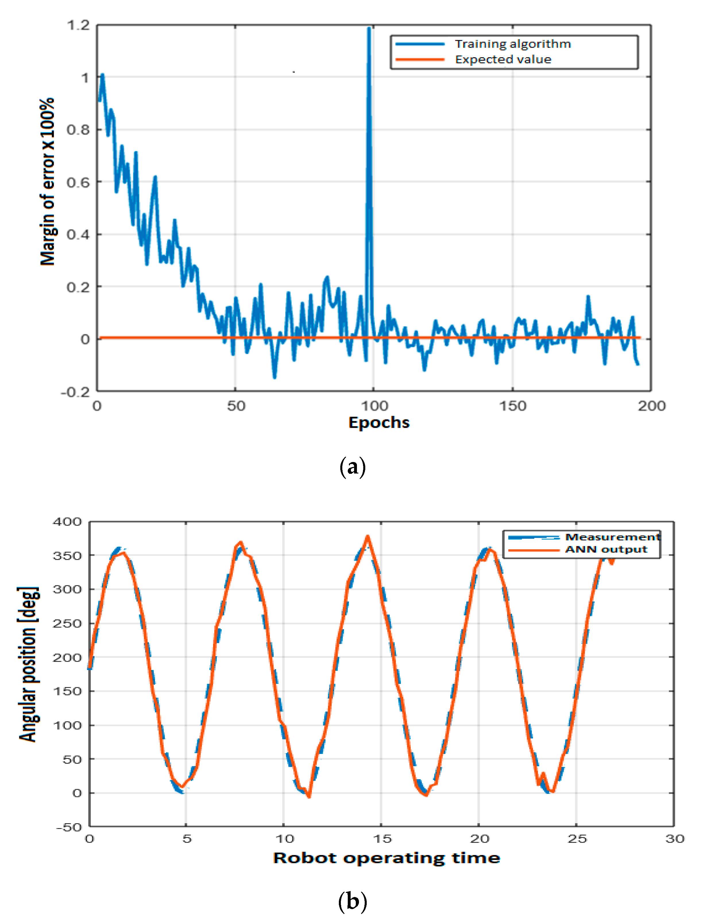
3. Results and Discussion
4. Conclusions
Author Contributions
Funding
Acknowledgments
Conflicts of Interest
References
- Baca, J.; Ferre, M.; Campos, A.; Fernandez, J.; Aracil, R. On the Analysis of a Multi-task Modular Robot System for Field Robotics. In Proceedings of the 2010 IEEE Electronics, Robotics and Automotive Mechanics Conference, Morelos, Mexico, 28 September–1 October 2010; pp. 475–480. [Google Scholar]
- Zhao, J.; Wei, Y.; Fan, J.; Shen, J.; Cai, H. New Type Reconfigurable Modular Robot Design and Intelligent Control Method Research. In Proceedings of the 6th World Congress on Intelligent Control and Automation, Dalian, China, 21–23 June 2006; pp. 8907–8911. [Google Scholar] [CrossRef]
- Jingtao, L.; Tianmiao, W.; Yongling, H. The Modular Approach Based on Functional Components Division for Modular Reconfigurable Walking Robot. In Proceedings of the International Conference on Reconfigurable Mechanisms and Robots, London, UK, 22–24 June 2009; pp. 540–544. [Google Scholar]
- Hayakawa, T.; Kamimura, T.; Kaji, S.; Matsuno, F. Autonomous Distributed System for Gait Generation for Single-Legged Modular Robots Connected in Various Configurations. IEEE Trans. Robot. 2020, 1–20. [Google Scholar] [CrossRef]
- Ye, C.; Chen, N.; Chen, L.; Jiang, C. A Variable-Scale Modular 3D Printing Robot of Building Interior Wall. In Proceedings of the 2018 IEEE International Conference on Mechatronics and Automation, Changchun, China, 5–8 August 2018; pp. 1818–1822. [Google Scholar] [CrossRef]
- Giusti, A.; Althoff, M. On-the-Fly Control Design of Modular Robot Manipulators. IEEE Trans. Control Syst. Technol. 2017, 26, 1484–1491. [Google Scholar] [CrossRef]
- Zhao, B.; Liu, D. Event-Triggered Decentralized Tracking Control of Modular Reconfigurable Robots through Adaptive Dynamic Programming. IEEE Trans. Ind. Electron. 2019, 67, 3054–3064. [Google Scholar] [CrossRef]
- An, T.; Men, X.; Zhang, X.; Li, Y.; Dong, B. Adaptive Dynamic Programming-based Decentralized Sliding Mode Optimal Control for Modular and Reconfigurable Robots. In Proceedings of the 2019 IEEE Symposium Series on Computational Intelligence (SSCI), Xiamen, China, 6–9 December 2019; pp. 31–36. [Google Scholar]
- Alattas, R. Hybrid evolutionary designer of modular robots. In Proceedings of the 2016 Annual Connecticut Conference on Industrial Electronics, Technology & Automation (CT-IETA), Bridgeport, CT, USA, 14–15 October 2016; pp. 1–4. [Google Scholar]
- Karimoddini, A.; Karimadini, M.; Lin, H. Decentralized hybrid formation control of Unmanned Aerial Vehicles. In Proceedings of the 2014 American Control Conference, Portland, OR, USA, 4–6 June 2014; pp. 3887–3892. [Google Scholar]
- Ahmad, S.; Aminnuddin, M.; Shukor, M.A.S.M. Modular hybrid control for double-link two-wheeled mobile robot. In Proceedings of the 2012 International Conference on Computer and Communication Engineering (ICCCE), Kuala Lumpur, Malaysia, 3–5 July 2012; pp. 807–813. [Google Scholar]
- Vicmudo, M.P.; Dadios, E.P. Artificial neural network controller for maintaining underwater swarm robots’ wireless connections. In Proceedings of the 2015 International Conference on Humanoid, Nanotechnology, Information Technology, Communication and Control, Environment and Management (HNICEM), Cebu City, Philippines, 9–12 December 2015; pp. 1–6. [Google Scholar]
- Kern, J.; Jamett, M.; Urrea, C.; Torres, H. Development of a neural controller applied in a 5 DOF robot redundant. IEEE Lat. Am. Trans. 2014, 12, 98–106. [Google Scholar] [CrossRef]
- Peng, G.; Chen, C.L.P.; He, W.; Yang, C. Neural-Learning-Based Force Sensorless Admittance Control for Robots with Input Deadzone. IEEE Trans. Ind. Electron. 2020, 1. [Google Scholar] [CrossRef]
- Wan, J.; Tang, S.; Shu, Z.; Li, D.; Wang, S.; Imran, M.; Vasilakos, A.V. Software-Defined Industrial Internet of Things in the Context of Industry 4.0. IEEE Sens. J. 2016, 16, 1. [Google Scholar] [CrossRef]
- Ulversoy, T. Software Defined Radio: Challenges and Opportunities. IEEE Commun. Surv. Tutor. 2010, 12, 531–550. [Google Scholar] [CrossRef]
- Muñoz, E.C.; Martínez, L.F.P.; Hernandez, C. Rényi Entropy-Based Spectrum Sensing in Mobile Cognitive Radio Networks Using Software Defined Radio. Entropy 2020, 22, 626. [Google Scholar] [CrossRef]
- Li, X.-Q.; Ding, X.; Zhang, Y.; Sun, Z.-P.; Zhao, H.-W. IoT Family Robot Based on Raspberry Pi. In Proceedings of the 2016 International Conference on Information System and Artificial Intelligence (ISAI), Hong Kong, China, 24–26 June 2016; pp. 622–625. [Google Scholar]
- Guleci, M.; Orhun, M. Android based WI-FI controlled robot using Raspberry Pi. In Proceedings of the 2017 International Conference on Computer Science and Engineering (UBMK), Antalya, Turkey, 5–8 October 2017; pp. 978–982. [Google Scholar]
- Cabrera, M.; Trifonov, R.S.; Castells, G.A.; Stoy, K. Wireless communication and power transfer in modular robots. In Proceedings of the IEEE/RSJ IROS: Workshop on Reconfigurable Modular Robotics: Challenges of Mechatronic and Bio-Chemo-Hybrid Systems, San Francisco, CA, USA, 21 September 2011. [Google Scholar]
- Haxhibeqiri, J.; Jarchlo, E.A.; Moerman, I.; Hoebeke, J. Flexible Wi-Fi Communication among Mobile Robots in Indoor Industrial Environments. Mob. Inf. Syst. 2018, 2018, 1–19. [Google Scholar] [CrossRef]
- Easy Modular Embodied Robot Generator. Available online: https://sites.google.com/view/emergemodular/home?authuser=0 (accessed on 20 June 2020).
- Hernández, H.; Moreno, R.; Faina, A.; Gomez, J. Design of a Bio-Inspired Controller to Operate a Modular Robot Autonomously. In Lecture Notes in Computer Science; Springer Science and Business Media LLC: Berlin, Germany, 2018; pp. 314–325. [Google Scholar]
- Liu, C.; Liu, J.; Moreno, R.; Veenstra, F.; Faíña, A. The impact of module morphologies on modular robots. In Proceedings of the 2017 18th International Conference on Advanced Robotics (ICAR), Hong Kong, China, 10–12 July 2017; pp. 237–243. [Google Scholar]
- Moreno, R.; Liu, C.; Faina, A.; Hernandez, H.; Gomez, J. The EMeRGE modular robot, an open platform for quick testing of evolved robot morphologies. In Proceedings of the Genetic and Evolutionary Computation Conference, Berlin, Germany, 15–19 July 2017; pp. 71–72. [Google Scholar] [CrossRef]
- 3D World Editor. Available online: https://la.mathworks.com/help/sl3d/the-3d-world-editor.html (accessed on 5 May 2020).
- Hellebrekers, T.; Chang, N.; Chin, K.; Ford, M.J.; Kroemer, O.; Majidi, C. Soft Magnetic Tactile Skin for Continuous Force and Location Estimation Using Neural Networks. IEEE Robot. Autom. Lett. 2020, 5, 3892–3898. [Google Scholar] [CrossRef]
- Li, C.; Fahmy, A.; Sienz, J. Development of a Neural Network-Based Control System for the DLR-HIT II Robot Hand Using Leap Motion. IEEE Access 2019, 7, 136914–136923. [Google Scholar] [CrossRef]
- Mano, M.; Capi, G.; Tanaka, N.; Kawahara, S. An Artificial Neural Network Based Robot Controller that Uses Rat’s Brain Signals. Robotics 2013, 2, 54–65. [Google Scholar] [CrossRef]
- Korovesis, N.; Kandris, D.; Koulouras, G.; Alexandridis, A. Robot Motion Control via an EEG-Based Brain-Computer Interface by Using Neural Networks and Alpha Brainwaves. Electronics 2019, 8, 1387. [Google Scholar] [CrossRef]
- Penttinen, J.T.J. The Telecommunications Handbook: Engineering Guidelines for Fixed, Mobile and Satellite Systems, 1st ed.; Wiley: Chichester, UK, 2015; p. 785. [Google Scholar]
- Dolińska, I.; Masiukiewicz, A.; Rządkowski, G. The mathematical model for interference simulation and optimization in 802.11n networks. In Proceedings of the International Workshop CS&P’ 2013, Warsaw, Poland, 25–27 September 2013; pp. 99–110. [Google Scholar]
- Behzad, A. Wireless LAN Radios: SYSTEM Definition to Transistor Design, 1st ed.; Wiley: Hoboken, NJ, USA, 2007; pp. 73–75. [Google Scholar]












| Inputs | Outputs | |||||
|---|---|---|---|---|---|---|
| Scenario | Number of Modules | Module 1 | Module 2 | Module 3 | Module 4 | Module 5 |
| Flat surface | 3 | 300 | 320 | 340 | - | - |
| Flat surface | 4 | 325 | 345 | 365 | 385 | - |
| Ladder | 4 | 350 | 370 | 390 | 410 | - |
| L-shaped | 4 | 375 | 395 | 415 | 435 | - |
| Flat surface | 5 | 400 | 420 | 440 | 460 | 480 |
| Ladder | 5 | 425 | 445 | 465 | 485 | 505 |
| Environment | Time Estimated by the Simulator | Time in Real Scenario | Error |
|---|---|---|---|
| Flat surface | 11 min | 11.6 min | 5.45% |
| Ladder | 13 min | 13.75 min | 5.76% |
| L-shaped | 13 min | 13.7 min | 5.38% |
| Environment | Distance Estimated by the Simulator | Distance in Real Scenario | Error |
|---|---|---|---|
| Flat surface | 1.8 m | 1.77 m | 1.66% |
| Ladder | 1.8 m | 1.71 m | 5% |
| L-shaped | 1.8 m | 1.73 m | 3.88% |
| Place Number | Average SNR (dB) |
|---|---|
| 1 | 69 |
| 2 | 46 |
| 3 | 66 |
| 4 | 36 |
| 5 | 58 |
| 6 | 49 |
| 7 | 59 |
| 8 | 53 |
| 9 | 46 |
© 2020 by the authors. Licensee MDPI, Basel, Switzerland. This article is an open access article distributed under the terms and conditions of the Creative Commons Attribution (CC BY) license (http://creativecommons.org/licenses/by/4.0/).
Share and Cite
Pedraza, L.F.; Hernández, H.A.; Hernández, C.A. Artificial Neural Network Controller for a Modular Robot Using a Software Defined Radio Communication System. Electronics 2020, 9, 1626. https://doi.org/10.3390/electronics9101626
Pedraza LF, Hernández HA, Hernández CA. Artificial Neural Network Controller for a Modular Robot Using a Software Defined Radio Communication System. Electronics. 2020; 9(10):1626. https://doi.org/10.3390/electronics9101626
Chicago/Turabian StylePedraza, Luis Fernando, Henry Alberto Hernández, and Cesar Augusto Hernández. 2020. "Artificial Neural Network Controller for a Modular Robot Using a Software Defined Radio Communication System" Electronics 9, no. 10: 1626. https://doi.org/10.3390/electronics9101626
APA StylePedraza, L. F., Hernández, H. A., & Hernández, C. A. (2020). Artificial Neural Network Controller for a Modular Robot Using a Software Defined Radio Communication System. Electronics, 9(10), 1626. https://doi.org/10.3390/electronics9101626

