Joint Power Allocation and Link Selection for Multi-Carrier Buffer Aided Relay Network
Abstract
:1. Introduction
1.1. Related Work and Motivation
1.2. Contributions
- To maximize the end-to-end rate of the system, an optimization problem is being formulated under individual power constraint at source/relay nodes and the link selection constraint.
- We consider joint power optimization over different sub-carriers at the source node, the optimal power loading over carriers at the relay node and the transmission link selection at a given time slot.
- Under the buffer aided transmission at the relay, we exploit the fact the end-to-end throughput is the sum of the rates received at the second hop while the sum of data transmitted cannot exceed the total received and propose a joint solution over all variables.
- With the DF relaying protocol, we propose an efficient decomposition structure where the optimal power allocation at each node is allocated through the water-filling strategy while the optimal link selection is obtained for the obtain power solution.
- Later, the problem of power allocation over the entire time slot for conventional relay transmission and the corresponding solution is presented. Further, a sub-optimal solution for BAR is also proposed.
- Finally, results are evaluated through extensive simulations.
1.3. Organization
2. System Model and Problem Formulation
2.1. System Model
2.2. Problem Formulation
3. Proposed Solution
| Algorithm 1 Proposed solution 1. |
|
| Algorithm 2 Proposed Solution 2. |
|
4. Simulation and Results
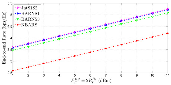
- BARNS1: this refers to the scheme proposed in Algorithm 1.
- JntS1S2: this corresponds to the solution obtained in Algorithm 2.
- BARNS3: similar to [31], a suboptimal link selection scheme where for the case , we put some at the time slots such that . The process will continue until the sum rate of relay to destination link becomes less than or equal to .
- NBARS: this shows the non-buffer aided conventional DF relay scheme. The problem can be written as:
5. Conclusions
Author Contributions
Funding
Conflicts of Interest
References
- Chen, X.; Liu, G.; Ma, Z.; Zhang, X.; Xu, W.; Fan, P. Optimal Power Allocations for Non-Orthogonal Multiple Access Over 5G Full/Half-Duplex Relaying Mobile Wireless Networks. IEEE Trans. Wirel. Commun. 2018, 18, 77–92. [Google Scholar] [CrossRef]
- Aladwani, A.; Erdogan, E.; Gucluoglu, T. Impact of Co-Channel Interference on Two-Way Relaying Networks with Maximal Ratio Transmission. Electronics 2019, 8, 392. [Google Scholar] [CrossRef]
- Wang, Q.; Zhao, F. Joint Spectrum and Power Allocation for NOMA Enhanced Relaying Networks. IEEE Access 2019, 7, 27008–27016. [Google Scholar] [CrossRef]
- Jameel, F.; Kumar, S.; Chang, Z.; Hamalainan, T.; Ristaniemi, T. Operator Revenue Analysis for Device-to-Device Communications Overlaying Cellular Network. In Proceedings of the 2018 IEEE Conference on Standards for Communications and Networking (CSCN), Paris, France, 29–31 October 2018; IEEE: Piscataway, NJ, USA, 2018; pp. 1–6. [Google Scholar]
- Nguyen, T.N.; Tran, M.; Nguyen, T.L.; Ha, D.H.; Voznak, M. Performance Analysis of a User Selection Protocol in Cooperative Networks with Power Splitting Protocol-Based Energy Harvesting Over Nakagami-m/Rayleigh Channels. Electronics 2019, 8, 448. [Google Scholar] [CrossRef]
- Jabeen, T.; Sidhu, G.A.S.; Gao, F. A unified power-allocation framework for bidirectional cognitive radio communication. IEEE Trans. Veh. Technol. 2016, 66, 3034–3044. [Google Scholar] [CrossRef]
- Chen, X.; He, F.; Xiao, L.; Zhou, S. Joint subcarrier and power allocation for DF-based multiuser two-way relay networks. China Commun. 2017, 14, 179–188. [Google Scholar] [CrossRef]
- Zhang, Y.; Wang, X.; Wang, D.; Zhao, Q.; Zhang, Y. A Range-Division User Relay Selection Scheme and Performance Analysis in NOMA-based Cooperative Opportunistic Multicast Systems. Electronics 2019, 8, 544. [Google Scholar] [CrossRef]
- Liu, G.; Li, L.; Cimini, L.J.; Shen, C.C. Extending Proportional Fair Scheduling to Buffer-Aided Relay Access Networks. IEEE Trans. Veh. Technol. 2018, 68, 1041–1044. [Google Scholar] [CrossRef]
- Phan, K.T.; Le-Ngoc, T. Power allocation for buffer-aided full-duplex relaying with imperfect self-interference cancelation and statistical delay constraint. IEEE Access 2016, 4, 3961–3974. [Google Scholar] [CrossRef]
- Kumar, B.; Prakriya, S. Rate performance of adaptive link selection in buffer-aided cognitive relay networks. In Proceedings of the 2016 IEEE 37th Sarnoff Symposium, Newark, NJ, USA, 19–21 September 2016; IEEE: Piscataway, NJ, USA, 2016; pp. 172–177. [Google Scholar]
- Zhang, B.; Dong, C.; Lei, J.; El-Hajjar, M.; Yang, L.L.; Hanzo, L. Buffer-aided relaying for the multi-user uplink: Outage analysis and power allocation. IET Commun. 2016, 10, 936–944. [Google Scholar] [CrossRef]
- Senthilkumar, L.; Meenakshi, M. Optimal Cross-Layer-Based Asymmetric Resource Allocation for Multidestination Relay Systems. IEEE Trans. Wirel. Commun. 2017, 17, 250–265. [Google Scholar] [CrossRef]
- Razlighi, M.M.; Zlatanov, N. Buffer-aided relaying for the two-hop full-duplex relay channel with self-interference. IEEE Trans. Wirel. Commun. 2017, 17, 477–491. [Google Scholar] [CrossRef]
- Liao, X.; Zhang, Y.; Wu, Z.; Shen, Y.; Jiang, X.; Inamura, H. On security-delay trade-off in two-hop wireless networks with buffer-aided relay selection. IEEE Trans. Wirel. Commun. 2017, 17, 1893–1906. [Google Scholar] [CrossRef]
- Raza, W.; Javaid, N.; Nasir, H.; Alrajeh, N.; Guizani, N. Buffer-aided relay selection with equal-weight links in cooperative wireless networks. IEEE Commun. Lett. 2017, 22, 133–136. [Google Scholar] [CrossRef]
- Manoj, B.; Mallik, R.K.; Bhatnagar, M.R. Performance analysis of buffer-aided priority-based max-link relay selection in DF cooperative networks. IEEE Trans. Commun. 2018, 66, 2826–2839. [Google Scholar] [CrossRef]
- He, J.; Liu, J.; Shen, Y.; Jiang, X. Link Selection for Secure Cooperative Networks with Buffer-Aided Relaying. arXiv, 2018; arXiv:1802.06538. [Google Scholar]
- Liu, R.; Popovskiy, P.; Wang, G. Adaptive link selection and power allocation buffer-aided relay networks with multiple sources. In Proceedings of the 2015 10th International Conference on Communications and Networking in China (ChinaCom), Shanghai, China, 15–17 August 2015; IEEE: Piscataway, NJ, USA, 2015; pp. 312–316. [Google Scholar]
- Ahmed, I.; Ikhlef, A.; Schober, R.; Mallik, R.K. Power allocation for conventional and buffer-aided link adaptive relaying systems with energy harvesting nodes. IEEE Trans. Wirel. Commun. 2014, 13, 1182–1195. [Google Scholar] [CrossRef]
- Jameel, F.; Haider, M.A.A.; Butt, A.A. Performance assessment of satellite-terrestrial relays under correlated fading. In Proceedings of the 2017 Fifth International Conference on Aerospace Science & Engineering (ICASE), Islamabad, Pakistan, 14–16 November 2017; IEEE: Piscataway, NJ, USA, 2017; pp. 1–6. [Google Scholar]
- Chen, S.; Zhao, J. The requirements, challenges, and technologies for 5G of terrestrial mobile telecommunication. IEEE Commun. Mag. 2014, 52, 36–43. [Google Scholar] [CrossRef]
- Sidhu, G.A.S.; Gao, F.; Liao, X.; Nallanathan, A. A general framework for optimizing AF based multi-relay OFDM systems. In Proceedings of the 2012 IEEE International Conference on Communications (ICC), Ottawa, ON, Canada, 10–15 June 2012; IEEE: Piscataway, NJ, USA, 2012; pp. 3574–3578. [Google Scholar]
- Fan, L.; Zhao, R.; Gong, F.K.; Yang, N.; Karagiannidis, G.K. Secure multiple amplify-and-forward relaying over correlated fading channels. IEEE Trans. Commun. 2017, 65, 2811–2820. [Google Scholar] [CrossRef]
- Zlatanov, N.; Schober, R. Buffer-aided half-duplex relaying can outperform ideal full-duplex relaying. IEEE Commun. Lett. 2013, 17, 479–482. [Google Scholar] [CrossRef]
- Zhou, B.; Liu, Y.; Tao, M. Adaptive scheduling for OFDM bidirectional transmission with a buffered relay. In Proceedings of the 2013 IEEE Wireless Communications and Networking Conference (WCNC), Shanghai, China, 7–10 April 2013; IEEE: Piscataway, NJ, USA, 2013; pp. 3248–3253. [Google Scholar]
- Zhao, Y.; Adve, R.; Lim, T.J. Improving amplify-and-forward relay networks: Optimal power allocation versus selection. In Proceedings of the 2006 IEEE International Symposium on Information Theory, Seattle, WA, USA, 9–14 July 2006; IEEE: Piscataway, NJ, USA, 2006; pp. 1234–1238. [Google Scholar]
- Ferrand, P.; Gorce, J.M.; Goursaud, C. Power allocation in relay channels under a global power constraint using virtual nodes. In Proceedings of the 2013 IEEE 24th Annual International Symposium on Personal, Indoor, and Mobile Radio Communications (PIMRC), London, UK, 8–11 September 2013; IEEE: Piscataway, NJ, USA, 2013; pp. 949–953. [Google Scholar]
- Tse, D.; Viswanath, P. Fundamentals of Wireless Communication; Cambridge University Press: Cambridge, MA, USA, 2005. [Google Scholar]
- Wu, D.; Cai, Y.; Sheng, Y. Joint subcarrier and power allocation in uplink OFDMA systems based on stochastic game. Sci. China Inf. Sci. 2010, 53, 2557–2566. [Google Scholar] [CrossRef]
- Zlatanov, N.; Schober, R.; Popovski, P. Buffer-aided relaying with adaptive link selection. IEEE J. Sel. Areas Commun. 2012, 31, 1530–1542. [Google Scholar] [CrossRef]





| OFDM | Orthogonal Frequency division multiplexing |
| DF | Decode and forward |
| AF | Amplify and forward |
| BAR | Buffer aided relaying |
| FD | Full duplex |
| SOP | Secrecy outage probability |
| SOC | Secrecy outage capacity |
| EST | Exact secrecy throughput |
| EH | Energy harvesting |
| BS | Base station |
| MU | Mobile user |
| SIC | Self interference cancellation |
| AWGN | Additive white Gaussian noise |
| SNR | Signal to noise ratio |
| FIFO | First in first Out |
| Km | Kilometer |
| P.L. | Path loss |
© 2019 by the authors. Licensee MDPI, Basel, Switzerland. This article is an open access article distributed under the terms and conditions of the Creative Commons Attribution (CC BY) license (http://creativecommons.org/licenses/by/4.0/).
Share and Cite
Jabeen, T.; Ali, Z.; Khan, W.U.; Jameel, F.; Khan, I.; Sidhu, G.A.S.; Choi, B.J. Joint Power Allocation and Link Selection for Multi-Carrier Buffer Aided Relay Network. Electronics 2019, 8, 686. https://doi.org/10.3390/electronics8060686
Jabeen T, Ali Z, Khan WU, Jameel F, Khan I, Sidhu GAS, Choi BJ. Joint Power Allocation and Link Selection for Multi-Carrier Buffer Aided Relay Network. Electronics. 2019; 8(6):686. https://doi.org/10.3390/electronics8060686
Chicago/Turabian StyleJabeen, Tayyaba, Zain Ali, Wali Ullah Khan, Furqan Jameel, Imran Khan, Guftaar Ahmad Sardar Sidhu, and Bong Jun Choi. 2019. "Joint Power Allocation and Link Selection for Multi-Carrier Buffer Aided Relay Network" Electronics 8, no. 6: 686. https://doi.org/10.3390/electronics8060686
APA StyleJabeen, T., Ali, Z., Khan, W. U., Jameel, F., Khan, I., Sidhu, G. A. S., & Choi, B. J. (2019). Joint Power Allocation and Link Selection for Multi-Carrier Buffer Aided Relay Network. Electronics, 8(6), 686. https://doi.org/10.3390/electronics8060686

