A Circularly Polarized Antenna Array with Gain Enhancement for Long-Range UHF RFID Systems
Abstract
:1. Introduction
2. The Proposed Antenna Design
2.1. Antenna Structure
2.2. Sequential Rotated Feed Network
2.3. SICL-Based Feed Network
2.4. Microstrip Patch Antenna Height (h)
2.5. Antenna Array Element Distance (d)
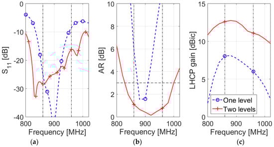
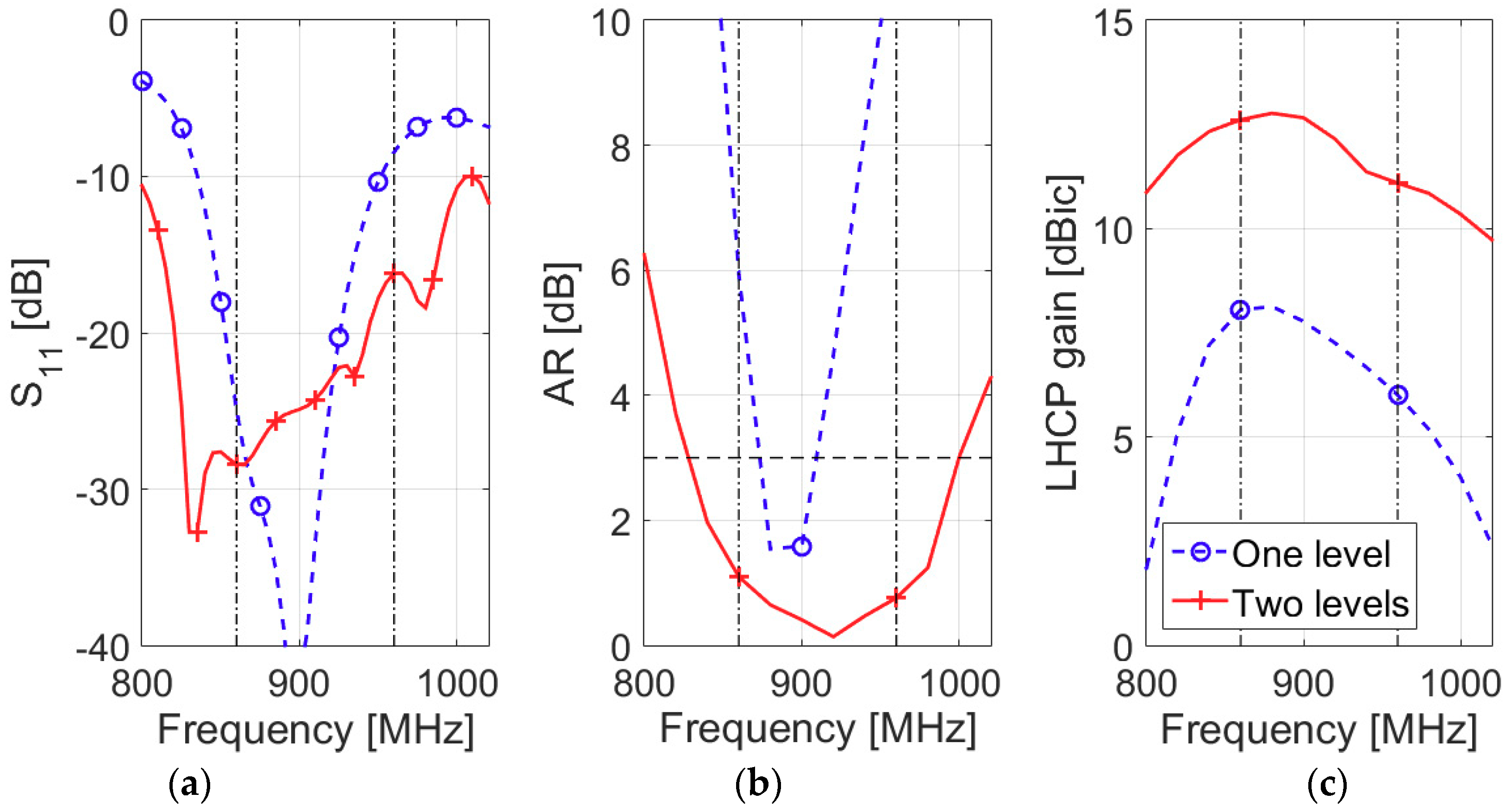
3. Measurement Results and Discussion
4. Conclusions
Author Contributions
Funding
Conflicts of Interest
References
- Amato, F.; Torun, H.M.; Durgin, G.D. RFID backscattering in long-range scenarios. IEEE Trans. Wirel. Commun. 2018, 17, 2718–2725. [Google Scholar] [CrossRef]
- Lázaro, A.; Girbau, D.; Salinas, D. Radio link budgets for UHF RFID on multipath environments. IEEE Trans. Antennas Propag. 2009, 57, 1241–1251. [Google Scholar] [CrossRef]
- Chakraborty, R.; Roy, S.; Jandhyala, V. Revisiting RFID link budgets for technology scaling: Range maximization of RFID tags. IEEE Trans. Microw. Theory Technol. 2011, 59, 496–503. [Google Scholar] [CrossRef]
- Toh, B.Y.; Cahill, R.; Fusco, V.F. Understanding and measuring circular polarization. IEEE Trans. Educ. 2003, 46, 313–318. [Google Scholar]
- Pakkathillam, J.K.; Kanagasabai, M. Circularly polarized multiservice RFID antenna. IET Microw. Antennas Propag. 2017, 11, 232–239. [Google Scholar] [CrossRef]
- Mireles, E.; Sharma, S.K. A novel wideband circularly polarized antenna for worldwide UHF band RFID reader applications. Prog. Electromagn. Res. B 2012, 42, 23–44. [Google Scholar] [CrossRef]
- Chen, Z.N.; Qing, X.; Chung, H.L. A universal UHF RFID reader antenna. IEEE Trans. Microw. Theory Technol. 2009, 57, 1275–1282. [Google Scholar] [CrossRef]
- Sun, J.S.; Wu, C.H. A broadband circularly polarized antenna of square-ring patch for UHF RFID reader applications. AEU Int. J. Electron. Commun. 2018, 85, 84–90. [Google Scholar] [CrossRef]
- Chen, X.; Fu, G.; Gong, S.X.; Yan, Y.L.; Zhao, W. Circularly polarized stacked annular-ring microstrip antenna with integrated feeding network for UHF RFID readers. IEEE Antennas Wirel. Propag. Lett. 2010, 9, 542–545. [Google Scholar] [CrossRef]
- Hall, P.S.; Dahele, J.S.; James, J.R. Design principles of sequentially fed, wide bandwidth, circularly polarised microstrip antennas. IEE Proc. 1989, 136, 381–389. [Google Scholar] [CrossRef]
- Inserra, D.; Hu, W.; Wen, G. Antenna array synthesis for RFID-based electronic toll collection. IEEE Trans. Antennas Propag. 2018, 66, 4596–4605. [Google Scholar] [CrossRef]
- Yang, W.; Zhou, J.; Yu, Z.; Li, L. Bandwidth- and gain-enhanced circularly polarized antenna array using sequential phase feed. IEEE Antennas Wirel. Propag. Lett. 2014, 13, 1215–1218. [Google Scholar] [CrossRef]
- Ta, S.X.; Park, I. Compact wideband circularly polarized patch antenna array using metasurface. IEEE Antennas Wirel. Propag. Lett. 2017, 16, 1932–1936. [Google Scholar] [CrossRef]
- Hu, W.; Inserra, D.; Wen, G.; Chen, Z. Wideband low axial ratio and high gain sequentially rotated antenna array. IEEE Antennas Wireless Propag. Lett. 2018, 17, 2264–2268. [Google Scholar] [CrossRef]
- Montisci, G.; Casula, G.A.; Galia, T.; Mazzarella, G. Design of series fed printed arrays. J. Electron. Waves Appl. 2003, 17, 1767–1780. [Google Scholar] [CrossRef]
- Lei, J.; Fu, G.; Yang, L.; Fu, D.M. An omnidirectional printed dipole array antenna with shaped radiation pattern in the elevation plane. J. Electron. Waves Appl. 2006, 20, 1955–1966. [Google Scholar] [CrossRef]
- Gatti, F.; Bozzi, M.; Perregrini, L.; Wu, K.; Bosisio, R.G. A novel substrate integrated coaxial line (SICL) for wide-band applications. In Proceedings of the 36th European Microwave Conference (EuMC) 2006, Manchester, UK, 10–15 September 2006; pp. 1614–1617. [Google Scholar]
- Cheng, L.; Fan, K.-K.; Hao, Z.-C.; Hong, W. Compact and wideband millimeter wave circularly polarized antenna array based on a SICL to waveguide transition. IET Microw. Antennas Propag. 2017, 11, 2097–2103. [Google Scholar] [CrossRef]
- Hu, W.; Inserra, D.; Huang, Y.; Wen, G. High gain linearly polarized wideband UHF antenna based on substrate integrated coaxial line feeding network. In Proceedings of the International Symposium on Antennas and Propagation (AP-S) 2017, San Diego, CA, USA, 9–14 July 2017; pp. 2451–2452. [Google Scholar]
- Inserra, D.; Hu, W.; Wen, G. Design of a microstrip series power divider for sequentially rotated nonuniform antenna array. Int. J. Antennas Propag. 2017, 2017, 1–8. [Google Scholar] [CrossRef]
- Han, T.Y. Series-fed microstrip array antenna with circular polarization. Int. J. Antennas Propag. 2012, 2012, 681431. [Google Scholar] [CrossRef]
- Liu, Q.; Liu, Y.; Wu, Y.; Li, S.; Yu, C.; Su, M. Broadband substrate integrated coaxial line to CBCPW transition for rat-race couplers and dual-band couplers design. Prog. Electromagn. Res. C 2013, 35, 147–159. [Google Scholar] [CrossRef]
- Wu, Q.; Wang, H.; Yu, C.; Zhang, X.; Hong, W. L/S-band dual-circularly polarized antenna fed by 3-dB coupler. IEEE Antennas Wirel. Propag. Lett. 2015, 14, 426–429. [Google Scholar] [CrossRef]
- Kumar, G.; Ray, K.P. Broadband Microstrip Antennas; Artech House: Norwood, MA, USA, 1996. [Google Scholar]
- Nikolić, M.M.; Djordjević, A.R.; Nehorai, A. Microstrip antennas with suppressed radiation in horizontal directions and reduced coupling. IEEE Trans. Antennas Propag. 2005, 53, 3469–3476. [Google Scholar] [CrossRef]
- Li, G.; Zhai, H.; Li, T.; Li, L.; Liang, C. A Compact Antenna with Broad Bandwidth and Quad-Sense Circular Polarization. IEEE Antennas Wirel. Propag. Lett. 2012, 11, 791–794. [Google Scholar]
- Geyi, W. Physical limitations of antenna. IEEE Trans. Antennas Propag. 2003, 51, 2116–2123. [Google Scholar] [CrossRef]
- Wang, P.; Wen, G.; Li, J.; Huang, Y.; Yang, L.; Zhang, Q. Wideband circularly polarized UHF RFID reader antenna with high gain and wide axial ratio beamwidths. Prog. Electromagn. Res. 2012, 129, 365–385. [Google Scholar] [CrossRef]










| Frequency (MHz) | 840 | 900 | 960 |
|---|---|---|---|
| xz-plane (deg) | 31 | 38 | 35 |
| xz-plane (deg) | 26 | 27 | 37 |
| Ref. | f0 (GHz) | |S11| ≤ −10 dB BW | AR ≤ 3 dB BW | Gain at f0 (dBic) | 3 dB gain BW | Ant. Size (λ3) | min Q (theoret.) | 1/BW | eA |
|---|---|---|---|---|---|---|---|---|---|
| [7] | 0.9 | n.a. | 16.4% | 9.3 | n.a. | 0.75 × 0.75 × 0.105 | 0.3136 | 6.0976 | n.a. |
| [9] | 0.915 | 10.6% | 6% | 8.9 | n.a. | 0.67× 0.67 × 0.043 | 0.3549 | 9.4340 | n.a. |
| [11] | 0.92 | >2.7% | 2.7% | 12.3 | 1.7% | 1.8 × 1.8 × 0.005 | 0.1260 | 37.037 | 41.7% |
| [12] | 5 | 20.8% | 17.6% | 11.5 | 13% | 1.5 × 1.5 × 0.06 | 0.1517 | 4.8077 | 49.96% |
| [13] | 5.9 | 55.6% | 41.67% | 12.08 | 37.3% | 1.26 × 1.26 × 0.046 | 0.1815 | 1.7986 | 80.92% |
| [14] | 0.915 | 36.5% | 28.8% | 12.9 | 26.1% | 1.32 × 1.32 × 0.065 | 0.1730 | 2.7397 | 89.05% |
| [20] | 0.92 | >2.7% | 2.2% | 12.6 | 1.8% | 1.8 × 1.8 × 0.005 | 0.1260 | 37.037 | 44.09% |
| Prop. | 0.9 | 29.9% | 18.2% | 12.5 | >26.3% | 1.32 × 1.32 × 0.068 | 0.1730 | 3.3445 | 81.22% |
© 2019 by the authors. Licensee MDPI, Basel, Switzerland. This article is an open access article distributed under the terms and conditions of the Creative Commons Attribution (CC BY) license (http://creativecommons.org/licenses/by/4.0/).
Share and Cite
Hu, W.; Wen, G.; Inserra, D.; Huang, Y.; Li, J.; Chen, Z. A Circularly Polarized Antenna Array with Gain Enhancement for Long-Range UHF RFID Systems. Electronics 2019, 8, 400. https://doi.org/10.3390/electronics8040400
Hu W, Wen G, Inserra D, Huang Y, Li J, Chen Z. A Circularly Polarized Antenna Array with Gain Enhancement for Long-Range UHF RFID Systems. Electronics. 2019; 8(4):400. https://doi.org/10.3390/electronics8040400
Chicago/Turabian StyleHu, Wei, Guangjun Wen, Daniele Inserra, Yongjun Huang, Jian Li, and Zhizhang (David) Chen. 2019. "A Circularly Polarized Antenna Array with Gain Enhancement for Long-Range UHF RFID Systems" Electronics 8, no. 4: 400. https://doi.org/10.3390/electronics8040400
APA StyleHu, W., Wen, G., Inserra, D., Huang, Y., Li, J., & Chen, Z. (2019). A Circularly Polarized Antenna Array with Gain Enhancement for Long-Range UHF RFID Systems. Electronics, 8(4), 400. https://doi.org/10.3390/electronics8040400

