Resource Allocation in Wireless-Powered Mobile Edge Computing Systems for Internet of Things Applications
Abstract
:1. Introduction
- Firstly, the researched wireless powered MEC system consists of one access point (AP) and wireless devices. The AP tries to find the optimal transmit power for the energy supply, and the wireless devices try to decide the proportion of computation tasks offloading to the AP.
- Secondly, a Stackelberg dynamic game model is proposed to formulate the resource allocation problem in wireless powered MEC systems for IoT applications. The Stackelberg game is a one-leader-many-followers game, where the AP is the leader and the wireless devices are the followers.
- For the dynamic game, we use the energy variation as the system state. The objectives for the AP and wireless devices are to optimize the cost function during the wireless transfer of energy and computation offloading.
- Finally, the open-loop control solutions for the AP and wireless devices are given based on Bellman dynamic programming.
2. System Model and Problem Formulation
3. Game Analysis
3.1. Open-Loop Solutions for Wireless Devices
3.2. Open-Loop Solutions for the AP
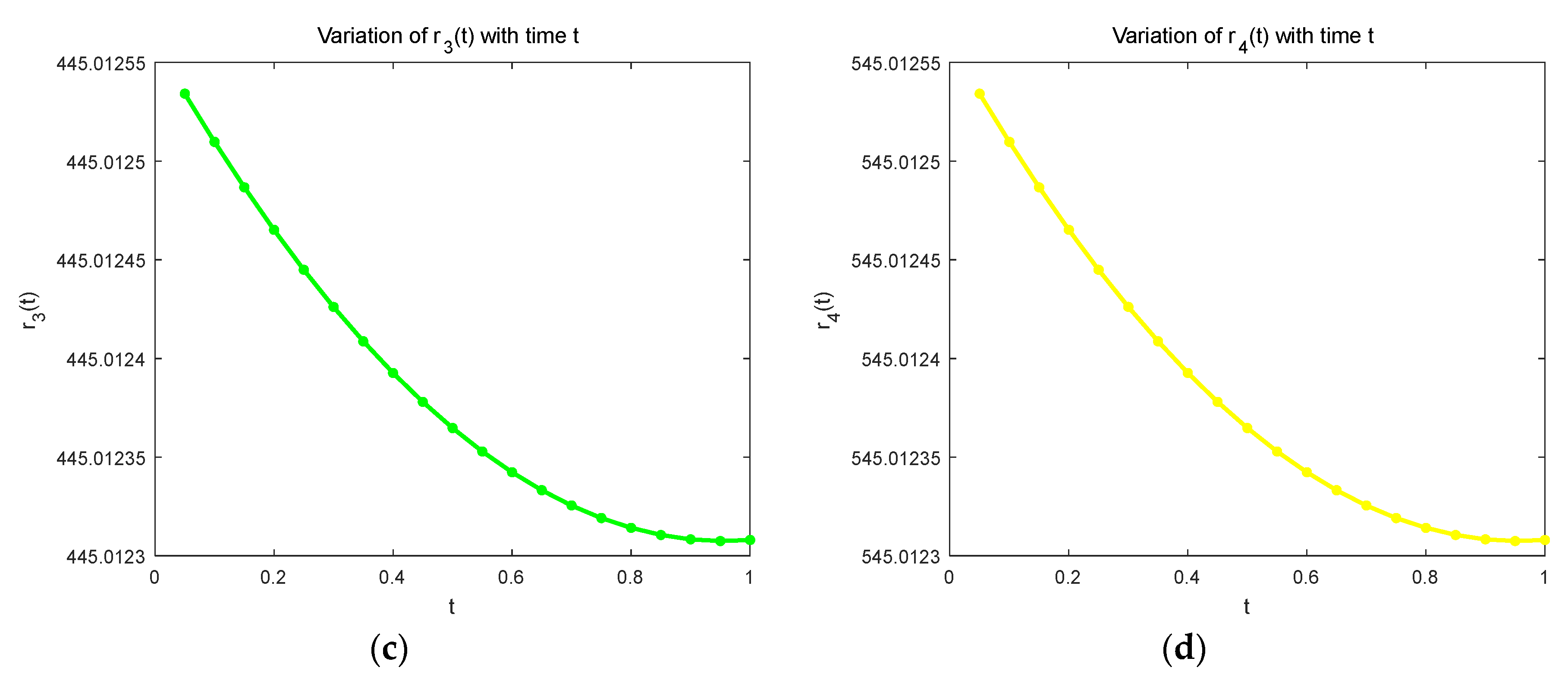
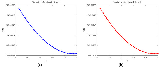
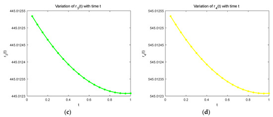
4. Numerical Simulations
5. Conclusions
Author Contributions
Funding
Acknowledgments
Conflicts of Interest
References
- Yu, W.; Liang, F.; He, X.F.; Hatcher, W.G.; Lu, C.; Lin, J.; Yang, X.Y. A Survey on the Edge Computing for the Internet of Things. IEEE Access. 2018, 6, 6900–6919. [Google Scholar] [CrossRef]
- Lin, J.; Yu, W.; Yang, X.; Yang, Q.; Fu, X.; Zhao, W. A real-time en-route route guidance decision scheme for transportation-based cyberphysical systems. IEEE Trans. Veh. Technol. 2017, 66, 2551–2566. [Google Scholar] [CrossRef]
- Vallati, C.; Virdis, A.; Mingozzi, E.; Stea, G. Mobile-edge computing come home connecting things in future smart homes using LTE device-to-device communications. IEEE Consum. Electron. Mag. 2016, 5, 77–83. [Google Scholar] [CrossRef]
- Mohamed, N.; Al-Jaroodi, J.; Jawhar, I.; Lazarova-Molnar, S.; Mahmoud, S. Smart City Ware: A service-oriented middleware for cloud and fog enabled smart city services. IEEE Access. 2017, 5, 17576–17588. [Google Scholar] [CrossRef]
- Mallapuram, S.; Ngwum, N.; Yuan, F.; Lu, C.; Yu, W. Smart city: The state of the art, datasets, and evaluation platforms. In Proceedings of the IEEE/ACIS 16th International Conference on Computer and Information Science (ICIS), Wuhan, China, 24–26 May 2017; pp. 447–452. [Google Scholar]
- Cia, M.D.; Mason, F.; Peron, D.; Chiariotti, F.; Polese, M.; Mahmoodi, T.; Zorzi, M.; Zanella, A. Using smart city data in 5G self-organizing networks. IEEE Internet Things J. 2018, 5, 645–654. [Google Scholar]
- Lin, J.; Yu, W.; Yang, X. Towards multistep electricity prices in smart grid electricity markets. IEEE Trans. Parallel Distrib. Syst. 2016, 27, 286–302. [Google Scholar] [CrossRef]
- Zhang, C.; Fan, P.; Xiong, K.; Fan, P. Optimal power allocation with delay constraint for signal transmission from a moving train to base stations in high-speed railway scenarios. IEEE Trans. Veh. Technol. 2015, 64, 5775–5788. [Google Scholar] [CrossRef]
- Song, Y.; Yau, S.S.; Yu, R.; Zhang, X.; Xue, G. An Approach to QoS-based Task Distribution in Edge Computing Networks for IoT Applications. In Proceedings of the IEEE International Conference on Edge Computing (EDGE), Honolulu, HI, USA, 25–30 June 2017. [Google Scholar]
- Lu, Y.; Xiong, K.; Fan, P.; Zhong, Z.; Letaief, K. Robust Transmit Beamforming With Artificial Redundant Signals for Secure SWIPT System Under Non-Linear EH Model. IEEE Trans. Wireless Commun. 2018, 17, 2218–2232. [Google Scholar] [CrossRef]
- Li, L.; Xu, Y.; Zhang, Z.; Yin, J.; Chen, W.; Han, Z. A prediction-based charging policy and interference mitigation approach in the wireless powered Internet of Things. IEEE J. Sel. Areas Commun. 2019, 37, 439–451. [Google Scholar] [CrossRef]
- Xiong, K.; Wang, B.; Liu, R. Rate-Energy Region of SWIPT for MIMO Broadcasting under Nonlinear Energy Harvesting Model. IEEE Trans. Wireless Commun. 2017, 16, 5147–5161. [Google Scholar] [CrossRef]
- Lu, Y.; Xiong, K.; Fan, P.; Zhong, Z.; Letaief, K. Coordinated Beamforming with Artificial Noise for Secure SWIPT under Non-Linear EH Model: Centralized and Distributed Designs. IEEE J. Sel. Areas Commun. 2018, 36, 1544–1563. [Google Scholar] [CrossRef]
- Mao, Y.; You, C.; Zhang, J.; Huang, K.; Letaief, K.B. A Survey on Mobile Edge Computing: The Communication Perspective. IEEE Commun. Surv. Tutor. 2017, 19, 2322–2358. [Google Scholar] [CrossRef]
- An, X.; Zhou, X.; Lü, X.; Lin, F.; Yang, L. Sample Selected Extreme Learning Machine Based Intrusion Detection in Fog Computing and MEC. Wireless Commun. Mob. Comput. 2018, 2018, 1–10. [Google Scholar] [CrossRef]
- Lin, F.; Zhou, Y.; An, X.; You, I.; Choo, k. Fair Resource Allocation in an Intrusion-Detection System for Edge Computing: Ensuring the Security of Internet of Things Devices. IEEE Consum. Electron. Mag. 2018, 7, 45–50. [Google Scholar] [CrossRef]
- Mach, P.; Becvar, Z. Mobile Edge Computing: A Survey on Architecture and Computation Offloading. IEEE Commun. Surv. Tutor. 2017, 19, 1628–1656. [Google Scholar] [CrossRef]
- Chen, L.; Zhou, S.; Xu, J. Computation Peer Offloading for Energy-Constrained Mobile Edge Computing in Small-Cell Networks. IEEE-ACM Trans. Netw. 2018, 26, 1619–1632. [Google Scholar] [CrossRef]
- Zhu, S.; Gui, L.; Chen, J.; Zhang, Q.; Zhang, N. Cooperative Computation Offloading for UAVs: A Joint Radio and Computing Resource Allocation Approach. In Proceedings of the 2018 IEEE International Conference on Edge Computing (EDGE), San Francisco, CA, USA, 2–7 July 2018. [Google Scholar]
- Mao, Y.; Zhang, J.; Letaief, K.B. Dynamic Computation Offloading for Mobile-Edge Computing with Energy Harvesting Devices. IEEE J. Sel. Areas Commun. 2016, 34, 3590–3605. [Google Scholar] [CrossRef]
- Chen, X.; Jiao, L.; Li, W.; Fu, X. Efficient Multi-User Computation Offloading for Mobile-Edge Cloud Computing. IEEE-ACM Trans. Netw. 2015, 24, 2795–2808. [Google Scholar] [CrossRef]
- Wang, F.; Xu, J.; Wang, X.; Cui, S. Joint Offloading and Computing Optimization in Wireless Powered Mobile-Edge Computing Systems. IEEE Trans. Wirel. Commun. 2018, 17, 1784–1797. [Google Scholar] [CrossRef]
- Zhou, F.; Wu, Y.; Hu, R.Q.; Qian, Y. Computation Rate Maximization in UAV-Enabled Wireless Powered Mobile-Edge Computing Systems. IEEE J. Sel. Areas Commun. 2018, 36, 1927–1941. [Google Scholar] [CrossRef]
- Xiong, K.; Chen, C.; Qu, G.; Fan, P.; Letaief, K. Group Cooperation with Optimal Resource Allocation in Wireless Powered Communication Networks. IEEE Trans. Wireless Commun. 2017, 16, 3840–3853. [Google Scholar] [CrossRef]
- Rufus, I. Differential Games III; Inc.: Mineola, NY, USA, 1954. [Google Scholar]
- Xu, H.; Guo, C.; Zhang, L. Optimal Power Control in Wireless Powered Sensor Networks: A Dynamic Game-Based Approach. Sensors 2017, 17, 547. [Google Scholar] [CrossRef] [PubMed]
Parameters | ||||||||
Value | 0.1 | 0.55 | 0.001 | 0.45 | 1 | 3.5 | 0.04 |
© 2019 by the authors. Licensee MDPI, Basel, Switzerland. This article is an open access article distributed under the terms and conditions of the Creative Commons Attribution (CC BY) license (http://creativecommons.org/licenses/by/4.0/).
Share and Cite
Liu, B.; Xu, H.; Zhou, X. Resource Allocation in Wireless-Powered Mobile Edge Computing Systems for Internet of Things Applications. Electronics 2019, 8, 206. https://doi.org/10.3390/electronics8020206
Liu B, Xu H, Zhou X. Resource Allocation in Wireless-Powered Mobile Edge Computing Systems for Internet of Things Applications. Electronics. 2019; 8(2):206. https://doi.org/10.3390/electronics8020206
Chicago/Turabian StyleLiu, Bingjie, Haitao Xu, and Xianwei Zhou. 2019. "Resource Allocation in Wireless-Powered Mobile Edge Computing Systems for Internet of Things Applications" Electronics 8, no. 2: 206. https://doi.org/10.3390/electronics8020206
APA StyleLiu, B., Xu, H., & Zhou, X. (2019). Resource Allocation in Wireless-Powered Mobile Edge Computing Systems for Internet of Things Applications. Electronics, 8(2), 206. https://doi.org/10.3390/electronics8020206