An Electromagnetic Lock Actuated by a Mobile Phone Equipped with a Self-Made Laser Pointer
Abstract
1. Introduction
2. Materials and Methods
2.1. Apparatus
2.2. Electromagnetic Lock Mechanism Modeling
2.3. Response Analysis
3. Results
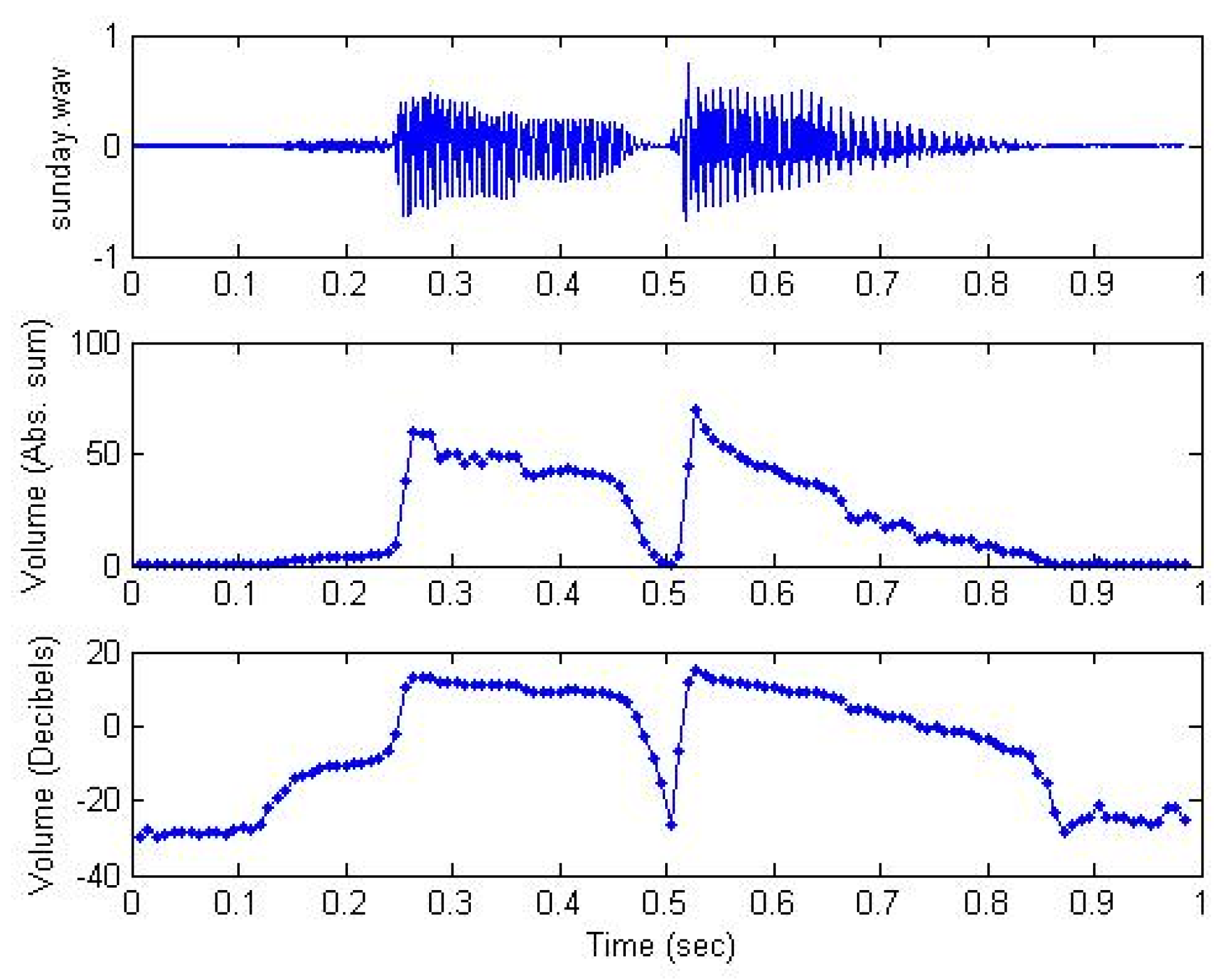
3.1. Speech Endpoint Detection
3.2. Feature Extraction
3.3. Filter Design
4. Discussion
Author Contributions
Funding
Acknowledgments
Conflicts of Interest
References
- Josephine, M.M. Design and Construction of a remote control switching device for household appliances application. ASTESJ 2017, 2, 154–164. [Google Scholar] [CrossRef]
- Delgado, A.R.; Picking, R.; Grout, V. Remote-Controlled Home Automation Systems with Different Network Technologies; University of Wales: Wrexham, UK, 2013. [Google Scholar]
- Hossain, E.; Mamun, N.; Faisal, M.F. Vehicle to Vehicle Communication Using RF and IR Technology. In Proceedings of the 2nd International Conference on Electrical & Electronic Engineering (ICEEE), Rajshahi, Bangladesh, 27–29 December 2017. [Google Scholar] [CrossRef]
- Bakare, B.I.; Nwakpang, F.M.; Desire, A.E. Propagation Analysis of Radio Frequency (RF) Signal of Love FM Transmitter in Port Harcourt, Nigeria. IOSR J. Electron. Commun. Eng. (IOSR-JECE) 2019, 14, 5–12. [Google Scholar] [CrossRef]
- Akar, F.; AŞKIN, O. Design and implementation of IR and laser-based electronic ciphering systems. Turk. J. Electr. Eng. Comput. Sci. 2015, 23, 17–27. [Google Scholar] [CrossRef]
- Vimal Raj, V.; Aravindan, S.; Agnishwar Jayaprakash Harith, M.; Manivannan, R.; Bhuvaneshwaran, G. Comparative Study of Audio Amplifiers. J. Electron. Commun. Eng. (JECE) 2017, 12, 32–36. [Google Scholar] [CrossRef]
- Jiang, M. Using Three Op Amp Simple AM/FM Radio Circuit. Open Access Libr. J. 2018, 5, 1. [Google Scholar] [CrossRef]
- Munyazikwiye, B.B.; Robbersmyr, K.G.; Karimi, H.R. A state-space approach to mathematical modeling and parameters identification of vehicle frontal crash. Syst. Sci. Control Eng. 2014, 2, 351–361. [Google Scholar] [CrossRef]
- Sun, Y.; Wang, X. Power spectral density of pulse train over random time scaling. IET Signal Process 2014, 8, 601–605. [Google Scholar] [CrossRef]
- Jiea, L.; Pingb, Z.; Xinxingc, J.; Zhiran, D. Speech End point Detection Method Based on TEO in Noisy Environment. Procedia Eng. 2012, 29, 2655–2660. [Google Scholar] [CrossRef]
- Müller, M.; Ellis, D.P.W.; Klapuri, A.; Richard, G. Signal Processing for Music Analysis. IEEE J. Sel. Top. Signal Process. 2011, 5, 1088–1110. [Google Scholar] [CrossRef]
- Jiang, D.N.; Cai, L.H. Speech emotion classification with the combination of statistic features and temporal features. IEEE ICME 2004, 3, 1967–1970. [Google Scholar]
- Schuller, B.; Rigoll, G. Timing levels in segment-based speech emotion recognition. In Proceedings of the Interspeech 2006—ICSLP, Pittsburgh, PA, USA, 17–21 September 2006. [Google Scholar]
- Reynolds, D.A. Large Population Speaker Identification Using Clean and Telephone Speech. IEEE Signal Process. Lett. 1995, 2, 46–48. [Google Scholar] [CrossRef]
- Mashao, D.J.; Baloyi, N.T. Improvements in The Speaker Identification Rate Using Feature-Sets on A Large Population Database. In Proceedings of the Seventh European Conference on Speech Communication and Technology, Aalborg, Denmark, 3–7 September 2001. [Google Scholar]
- Chetouani, M.; Mahdhaoui, A.; Ringeval, F. Time-scale feature extractions for emotional speech characterization. Cognit. Comput. 2009, 1, 194–201. [Google Scholar] [CrossRef][Green Version]
- Vondra, M.; Vích, R. Recognition of emotions in german speech using gaussian mixture models. In Multimodal Signals: Cognitive and Algorithmic Issues; Springer: New York, NY, USA, 2009. [Google Scholar]
- Junbo, L.; Xiangning, F.; Kuan, B. A 4th-order active-Gm-RC low-pass filter with RC time constant auto-tuning for reconfigurable wireless receivers. In Proceedings of the 2012 IEEE Solid-State and Integrated Circuit Technology (ICSICT), Xi’an, China, 29 October–21 November 2012. [Google Scholar]
- Jiang, C.; Xie, R.; Li, W.; Huang, Y.; Hong, Z. Reconfigurable low pass filter with Automatic Frequency Tuning for WCDMA and GSM application. In Proceedings of the 2011 IEEE ASIC (ASICON), Xiamen, China, 25–28 October 2011. [Google Scholar]
- de Matteis, M.; Pezzotta, A.; D’Amico, S.; Baschirotto, A. A 33MHz 70dB-SNR super-source-follower-based low-pass analog filter. IEEE J. Solid State Circuits 2015, 50, 1516–1524. [Google Scholar] [CrossRef]
- Xu, Y.; Muhlestein, J.; Moon, U.K. A 0.65 mW 20 MHz 5th-order low-pass filter with +28.8dBm IIP3 using source follower coupling. In Proceedings of the IEEE Custom Integrated Circuits Conference (CICC), Austin, TX, USA, 30 April–3 May 2017. [Google Scholar]
- Ding, Y.; Liu, L.; Li, R.; Zhang, X.; Liu, L. A 5–80 MHz CMOS Gm-C Low-Pass Filter with On-Chip Automatic Tuning. In Proceedings of the 2011 International Conference on Digital Manufacturing and Automation (ICDMA), Hunan, China, 5–7 August 2011. [Google Scholar]
- Bao, K.; Fan, X.; Wang, Z. A 0.18-μm-CMOS Low-Power Reconfigurable Low Pass Filter for Multi-Standard Receivers. In Proceedings of the 2013 IEEE Advanced Technologies for Communications (ATC), Ho Chi Minh City, Vietnam, 16–18 October 2013. [Google Scholar]
- Oliveira, M.S.; de Aguirre, P.C.; Severo, L.C.; Girardi, A.G.; Susin, A.A. A Digitally Tunable 4th-order Gm-C Low-Pass Filter for Multi-Standards Receivers. In Proceedings of the 2016 IEEE Integrated Circuits and Systems Design (SBCCI), Belo Horizonte, Brazil, 29 August–3 September 2016. [Google Scholar]
- Gao, J.; Jiang, H.; Zhang, L.; Dong, J.; Wang, Z. A programmable low-pass filter with adaptive miller compensation for zero-IF transceiver. In Proceedings of the 2012 IEEE Circuits and Systems (MWSCAS), Boise, ID, USA, 5–8 August 2012. [Google Scholar]
- Jin, X.; Dai, F.F. A 6th order zero capacitor spread 1 MHz–10 MHz tunable CMOS active-RC low pass filter with fast tuning scheme. In Proceedings of the 2012 IEEE International Symposium on Circuits and Systems (ISCAS), Seoul, Korea, 20–23 May 2012. [Google Scholar]
- Lee, I.Y.; Im, D.; Ko, J.; Lee, S.G. A 50–450 MHz Tunable RF Biquad Filter Based on a Wideband Source Follower With >26 dBm IIP3, +12 dBm P1dB, and 15 dB Noise Figure. IEEE J. Solid State Circuits 2015, 50, 2294–2305. [Google Scholar] [CrossRef]
- D’Amico, S.; De Blasi, M.; De Matteis, M.; Baschirotto, A. A 255 MHz Programmable Gain Amplifier and Low-Pass Filter for Ultra Low Power Impulse-Radio UWB Receivers. IEEE Trans. Circuits Syst. I Regul. Pap. 2012, 59, 337–345. [Google Scholar] [CrossRef]
- Houfaf, F.; Egot, M.; Kaiser, A.; Cathelin, A.; Nauta, B. A 65 nm CMOS 1-to-10 GHz tunable continuous-time low-pass filter for highdata-rate communications. In Proceedings of the 2012 IEEE International Solid-State Circuits Conference, San Francisco, CA, USA, 19–23 February 2012; pp. 362–364. [Google Scholar]
- Cheng, Y.W.; Wu, J.W.; Lin, T.H.; Wang, C.J. A Low-Pass Filter by Using a Meandered Slot. In Proceedings of the 2014 IEEE International Workshop on Electromagnetics (iWEM), Sapporo, Japan, 4–6 August 2014. [Google Scholar]
- Wenxiang, X.; Xinfeng, L.; Yongzhong, H. Design of Compact Ultra Wide-Stopband Lowpass Filter. In Proceedings of the International Conference Computational Problem-Solving (ICCP), Chengdu, China, 21–23 October 2011; pp. 265–268. [Google Scholar]
















| Traditional Door Locks | Radio Frequency (RF) Electronic Remote Lock | Optical Electromagnetic Lock | |
|---|---|---|---|
| Unlock mode | key | RF signal | laser pointer |
| Remote open | X | V (10 m) | V (100 m) |
| safety | Easy to destroy and copy | RF is susceptible to strong wave disturbances Easy to copy and steal | Laser is not easily interfered with or copied |
| Convenience | Door locks or keys are damaged and must be replaced together | It is not easy to copy the program after losing it | Audio can be easily copied |
| Security | Easy copying from mobile audio | Easy to destroy from the outside | Because the electromagnetic lock is in the door, it is difficult to break |
| Interactivity | X | V | V |
| cost | NT $100–$200 | NT $3000–$4000 | NT $1000 or less |
© 2019 by the authors. Licensee MDPI, Basel, Switzerland. This article is an open access article distributed under the terms and conditions of the Creative Commons Attribution (CC BY) license (http://creativecommons.org/licenses/by/4.0/).
Share and Cite
Perng, J.-W.; Hsieh, T.-L. An Electromagnetic Lock Actuated by a Mobile Phone Equipped with a Self-Made Laser Pointer. Electronics 2019, 8, 1524. https://doi.org/10.3390/electronics8121524
Perng J-W, Hsieh T-L. An Electromagnetic Lock Actuated by a Mobile Phone Equipped with a Self-Made Laser Pointer. Electronics. 2019; 8(12):1524. https://doi.org/10.3390/electronics8121524
Chicago/Turabian StylePerng, Jau-Woei, and Tung-Li Hsieh. 2019. "An Electromagnetic Lock Actuated by a Mobile Phone Equipped with a Self-Made Laser Pointer" Electronics 8, no. 12: 1524. https://doi.org/10.3390/electronics8121524
APA StylePerng, J.-W., & Hsieh, T.-L. (2019). An Electromagnetic Lock Actuated by a Mobile Phone Equipped with a Self-Made Laser Pointer. Electronics, 8(12), 1524. https://doi.org/10.3390/electronics8121524
