A Study on the Transition of Copper Oxide by the Incorporation of Nitrogen
Abstract
1. Introduction
2. Experimental Section
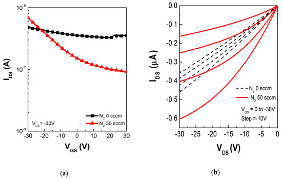
3. Results and Discussions
4. Conclusions
Author Contributions
Funding
Acknowledgments
Conflicts of Interest
References
- Yang, D.G.; Kim, H.D.; Kim, J.H.; Park, G.; Kim, J.H.; Kim, Y.J.; Park, J.; Kim, H.S. Performance and stability of amorphous In-Ga-Zn-O thin film transistors involving gate insulators synthesized at low temperatures. J. Alloy. Compd. 2017, 729, 1195–1200. [Google Scholar] [CrossRef]
- Jang, S.C.; Park, J.; Kim, H.D.; Hong, H.; Chung, K.B.; Kim, Y.J.; Kim, H.S. Low temperature activation of amorphous In-Ga-Zn-O semiconductors using microwave and e-beam radiation, and the associated thin films transistor properties. AIP Adv. 2019, 9, 025204. [Google Scholar] [CrossRef]
- Yu, J.; Liu, G.; Liu, A.; Meng, Y.; Shin, B.; Shan, F. Solution-processed p-type copper oxide thin-film transistors fabricated by using one-step vacuum annealing technique. J. Mater. Chem. C 2015, 3, 9509–9513. [Google Scholar] [CrossRef]
- Matsuzaki, K.; Nomura, K.; Yanagi, H.; Kamiya, T.; Hirano, M.; Hosono, H. Epitaxial growth of high mobility Cu2O thin films and application to p-channel thin films transistor. Appl. Phys. Lett. 2008, 93, 202107. [Google Scholar] [CrossRef]
- Figueiredo, V.; Elangovan, E.; Barros, R.; Pinto, J.V.; Busani, T.; Martins, R.; Fortunato, E. p-type CuxO Films Deposited at Room Temperature for Thin-Film Transistors. J. Disp. Technol. 2012, 8, 41–47. [Google Scholar] [CrossRef]
- Sung, S.Y.; Kim, S.Y.; Jo, K.M.; Lee, J.H.; Kim, J.J.; Kim, S.G.; Chai, K.H.; Pearton, S.J.; Norton, D.P.; Heo, Y.W. Fabrication of p-channel thin-film transistors using CuO active layers deposited at low temperature. Appl. Phys. Lett. 2010, 97, 222109. [Google Scholar] [CrossRef]
- Sohn, J.; Song, S.H.; Nam, D.Y.; Cho, I.T.; Cho, E.S.; Lee, J.H.; Kwon, H.I. Semicond. Effects of vacuum annealing on the optical and electrical properties of p-type copper-oxide thin-film transistors. Sci. Technol. 2013, 28, 015005. [Google Scholar]
- Sanal, K.C.; Vikas, L.S.; Jayaraj, M.K. Room temperature deposited transparent p-channel CuO thin film transistors. Appl. Surf. Sci. 2014, 297, 153–157. [Google Scholar] [CrossRef]
- Barreca, D.; Comini, E.; Gasparotto, A.; Maccato, C.; Sada, C.; Sbervegloeri, G.; Tondello, E. Chemical vapor deposition of copper oxide films and entangled quasi-1D nanoarchitectures as innovative gas sensors. Sens. Actuator B Chem. 2009, 141, 270–275. [Google Scholar] [CrossRef]
- Jang, J.; Chung, S.; Kang, H.; Subramanian, V. P-type CuO and Cu2O transistors derived from a sol-gel copper (II) acetate monohydrate precursor. Thin Solid Films 2016, 600, 157–161. [Google Scholar] [CrossRef]
- Kim, S.Y.; Ahn, C.H.; Lee, J.H.; Kwon, Y.H.; Hwang, S.; Lee, J.Y.; Cho, H.Y. p-Channel Oxide Thin Film Transistors Using Solution-Processed Copper Oxide. ACS Appl. Mater. Interfaces 2013, 5, 2417–2421. [Google Scholar] [CrossRef]
- Zou, X.; Fang, G.F.; Yuan, L.; Li, M.; Guan, W.; Zhao, X. Top-Gate Low-Threshold Voltage p-Cu2O Thin-Film Transistor Grown on SiO2/Si Substrate Using a High-k HfON Gate Dielectric. IEEE Electron Device Lett. 2010, 31, 827–829. [Google Scholar]
- Refea, M.A.; Roushdy, N. Determination of the optical band gap for amorphous and nanocrystalline copper oxide thin films prepared by SILAR technique. J. Phys. D Appl. Phys. 2009, 42, 015413. [Google Scholar] [CrossRef]
- Han, S.; Flewitt, A.J. The origin of the High Off-State Current in p-Type Cu2O Thin Film Transistors. IEEE Electron Device Lett. 2017, 38, 1394–1397. [Google Scholar] [CrossRef]
- Fortunato, E.; Figueiredo, V.; Barquinha, P.; Elamurugu, E.; Barros, R.; Goncalves, G.; Park, S.H.; Hwang, C.S.; Martins, R. Thin-film transistors based on p-type Cu2O thin films produced at room temperature. Appl. Phys. Lett. 2010, 96, 239902. [Google Scholar] [CrossRef]
- Jun, T.; Kim, J.; Sasase, M.; Hosono, H. Material Design of p-Type Transparent Amorphous Semiconductor, Cu-Sn-I. Adv. Mater. 2018, 30, 1706573. [Google Scholar] [CrossRef] [PubMed]
- Han, S.; Niang, K.M.; Rughoobir, G.; Flewitt, A.J. Effects of post-deposition vacuum annealing on film characteristics of p-type Cu2O and its impact on thin film transistor characteristics. Appl. Phys. Lett. 2016, 109, 173502. [Google Scholar] [CrossRef]
- Nam, D.W.; Cho, I.T.; Lee, J.H.; Cho, E.S.; Sohn, J.; Song, S.H.; Kwon, K.I. Active layer thickness effects on the structural and electrical properties of p-type Cu2O thin-film transistors. J. Vac. Sci. Technol. B 2012, 30, 060605. [Google Scholar] [CrossRef]
- Yang, Y.; Yang, J.; Yin, W.; Huang, F.; Cui, A.; Zhang, D.; Li, W.; Hu, Z.; Chu, J. Annealing time modulated the film microstructures and electrical properties of P-type CuO field effect transistors. Appl. Surf. Sci. 2019, 481, 632–636. [Google Scholar] [CrossRef]
- Shijeesh, M.R.; Jayaraj, M.K. Low temperature fabrication of CuxO thin-film transistors and investigation on the origin of low field effect mobility. J. Appl. Phys. 2018, 123, 161538. [Google Scholar] [CrossRef]
- Nakano, Y.; Saeki, S.S.; Morikawa, T. Optical bandgap widening of p-type Cu2O films by nitrogen doping. Appl. Phys. Lett. 2009, 94, 022111. [Google Scholar] [CrossRef]
- Li, H.J.; Pu, C.Y.; Ma, C.Y.; Li, S.; Dong, W.J.; Bao, S.Y.; Zhang, Q.Y. Growth behavior and optical properties of N-doped Cu2O films. Thin Solid Films 2011, 520, 212–216. [Google Scholar] [CrossRef]
- Wang, Z.; Al-Jawhari, H.A.; Nayak, P.K.; Caraveo-Frescas, J.A.; Wei, N.; Hedhili, M.N.; Alshareef, H.N. Low Temperature Processed Complementary Metal Oxide Semiconductor (CMOS) Device by Oxidation Effect from Capping Layer. Sci. Rep. 2015, 5, 9617. [Google Scholar] [CrossRef] [PubMed]
- Akgul, F.A.; Akgul, G.; Yildirim, N.; Unalan, H.E.; Turan, R. Influence of thermal annealing on microstructural, morphological, optical properties and surface electronic structure of copper oxide thin films. Mater. Chem. Phys. 2014, 147, 987–995. [Google Scholar] [CrossRef]
- Jin, Z.; Liu, C.; Qi, K.; Cui, X. Photo-reduced Cu/CuO nanoclusters on TiO2, nanotube arrays as highly efficient and reusable catalyst. Sci. Rep. 2017, 7, 39695. [Google Scholar] [CrossRef]
- Zhnag, D.; Hu, B.; Guan, D.; Luo, Z. Essential roles of defects in pure graphene/Cu2O photocatalyst. Catal. Commun. 2016, 76, 7–12. [Google Scholar]









| Experimental Condition | Cu | O | N |
|---|---|---|---|
| N2 0: as dep | 48.98 | 51.01 | - |
| N2 0: 300 °C 2 h | 57.66 | 41.88 | 0.44 |
| N2 50: as dep | 50.52 | 49.47 | - |
| N2 50: 300 °C 2 h | 69.77 | 28.74 | 1.48 |
| N2 (sccm) | Carrier Concentration (cm−3) | Hall Mobility (cm2/V·s) |
|---|---|---|
| 0 | 2.24 × 1020 | 0.33 |
| 10 | 9.86 × 1016 | 4.09 |
| 20 | 1.49 × 1015 | 32.2 |
| 50 | 3.59 × 1014 | 49.8 |
© 2019 by the authors. Licensee MDPI, Basel, Switzerland. This article is an open access article distributed under the terms and conditions of the Creative Commons Attribution (CC BY) license (http://creativecommons.org/licenses/by/4.0/).
Share and Cite
Ahn, S.-Y.; Park, K.; Choi, D.; Park, J.; Kim, Y.J.; Kim, H.-S. A Study on the Transition of Copper Oxide by the Incorporation of Nitrogen. Electronics 2019, 8, 1099. https://doi.org/10.3390/electronics8101099
Ahn S-Y, Park K, Choi D, Park J, Kim YJ, Kim H-S. A Study on the Transition of Copper Oxide by the Incorporation of Nitrogen. Electronics. 2019; 8(10):1099. https://doi.org/10.3390/electronics8101099
Chicago/Turabian StyleAhn, Song-Yi, Kyung Park, Daehwan Choi, Jozeph Park, Yong Joo Kim, and Hyun-Suk Kim. 2019. "A Study on the Transition of Copper Oxide by the Incorporation of Nitrogen" Electronics 8, no. 10: 1099. https://doi.org/10.3390/electronics8101099
APA StyleAhn, S.-Y., Park, K., Choi, D., Park, J., Kim, Y. J., & Kim, H.-S. (2019). A Study on the Transition of Copper Oxide by the Incorporation of Nitrogen. Electronics, 8(10), 1099. https://doi.org/10.3390/electronics8101099

