Proactive Content Delivery with Service-Tier Awareness and User Demand Prediction
Abstract
1. Introduction
2. System Model
2.1. Model of Communication Service Tiers
2.2. Model of User Behavior
2.3. Protocols of Proactive Content Delivery
3. Proactive Content Delivery with Single Time-Slot
3.1. Problem Formulation
3.2. Linear Cost Model
3.3. Quadratic Cost Model
4. Proactive Content Delivery with Multiple Time-Slots
4.1. Problem Formulation
4.2. Linear Cost Model
4.3. Quadratic Cost Model
5. Simulation Results
5.1. Case of Single Time-Slot
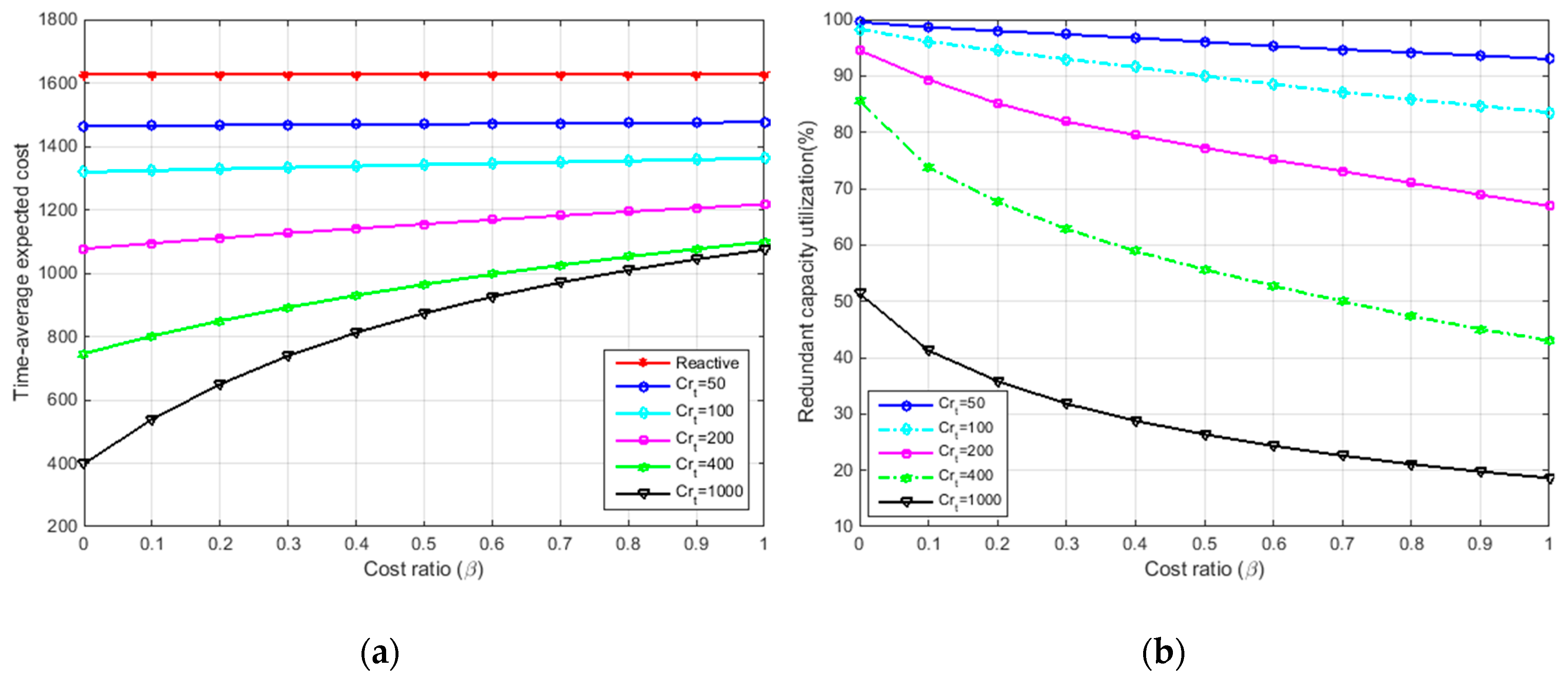
5.2. Case of Multiple Time-Slot
6. Conclusions
Author Contributions
Funding
Conflicts of Interest
Appendix A
References
- Cisco Visual Networking Index: Global Mobile Data Traffic Forecast Update, 2016–2021. Available online: https://www.cisco.com/c/en/us/solutions/collateral/service-provider/visual-networking-index-vni/mobile-white-paper-c11-520862.html (accessed on 23 January 2018).
- Lee, D.; Zhou, S.; Zhong, X.; Niu, Z.; Zhou, X.; Zhang, H. Spatial modeling of the traffic density in cellular networks. IEEE Wirel. Commun. 2014, 21, 80–88. [Google Scholar] [CrossRef]
- Zhao, Z.; Li, M.; Li, R.; Zhou, Y. Temporal-spatial distribution nature of traffic and base stations in cellular networks. IET Commun. 2017, 11, 2410–2416. [Google Scholar] [CrossRef]
- Leland, W.E.; Taqqu, M.S.; Willinger, W.; Wilson, D.V. On the self-similar nature of Ethernet traffic (extended version). IEEE/ACM Trans. Netw. 1995, 2, 1–15. [Google Scholar] [CrossRef]
- Park, K.; Willinger, W. Self-similar network traffic: An overview. In Self-Similar Network Traffic and Performance Evaluation; Park, K., Willinger, W., Eds.; John Wiley and Sons: New York, NY, USA, 2000; pp. 1–38. ISBN 978-0-471-31974-0. [Google Scholar]
- Zhang, Y.; Lu, H.; Wang, H.; Hong, X. Cognitive cellular content delivery networks: Cross-layer design and analysis. In Proceedings of the IEEE Vehicular Technology Conference (VTC spring), Nanjing, China, 15–18 May 2016; pp. 1–6. [Google Scholar]
- Wang, B.; Wu, Y.; Liu, K.J.R.; Clancy, T.C. An anti-jamming stochastic game for cognitive radio networks. IEEE J. Sel. Areas Commun. 2011, 29, 877–889. [Google Scholar] [CrossRef]
- Han, C.; Harrold, T.; Armour, S.; Krikidis, I.; Videv, S.; Grant, P.M.; Haas, H.; Thompson, J.S.; Ku, I.; Wang, C.; et al. Green radio: Radio techniques to enable energy-efficient wireless networks. IEEE Commun. Mag. 2011, 49, 46–54. [Google Scholar] [CrossRef]
- Ismail, M.; Zhuang, W. Green radio communications in a heterogeneous wireless medium. IEEE Wirel. Commun. 2014, 21, 128–135. [Google Scholar] [CrossRef]
- Kangasharju, J.; Roberts, J.; Ross, K.W. Object replication strategies in content distribution networks. Comput. Commun. 2002, 25, 376–383. [Google Scholar] [CrossRef]
- Vakali, A.; Pallis, G. Content delivery networks: Status and trends. IEEE Internet Comput. 2003, 7, 68–74. [Google Scholar] [CrossRef]
- Pallis, G.; Vakali, A. Insight and perspectives for content delivery networks. Commum. ACM 2006, 49, 101–106. [Google Scholar] [CrossRef]
- Ahlehagh, H.; Dey, S. Video-aware scheduling and caching in the radio access network. IEEE/ACM Trans. Netw. 2014, 22, 1444–1462. [Google Scholar] [CrossRef]
- Ahlehagh, H.; Dey, S. Video caching in radio access network: Impact on delay and capacity. In Proceedings of the IEEE Wireless Communications and Network Conference (WCNC), Paris, France, 1–4 April 2012; pp. 2276–2281. [Google Scholar]
- Xu, Y.; Li, Y.; Wang, Z.; Lin, T. Coordinated caching model for minimizing energy consumption in radio access network. In Proceedings of the IEEE International Conference on Communications (ICC), Sydney, Australia, 10–14 June 2014; pp. 2406–2411. [Google Scholar]
- Shoukry, O.; Elmohsen, M.A.; Tadrous, J.; Gamal, H.E.; Elbatt, T.; Wanas, N.; Elnakieb, Y.; Khairy, M. Proactive scheduling for content pre-fetching in mobile networks. In Proceedings of the IEEE International Conference on Communications (ICC), Sydney, Australia, 10–14 June 2014; pp. 2848–2854. [Google Scholar]
- Shoukry, O.K.; Fayek, M.B. Evolutionary scheduler for content pre-fetching in mobile networks. In Proceedings of the 2013 AAAI Fall Symposium Series, Arlington, VA, USA, 15–17 November 2013; pp. 386–391. [Google Scholar]
- Tadrous, J.; Eryilmaz, A.; Gamal, H.E. Joint smart pricing and proactive content caching for mobile services. IEEE/ACM Trans. Netw. 2016, 24, 2357–2371. [Google Scholar] [CrossRef]
- Bottger, T.; Cuadrado, F.; Tyson, G.; Castro, I.; Uhlig, S. Open connect everywhere: A glimpse at the internet ecosystem through the lens of the Netflix CDN. ACM SIGCOMM Comp. Commun. Rev. 2018, 48, 28–34. [Google Scholar] [CrossRef]
- Hasslinger, G.; Hartleb, F. Content delivery and caching from a network provider’s perspective. Comput. Netw. 2011, 55, 3991–4006. [Google Scholar] [CrossRef]
- Kimbler, K.; Taylor, M. Value added mobile broadband services innovation driven transformation of the ‘smart pipe’. In Proceedings of the 2012 16th International Conference on Intelligence in Next Generation Networks, Berlin, Germany, 8–11 October 2012; pp. 30–34. [Google Scholar]
- Yang, Z.; Ma, Z. Analysis of communication operators transformation on smart pipe. In Proceedings of the 2013 5th International Conference on Intelligent Human-Machine Systems and Cybernetics, Hangzhou, China, 26–27 August 2013; pp. 131–134. [Google Scholar]
- Jiang, L.; Parekh, S.; Walrand, J. Time-dependent network pricing and bandwidth trading. In Proceedings of the NOWS Workshops 2008-IEEE Network Operations and Management Symposium Workshops, Salvador da Bahia, Brazil, 7–11 April 2008; pp. 193–200. [Google Scholar]
- Joe-Wong, C.; Ha, S.; Chiang, M. Time-dependent broadband pricing: Feasibility and benefits. In Proceedings of the 31st International Conference on Distributed Computing Systems (ICDCS), Minneapolis, MN, USA, 20–24 June 2011; pp. 288–298. [Google Scholar]
- Sen, S.; Joe-Wong, C.; Ha, S.; Chiang, M. Smart data pricing: Using economics to manage network congestion. Commun. ACM 2015, 58, 86–93. [Google Scholar] [CrossRef]
- Zhang, L. Smart Data Pricing in Wireless Data Networks: An Economic Solution to Congestion. Ph.D. Thesis, Hong Kong Polytechnic University, Hong Kong, China, 2016. [Google Scholar]
- Zhang, L.; Wu, W.J.; Wang, D. Time dependent pricing in wireless data networks: Flat-rate vs. Usage-based schemes. In Proceedings of the 33rd IEEE Annual Conference on Computer Communications (IEEE INFOCOM), Toronto, ON, Canada, 27 April–2 May 2014; pp. 700–708. [Google Scholar]
- Kesidis, G.; Das, A.; de Veciana, G. On flat-rate and usage-based pricing for tiered commodity internet services. In Proceedings of the 42nd Annual Conference on Information Sciences and Systems, Princeton, NJ, USA, 19–21 March 2008; pp. 304–308. [Google Scholar]
- Chau, C.K.; Wang, Q.; Chiu, D.M. On the Viability of Paris Metro Pricing for Communication and Service Networks. In Proceedings of the Conference on IEEE INFOCOM, San Diego, CA, USA, 15–19 March 2010; pp. 1–9. [Google Scholar]
- Ma, R.T.B. Usage-Based Pricing and Competition in Congestible Network Service Markets. IEEE/ACM Trans. Netw. 2016, 24, 3084–3097. [Google Scholar] [CrossRef]
- Zou, M.; Ma, R.T.B.; Wang, X.; Xu, Y. On optimal service differentiation in congested network markets. In Proceedings of the IEEE Conference on Computer Communications (INFOCOM), Atlanta, GA, USA, 1–4 May 2017; pp. 1–9. [Google Scholar]
- Dai, W.; Jordan, S. ISP Service Tier Design. IEEE/ACM Trans. Netw. 2016, 24, 1434–1447. [Google Scholar] [CrossRef]
- Nesse, P.J.; Gaivoronski, A.; Lonsethagen, H. Ecosystem, QoE and pricing of end to end differentiated services. In Proceedings of the 6th International Conference on Information, Intelligence, Systems and Applications (IISA), Corfu, Greece, 6–8 July 2015; pp. 1–7. [Google Scholar]
- Gibbens, R.; Mason, R.; Steinberg, R. Internet service classes under competition. IEEE J. Sel. Areas Commun. 2000, 18, 2490–2498. [Google Scholar] [CrossRef]
- Ma, R.T.B.; Misra, V. The public option: A nonregulatory alternative to network neutrality. IEEE/ACM Trans. Netw. 2013, 21, 1866–1879. [Google Scholar] [CrossRef]
- Wang, S.; Xuan, D.; Bettati, R.; Zhao, W. Providing absolute differentiated services for real-time applications in static-priority scheduling networks. IEEE/ACM Trans. Netw. 2004, 12, 326–339. [Google Scholar] [CrossRef]
- Nandy, B.; Ethridge, J.; Lakas, A.; Chapman, A. Aggregate flow control: Improving assurances for differentiated services network. In Proceedings of the 20th Annual Joint Conference of the IEEE-Computer-Society/IEEE-Communication-Society, Anchorage, AK, USA, 22–26 April 2001; pp. 1340–1349. [Google Scholar]
- Bouyoucef, K.; Khorasani, K. A robust distributed congestion-control strategy for differentiated-services network. IEEE Trans. Ind. Electron. 2009, 56, 608–617. [Google Scholar] [CrossRef]
- Farrahi, K.; Gatica-Perez, D. Discovering human routines from cell phone data with topic models. In Proceedings of the 12th IEEE International Symposium on Wearable Computers, Pittsburgh, PA, USA, 28 September–1 October 2008; pp. 29–32. [Google Scholar]
- Song, C.; Barabási, A.L. Limits of predictability in human mobility. Science 2010, 327, 1018–1021. [Google Scholar] [CrossRef] [PubMed]
- Fikir, O.B.; Yaz, I.O.; Ozyer, T. A movie Rating Prediction Algorithm with Collaborative Filtering. In Proceedings of the International Conference on Advances in Social Networks Analysis and Mining (ASONAM), Odense, Denmark, 9–11 August 2010; pp. 321–325. [Google Scholar]
- Salter, J.; Antonopoulos, N. CinemaScreen Recommender Agent: Combining Collaborative and Content-Based Filtering. IEEE Intell. Syst. 2006, 21, 35–41. [Google Scholar] [CrossRef]
- Feknous, M.; Houdoin, T.; Guyader, B.L.; Biasio, J.D.; Gravey, A.; Gijon, J.A.T. Internet traffic analysis: A case study from two major European operators. In Proceedings of the 2014 IEEE Symposium on Computers and Communication (ISCC), Funchal, Portugal, 23–26 June 2014; pp. 1–7. [Google Scholar]
- Lewis, R.M.; Torczon, V. Pattern search methods for linearly constrained minimization. SIAM J. Optim. 2000, 10, 917–941. [Google Scholar] [CrossRef]





| Variable | Definition |
|---|---|
| N | Number of users |
| T | Number of time-slots in a cyclic period |
| W | Window size for proactive content caching |
| User n’s demand at time-slot t (unit: MB) | |
| User n’s arrival probability at time-slot t | |
| Random variable of user n’s demand at time-slot t | |
| System’s redundant capacity at time-slot t (unit: MB) | |
| Portion of proactively delivered data to be consumed at time-slot (unit: MB) | |
| Portion of proactively delivered data to be consumed at time-slot (unit: MB) | |
| Ratio of the cost of the ST service tier over the PT tier |
| W | 1 | 2 | 3 | 5 | 8 | 10 |
| Variance () | 8.3188 | 5.7479 | 5.0893 | 4.2842 | 3.4933 | 3.3491 |
© 2019 by the authors. Licensee MDPI, Basel, Switzerland. This article is an open access article distributed under the terms and conditions of the Creative Commons Attribution (CC BY) license (http://creativecommons.org/licenses/by/4.0/).
Share and Cite
Hu, J.; Lai, Y.; Peng, A.; Hong, X.; Shi, J. Proactive Content Delivery with Service-Tier Awareness and User Demand Prediction. Electronics 2019, 8, 50. https://doi.org/10.3390/electronics8010050
Hu J, Lai Y, Peng A, Hong X, Shi J. Proactive Content Delivery with Service-Tier Awareness and User Demand Prediction. Electronics. 2019; 8(1):50. https://doi.org/10.3390/electronics8010050
Chicago/Turabian StyleHu, Jing, Yaling Lai, Ao Peng, Xuemin Hong, and Jianghong Shi. 2019. "Proactive Content Delivery with Service-Tier Awareness and User Demand Prediction" Electronics 8, no. 1: 50. https://doi.org/10.3390/electronics8010050
APA StyleHu, J., Lai, Y., Peng, A., Hong, X., & Shi, J. (2019). Proactive Content Delivery with Service-Tier Awareness and User Demand Prediction. Electronics, 8(1), 50. https://doi.org/10.3390/electronics8010050

