Weighted Block Sparse Recovery Algorithm for High Resolution DOA Estimation with Unknown Mutual Coupling
Abstract
1. Introduction
2. Date Model
3. Sparse Representation Method for DOA Estimation
3.1. -SRACV Algorithm for DOA Estimation with Unknown Mutual Coupling
3.2. A Reweighted -SRACV Algorithm for DOA Estimation
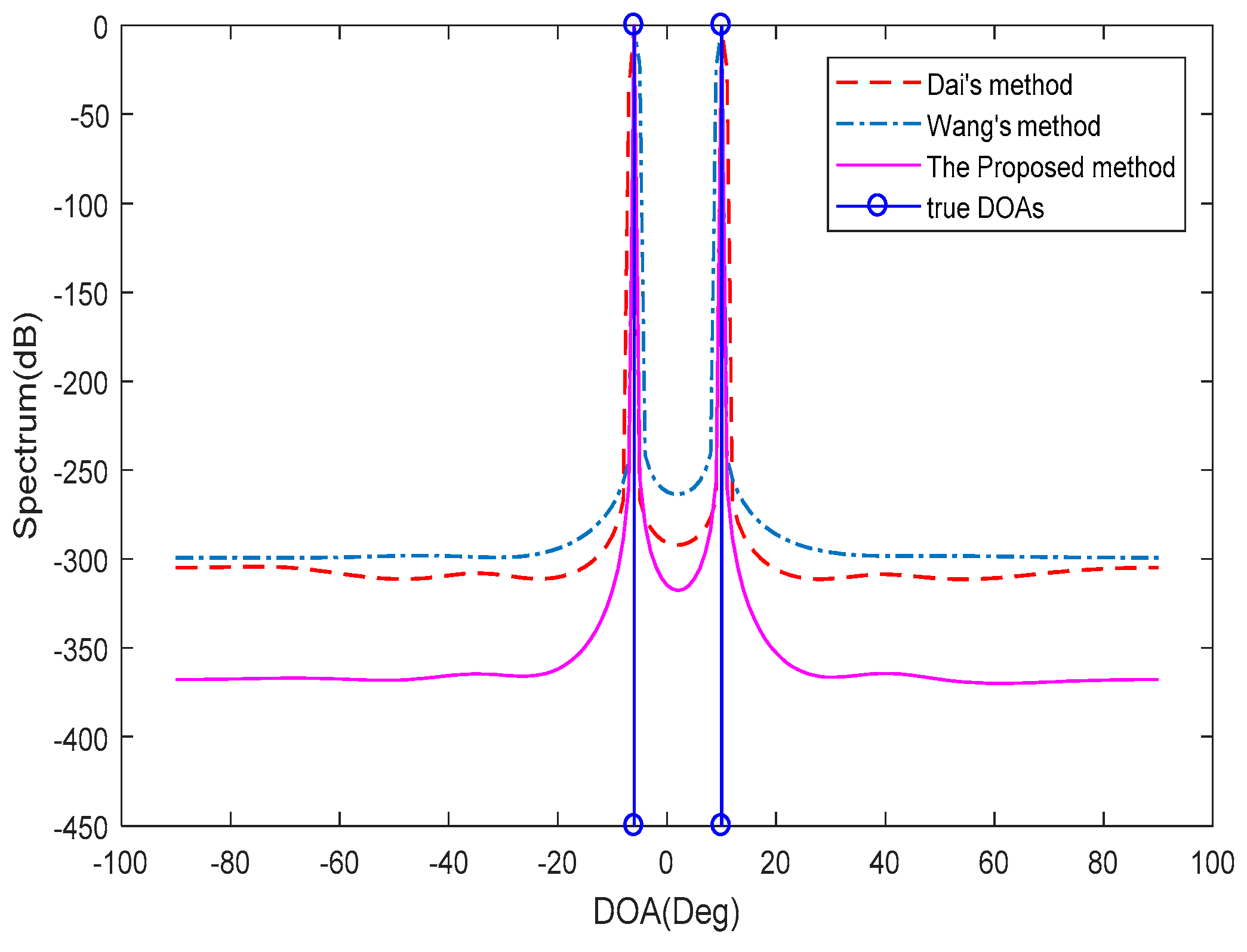
4. Simulation Results
5. Conclusions
Author Contributions
Funding
Conflicts of Interest
References
- Krim, H.; Viberg, M. Two decades of array signal processing research: The parametric approach. IEEE Signal Process. Mag. 1996, 13, 67–94. [Google Scholar] [CrossRef]
- Van Trees, H.L. Optimum Array Processing; John Wiley & Sons, Inc.: New York, NY, USA, 2002. [Google Scholar]
- Candes, E.J. An introduction to compressive samping. IEEE Signal Process. Mag. 2008, 5, 21–30. [Google Scholar] [CrossRef]
- Stoica, P.; Li, J. MIMO Radar Signal Processing; Wiley: New York, NY, USA, 2009; pp. 1–10. [Google Scholar]
- Chen, Z.; Cao, Z.X.; He, X.; He, X.Y.; Jin, Y.; Li, J.C.; Chen, P. DoA and DoD Estimation and Hybrid Beamforming for Radar-Aided mmWave MIMO Vehicular Communication Systems. Electronics 2018, 7, 40. [Google Scholar] [CrossRef]
- Zhao, D.; Jin, T.; Dai, Y.; Song, Y.; Su, X. A Three-Dimensional Enhanced Imaging Method on Human Body for Ultra-Wideband Multiple-input Multiple-output Radar. Electronics 2018, 7, 101. [Google Scholar] [CrossRef]
- Narayanan, R.M.; Gebhardt, E.T.; Broderick, S.P. Through-Wall Single and Multiple Target Imaging Using MIMO Radar. Electronics 2017, 6, 70. [Google Scholar] [CrossRef]
- Schmidt, R.O. Multiple emitter location and signal parameter estimation. IEEE Trans. Antennas Propag. 1986, 34, 276–280. [Google Scholar] [CrossRef]
- Roy, R.; Kailath, T. ESPRIT-estimation of signal parameters via rotational invariance techniques. IEEE Trans. Acoust. Speech Signal Process. 1989, 37, 984–995. [Google Scholar] [CrossRef]
- Wang, X.P.; Huang, M.X.; Shen, C.; Cheng, J.R.; Wan, L.T.; Zhang, K. Robust angle estimation for MIMO radar with mutual coupling and non-uniform noise. Sensors 2018, 18, 832. [Google Scholar] [CrossRef] [PubMed]
- Wan, L.T.; Liu, L.T.; Si, W.J.; Tian, Z.X. Joint Estimation of 2D-DOA and Frequency Based on Space-Time Matrix and Conformal Array. Sci. World J. 2013, 2013, 463828. [Google Scholar] [CrossRef] [PubMed]
- Wan, L.T.; Si, W.J.; Liu, L.T.; Tian, Z.X.; Feng, N.X. High Accuracy 2D-DOA Estimation for Conformal Array Using PARAFAC. Int. J. Antennas Propag. 2014, 2014, 394707. [Google Scholar] [CrossRef]
- Wan, L.T.; Han, G.J.; Wang, H.; Shu, L.; Feng, N.X. Wearable Sensor Localization Considering Mixed Distributed Sources in Health Monitoring Systems. Sensors 2016, 16, 368. [Google Scholar] [CrossRef] [PubMed]
- Malioutov, D.; Çetin, M.; Willsky, A.S. A sparse signal reconstruction perspective for source localization with sensor arrays. IEEE Trans. Signal Process. 2005, 53, 3010–3022. [Google Scholar] [CrossRef]
- Tipping, M.E. Sparse Bayesian learning and the relevance vector machine. J. Mach. Learn. Res. 2001, 1, 211–244. [Google Scholar]
- Zhao, L.; Bi, G.; Wang, L.; Zhang, H. An improved auto-calibration algorithm based on sparse Bayesian learning framework. IEEE Signal Process. Lett. 2013, 20, 889–892. [Google Scholar] [CrossRef]
- Yin, J.H.; Chen, T.Q. Direction-of-Arrival Estimation Using a Sparse Representation of Array Covariance Vectors. IEEE Trans. Signal Process. 2011, 59, 4489–4493. [Google Scholar] [CrossRef]
- Baraniuk, R.G. Compressive sensing. IEEE Signal Process. Mag. 2007, 24, 118–121. [Google Scholar] [CrossRef]
- Wang, X.P.; Wang, L.Y.; Li, X.M.; Bi, G.A. Nuclear norm minimization framework for DOA estimation in MIMO radar. IEEE Signal Process. 2017, 135, 147–152. [Google Scholar] [CrossRef]
- Wan, L.T.; Han, G.J.; Shu, L.; Feng, N.X. The Critical Patients Localization Algorithm Using Sparse Representation for Mixed Signals in Emergency Healthcare System. IEEE Syst. J. 2015, 12, 52–63. [Google Scholar] [CrossRef]
- Wang, X.P.; Wang, W.; Liu, J.; Li, X.; Wang, J.X. A sparse representation scheme for angle estimation in monostatic MIMO radar. IEEE Signal Process. 2014, 104, 258–263. [Google Scholar] [CrossRef]
- Wan, L.T.; Han, G.J.; Shu, L.; Chan, S.; Feng, N.X. PD Source Diagnosis and Localization in Industrial High-Voltage Insulation System via Multimodal Joint Sparse Representation. IEEE Trans. Ind. Electron. 2016, 63, 2506–2516. [Google Scholar] [CrossRef]
- Svantesson, T. Modeling and estimation of mutual coupling in a uniform linear array of dipoles. In Proceedings of the IEEE International Conference on Acoustics, Speech, and Signal Processing, Phoenix, AZ, USA, 15–19 March 1999; Volume 5, pp. 2961–2964. [Google Scholar]
- Dai, J.; Bao, X.; Xu, X.; Chang, C. Root sparse Bayesian learning for off-grid DOA estimation. IEEE Signal Process. Lett. 2017, 24, 46–50. [Google Scholar] [CrossRef]
- Weiss, A.J.; Friedlander, B. Effects of modeling errors on the resolution threshold of the MUSIC algorithm. IEEE Trans. Signal Process. 1994, 42, 1519–1526. [Google Scholar] [CrossRef]
- Dandekar, K.R.; Ling, H.; Xu, G. Effect of mutual coupling on direction finding in smart antenna applications. Electron. Lett. 2000, 36, 1889–1891. [Google Scholar] [CrossRef]
- Hao, L.; Ping, W. DOA estimation in an antenna array with mutual coupling based on ESPRIT. In Proceedings of the International Workshop on Microwave and Millimeter Wave Circuits and System Technology, Chengdu, China, 24–25 October 2013; pp. 86–89. [Google Scholar]
- Zhang, T.T.; Hui, H.T.; Lu, Y.L. Compensation for the mutual coupling effect in the ESPRIT direction finding algorithm by using a more effective method. IEEE Trans. Antennas Propag. 2005, 53, 1552–1555. [Google Scholar] [CrossRef]
- Hong, J.G.; Ahn, W.H.; Seo, B.S. Compensation of mutual coupling in an antenna array for direction of arrival estimation. In Proceedings of the 2013 15th International Conference on Advanced Communications Technology (ICACT), Pyeong Chang, Korea, 27–30 January 2013; pp. 598–601. [Google Scholar]
- Li, H.B.; Guo, Y.D.; Gong, J.; Jiang, J. Mutual coupling self-calibration algorithm for uniform linear array based on ESPRIT. IEEE Trans. Antennas Propag. 2005, 53, 1552–1555. [Google Scholar]
- Dai, J.; Zhao, D.; Ji, X. A sparse representation method for DOA estimation with unknown mutual coupling. IEEE Antennas Wirel. Propag. Lett. 2012, 11, 1210–1213. [Google Scholar] [CrossRef]
- Liao, B.; Zhang, Z.G.; Chan, S.C. DOA estimation and tracking of ULAs with mutual coupling. IEEE Trans. Aerosp. Electron. Syst. 2012, 48, 891–905. [Google Scholar] [CrossRef]
- Wang, Q.; Dou, T.D.; Chen, H.; Yan, W.Q.; Liu, W. Effective Block Sparse Representation Algorithm for DOA Estimation with Unknown Mutual Coupling. IEEE Commun. Lett. 2017, 21, 2622–2625. [Google Scholar] [CrossRef]







© 2018 by the authors. Licensee MDPI, Basel, Switzerland. This article is an open access article distributed under the terms and conditions of the Creative Commons Attribution (CC BY) license (http://creativecommons.org/licenses/by/4.0/).
Share and Cite
Meng, D.; Wang, X.; Huang, M.; Shen, C.; Bi, G. Weighted Block Sparse Recovery Algorithm for High Resolution DOA Estimation with Unknown Mutual Coupling. Electronics 2018, 7, 217. https://doi.org/10.3390/electronics7100217
Meng D, Wang X, Huang M, Shen C, Bi G. Weighted Block Sparse Recovery Algorithm for High Resolution DOA Estimation with Unknown Mutual Coupling. Electronics. 2018; 7(10):217. https://doi.org/10.3390/electronics7100217
Chicago/Turabian StyleMeng, Dandan, Xianpeng Wang, Mengxing Huang, Chong Shen, and Guoan Bi. 2018. "Weighted Block Sparse Recovery Algorithm for High Resolution DOA Estimation with Unknown Mutual Coupling" Electronics 7, no. 10: 217. https://doi.org/10.3390/electronics7100217
APA StyleMeng, D., Wang, X., Huang, M., Shen, C., & Bi, G. (2018). Weighted Block Sparse Recovery Algorithm for High Resolution DOA Estimation with Unknown Mutual Coupling. Electronics, 7(10), 217. https://doi.org/10.3390/electronics7100217
