Sign in to use this feature.

Years

Between: -

Subjects

remove_circle_outline
remove_circle_outline
remove_circle_outline
remove_circle_outline
remove_circle_outline
remove_circle_outline
remove_circle_outline
remove_circle_outline
remove_circle_outline

Journals

Article Types

Countries / Regions

Search Results (614)

Search Parameters:
Keywords = DOA estimation

Order results
Result details
Results per page
Select all
Export citation of selected articles as:
23 pages, 5940 KB  
Article
Research on High-Precision DOA Estimation Method for UAV Platform in Strong Multipath Environment
by Yuxiao Yang, Junjie Li, Qirui Cai and Daisi Yang
Electronics 2026, 15(1), 134; https://doi.org/10.3390/electronics15010134 - 27 Dec 2025
Viewed by 57
Abstract
Utilizing unmanned aerial vehicles (UAVs) to achieve accurate direction finding of radiation sources in hazardous and complex regions is an important means of information recon- naissance. However, the significant multipath effects of UAVs in complex environments cause serious signal coherence problems. Conventional signal [...] Read more.
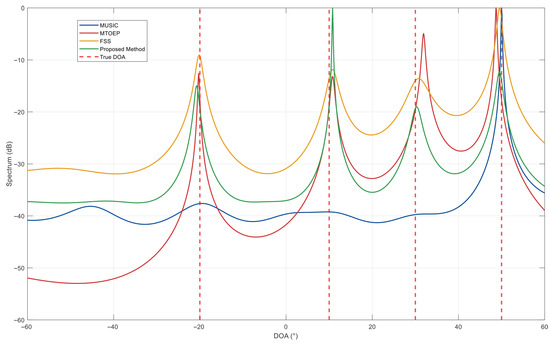
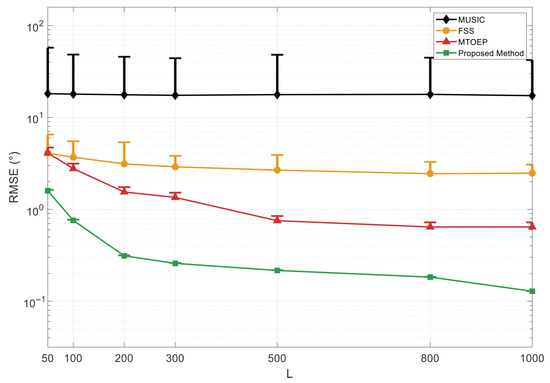
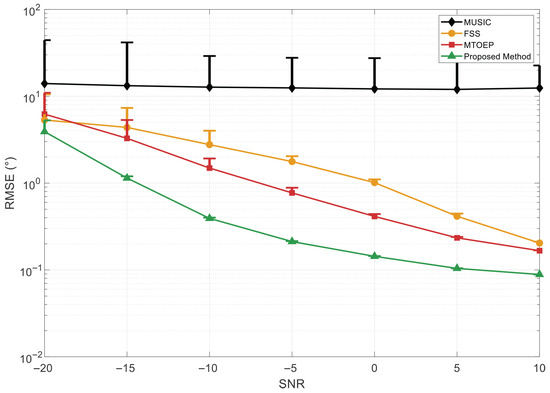
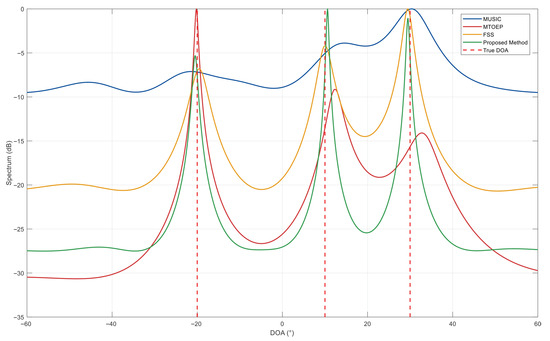
Utilizing unmanned aerial vehicles (UAVs) to achieve accurate direction finding of radiation sources in hazardous and complex regions is an important means of information recon- naissance. However, the significant multipath effects of UAVs in complex environments cause serious signal coherence problems. Conventional signal decoherence techniques such as spatial smoothing (SS) and matrix reconstruction suffer from array aperture loss, which makes it difficult to meet the requirements of UAVs for high-resolution direction finding in severe multipath environments. Therefore, resolving the signal coherence problem has become a key bottleneck for high-resolution direction-of-arrival (DOA) estimation techniques in severe multipath environments. This paper proposes a joint high-precision DOA estimation method based on conjugate cross-correlation Toeplitz reconstruction and the Parallel Factor Analysis (PARAFAC) tensor model. First, we introduce the conjugate cross-correlation values of array element data collected by the UAV to conduct Toeplitz reconstruction without dimensionality-reduced reconstruction, achieving signal decoherence. Furthermore, we conduct cross-snapshot cross-correlation between the reconstruction matrix and the data of each array element collected by the UAV, which effectively suppresses noise accumulation and improves the signal-to-noise ratio (SNR). Finally, we stack the set of matrices into a three-dimensional tensor, employing PARAFAC tensor decomposition to enhance the UAV DOA estimation performance. Simulation results show that at low SNR, the proposed method can effectively improve estimation accuracy and solve the problem of signal correlation in strong multipath scenarios that limits traditional UAV lateral methods. Full article
Show Figures

Figure 1

33 pages, 3289 KB  
Article
Integrated Sensing and Communication for UAV Beamforming: Antenna Design for Tracking Applications
by Krishnakanth Mohanta and Saba Al-Rubaye
Vehicles 2025, 7(4), 166; https://doi.org/10.3390/vehicles7040166 - 17 Dec 2025
Viewed by 274
Abstract
Unmanned Aerial Vehicles (UAVs) are promising nodes for Integrated Sensing and Communication (ISAC), but accurate Direction-of-Arrival (DoA) estimation on a small airframe is challenged by platform loading, motion, attitude, and multipath. Traditionally, DoA algorithms have been developed and evaluated for stationary, ground-based (or [...] Read more.
Unmanned Aerial Vehicles (UAVs) are promising nodes for Integrated Sensing and Communication (ISAC), but accurate Direction-of-Arrival (DoA) estimation on a small airframe is challenged by platform loading, motion, attitude, and multipath. Traditionally, DoA algorithms have been developed and evaluated for stationary, ground-based (or otherwise mechanically stable) antenna arrays. Extending them to UAVs violates these assumptions. This work designs a six-element Uniform Circular Array (UCA) at 2.4 GHz (radius 0.5λ) for a quadrotor and introduces a Pose-Aware MUSIC (MUltiple SIgnal Classification) estimator for DoA. The novelty is a MUSIC formulation that (i) applies pose correction using the drone’s instantaneous roll–pitch–yaw (pose correction) and (ii) applies a Doppler correction that accounts for platform velocity. Performance is assessed using data synthesized from embedded-element patterns obtained by electromagnetic characterization of the installed array, with additional channel/hardware effects modeled in post-processing (Rician LOS/NLOS mixing, mutual coupling, per-element gain/phase errors, and element–position jitter). Results with the six-element UCA show that pose and Doppler compensation preserve high-resolution DoA estimates and reduce bias under realistic flight and platform conditions while also revealing how coupling and jitter set practical error floors. The contribution is a practical PA-MUSIC approach for UAV ISAC, combining UCA design with motion-aware signal processing, and an evaluation that quantifies accuracy and offers clear guidance for calibration and field deployment in GNSS-denied scenarios. The results show that, across 0–25 dB SNR, the proposed hybrid DoA estimator achieves <0.5 RMSE in azimuth and elevation for ideal conditions and ≈56 RMSE when full platform coupling is considered, demonstrating robust performance for UAV ISAC tracking. Full article
(This article belongs to the Special Issue Air Vehicle Operations: Opportunities, Challenges and Future Trends)
Show Figures

Figure 1

21 pages, 16524 KB  
Article
MUSIC-Based Multi-Channel Forward-Scatter Radar Using OFDM Signals
by Yihua Qin, Abdollah Ajorloo and Fabiola Colone
Sensors 2025, 25(24), 7621; https://doi.org/10.3390/s25247621 - 16 Dec 2025
Viewed by 290
Abstract
This paper presents an advanced signal processing framework for multi-channel forward-scatter radar (MC-FSR) systems based on the Multiple Signal Classification (MUSIC) algorithm. The proposed framework addresses the inherent limitations of FFT-based space-domain processing, such as limited angular resolution and the poor detectability of [...] Read more.
This paper presents an advanced signal processing framework for multi-channel forward-scatter radar (MC-FSR) systems based on the Multiple Signal Classification (MUSIC) algorithm. The proposed framework addresses the inherent limitations of FFT-based space-domain processing, such as limited angular resolution and the poor detectability of weak or closely spaced targets, which become particularly severe in low-cost FSR systems, which are typically operated with small antenna arrays. The MUSIC algorithm is adapted to operate on real-valued data obtained from the non-coherent, amplitude-based MC-FSR approach by reformulating the steering vectors and adjusting the degrees of freedom (DoFs). While compatible with arbitrary transmitting waveforms, particular emphasis is placed on Orthogonal Frequency Division Multiplexing (OFDM) signals, which are widely used in modern communication systems such as Wi-Fi and cellular networks. An analysis of the OFDM waveform’s autocorrelation properties is provided to assess their impact on target detection, including strategies to mitigate rapid target signature decay using a sub-band approach and to manage signal correlation through spatial smoothing. Simulation results, including multi-target scenarios under constrained array configurations, demonstrate that the proposed MUSIC-based approach significantly enhances angular resolution and enables reliable discrimination of closely spaced targets even with a limited number of receiving channels. Experimental validation using an S-band MC-FSR prototype implemented with software-defined radios (SDRs) and commercial Wi-Fi antennas, involving cooperative targets like people and drones, further confirms the effectiveness and practicality of the proposed method for real-world applications. Overall, the proposed MUSIC-based MC-FSR framework exhibits strong potential for implementation in low-cost, hardware-constrained environments and is particularly suited for emerging Integrated Sensing and Communication (ISAC) systems. Full article
(This article belongs to the Special Issue Advances in Multichannel Radar Systems)
Show Figures

Figure 1

20 pages, 4513 KB  
Article
Novel Hybrid Processing Techniques for Wideband HF Signals Impaired by Ionospheric Propagation
by Ilia Peshkov
Electronics 2025, 14(24), 4829; https://doi.org/10.3390/electronics14244829 - 8 Dec 2025
Viewed by 207
Abstract
In this paper, hybrid space–time–polarization schemes for processing high-frequency (HF) radio signals transmitted through the ionospheric layers are proposed. Ionospheric radio wave propagation is characterized by several impairments, including attenuation, scintillation, dispersion, and Faraday rotation. The use of hybrid schemes combining spatial digital [...] Read more.
In this paper, hybrid space–time–polarization schemes for processing high-frequency (HF) radio signals transmitted through the ionospheric layers are proposed. Ionospheric radio wave propagation is characterized by several impairments, including attenuation, scintillation, dispersion, and Faraday rotation. The use of hybrid schemes combining spatial digital processing and a single-input multiple-output (SIMO) scheme based on the spatial and polarization principles is proposed. The simulation is based on a preliminary estimate of signal attenuation and spatial coordinates based on ray tracing at a distance of 1000 km between the transmitter and the receiving digital antenna array. Additionally, the bit error rates and data capacity are obtained for various configurations of hybrid spatial and polarizing types of the proposed architectures. In addition, an algorithm for modeling a broadband HF signal in the ionosphere based on the inverse discrete Fourier transform (IDFT) and the Watterson narrowband model is proposed. Schemes for processing the wideband orthogonal frequency division multiplexing (OFDM) signals after passing through the ionosphere layers are represented as well. Results indicate that the optimal configuration employs hybrid processing utilizing ordinary (O) and extraordinary (X) wave polarization, combined with spatial digital processing in a SIMO architecture. Full article
(This article belongs to the Section Networks)
Show Figures

Figure 1

16 pages, 1925 KB  
Article
Coprime Distributed Array for Super-Resolution DOA Estimation
by Ming Guo, Tingting Ma, Zixuan Shen, Zewei Liu, Yuee Zhou, Shenghui Li and Jian Wang
Electronics 2025, 14(23), 4562; https://doi.org/10.3390/electronics14234562 - 21 Nov 2025
Viewed by 477
Abstract
The increasing complexity of the electromagnetic environment, driven by rapid advancements in communication and radar technologies, places greater demands on direction of arrival (DOA) estimation. While traditional antenna arrays improve performance by increasing the number of elements, this approach raises hardware costs and [...] Read more.
The increasing complexity of the electromagnetic environment, driven by rapid advancements in communication and radar technologies, places greater demands on direction of arrival (DOA) estimation. While traditional antenna arrays improve performance by increasing the number of elements, this approach raises hardware costs and design complexity with reducing system flexibility. Distributed arrays offer a promising alternative by enhancing angular accuracy and resolution without additional elements. However, conventional uniformly distributed radars suffer from high hardware costs and computational complexity. To overcome this issue, this paper proposes a distributed radar architecture based on a coprime arrangement. By deploying two subarrays with coprime spacings, the proposed structure significantly reduces hardware requirements while maintaining high angle estimation accuracy. Simulations validate the effectiveness of the proposed configuration. Under the conditions of a signal-to-noise ratio of 0 dB and 50 snapshots, the angle measurement error reached (103)°. Full article
(This article belongs to the Special Issue Advances in Array Signal Processing: Methods and Applications)
Show Figures

Figure 1

25 pages, 5721 KB  
Article
A Novel Framework Integrating Spectrum Analysis and AI for Near-Ground-Surface PM2.5 Concentration Estimation
by Hanwen Qin, Qihua Li, Shun Xia, Zhiguo Zhang, Qihou Hu, Wei Tan and Taoming Guo
Remote Sens. 2025, 17(22), 3780; https://doi.org/10.3390/rs17223780 - 20 Nov 2025
Viewed by 467
Abstract
Monitoring the horizontal distribution of PM2.5 within urban areas is of great significance, not only for environmental management but also for providing essential data to understand the distribution, formation, transport, and transformation of PM2.5 within cities. This study proposes a novel [...] Read more.
Monitoring the horizontal distribution of PM2.5 within urban areas is of great significance, not only for environmental management but also for providing essential data to understand the distribution, formation, transport, and transformation of PM2.5 within cities. This study proposes a novel approach—the Spectral Analysis-based PM2.5 Estimation Machine Learning (SAPML) model. This method uses a machine learning model trained with features derived from multi-azimuth and multi-elevation MAX-DOAS observations, specifically the oxygen dimer (O4) differential slant column densities (O4 dSCDs), and labels provided by near-surface ground measurements corresponding to each azimuthal direction, to estimate near-surface PM2.5 concentrations. This approach does not rely on meteorological data and enables multi-directional near-surface PM2.5 monitoring using only a single independent instrument. SAPML bypasses the intermediate retrieval of aerosol extinction coefficients and directly estimates PM2.5 concentrations from spectral analysis results, thereby avoiding the accumulation of errors. Using O4 dSCD data from multiple MAX-DOAS stations for model training eliminates inter-station conversion differences, allowing a single model to be applied across multiple sites. Station-based k-fold cross-validation yielded an average Pearson correlation coefficient (R) of 0.782, demonstrating the robustness and transferability of the method across major regions in China. Among the machine learning algorithms evaluated, Extreme Gradient Boosting (XGBoost) exhibited the best performance. Feature optimization based on importance ranking reduced data collection time by approximately 30%, while the correlation coefficient (R) of the estimation results decreased by only about 1.3%. The trained SAPML model was further applied to two MAX-DOAS stations in Hefei, HF-HD, and HFC, successfully resolving the near-surface PM2.5 spatial distribution at both sites. The results revealed clear intra-urban heterogeneity, with higher PM2.5 concentrations observed in the western industrial park area. During the same observation period, an east-to-west PM2.5 pollution transport event was captured: PM2.5 increases were first detected in the upwind direction at HF-HD, followed by the downwind direction at the same station, and finally at the downwind station HFC. These results indicate that the SAPML model is an effective approach for monitoring intra-urban PM2.5 distributions. Full article
(This article belongs to the Section Atmospheric Remote Sensing)
Show Figures

Figure 1

16 pages, 436 KB  
Article
DOA Estimation Based on Golden Ratio-Inspired Coprime Array
by Zhou Yang, Hui Cao, Jialiang Zhang and Kehao Wang
Mathematics 2025, 13(22), 3617; https://doi.org/10.3390/math13223617 - 11 Nov 2025
Viewed by 446
Abstract
To address the challenges of limited degrees of freedom (DOF) and mutual coupling effects in sparse array-based Direction-of-arrival (DOA) estimation, this paper proposes a novel array configuration termed the Golden ratio Inspired Coprime Array (GICA). This design integrates the golden ratio ( [...] Read more.
To address the challenges of limited degrees of freedom (DOF) and mutual coupling effects in sparse array-based Direction-of-arrival (DOA) estimation, this paper proposes a novel array configuration termed the Golden ratio Inspired Coprime Array (GICA). This design integrates the golden ratio (ϕ1.618) into the geometric arrangement of three hierarchically structured subarrays to achieve enhanced difference coarray properties. Theoretical analysis demonstrates that the proposed configuration, through strategic sensor placement and virtual domain processing, significantly increases the achievable DOF. Comprehensive simulations show that this design exhibits competitive estimation performance, achieving reduced root mean square error (RMSE) across most signal-to-noise ratio (SNR) regimes and snapshot conditions when compared with contemporary coprime array configurations. Additionally, quantitative mutual coupling analysis reveals that the proposed structure achieves superior electromagnetic compatibility, demonstrating the lowest coupling leakage coefficient among tested configurations. Experimental validation under varying coupling strengths shows that this array design maintains stable estimation performance with minimal degradation. These results confirm the proposed configuration as an effective sparse array solution that simultaneously enhances DOA estimation accuracy and mutual coupling robustness. Full article
Show Figures

Figure 1

18 pages, 2276 KB  
Article
ACGAN-Based Multi-Target Elevation Estimation with Vector Sensor Arrays in Low-SNR Environments
by Biao Wang, Ning Shi and Yangyang Xie
Sensors 2025, 25(21), 6581; https://doi.org/10.3390/s25216581 - 25 Oct 2025
Viewed by 582
Abstract
To mitigate the reduced accuracy of direction-of-arrival (DOA) estimation in scenarios with low signal-to-noise ratios (SNR) and multiple interfering sources, this paper proposes an Auxiliary Classifier Generative Adversarial Network (ACGAN) architecture that integrates a Squeeze-and-Excitation (SE) attention mechanism and a Multi-scale Dilated Feature [...] Read more.
To mitigate the reduced accuracy of direction-of-arrival (DOA) estimation in scenarios with low signal-to-noise ratios (SNR) and multiple interfering sources, this paper proposes an Auxiliary Classifier Generative Adversarial Network (ACGAN) architecture that integrates a Squeeze-and-Excitation (SE) attention mechanism and a Multi-scale Dilated Feature Aggregation (MDFA) module. In this neural network, a vector hydrophone array is employed as the receiving unit, capable of simultaneously sensing particle velocity signals in three directions (vx,vy,vz) and acoustic pressure p, thereby providing high directional sensitivity and maintaining robust classification performance under low-SNR conditions. The MDFA module extracts features from multiple receptive fields, effectively capturing cross-scale patterns and enhancing the representation of weak targets in beamforming maps. This helps mitigate estimation bias caused by mutual interference among multiple targets in low-SNR environments. Furthermore, an auxiliary classification branch is incorporated into the discriminator to jointly optimize generation and classification tasks, enabling the model to more effectively identify and separate multiple types of labeled sources. Experimental results indicate that the proposed network is effective and shows improved performance across diverse scenarios. Full article
(This article belongs to the Section Sensor Networks)
Show Figures

Figure 1

13 pages, 379 KB  
Article
Nyström-Based 2D DOA Estimation for URA: Bridging Performance–Complexity Trade-Offs
by Liping Yuan, Ke Wang and Fengkai Luan
Mathematics 2025, 13(19), 3198; https://doi.org/10.3390/math13193198 - 6 Oct 2025
Viewed by 415
Abstract
To address the computational efficiency challenges in two-dimensional (2D) direction-of-arrival (DOA) estimation, a two-stage framework integrating the Nyström approximation with subspace decomposition techniques is proposed in this paper. The methodology strategically integrates the Nyström approximation with subspace decomposition techniques to bridge the critical [...] Read more.
To address the computational efficiency challenges in two-dimensional (2D) direction-of-arrival (DOA) estimation, a two-stage framework integrating the Nyström approximation with subspace decomposition techniques is proposed in this paper. The methodology strategically integrates the Nyström approximation with subspace decomposition techniques to bridge the critical performance–complexity trade-off inherent in high-resolution parameter estimation scenarios. In the first stage, the Nyström method is applied to approximate the signal subspace while simultaneously enabling construction of a reduced rank covariance matrix, which effectively reduces the computational complexity compared with eigenvalue decomposition (EVD) or singular value decomposition (SVD). This innovative approach efficiently derives two distinct signal subspaces that closely approximate those obtained from the full-dimensional covariance matrix but at substantially reduced computational cost. The second stage employs a sophisticated subspace-based estimation technique that leverages the principal singular vectors associated with these approximated subspaces. This process incorporates an iterative refinement mechanism to accurately resolve the paired azimuth and elevation angles comprising the 2D DOA solution. With the use of the Nyström approximation and reduced rank framework, the entire DOA estimation process completely circumvents traditional EVD/SVD operations. This elimination constitutes the core mechanism enabling substantial computational savings without compromising estimation accuracy. Comprehensive numerical simulations rigorously demonstrate that the proposed framework maintains performance competitive with conventional high-complexity estimators while achieving significant complexity reduction. The evaluation benchmarks the method against multiple state-of-the-art DOA estimation techniques across diverse operational scenarios, confirming both its efficacy and robustness under varying signal conditions. Full article
(This article belongs to the Section E2: Control Theory and Mechanics)
Show Figures

Figure 1

11 pages, 823 KB  
Article
Closed-Form Solution Lagrange Multipliers in Worst-Case Performance Optimization Beamforming
by Tengda Pei and Bingnan Pei
Signals 2025, 6(4), 55; https://doi.org/10.3390/signals6040055 - 4 Oct 2025
Viewed by 814
Abstract
This study presents a method for deriving closed-form solutions for Lagrange multipliers in worst-case performance optimization (WCPO) beamforming. By approximating the array-received signal autocorrelation matrix as a rank-1 Hermitian matrix using the low-rank approximation theory, analytical expressions for the Lagrange multipliers are derived. [...] Read more.
This study presents a method for deriving closed-form solutions for Lagrange multipliers in worst-case performance optimization (WCPO) beamforming. By approximating the array-received signal autocorrelation matrix as a rank-1 Hermitian matrix using the low-rank approximation theory, analytical expressions for the Lagrange multipliers are derived. The method was first developed for a single plane wave scenario and then generalized to multiplane wave cases with an autocorrelation matrix rank of N. Simulations demonstrate that the proposed Lagrange multiplier formula exhibits a performance comparable to that of the second-order cone programming (SOCP) method in terms of signal-to-interference-plus-noise ratio (SINR) and direction-of-arrival (DOA) estimation accuracy, while offering a significant reduction in computational complexity. The proposed method requires three orders of magnitude less computation time than the SOCP and has a computational efficiency similar to that of the diagonal loading (DL) technique, outperforming DL in SINR and DOA estimations. Fourier amplitude spectrum analysis revealed that the beamforming filters obtained using the proposed method and the SOCP shared frequency distribution structures similar to the ideal optimal beamformer (MVDR), whereas the DL method exhibited distinct characteristics. The proposed analytical expressions for the Lagrange multipliers provide a valuable tool for implementing robust and real-time adaptive beamforming for practical applications. Full article
Show Figures

Figure 1

31 pages, 1957 KB  
Article
Subspace Complexity Reduction in Direction-of-Arrival Estimation via the RASA Algorithm
by Belan Bapir-Bakr, Haitham Kareem-Ali, Sandra Gutiérrez-Serrano, Nerea del-Rey-Maestre and Carlos Hernández-Fernández
Sensors 2025, 25(19), 6120; https://doi.org/10.3390/s25196120 - 3 Oct 2025
Viewed by 532
Abstract
The complexity and scale of contemporary datasets are increasing, making the need for reliable and effective subspace processing more pressing. In array signal processing, the quality of the projection matrix and the structure of the noise subspace have a significant impact on the [...] Read more.
The complexity and scale of contemporary datasets are increasing, making the need for reliable and effective subspace processing more pressing. In array signal processing, the quality of the projection matrix and the structure of the noise subspace have a significant impact on the Direction of Arrival (DoA) estimation accuracy. In this study, the limits of typical subspace sampling approaches are emphasized, especially when source coherence, restricted snapshots, or low Signal-to-Noise Ratio (SNR) are present. Traditional DoA estimate strategies are revisited. To overcome these problems, a selective subspace refinement-based enhanced dimensionality reduction technique is proposed. Using a correlation measure based on the 2-norm, the suggested strategy minimizes the projection subspace by finding and keeping just the noise subspace’s least correlated columns. Adaptively choosing the first, last, and least dependent inner eigenvectors allows the method to maintain excellent angular resolution and estimation accuracy while drastically reducing computational complexity by up to 75%. This correlation-aware subspace design enhances the final pseudo-spectrum’s robustness, numerical stability, and orthogonality. The suggested method provides a scalable and effective solution for high-resolution DoA estimation in data-intensive signal environments, as demonstrated by experimental results that show it beats traditional methods in terms of accuracy and execution time. Full article
(This article belongs to the Special Issue Detection, Recognition and Identification in the Radar Applications)
Show Figures

Figure 1

19 pages, 5673 KB  
Article
Direction-of-Arrival Estimation of Multiple Linear Frequency Modulation Signals Based on Quadratic Time–Frequency Distributions and the Hough Transform
by Gang Wu, Hongji Fang, Zhenguo Ma and Bo Zhang
Appl. Sci. 2025, 15(18), 10264; https://doi.org/10.3390/app151810264 - 21 Sep 2025
Viewed by 523
Abstract
The direction-of-arrival (DOA) estimation of multiple linear frequency modulation (LFM) signals typically requires the construction of a spatial time–frequency distribution (STFD) matrix via linear transforms or quadratic time–frequency distributions (QTFD) before joint spatial time–frequency estimation. Extensive research has been conducted on DOA estimation [...] Read more.
The direction-of-arrival (DOA) estimation of multiple linear frequency modulation (LFM) signals typically requires the construction of a spatial time–frequency distribution (STFD) matrix via linear transforms or quadratic time–frequency distributions (QTFD) before joint spatial time–frequency estimation. Extensive research has been conducted on DOA estimation of LFM signals with overlapped instantaneous frequency (IF) trajectories and significantly different chirp rates. However, when LFM signals have the same chirp rate and slightly different initial frequencies with parallel and close IF trajectories, their linear transforms suffer from low resolution and quadratic distributions and are affected by cross-terms, both of which reduce accuracy. To address this problem, this study proposes a DOA estimation algorithm based on QTFD and the Hough transform. First, QTFD is used to improve the resolution and apply both spatial and directional smoothing to eliminate cross-terms. Second, the Hough transform is employed for IF estimation instead of threshold filtering to enhance accuracy. Finally, DOA results are obtained via time–frequency filtering and the multiple signal classification (MUSIC) algorithm. Experiments show that for two LFM signals at a −5 dB signal-to-noise ratio (SNR), the proposed algorithm improves accuracy by approximately 43.2% compared to similar algorithms and effectively estimates the DOA in underdetermined cases. Thus, the proposed algorithm enhances the DOA estimation accuracy for multiple LFM signals, is robust to noise, and expands the application scenarios of joint spatial time–frequency estimation. Full article
(This article belongs to the Special Issue Recent Progress in Radar Target Detection and Localization)
Show Figures

Figure 1

23 pages, 810 KB  
Article
Matrix Completion and Propagator Method-Based Fast 2D-DOA Estimation with Noise Suppression for Arbitrary EMVS Arrays
by Yunzhe Ruan and Weiwei Gong
Sensors 2025, 25(18), 5769; https://doi.org/10.3390/s25185769 - 16 Sep 2025
Viewed by 693
Abstract
This paper introduces an innovative rapid algorithm for estimating two-dimensional direction of arrival (2D-DOA) with randomly arranged electromagnetic vector sensor (EMVS) arrays under nonuniform noise conditions. The approach begins by forming the covariance matrix of the received signal matrix, after which elements affected [...] Read more.
This paper introduces an innovative rapid algorithm for estimating two-dimensional direction of arrival (2D-DOA) with randomly arranged electromagnetic vector sensor (EMVS) arrays under nonuniform noise conditions. The approach begins by forming the covariance matrix of the received signal matrix, after which elements affected by noise are removed based on the characteristics of nonuniform noise to reduce its disruptive effects. Subsequently, the pure covariance matrix is filled using a matrix completion algorithm and then reconstructed into a new matrix. Finally, the signal subspace is extracted by the propagator method (PM) algorithm, and the 2D-DOA is estimated via a method analogous to the Estimation of Signal Parameters via Rotational Invariance Techniques (ESPRIT). Theoretical analyses confirm the high degrees of freedom of the algorithm, low computational complexity, and accuracy of the estimation. Simulation results validate that the proposed algorithm exhibits remarkable resilience against nonuniform noise. When compared with conventional algorithms such as ESPRIT, ESPRIT-like, and improved ESPRIT (IESPRIT), it also shows better performance in terms of estimation speed and accuracy. Full article
Show Figures

Figure 1

19 pages, 1227 KB  
Article
Hierarchical Sectorized ANN Model for DoA Estimation in Smart Textile Wearable Antenna Array Under Strong Noise Conditions
by Zoran Stanković, Olivera Pronić-Rančić and Nebojša Dončov
Sensors 2025, 25(18), 5704; https://doi.org/10.3390/s25185704 - 12 Sep 2025
Viewed by 490
Abstract
A novel hierarchical sectorized neural network module for a fast direction of arrival (DoA) estimation (HSNN-DoA) of the signal received by a textile wearable antenna array (TWAA) under strong noise conditions is presented. The developed DoA module accounts for variations in antenna element [...] Read more.
A novel hierarchical sectorized neural network module for a fast direction of arrival (DoA) estimation (HSNN-DoA) of the signal received by a textile wearable antenna array (TWAA) under strong noise conditions is presented. The developed DoA module accounts for variations in antenna element gain, inter-element spacing, and resonant frequencies under the conditions of textile crumpling caused by the motion of the TWAA wearer. The proposed model consists of a sector identification phase, which aims to determine the spatial sector in which the radio gateway (RG) is currently located based on the elements of the spatial correlation matrix of the signal sampled by the TWAA, and a DoA estimation phase, which aims to accurately determine the angular position of the RG in the azimuthal plane. The architecture of the HSNN-DoA module, with different time window lengths in which angular position of RG is recorded, is investigated and compared with the DoA module based on a stand-alone MLP network and the corresponding Root-MUSIC DoA module in terms of accuracy and speed of DoA estimation under variable noise conditions. Full article
(This article belongs to the Section Wearables)
Show Figures

Graphical abstract

28 pages, 7844 KB  
Article
Three-Dimensional Sound Source Localization with Microphone Array Combining Spatial Entropy Quantification and Machine Learning Correction
by Guangneng Li, Feiyu Zhao, Wei Tian and Tong Yang
Entropy 2025, 27(9), 942; https://doi.org/10.3390/e27090942 - 9 Sep 2025
Viewed by 1920
Abstract
In recent years, with the popularization of intelligent scene monitoring, sound source localization (SSL) has become a major means for indoor monitoring and target positioning. However, existing sound source localization solutions are difficult to extend to multi-source and three-dimensional scenarios. To address this, [...] Read more.
In recent years, with the popularization of intelligent scene monitoring, sound source localization (SSL) has become a major means for indoor monitoring and target positioning. However, existing sound source localization solutions are difficult to extend to multi-source and three-dimensional scenarios. To address this, this paper proposes a three-dimensional sound source localization technology based on eight microphones. Specifically, the method employs a rectangular eight-microphone array and captures Direction-of-Arrival (DOA) information via the direct path relative transfer function (DP-RTF). It introduces spatial entropy to quantify the uncertainty caused by the exponentially growing DOA combinations as the number of sound sources increases, while further reducing the spatial entropy of sound source localization through geometric intersection. This solves the problem that traditional sound source localization methods cannot be applied to multi-source and three-dimensional scenarios. On the other hand, machine learning is used to eliminate coordinate deviations caused by DOA estimation errors of the direct path relative transfer function (DP-RTF) and deviations in microphone geometric parameters. Both simulation experiments and real-scene experiments show that the positioning error of the proposed method in three-dimensional scenarios is about 10.0 cm. Full article
Show Figures

Figure 1

Back to TopTop