Next Article in Journal
Robust Adaptive Sensorless Control for PMLSM Based on Improved Sliding Mode Observer and Extended State Observer
Previous Article in Journal
Efficient CNN–GRU Transfer Learning for Edge IoT Intrusion Detection
Previous Article in Special Issue
Multi-Objective Dimension and Shape Optimization Design of the Cable-Driven Parallel Robot Based on the Response Surface
 
 
Font Type:
Arial Georgia Verdana
Font Size:
Aa Aa Aa
Line Spacing:
Column Width:
Background:
Article

Control Strategies for an Aquaculture Feeder on an Oscillating Platform Using Disturbance-Based Weight Estimation

1
Department of Electrical and Mechatronics Engineering, University of Engineering and Technology—UTEC, Jr. Medrano Silva 165, Barranco, Lima 15063, Peru
2
Department of Aeronautics, Imperial College London, South Kensington, Exhibition Road, London SW7 2AZ, UK
*
Author to whom correspondence should be addressed.
Electronics 2026, 15(5), 973; https://doi.org/10.3390/electronics15050973
Submission received: 26 January 2026 / Revised: 14 February 2026 / Accepted: 23 February 2026 / Published: 27 February 2026

Abstract

In precision aquaculture, feeding automation becomes particularly challenging when the dispenser operates on a non-fixed platform, as its dynamic behavior introduces perturbations that hinder accurate balance measurement and complicate dispenser control. To address this problem, this work proposes the integration of a weight estimator with robust control strategies. Two control approaches are evaluated: (i) a fuzzy proportional controller, where the fuzzy sets are generated using the fuzzy C-means clustering algorithm, and (ii) a self-tuning regulator (STR) based on based on an Autoregressive with Exogenous Input (ARX) model of the dispenser. In addition, the weight estimator employs a model of additive components dependent on the kinematics of the oscillating platform, with its hyperparameters experimentally optimized through cost function minimization. The proposal was experimentally validated using a compact prototype of an automatic dispenser mounted on an oscillating platform with pelletized feed, demonstrating robust performance and good dispensing accuracy, especially when employing the fuzzy-based control.

1. Introduction

Automatic feeders are essential tools in aquaculture operations, as they enable consistent feed delivery and reduce dependence on manual labor [1,2,3,4]. Typical feeders consist of a support structure, storage unit, dosing mechanism, feed launcher, and control system [5]. In most cases, these devices are designed as large structures with high load capacity, capable of distributing feed in circular patterns to cover wide pond areas [6,7]. Their activation is usually governed by pre-set timers, ensuring regular feeding schedules. For larger ponds, such feeders are commonly mounted on mobile floating platforms, where their considerable dimensions provide stability and minimize the impact of external disturbances on their operation [8,9].
Nevertheless, employing multiple small dispensers instead of a single large feeder can provide several advantages, particularly in scenarios that demand resource efficiency, waste reduction, adaptive dosing, redundancy, and spatial precision [6,10,11]. This approach is especially relevant in aquaculture systems where aquatic populations, such as shrimp, tend to concentrate in specific zones [12]. In contrast to a large feeder, which distributes feed uniformly around its position, several smaller dispensers can be spatially adjusted to meet localized demand, thereby enhancing feeding accuracy and minimizing unnecessary dispersion.
The small dispenser presented in this work is a simple and easily replicable system. However, its reduced dimensions make it more vulnerable to environmental perturbations, thereby imposing stricter requirements on the robustness of both its control and weight measurement subsystems [13]. The automatic weighing mechanism is particularly affected by inertial disturbances that compromise measurement accuracy. Moreover, as feed is dispensed, the system mass decreases, introducing time-varying dynamics that necessitate adaptive strategies to ensure reliable performance under oscillatory conditions.
This paper proposes a weight estimation and mass control strategy for a small aquaculture dispenser mounted on an oscillating platform, both of which were constructed as prototypes for this study [14]. To better understand the effect of platform motion on dispenser performance, the investigation was restricted to a laboratory setting where oscillations were applied along a single axis and at a single frequency, representative of typical wave conditions in aquaculture ponds. It is worth noting that the actual dynamics generated by waves are not necessarily sinusoidal, as assumed in this work, but may also involve effects such as sliding and rolling inherent to flotation [15,16]. These phenomena correspond to a more complex scenario that is beyond the scope of this study [17]. Despite these simplifications, the modeling and control problem associated with this phenomenon, as will be demonstrated, is far from trivial. Nevertheless, the methodology presented in this work, being based on experimental data, could serve as a foundation for generalization to real pond conditions.
In the literature on weight estimation, most studies focus on attenuating the effect of external disturbances; however, the majority of these works assume that the weighing base remains fixed [17]. Advanced compensation mechanisms based on type-2 fuzzy control have been proposed to mitigate high-frequency disturbances in electromechanical force-compensation load cell systems, aiming to improve the stability of the weight measurement signal [18]. In a broader context, recent developments in automation have highlighted the critical role of resilient estimation in maintaining system performance under uncertainty. For instance, distributed estimation strategies have been successfully applied to multi-agent systems to reject complex disturbances and adversarial attacks [19], demonstrating that decoupling external perturbations from system dynamics is a prerequisite for effective motion control. Although such studies report promising results and highlight the convenience of robust control strategies, they often lack extensive experimental validation, particularly in scenarios where low-frequency perturbations must also be addressed. To tackle these complex dynamics, the Data-Based Mechanistic modeling framework and recursive estimation techniques described in [20,21,22,23,24] provide a rigorous foundation for identifying system parameters from noisy data, serving as a precursor to model-based control strategies.
Fuzzy Logic Control (FLC) has proven to be a highly effective strategy for regulating complex industrial processes characterized by non-linear dynamics and time-varying parameters. Unlike classical control schemes that rely heavily on precise analytical models, FLC provides a framework for handling uncertainty and structural imprecision by mapping input-output relationships through linguistic rules [25]. This model-free capability is particularly advantageous in applications where external disturbances, such as wave-induced oscillations, create dynamic conditions that are difficult to capture with conventional linear differential equations. Furthermore, the versatility of fuzzy systems extends to data-driven design; techniques such as fuzzy clustering and identification allow for the systematic generation of rule bases directly from experimental data. This approach enables the approximation of complex non-linear control surfaces, ensuring robust performance across the actuator’s operating range without the need for manual retuning [26].
Adaptive control strategies address parametric uncertainty and time-varying dynamics by updating controller parameters online using measured data. A classical framework is the self-tuning regulator (STR), where a parametric model—often ARX—is recursively identified and the controller is redesigned accordingly [27,28]. Unlike fuzzy controllers [29,30], the STR approach requires an explicit system model [31]. Its performance, therefore, depends heavily on the proper tuning of hyperparameters associated with both the control law and the system model.
A specific case of a variable plant, with a load cell, is presented in [32], where a drone is tasked with weighing its liquid payload to regulate dispensing. A distinctive feature of this work is that the drone’s kinematic state is known, allowing the vehicle to hover in a quasi-static state whenever a measurement is required. Under these controlled conditions, a simple moving average suffices to estimate the payload mass. However, in dynamic environments where the system is subject to varying inertia or stochastic external forces, static averaging is insufficient. In such instances, robust strategies—particularly those employing disturbance observer-based control methods [33]—have proven effective for the estimation of unknown external forces and mass variations.
An analogous challenge arises in on-board weighing systems for heavy vehicles, where external vibrations and machine dynamics significantly compromise measurement integrity. In [34], this issue was addressed by developing a continuous weighing system for refuse collection vehicles, demonstrating that operational movements and structural vibrations create complex noise profiles that necessitate advanced filtering. While that work focuses on scenarios where both the vehicle and the loading mechanism are in motion (dynamic load), the problem addressed in this paper presents an inverted but theoretically equivalent challenge: the load is static relative to the conveyor belt, yet the entire supporting platform is subject to continuous oscillation. In both cases, the core difficulty lies in decoupling the true gravitational mass from the inertial forces induced by the dynamic environment.
Consequently, the main contributions of this work are threefold. First, the study presents the development of a physics-informed weight estimator that decouples the platform’s oscillatory dynamics from the mass measurement using inertial sensor fusion, effectively isolating the gravitational mass component from inertial disturbances. Second, it details the design and validation of a data-driven Fuzzy-P controller based on subtractive clustering, which generates a non-linear control surface capable of handling actuator saturation without overshoot. Finally, the work provides a comparative experimental analysis between the proposed heuristic fuzzy approach and a model-based Adaptive Self-Tuning Regulator (STR), highlighting the specific limitations of linear adaptive schemes when operating under high-frequency periodic disturbances.
This study is organized into three main sections. First, Section 2 describes the mechanical design of the feeder and the disturbance-generation system, along with the experimental methodology used to evaluate performance. The section also details the mass estimation procedure, accounting for mechanical disturbances affecting the load cell, as well as the design and implementation of the fuzzy and STR adaptive controllers. Subsequently, Section 3 presents the results of the mass estimation model validation and the comparative analysis of the control strategies across different reference dosing levels. Finally, Section 5 summarizes the main findings of the proposed system and discusses its effectiveness under the dynamic conditions of the operational environment.

2. Materials and Methods

2.1. Feed Dispenser with Weighing Scale

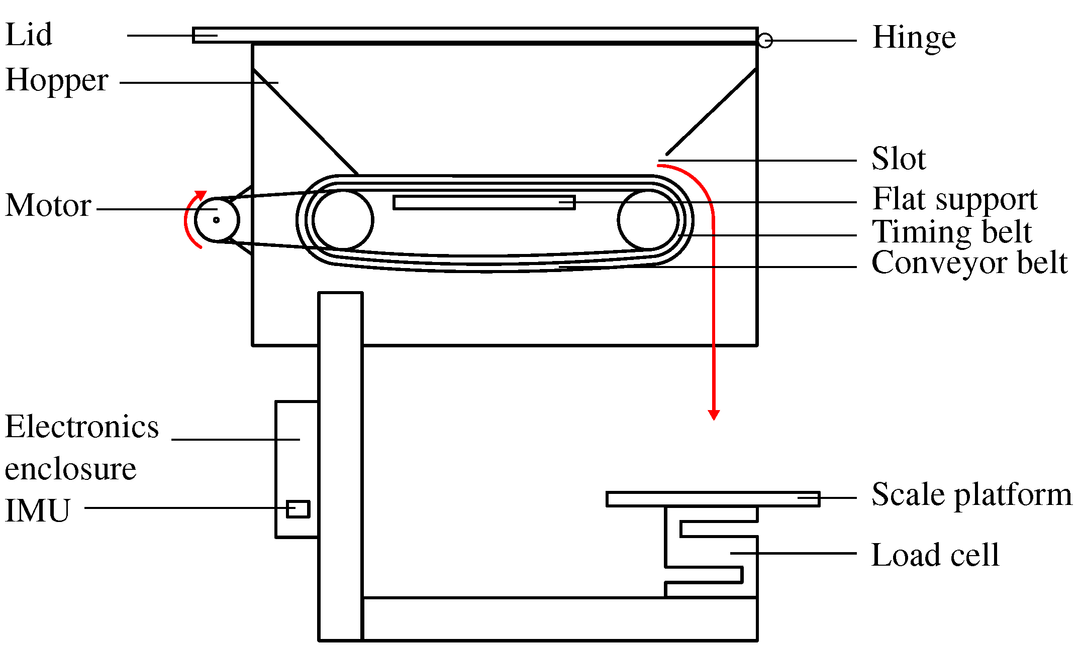
A pellet feed dispenser was designed based on a belt feeder with an integrated scale, as illustrated in Figure 1 [13,14]. In comparison with drum and screw-type dispensers, the conveyor-belt approach offers a larger cross-sectional storage area, reducing the overall height required to contain an equivalent volume of feed [35]. The proposed feed dispenser consists of a conveyor belt mounted on two parallel shafts, each equipped with a timing pulley. To prevent belt deflection during operation, a fixed flat support was incorporated beneath the assembly.
Feed storage was provided by a hopper integrated into the feeder assembly. The hopper features a frontal slot that allows pellets to be uniformly released onto the weighing platform as the conveyor belt advances.
The transmission system relies on the coupling between the belt and a pair of timing pulleys, providing slip-free motion under low tension. Torque was transmitted from the motor to one of the shafts through a timing belt. As illustrated in Figure 1, the red arrows indicate the motor’s clockwise rotation and the resulting transport of feed toward the centre of the weighing platform. The shaft-to-shaft distance was adjusted to ensure adequate belt tension while supporting a maximum load of 1 kg of feed. Furthermore, the load cell of the weighing system was positioned directly beneath the belt’s discharge slot. For this purpose, a weighing platform was designed and mounted on the load cell to support the feed tray. Considering the mechanical assembly as a rigid body, an inertial measurement unit (IMU) was integrated within the electronics compartment to record the inclination of the weighing system.

2.2. Mechanism for the Generation of Oscillatory Disturbances

Water motion is a key factor affecting the orientation of floating platforms. Its interaction with a floating body induces pitching and rolling movements that continuously modify the orientation of the structure [16]. The wave height and frequency determine the extent to which the platform’s dynamic behavior is affected [15]. In particular, high-frequency waves above 10 Hz may induce resonance phenomena, increasing the risk of structural instability [36]. To replicate the wave-induced motion under controlled laboratory conditions, a mechanical platform was developed based on an appropriately oriented inverted slider-crank mechanism [37]. The kinematic diagram of the mechanism is presented in Figure 2, where l 1 represents the crank length, l 2 the coupler length, l 3 the variable-length segment of the rocker between the weighing system and the coupler’s sliding joint, l 4 the pivoted segment of the rocker, and l 5 the ground link. Continuous rotation of the crank, characterized by an orientation angle β referenced to the horizontal axis, generates an approximately sinusoidal oscillation at the rocker tip, whose orientation θ (in rads) was defined with respect to a vertical axis. This oscillatory behavior is described by Equation (1) [38].
θ = π 2 arcsin l 1 sin β l 1 2 + l 5 2 2 l 1 l 5 cos β arccos l 4 l 2 l 1 2 + l 5 2 2 l 1 l 5 cos β .
The oscillation frequency of the rocker can be adjusted through the crank angular velocity θ ˙ , while the oscillation amplitude is regulated by modifying the lengths l 1 or l 5 . Table 1 summarizes the dimensions of the main components of the mechanism. The constants l 1 and l 2 were selected such that the resulting perturbation amplitude is sufficiently high for a representative aquaculture environment. In addition, l 4 was chosen to be larger than the height of the floating platform designed in [13] to avoid interference with the mechanism’s support surface, while remaining less than or equal to the sum of l 1 and l 2 to ensure that the platform reaches the horizontal position during the sinusoidal motion. Finally, l 5 is greater than the sum of half the length of the floating platform and l 1 , allowing unobstructed motion of the sliding joint.
Figure 3 illustrates the kinematic behavior of the oscillating platform in terms of θ , angular velocity θ ˙ , and angular acceleration θ ¨ . It can be observed that the platform kinematics exhibit a trend that is nearly sinusoidal in shape. However, this representation does not need to be exactly replicated in practice, since real water waves do not follow such an idealized sinusoidal pattern. The purpose of the mechanism is to generate oscillatory perturbations to evaluate the robustness of this proposal, rather than to reproduce the water dynamics with absolute fidelity.
To evaluate the feeder’s performance under approximately sinusoidal disturbances, the weighing platform was coupled to the mechanism’s rocker such that the angular position and velocity of both the scale and the conveyor belt matched the imposed inclination. In floating structures, waves with higher amplitude and frequency are more likely to induce instability [15]. This mechanism was designed to generate oscillatory motion at a frequency of 0.25 Hz and an amplitude of 0.234 rad (approx. 13 . 4 ), achieved through crank rotation at a constant speed of 15 rpm.

2.3. Feed Mass Estimation with Inertial Disturbances

The system inclination was dynamically characterized by the angle θ , see Figure 2, the angular velocity θ ˙ , and the angular acceleration θ ¨ , all of which directly influence the compressive force measured by the load cell, as illustrated in Figure 4. This influence arises from the combined effects of the gravitational component and the centrifugal acceleration acting on the weighing system. Consequently, the measured quantity m m recorded by the load cell does not correspond directly to the feed mass m f .
To analytically determine the feed mass m f , based on the physics of the model, a dynamic model was derived from the free-body diagram in Figure 4 and Newton’s second law applied along the longitudinal axis of the load cell (i.e., the radial axis r):
m f phy = m b a r m b g cos θ + F r g cos θ ,
where m b denotes the balance mass (kg), i.e., the combined mass of the scale platform and the load cell, see Figure 1; a r denotes its radial acceleration (m/s2), g is the gravitational acceleration (m/s2), and F r is the internal radial force (N). Figure 4 also shows the tangential acceleration a t (m/s2), the internal tangential force F t (N), the moment M (Nm), and the distance R from the pivot point to the balance’s center of mass (m), which is constant according to Figure 2. It should be noted that the center of gravity shown in Figure 4 refers to the entire weighing assembly, including its platform, rather than the load cell alone.
Furthermore, since a r = θ ˙ 2 R , and considering only m b as a rigid body, that is, excluding the pelletized feed m f , the load cell measurement can be expressed as m m = F r m b g g . Accordingly, the feed mass m f , based on the physical model, can be written as:
m f phy = m b θ ˙ 2 R g cos θ + m m + m b ( 1 cos θ ) cos θ .
However, it is important to note that the actual reading provided by the load sensor is influenced by additional perturbations beyond the radial force. This, in practice, leads to a model error with negative bias, as will be shown in Section 3.2.
Therefore, since the dispenser can be mounted on the oscillating platform for the experiments, and measurements from an inertial sensor installed on the platform are available, we will proceed to evaluate a model based on experimental data, specifically using a basis function summation model:
m f exp i δ i ( m m , θ , θ ˙ , θ ¨ ) ,
where δ i , is a basis function [39,40]. The selection of each basis function δ i was guided by heuristic reasoning and experimental observation. A priori, we define δ 0 as the static component of the model, where the weight measurement depends on the angle between the gravity vector and the load cell axis, given by δ 0 = c 0 m m cos ( θ ) . The remaining basis functions δ i , i = 1 , , 4 , depend on the state variables { θ , θ ˙ , θ ¨ } and include exponential terms typical of oscillatory systems [17,41]. Therefore, the proposed experimental model to estimate m f , at instant n is:
m f , n exp c 0 m m , n cos θ n + c 1 θ n e c 2 m m , n + c 3 θ n ˙ 2 e c 4 m m , n + c 5 θ n ˙ e c 6 m m , n + c 7 θ n ¨ e c 8 m m , n ,
where c 0 depends on the sensor calibration; c i , i = 1 , , 8 , are the model hyperparameters, which are optimized using genetic algorithms, which was chosen for simplicity; future work may adopt more computationally efficient methods [42]. A population size of 800, a maximum of 10,000 generations, and a tolerance of 1 × 10 6 were employed, with no bounds imposed on the parameter values. For calibration, reference masses of 0, 100, 250, and 500 g were applied to the scale while representative sinusoidal disturbances were induced. Each iteration of the optimization algorithm used a dataset of size N. The cost function Z ( c 1 , , c 8 ) used for parameter fitting is presented in Equation (6), where m c denotes the known mass and c 1 , c 2 , , c 8 correspond to the coefficients determined through the optimization process.
Z ( c 1 , , c 8 ) = n = 1 N m c , n m f , n exp 2 .
Finally, a finite impulse response (FIR) low-pass filter (LPF) with a Hamming window was applied to attenuate the components not captured by the data-driven model, as well as the electrical noise from the sensors, ensuring that the measurement error remained below ± 0.5 g.
Although theoretical formulations such as Equations (2) and (3) provide a classical framework for describing the feed mass m f in the context of the system dynamics, their practical applicability is limited due to simplifying assumptions that do not hold under experimental conditions. For this reason, these equations are presented here only as a theoretical reference, while the methodology is ultimately based on an experimental approach, i.e., determining the values c 1 , c 2 , , c 8 that minimize Equation (6) so that m f is estimated experimentally using Equation (5) and the result is then filtered using a low-pass filter (LPF), as validated by the results in Section 3.2.

2.4. Fuzzy Control for the Feed Dispenser

The amount of mass stored in the dispenser varies according to aquaculture feeding requirements and the residual feed left from previous dosing cycles [29,43]. This variability introduces uncertainty into the system dynamics, thereby motivating the use of robust control strategies, such as a fuzzy logic-based approach [29].
The fuzzy sets were generated using fuzzy clustering, with the dataset obtained from the time response produced by a classical proportional controller. The relationship between the estimated feed mass m f and the angular position θ d of the conveyor motor can be described by Equation (7).
m f = A λ R b γ θ d ,
where A is the outlet slot area (m2), θ d is the motor shaft angular position (rad), λ is the transmission ratio between the motor and the belt, R b is the effective belt radius (m), and γ is the feed density (kg/m3). Equation (7) reveals a direct proportionality between m f and θ d .
Since the feeding mechanism is driven by a DC motor, the relationship between the control input (voltage) and the angular velocity is characterized by a first-order lag due to mechanical inertia and electrical damping. Furthermore, because the accumulated mass is physically the time integral of the flow rate (which is proportional to angular velocity), the overall plant dynamics from control input to output mass inherently contain a free integrator ( 1 / s ) and a stable real pole. Consequently, the system transfer function was modeled as shown in Equation (8) [44].
G ( s ) = K s ( s + T ) ,
where K and T are system constants, and s denotes the Laplace-domain complex variable.
Since the feeder architecture described in Section 2.1 does not allow material to return to the hopper, overshoot is inherently undesirable in the system response. When unity feedback is applied, the resulting closed-loop system is second order. Thus, to prevent overshoot, the controller must not include an integral term. Nevertheless, additional conditions—such as appropriate proportional gain selection and accounting for system delays—were required to ensure that the response remains free of overshoot [45]. Similarly, because the output signal exhibits no oscillatory behavior, including a derivative term was deemed unnecessary.
The parameters of the plant model G ( s ) were experimentally identified. A 12 V step input was applied to the feeder motor under disturbance-free conditions, and the time evolution of the feed mass was recorded. The plant parameters were estimated using the ‘Plant Identification’ feature within the MATLAB [R2022b] (MathWorks, Natick, MA, USA) System Identification Toolbox (estimating a continuous-time process model). Based on the transient response characteristics, a One Pole plus Integrator structure was selected. The estimation algorithm employs a nonlinear least-squares optimization method (minimizing the prediction error cost function) to fit the model parameters ( K , T ), in Equation (8), to the experimental step response data [46,47]. The identified model achieved a fit to estimation data of 95.69 % , with a MSE of 7.234 , indicating a high degree of precision in capturing the system dynamics.
Introducing a tunable proportional gain K p into a first-order system with an integrator, as expressed in Equation (9), allows the closed-loop damping ratio to be adjusted and thus prevents overshoot.
C ( s ) G ( s ) = K p K s ( s + T ) .
The transfer function of the unity-feedback closed-loop system is given in Equation (10).
Y ( s ) R ( s ) = K p K s 2 + T s + K p K .
Using the canonical second-order form shown in Equation (11), the natural frequency ω n and the damping ratio ζ can be expressed in terms of the plant parameters.
Y ( s ) R ( s ) = K ω n 2 s 2 + 2 ζ ω n s + ω n 2 ,
ω n 2 = K p K ,
ζ = T 2 K p K .
Consequently, the gain K p can be selected to achieve the desired damping ratio. For ζ > 1 , the closed-loop system becomes overdamped, ensuring a response free of overshoot and oscillations [45].
K p = T 2 4 ζ 2 K .
However, while this linear derivation provides a theoretical baseline for stability, the physical feeder system imposes constraints that a fixed-gain controller cannot optimally address. Specifically, the actuator is subject to hard saturation limits (0% to 100% duty cycle), and the effective plant gain varies as the feed level in the hopper decreases. A standard proportional controller clips the control signal abruptly at these boundaries. In contrast, the proposed Fuzzy inference system can encode a non-linear control law that inherently manages these saturation boundaries smoothly and adapts the effective gain based on the error magnitude.
Therefore, motivated by the need to handle these non-linearities, a data-driven Fuzzy Proportional (Fuzzy-P) strategy was implemented using the initial dataset from the proportional controller. The control architecture was defined in the discrete-time domain with a sampling index k. Let r f ( k ) denote the reference mass (target dose). The feedback loop relies on the raw mass measurement m m ( k ) provided by the sensor, which—along with the plant and IMU readings—is heavily influenced by the oscillating platform disturbances. To compensate for these effects, the controller utilizes the filtered mass estimate y ^ f ( k ) , defined as the low-pass filtered experimental mass y ^ f ( k ) = LPF ( m f exp ( k ) ) . Consequently, the tracking error e f ( k ) entering the fuzzy inference system is calculated as the difference between the reference and the estimated state: e f ( k ) = r f ( k ) y ^ f ( k ) . The schematic representation of this control loop is shown in Figure 5.
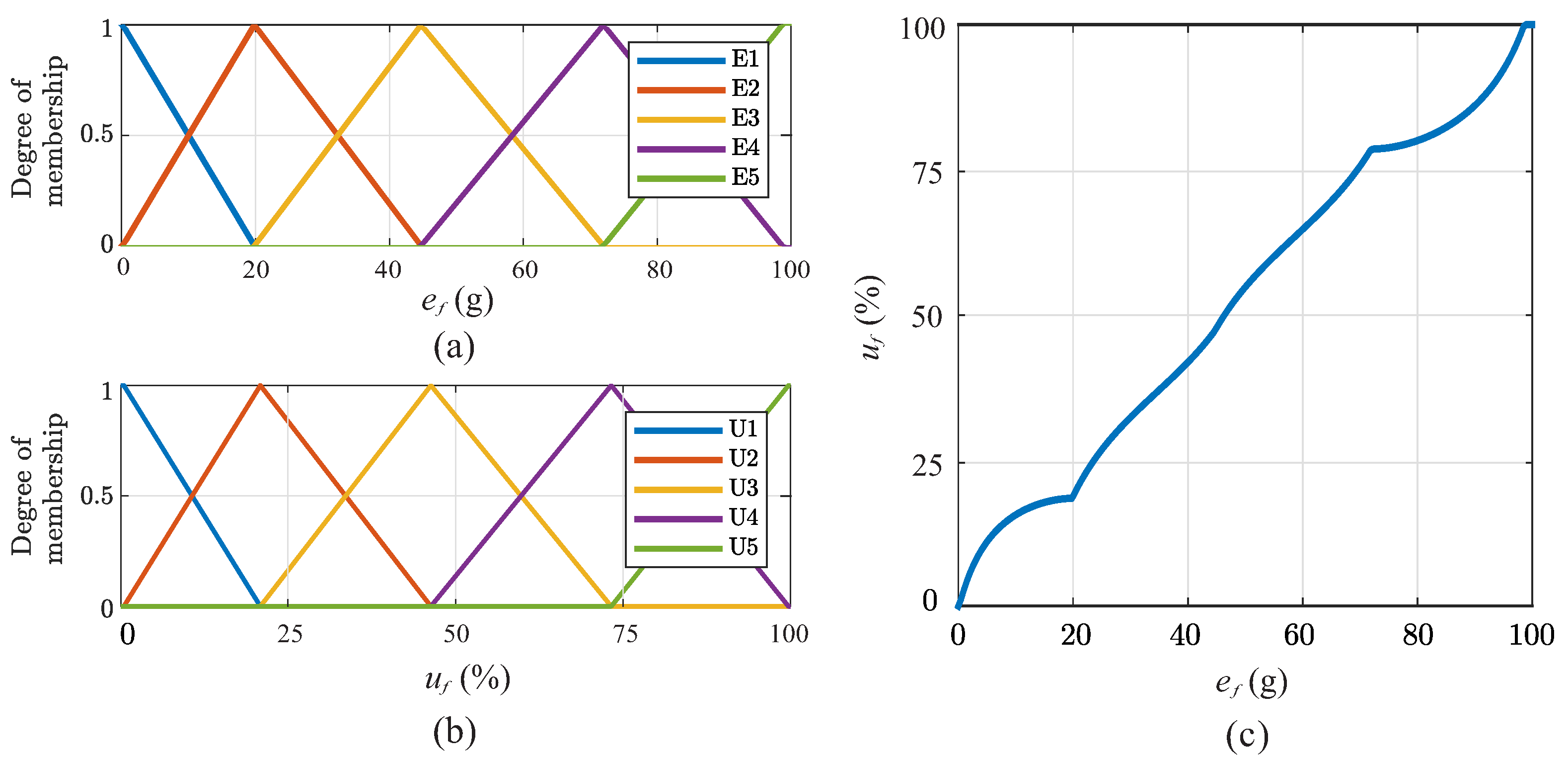
To construct the knowledge base, experimental input-output data were processed using the Fuzzy C-Means (FCM) clustering algorithm [43]. This unsupervised learning method automatically identified the optimal distribution of membership functions. Specifically, the algorithm extracted five cluster centers for the input domain (error) and five for the output domain (control effort). These centers are formally defined as the vectors E = [ E 1 , E 2 , E 3 , E 4 , E 5 ] and U = [ U 1 , U 2 , U 3 , U 4 , U 5 ] , respectively. These vectors correspond to the centroids of the linguistic terms covering the operational range. A Mamdani-type inference mechanism with Center-of-Area defuzzification was employed to compute the crisp control action. To ensure the physical integrity of the actuator and validity of the inference, a saturation function was applied to the input error e f ( k ) , restricting it to the interval [ E 1 , E 5 ] to prevent extrapolation beyond the training domain. Finally, the computed crisp control action u f ( k ) determines the PWM duty cycle, which modulates the 12 V power stage driving the DC motor to regulate the feed dispensing rate [48].

2.5. Adaptive Control for the Feed Dispenser: Self-Tuning Regulator

In this strategy, the control loop operates on the filtered mass estimate y ^ a ( k ) , defined as y ^ a ( k ) = LPF ( m f exp ( k ) ) , where m f exp ( k ) (or m m ) represents the raw mass measurement influenced by platform disturbances. This clean signal y ^ a ( k ) serves two purposes: first, it is compared against the reference r a ( k ) to compute the tracking error e a ( k ) ; second, it is fed into the parameter estimation block alongside the control signal u a ( k ) .
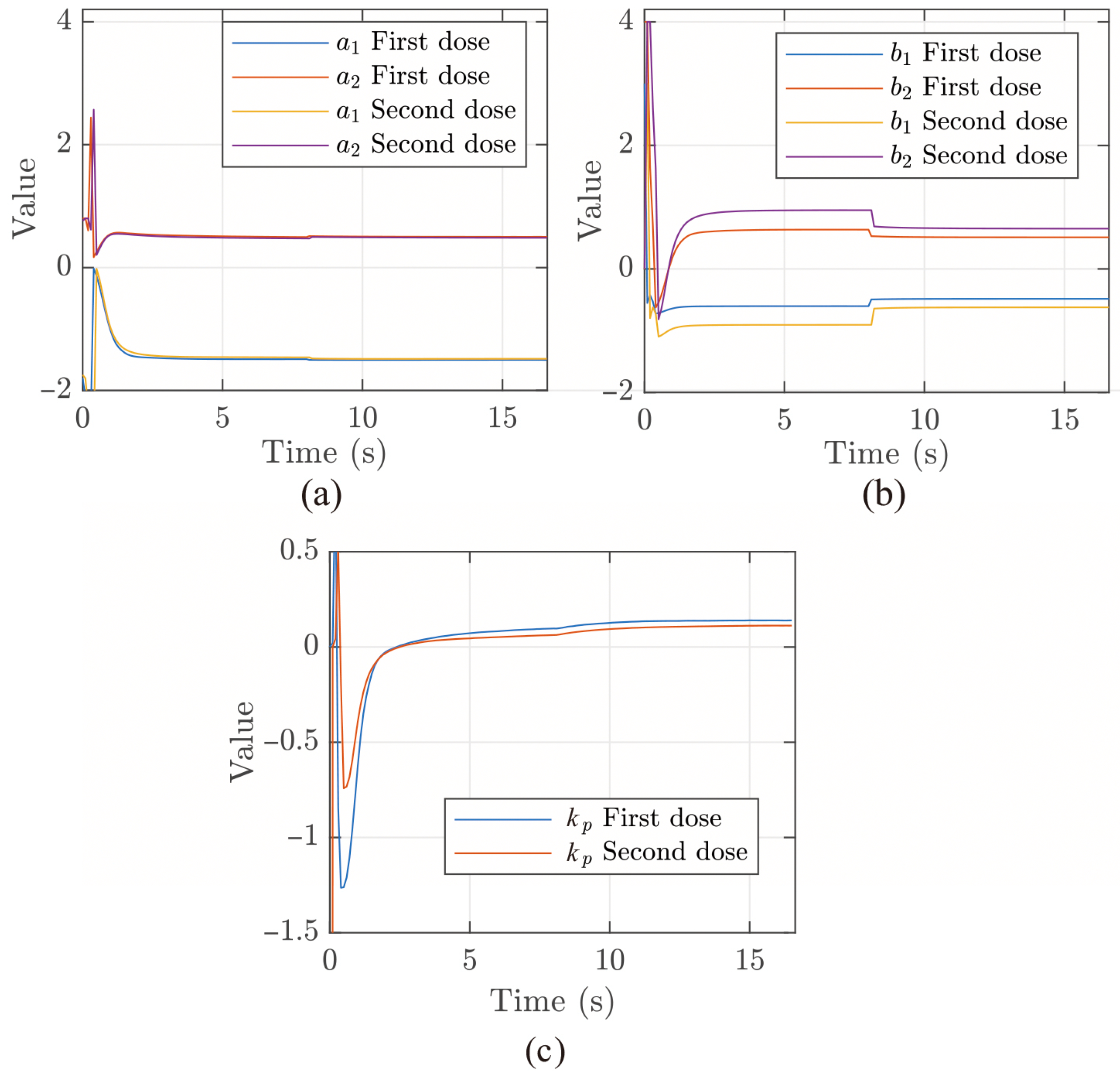
The estimation of the linear auto-regressive model with exogenous input (ARX) is performed using the Recursive Least Squares (RLS) algorithm based on the most recent samples of y ^ a and u a . A detailed mathematical derivation of the regression vector, the update laws, and the selection of the forgetting factor is provided in Appendix A. This process identifies the coefficients a 1 , a 2 , b 1 , and b 2 of a discrete-time, first-order plant model with an integrator, as shown in Equation (15) [31]. These updated parameters are then used to tune the proportional gain k p of the controller in real-time. The complete block diagram of this adaptive scheme is presented in Figure 6.
G ( z ) = b 1 z 1 + b 2 z 2 1 + a 1 z 1 + a 2 z 2 .
Because the plant contains an integrator, it exhibits a pole at z = 1 , leading to the relationship expressed in Equation (16) [49]. Consequently, the identified parameters must satisfy Equation (17).
1 = a 1 ± a 1 2 4 a 2 2 ,
a 1 = a 2 1 .
Based on the identified model, a proportional controller was designed by analyzing the location of the closed-loop poles when applying a proportional gain k p and unity feedback. The resulting closed-loop transfer function is given in Equation (18).
Y ( z ) R ( z ) = k p b 1 z 1 + k p b 2 z 2 1 + ( a 1 + k p b 1 ) z 1 + ( a 2 + k p b 2 ) z 2 .
It is important to emphasize that this strategy differs fundamentally from the fixed proportional controller ( K p ) and the Fuzzy-P used previously. Unlike the Fuzzy controller, which relies on a static non-linear map, the STR explicitly updates the proportional gain k p ( k ) at each sampling instance k. This update is driven by the real-time evolution of the estimated plant parameters ( a i , b i ), ensuring that the closed-loop poles are continuously maintained at the desired locations despite variations in the system dynamics.
The poles p 1 , 2 of the closed-loop transfer function (18) are:
p 1 , 2 = ( a 1 + k p b 1 ) ± ( a 1 + k p b 1 ) 2 4 ( a 2 + k p b 2 ) 2 ( a 2 + k p b 2 ) .
Since the dispenser does not allow food to return to the hopper, as described in Section 2.1, it is essential for the transfer function (18) to exhibit an overdamped response; therefore, the poles must be real. In other words, the following condition must hold:
0 ( a 1 + k p b 1 ) 2 4 ( a 2 + k p b 2 ) ,
which can be expressed as:
0 b 1 2 k p 2 + ( 2 a 1 b 1 4 b 2 ) k p + ( a 1 2 4 a 2 ) .
Therefore, the resulting interval was derived analytically from (21):
0 < k p ( 2 a 1 b 1 4 b 2 ) ( 2 a 1 b 1 4 b 2 ) 2 4 b 1 2 ( a 1 2 4 a 2 ) 2 b 1 2 .
Since any value within this interval avoids overshoot, we propose using the upper bound of k p to achieve a rapid error reduction.
It is worth noting that this proposal does not explicitly require the poles p 1 , 2 to lie inside the unit circle to guarantee strict stability, since stability is inherently ensured by the gradual dispensing process. As the dispenser prevents food from returning to the hopper, the error with respect to the reference monotonically decreases. Therefore, the analysis focuses solely on avoiding overshoot.

3. Results

This section presents the implementation of the system responsible for generating the perturbations that emulate water-induced motion, as described in Section 2.2. The procedures used to identify the components of the mass estimation model introduced in Section 2.3 were also detailed. Subsequently, the performance of the proposed model was evaluated in terms of its ability to compensate for the perturbations induced by the platform dynamics. Finally, the responses of the fuzzy controller and the adaptive STR controller—designed in Section 2.4 and Section 2.5, respectively—were compared for different desired feed masses, highlighting their robustness against low-frequency variations.

3.1. Implementation of the Experimental Setup

The control strategies and the weight estimation algorithm were embedded in an STM32F103C8T6 microcontroller (STMicroelectronics, Geneva, Switzerland). The firmware was developed in C++ and executed within a timer interrupt service routine to ensure a strict sampling period of T s = 0.1 s. This sampling rate (10 Hz) is 40 times higher than the fundamental frequency of the platform oscillation (0.25 Hz), ensuring that the discrete-time implementation captures the continuous dynamics with fidelity. To minimize measurement noise—critical for the weight estimator—the electronic design separates the motor driver from the control logic (sensors and MCU) using optocouplers. Additionally, the IMU was configured to perform internal sensor fusion, delivering pre-calculated orientation angles via I2C to reduce the computational load on the microcontroller.
The experimental setup combined the feeder, the weighing platform and the oscillation-generation mechanism into a single integrated system. As shown in Figure 7, the oscillation generator was mounted laterally on the floating structure and mechanically coupled to the weighing scale. This arrangement ensured that the motion produced by the generator was directly transmitted to both the dispenser and the weighing platform, enabling controlled laboratory reproduction of the inclination disturbances typically observed in floating aquaculture installations. During operation, the motor driving the oscillation mechanism ran continuously, generating a sinusoidal inclination of the platform.
To characterize the induced motion, the system was recorded at representative instants covering the range of imposed oscillations. Figure 8 presents three frames extracted from this sequence. Frame (Figure 8a) corresponds to the horizontal position of the platform ( θ = 0 ), while frames (Figure 8b) and (Figure 8c) illustrate inclinations of 6 . 7 and 13 . 4 , respectively. These orientations were produced by applying a 0.25 Hz sinusoidal perturbation, selected to emulate the low-frequency oscillations commonly observed in floating platforms exposed to environmental disturbances. In the images, the red vertical line represents the fixed reference axis, whereas the yellow line indicates the instantaneous orientation of the dispenser–scale assembly, allowing a clear visual interpretation of the imposed inclination.

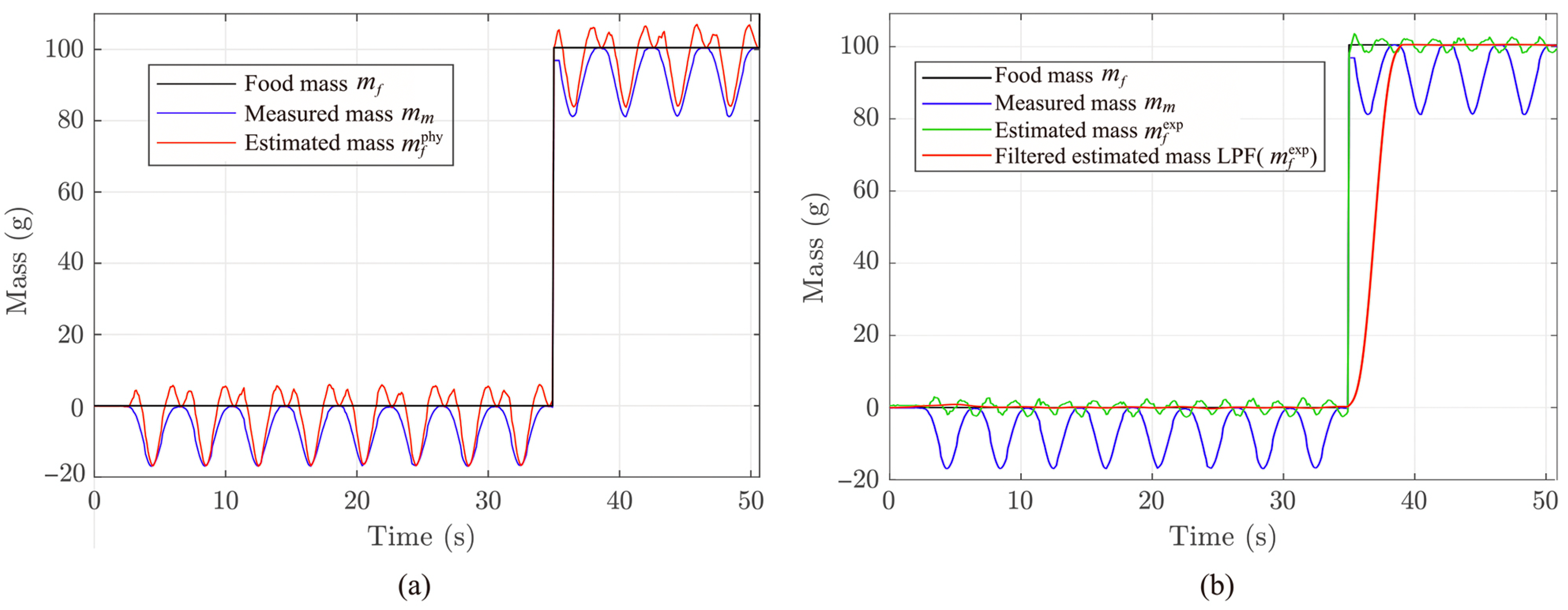
3.2. Mass Estimation Results Using Physical and Experimental Models

The oscillatory motion of the platform introduced significant disturbances in the load-cell signal that the theoretical model was unable to compensate. As illustrated in Figure 9a, the physics-based estimate m f phy exhibited a substantial negative bias, with errors ranging from approximately 17 g to + 8 g for both an empty scale and a 100 g load, indicating that inclination-induced dynamics dominated the measurement. In contrast, the estimation based on experimental model shown in Figure 9b demonstrates superior stability for LPF ( m f exp ) , maintaining a steady-state error of less than 1 g. This validates the effectiveness of the model, although it is observed that the estimation error temporarily increases during transient states when the feed mass changes abruptly.
In the following, we examine how adding basis functions to the experimental model affects the estimation through a progressive refinement process. The residual error at each step was compared against candidate dynamic variables in order to identify the physical effects most strongly associated with the deviation. The complete refinement sequence was summarized in Figure 10.
The first correction applied a gravitational compensation term based on cos θ (Figure 10a). This adjustment substantially reduced the bias caused by platform inclination; however, the remaining error exhibited a waveform strongly correlated with the negative trend of θ , indicating that inclination alone did not fully explain the deviation. Consequently, a linear inclination correction term was added. The residual error of this second phase (Figure 10b) revealed peaks coinciding with the peaks of the squared angular velocity θ ˙ 2 , suggesting that centripetal inertial effects also influenced the load-cell response.
Incorporating the θ ˙ 2 term reduced the high-amplitude fluctuations, but the rising segments of the subsequent error remained aligned with increasing negative angular velocity θ ˙ (Figure 10c), motivating the inclusion of a velocity-dependent component. After compensating for θ ˙ , the residual error displayed a descending pattern that matched the decreasing trend of the angular acceleration θ ¨ (Figure 10d). A refined comparison showed that both the peak and decay regions of the error aligned with θ ¨ , as illustrated in Figure 10e, indicating that acceleration-driven inertial forces played a dominant role during the dynamic phases of oscillation.
Finally, examination of the compensated signal revealed that the influence of the previously identified dynamic terms diminished progressively as the applied mass increased. This nonlinear behavior, shown in Figure 10f, indicated that the load-cell sensitivity to platform dynamics depends on the actual mass being measured. Including a mass-dependent nonlinear modulation completed the compensation model.
It is important to note that the step-like transitions observed in the compensated mass signals across the six phases did not correspond to any control action. Instead, these steps resulted from the experimental procedure used to validate the model: each phase included measurement intervals with the scale empty and with a known added mass. This protocol allowed the evaluation of how the residual error behaved both at zero load and under an applied load, thereby revealing whether each compensating term reduced the inclination-induced deviation independently of the nominal mass. These intentional changes in applied mass formed part of the calibration sequence and were not related to the operation of the feeding mechanism.
An analysis of the frequency content of the uncompensated estimation error revealed a dominant component at 0.5 Hz, green line in Figure 9b. This component corresponds to the second harmonic of the excitation frequency ( 2 × 0.25 Hz), physically arising from the quadratic dependence on angular velocity ( θ ˙ 2 ) inherent in the centrifugal force term. Based on this observation, a low-pass FIR filter with a 0.1 Hz cutoff frequency was applied to suppress high-frequency components and unmodeled dynamics in the final compensated signal.
The optimized coefficients of the compensation model, obtained through a genetic-algorithm procedure, are listed in Table 2. Substituting these coefficients into the mass-estimation expression in (5) yields the explicit compensated estimate of the feed mass. As previously illustrated in Figure 9b, the uncompensated platform oscillation introduced deviations reaching 19.5 g when measuring a constant 100 g load. After applying the proposed model and the subsequent filtering stage, the estimation error was reduced to ± 0.37 g in steady state. However, the filtering stage introduced an approximate delay of 4.2 s. Such delay caused the feeder to dispense excess mass after the reference value was nominally reached; therefore, a practical correction was implemented by applying a fixed offset to the reference command to counteract the delay-induced overshoot.

3.3. Experimental Results of Control Strategies

Equation (23) describes the continuous-time dynamics of the feed mass m f in response to the voltage applied to the motor. Using the experimentally identified parameters, it was determined that a proportional gain of K p = 0.1220 yields an overdamped response with a damping ratio of ζ = 2 .
G ( s ) = 1.6418 s ( s + 3.5797 ) .
Applying the proportional controller allowed collecting the required data to define the fuzzy error groups. The corresponding rules were summarized in Table 3, and the resulting membership functions are shown in Figure 11a,b.
The resulting control curve is presented in Figure 11c. It is observed that this surface exhibits predominantly linear behavior within the central operating range, indicating that the clustering algorithm identified a proportional relationship as the optimal control policy for small-to-medium errors. However, unlike a fixed-gain proportional controller which would clip abruptly at the actuator limits, the fuzzy architecture naturally incorporates non-linear saturation at the boundaries ( 0 % and 100 % duty cycle). This provides a smooth transition between linear tracking and actuator saturation. Furthermore, the data-driven design demonstrates that the linear gain in the nominal region is a learned optimal solution derived from the system dynamics, rather than a priori assumption.
Throughout the experimental analysis, the control input u f denotes the PWM duty cycle expressed as a percentage ( 0 100 % ), where 100 % corresponds to a maximum effective voltage of 12 V applied to the DC motor.
Figure 12a shows the time response of the fuzzy controller when tracking a reference of 100 g under full and partial storage conditions. The error in the first dose was 0.16 g, while the second dose resulted in an error of 0.34 g.
The parameters of the identified discrete-time model were presented in Figure 13. The denominator coefficients satisfy the condition imposed by Equation (17) after approximately 6.6 s, which was considered the time required for the RLS algorithm to converge to a representative model. During the initial transient, however, incorrect parameter estimates cause the proportional gain to become negative or even unbounded. For this reason, a constant control effort was applied during the first 8 s of operation to ensure that the subsequent control law relied on a reliable model.
The denominator coefficients vary by only 0.018 when the storage mass decreases, whereas the numerator parameters vary by 0.141. This difference arises because the internal dynamics of the system remain essentially unchanged, but modifying the load affects the influence of the input voltage on the system output.
It is important to note that each controller was evaluated over two consecutive dispensing cycles. Although both cycles used the same reference mass, they did not represent repeated trials of identical conditions. After the first dose, the amount of feed stored in the dispenser changed, modifying the load acting on the motor and the mechanical behavior of the system. Evaluating a second dose therefore made it possible to assess the controller’s repeatability under altered operating conditions and to quantify performance degradation when the plant parameters differed from those of the initial cycle. For this reason, the reported “first” and “second” doses correspond to two distinct operating scenarios rather than simple repetitions of the same experiment [3,4].
Figure 12d depicts the time response of the adaptive controller for a 100 g reference under full and partial storage conditions. Unlike the other strategies, this controller requires a defined initial condition. This assumes that the angle starts at zero, which introduces a delay while the filtered estimate converges to the actual angle. As a result, the mass estimation during the first samples uses an incorrect angle and momentarily produces negative values. The error in the first dose was 0.16 g, whereas the second dose resulted in an error of 3.76 g.
To comprehensively evaluate the system’s performance, the experimental validation compared three distinct control paradigms selected to cover a broad spectrum of complexity and adaptability. The Proportional (P) Controller was included as a linear baseline with fixed parameters to establish a standard reference. The Fuzzy-P Controller was selected to represent a robust non-linear strategy with fixed parameters, specifically designed to manage actuator saturation. Finally, the STR was employed as an adaptive linear strategy with time-varying parameters, aiming to determine if real-time model identification provides an advantage over robust heuristic methods in this dynamic environment.
Table 4 presents the mean absolute error (MAE) and the standard deviation of the error obtained with each controller during the first and second doses. For every control scenario, 12 experiments were conducted: four with a 100 g reference, four with 250 g, and four with 500 g. The procedure was repeated for the three control strategies (proportional, fuzzy, and adaptive) under both storage conditions.
To compare robustness, the variation of the MAE under changes in plant conditions was evaluated, considering the controller with the smallest variation to be the most robust. Additionally, the most critical MAE value for each strategy was examined, identifying the controller with the lowest maximum error as the most accurate. Similarly, the most critical standard deviation was compared to assess precision.
The fuzzy controller proved to be the most robust, with the MAE variation of only 2.9%. It was followed by the adaptive controller, which exhibited an 18.6% variation, while the proportional controller showed the largest change at 56.3%. In terms of accuracy, the fuzzy controller also performed best, with the lowest critical MAE of 0.70 g. The proportional and adaptive controllers followed with 1.03 g and 1.53 g, respectively. Regarding precision, the proportional controller achieved the lowest critical standard deviation (1.05 g), compared to 1.14 g for the fuzzy controller and 1.83 g for the adaptive controller.

4. Discussion

The experimental results summarized in Table 4 indicate a performance disparity between the control strategies. Specifically, the Adaptive STR exhibited a higher MAE compared to the Fuzzy-P controller. A detailed analysis of the parameter evolution helps explain this difference without relying on complex identification phenomena. As shown in Figure 13, the identification mechanism (RLS) successfully converges after the initialization phase (first 8 s), resulting in stable estimates for the plant parameters a i , b i and the proportional gain k p . This confirms that the STR achieves stability and does not oscillate wildly. However, despite this convergence, the control performance remains inferior to the Fuzzy approach. The root cause lies in a structural limitation. Once the STR parameters stabilize, the algorithm essentially behaves as a linear proportional controller with a fixed gain k p . While this gain is mathematically optimal for the identified linear model, a fixed-gain linear controller has limited capability to compensate for non-linear disturbances like the periodic platform oscillation. The STR finds the best possible average linear model, but this average cannot fully reject the dynamic peaks of the wave motion. In contrast, the Fuzzy controller benefits from its inherent non-linear structure. Unlike the STR, which is constrained to a single operating gain at steady state, the Fuzzy controller applies a variable control action defined by its membership functions—reacting aggressively to large errors and smoothly to small ones. This structural flexibility allows the Fuzzy system to handle the oscillatory disturbance more effectively than the rigid linear structure of the STR.
Regarding the performance degradation in the second dosing cycle (MAE increase from 1.29 g to 1.53 g), this is physically consistent with the reduction in stored feed mass. As the hopper empties, the system’s inertia decreases, which means the wave-induced forces have a larger relative impact on the load cell signal (lower Signal-to-Noise Ratio). Although the RLS still converges, the increased noise level in the input data leads to a less precise model estimation compared to the full-load scenario, resulting in a gradual reduction in control accuracy.

5. Conclusions

A compact and autonomous aquaculture feeder mounted on a floating platform was developed and experimentally validated under laboratory conditions. The system integrates an electromechanical dosing mechanism with a load cell for real-time mass measurement, and its performance was assessed under realistic disturbances emulated by a oscillation generator acting at 0.25 Hz.
To address the measurement noise induced by the platform motion, a non-linear estimation model was developed and optimized via a Genetic Algorithm. This data-driven approach effectively compensated for the inertial effects, specifically centrifugal and tangential accelerations, reducing the mass estimation error from ± 19.5 g (uncompensated) to less than ± 0.37 g in steady state. This result validates that low-cost inertial sensors, combined with machine learning optimization, can decouple the feed mass dynamics from the platform motion.
Regarding the control strategies, the experimental comparison revealed that the Fuzzy Logic Controller offers superior robustness compared to the STR. While the STR successfully identified the plant parameters, its inherent linear structure constrained its ability to reject the high-frequency periodic disturbances. In contrast, the Fuzzy controller utilized its non-linear control surface to dampen the oscillations effectively. This leads to the conclusion that for floating aquaculture systems subject to persistent wave motion, robust heuristic methods (Fuzzy) are more suitable than standard adaptive linear strategies, which struggle to decouple external environmental dynamics from internal parameter changes.

Limitations and Future Work

While the results demonstrate the effectiveness of the proposed strategy in a controlled environment, several limitations must be acknowledged to contextualize the findings for field applications.
First, the experimental validation was conducted on a single-degree-of-freedom platform restricted to pitch motion. Although pitch is frequently the dominant disturbance for small floating structures, real offshore platforms experience coupled six-degree-of-freedom dynamics. The current estimator assumes planar motion, and its extension to 3D spatial dynamics would require a full 9-axis inertial sensor fusion algorithm.
Second, the disturbance was modeled as a monochromatic sinusoidal wave. In open-water environments, sea states are stochastic and characterized by broad energy spectra (e.g., JONSWAP spectrum). While the Fuzzy controller showed robustness against the mechanical non-linearities of the test rig, its performance under broad-spectrum random excitation remains to be verified.
Finally, the study did not account for environmental factors such as wind loads, humidity, or biofouling. Future work will focus on validating the control strategy on a prototype floating unit in a wave tank to evaluate the estimator’s performance under stochastic multi-axis disturbances and implementing a washout filter to handle sensor drift in long-term operations.

Author Contributions

Conceptualization, D.C. and E.J.A.; methodology, D.C.; software, D.C.; validation, D.C., M.Q.-C. and E.J.A.; formal analysis, G.Q., D.C. and E.J.A.; investigation, D.C.; resources, M.Q.-C.; data curation, D.C.; writing—original draft preparation, D.C. and M.Q.-C.; writing—review and editing, M.Q.-C., G.Q. and E.J.A.; visualization, M.Q.-C.; supervision, G.Q. and E.J.A.; project administration, E.J.A.; funding acquisition, E.J.A. All authors have read and agreed to the published version of the manuscript.

Funding

This research was funded by Consejo Nacional de Ciencia, Tecnología e Innovación (CONCYTEC)—Peru for the development carried out within the framework of the Applied Research Project: Code 041-2023-02, Contract No. PE501082364-2023.

Data Availability Statement

The original contributions presented in this study are included in the article. Further inquiries can be directed to the corresponding author.

Conflicts of Interest

The authors declare no conflicts of interest.

Abbreviations

The following abbreviations are used in this manuscript:
ARXAuto-Regressive model with eXogenous inputs
FCMFuzzy C-Means
IMUInertial Measurement Unit
LPFLow-Pass Filter
MAEMean Absolute Error
PWMPulse Width Modulation
RLSRecursive Least Squares
STRSelf-Tuning Regulator

Appendix A. Recursive Least Squares Algorithm

The Adaptive STR relies on the real-time identification of the plant dynamics. The dispensing system is modeled as a discrete-time ARX, described by the difference equation:
y ^ a ( k ) + a 1 y ^ a ( k 1 ) + a 2 y ^ a ( k 2 ) = b 1 u a ( k 1 ) + b 2 u a ( k 2 ) + ξ ( k ) ,
where y a ( k ) is the filtered mass output, u a ( k ) is the control input, and ξ ( k ) represents white noise. To estimate the unknown coefficients, this equation is rewritten in the linear regression form:
y ^ a ( k ) = φ T ( k ) Ψ ( k ) + ξ ( k ) ,
where Ψ ( k ) is the parameter vector and φ ( k ) is the regression vector containing previous input-output observations:
Ψ ( k ) = a 1 a 2 b 1 b 2 T , φ ( k ) = y ^ a ( k 1 ) y ^ a ( k 2 ) u a ( k 1 ) u a ( k 2 ) T .
The Recursive Least Squares (RLS) algorithm minimizes the weighted sum of squared prediction errors. To track time-varying parameters (caused by mechanical variations or load changes), a forgetting factor λ is introduced. The recursive update mechanism proceeds in three steps at each sampling instance k:
1.
Gain Calculation: The estimator gain vector L ( k ) determines how strongly the current prediction error influences the parameter update. It is computed based on the previous covariance matrix P ( k 1 ) :
L ( k ) = P ( k 1 ) φ ( k ) λ + φ T ( k ) P ( k 1 ) φ ( k ) .
2.
Parameter Update: The parameter vector is adjusted proportional to the prediction error e ( k ) = y ^ a ( k ) φ T ( k ) Ψ ( k 1 ) :
Ψ ( k ) = Ψ ( k 1 ) + L ( k ) y ( k ) φ T ( k ) Ψ ( k 1 ) .
3.
Covariance Update: The covariance matrix P ( k ) , which represents the uncertainty of the estimates, is updated to prepare for the next iteration:
P ( k ) = 1 λ I L ( k ) φ T ( k ) P ( k 1 ) .
Initialization and Tuning: The algorithm is initialized with a high covariance matrix P ( 0 ) = α I (where α = 1000 ) to reflect low confidence in the initial parameters Ψ ( 0 ) . The forgetting factor was set to λ = 0.98 . This value provides a memory horizon of approximately 1 / ( 1 λ ) = 50 samples, allowing the estimator to adapt to slow variations in the system dynamics while filtering out high-frequency noise from the load cell.

References

  1. Føre, M.; Frank, K.; Norton, T.; Svendsen, E.; Alfredsen, J.A.; Dempster, T.; Eguiraun, H.; Watson, W.; Stahl, A.; Sunde, L.M.; et al. Precision fish farming: A new framework to improve production in aquaculture. Biosyst. Eng. 2018, 173, 176–193. [Google Scholar] [CrossRef]
  2. Inayathullah, N.; Vijayananad, P.; Srilaxmi, K. A comparative study on the shrimp culture practices of Litopenaeus vannamei with automatic feeder and boat feeding technique along Karaikal region. J. Surv. Fish. Sci. 2021, 7, 101–110. [Google Scholar] [CrossRef]
  3. Quispe, M.; Chiotti, D.; Alegria, E.J. A Dual-Arm Rotational Robotic Manipulator with a Dynamically-Driven Non-Actuated Joint for Smart Aquaculture. In Proceedings of the 2025 IEEE 7th Colombian Conference on Automatic Control (CCAC), Pereira, Colombia, 14–17 October 2025; pp. 1–6. [Google Scholar] [CrossRef]
  4. Quispe, M.; Chiotti, D.; Del-Águila, J.; Quino, G.; Jara Alegria, E. Automatic pellet positioner with switched fuzzy-PD control for a smart shrimp feeder. Smart Agric. Technol. 2026, 13, 101863. [Google Scholar] [CrossRef]
  5. Chaidir, A.R.; Herdiyanto, D.W.; Eska, A.C.; Kalandro, G.D. The Effect of Automatic Fish Feeding Technology on the Quality of Tilapia Fish Culture Products. J. Teknol. Perikan. Dan Kelaut. 2025, 16, 44–51. [Google Scholar] [CrossRef]
  6. Xiong, Z.; Huang, Z.; Shi, Y.; Ma, M. Factors influencing feed distribution uniformity in aquaculture vessels based on DEM. Aquac. Eng. 2025, 110, 102523. [Google Scholar] [CrossRef]
  7. Skøien, K.R.; Alver, M.O.; Zolich, A.P.; Alfredsen, J.A. Feed spreaders in sea cage aquaculture—Motion characterization and measurement of spatial pellet distribution using an unmanned aerial vehicle. Comput. Electron. Agric. 2016, 129, 27–36. [Google Scholar] [CrossRef]
  8. Reis, J.; Novriadi, R.; Swanepoel, A.; Jingping, G.; Rhodes, M.; Davis, D.A. Optimizing feed automation: Improving timer-feeders and on demand systems in semi-intensive pond culture of shrimp Litopenaeus vannamei. Aquaculture 2020, 519, 734759. [Google Scholar] [CrossRef]
  9. Borstel, F.V.; la Rosa, E.D.; Suarez, J.; Gutierrez, J. Robotic system for automation of water quality monitoring and feeding in aquaculture shadehouse. IEEE Trans. Syst. Man, Cybern. Syst. 2017, 47, 1575–1589. [Google Scholar] [CrossRef]
  10. Al-Rajhi, M.A.I.; Osman, Y.K.; El-Wahhab, G.G.A.; Ali, K.A.M. A small boat for fish feeding. Aquac. Eng. 2023, 103, 102371. [Google Scholar] [CrossRef]
  11. Prem, R.; Nagarajan, V.; Tewari, V.K. Design of catamaran type fish feeder for aquaculture applications. Ocean. Eng. 2023, 278, 114413. [Google Scholar] [CrossRef]
  12. de Tailly, J.B.D.; Alpiste, I.M.; Owen, M.A.; Keitel, J.; Alcaraz-Calero, J.M.; Sloman, K.A.; Alexander, M.E. Monitoring shrimp behavior in relation to feed provision, location and time of day in an experimental aquaculture pond. Appl. Anim. Behav. Sci. 2025, 287, 106636. [Google Scholar] [CrossRef]
  13. Quispe, M.; Chiotti, D.; Quino, G.; Alegria, E.J. Floating System for Automatic Handling of Aquaculture Feeders. In Proceedings of the 2024 IEEE ANDESCON, Cusco, Peru, 11–13 September 2024; pp. 1–6. [Google Scholar] [CrossRef]
  14. Chiotti, D.; Quispe, M.; Quino, G.; Alegria, E.J. Precision Aquaculture Feeder for Floating Platforms Considering Inertial Disturbances. In Proceedings of the 2025 IEEE 7th Colombian Conference on Automatic Control (CCAC), Pereira, Colombia, 14–17 October 2025; pp. 1–6. [Google Scholar] [CrossRef]
  15. Chakrabarti, S.K. Handbook of Offshore Engineering; Elsevier: Amsterdam, The Netherlands, 2005. [Google Scholar]
  16. Faltinsen, O.M. Sea Loads on Ships and Offshore Structures; Cambridge University Press: Cambridge, UK, 1990. [Google Scholar]
  17. Boschetti, G.; Caracciolo, R.; Richiedei, D.; Trevisani, A. Model-based dynamic compensation of load cell response in weighing machines affected by environmental vibrations. Mech. Syst. Signal Process. 2013, 34, 116–130. [Google Scholar] [CrossRef]
  18. Costa Rocha, E.; Rocha Rizol, P.M.S.; Carvalho Machado, R.; de Lucena, S.E. Interval Type-2 Fuzzy Control Simulation of an Electromagnetic Force Compensation Load Cell Using Matlab. In Proceedings of the 2025 16th IEEE International Conference on Industry Applications (INDUSCON), São Sebastião, Brazil, 14–17 October 2025. [Google Scholar] [CrossRef]
  19. Jenabzadeh, A.; Shu, Z.; Huang, T.; Zhu, Q.; Shang, Y.; Cui, Y. Distributed Estimation and Motion Control in Multi-Agent Systems Under Multiple Attacks. IEEE Trans. Autom. Sci. Eng. 2025, 22, 12548–12560. [Google Scholar] [CrossRef]
  20. Young, P.C. Recursive Estimation and Time-Series Analysis: An Introduction for the Student and Practitioner, revised edition ed.; Springer: Berlin/Heidelberg, Germany, 2011. [Google Scholar] [CrossRef]
  21. Young, P.; Garnier, H. Identification and estimation of continuous-time, data-based mechanistic (DBM) models for environmental systems. Environ. Model. Softw. 2006, 21, 1055–1072. [Google Scholar] [CrossRef]
  22. Alegria, E.J.; Bottura, C.P. Data-Based Local Smoothing Technique for Parameters Estimation of Nonlinear ARX Models. In Proceedings of the 2019 American Control Conference (ACC), Philadelphia, PA, USA, 10–12 July 2019; pp. 4350–4355. [Google Scholar] [CrossRef]
  23. Alegria, E.J.; Giesbrecht, M.; Bottura, C.P. Causal regression for online estimation of highly nonlinear parametrically varying models. Automatica 2021, 125, 109425. [Google Scholar] [CrossRef]
  24. Alegria, E.; Giesbrecht, M.; Bottura, C. An associative-memory-based method for system nonlinearities recursive estimation. Automatica 2022, 142, 110343. [Google Scholar] [CrossRef]
  25. Precup, R.E.; Hellendoorn, H. A survey on industrial applications of fuzzy control. Comput. Ind. 2011, 62, 213–226. [Google Scholar] [CrossRef]
  26. Sala, A.; Guerra, T.M.; Babuška, R. Perspectives of fuzzy systems and control. Fuzzy Sets Syst. 2005, 156, 432–444. [Google Scholar] [CrossRef]
  27. Åström, K. Adaptive Control—A Perspective. IFAC Proc. Vol. 1990, 23, 1–6. [Google Scholar] [CrossRef]
  28. Landau, I.D.; Lozano, R.; M’Saad, M.; Karimi, A. Adaptive Control: Algorithms, Analysis and Applications, 2nd ed.; Springer: London, UK, 2011. [Google Scholar]
  29. Lilly, J.H. Fuzzy Control and Identification; Wiley: New York, NY, USA, 1997. [Google Scholar]
  30. Jäkel, J.; Mikut, R.; Bretthauer, G. Fuzzy Control Systems. In Control Systems, Robotics and Automation—Vol. XXI; Unbehauen, H., Ed.; EOLSS Publishers: Oxford, UK, 2009; pp. 1–26. [Google Scholar]
  31. Ghamari, S.M.; Mollaee, H.; Khavari, F. Design of robust self-tuning regulator adaptive controller on single-phase full-bridge inverter. IET Power Electron. 2020, 13, 3613–3626. [Google Scholar] [CrossRef]
  32. Barcelos, C.O.; Fagundes-Júnior, L.A.; Mendes, A.L.C.; Gandolfo, D.C.; Brandão, A.S. Integration of Payload Sensors to Enhance UAV-Based Spraying. Drones 2024, 8, 490. [Google Scholar] [CrossRef]
  33. Chen, W.H.; Yang, J.; Guo, L.; Li, S. Disturbance-Observer-Based Control and Related Methods—An Overview. IEEE Trans. Ind. Electron. 2016, 63, 1083–1095. [Google Scholar] [CrossRef]
  34. Radoičić, G.; Jovanović, M.; Arsić, M. Experience with an On-board Weighing System Solution for Heavy Vehicles. ETRI J. 2016, 38, 787–797. [Google Scholar] [CrossRef]
  35. CEMA. Belt Conveyors for Bulk Materials; Conveyor Equipment Manufacturers Association: Bonita Springs, FL, USA, 2002. [Google Scholar]
  36. Bhattacharyya, R. Dynamics of Marine Vehicles; Wiley: Hoboken, NJ, USA, 1978. [Google Scholar]
  37. Norton, R.L. Design of Machinery: An Introduction to the Synthesis and Analysis of Mechanisms and Machines, 6th ed.; McGraw-Hill Education: Columbus, OH, USA, 2019. [Google Scholar]
  38. Vinogradov, O. Fundamentals of Kinematics and Dynamics of Machines and Mechanisms, 1st ed.; CRC Press: Boca Raton, FL, USA, 2000. [Google Scholar]
  39. Bishop, C.M. Pattern Recognition and Machine Learning; Springer: New York, NY, USA, 2006. [Google Scholar]
  40. Haykin, S. Neural Networks and Learning Machines, 3rd ed.; Pearson Education: Upper Saddle River, NJ, USA, 2008. [Google Scholar]
  41. Wong, A.C.; Yagui, I.T.; Barrueto, R.M.; Alegria, E.J. Experimental Analysis of a Vibrating Feeder Prototype based on Electromagnets. In Proceedings of the 2024 Latin American Robotics Symposium (LARS), Arequipa, Peru, 11–14 November 2024; pp. 1–6. [Google Scholar] [CrossRef]
  42. Katagiri, J.; Ueda, T.; Hayashi, N.; Koyanaka, S. Genetic Algorithm-Based Automatic Input Parameter Calibration Method for the Discrete Element Modeling of Vibration Feeders. Mater. Trans. 2021, 62, 551–556. [Google Scholar] [CrossRef]
  43. Chiu, S.L. Fuzzy Model Identification Based on Cluster Estimation. J. Intell. Fuzzy Syst. 1994, 2, 267–278. [Google Scholar] [CrossRef]
  44. Kuo, B.C. Automatic Control Systems, 7th ed.; Pearson Education: London, UK, 2001. [Google Scholar]
  45. Ogata, K. Modern Control Engineering, 5th ed.; Prentice Hall: Upper Saddle River, NJ, USA, 2010. [Google Scholar]
  46. Bature, A.A.; Muhammad, M.; Abdullahi, A.M. Identification and real-time control of a DC motor. IOSR J. Electr. Electron. Eng. (IOSR-JEEE) 2013, 7, 54–58. [Google Scholar] [CrossRef]
  47. Ljung, L. System Identification: Theory for the User, 2nd ed.; Prentice Hall PTR: Upper Saddle River, NJ, USA, 1999. [Google Scholar]
  48. Erdem, H.; Altınöz, O. Tuning of output scaling factor in PI-like fuzzy controllers for power converters using PSO. J. Intell. Fuzzy Syst. 2016, 30, 2677–2688. [Google Scholar] [CrossRef]
  49. Ogata, K. Discrete-Time Control Systems, 2nd ed.; Pearson: Upper Saddle River, NJ, USA, 1995. [Google Scholar]
Figure 1. Schematic of the automatic feed dispenser with main parts and belt directions (red arrows).
Figure 1. Schematic of the automatic feed dispenser with main parts and belt directions (red arrows).
Electronics 15 00973 g001
Figure 2. Inverted slider-crank mechanism inducing wave motion in the feed dispenser with integrated scale; β is the input angle and θ the output angle.
Figure 2. Inverted slider-crank mechanism inducing wave motion in the feed dispenser with integrated scale; β is the input angle and θ the output angle.
Electronics 15 00973 g002
Figure 3. Kinematics of the oscillating platform { θ , θ ˙ , θ ¨ } as a function of the crank angle β , which rotates at constant angular velocity. The solid blue line represents the actual kinematic behavior generated by the mechanism, while the black dashed line indicates an idealized pure sinusoidal function.
Figure 3. Kinematics of the oscillating platform { θ , θ ˙ , θ ¨ } as a function of the crank angle β , which rotates at constant angular velocity. The solid blue line represents the actual kinematic behavior generated by the mechanism, while the black dashed line indicates an idealized pure sinusoidal function.
Electronics 15 00973 g003
Figure 4. Free-body diagram of the load cell.
Figure 4. Free-body diagram of the load cell.
Electronics 15 00973 g004
Figure 5. Block diagram of the implemented Fuzzy-P control scheme with a disturbance-based weight estimator. Here, u f denotes the fuzzy control effort derived from the error e f .
Figure 5. Block diagram of the implemented Fuzzy-P control scheme with a disturbance-based weight estimator. Here, u f denotes the fuzzy control effort derived from the error e f .
Electronics 15 00973 g005
Figure 6. Block diagram of the STR control loop. The raw mass measurement m m is filtered to produce y ^ a , which feeds the RLS algorithm along with u a to update model parameters and adjust the controller gain k p .
Figure 6. Block diagram of the STR control loop. The raw mass measurement m m is filtered to produce y ^ a , which feeds the RLS algorithm along with u a to update model parameters and adjust the controller gain k p .
Electronics 15 00973 g006
Figure 7. Experimental setup integrating the feeder, weighing platform, and lateral oscillation generator mounted on the floating structure. The mechanical coupling ensures direct transmission of the imposed oscillatory motion to the dispenser and scale.
Figure 7. Experimental setup integrating the feeder, weighing platform, and lateral oscillation generator mounted on the floating structure. The mechanical coupling ensures direct transmission of the imposed oscillatory motion to the dispenser and scale.
Electronics 15 00973 g007
Figure 8. Representative instants of the imposed sinusoidal oscillation: (a) θ = 0 , (b) θ = 6 . 7 , and (c) θ = 13 . 4 . The angle θ corresponds to the instantaneous inclination of the dispenser–scale assembly, defined as the angle between the fixed vertical reference (red line) and the assembly’s orientation (yellow line).
Figure 8. Representative instants of the imposed sinusoidal oscillation: (a) θ = 0 , (b) θ = 6 . 7 , and (c) θ = 13 . 4 . The angle θ corresponds to the instantaneous inclination of the dispenser–scale assembly, defined as the angle between the fixed vertical reference (red line) and the assembly’s orientation (yellow line).
Electronics 15 00973 g008
Figure 9. Comparison of mass estimation performance: (a) estimation using the theoretical model showing a significant negative bias; and (b) estimation using the proposed data-based experimental model, where the steady-state error is reduced to less than 1 g.
Figure 9. Comparison of mass estimation performance: (a) estimation using the theoretical model showing a significant negative bias; and (b) estimation using the proposed data-based experimental model, where the steady-state error is reduced to less than 1 g.
Electronics 15 00973 g009
Figure 10. Six-phase refinement of the experimental mass-estimation model m f phy . Each subfigure shows the compensated mass estimate and the error as successive basis functions are considered: (a) gravitational correction δ 0 ; (b) linear inclination c 1 θ ; (c) squared angular velocity c 3 θ ˙ 2 ; (d) angular velocity c 5 θ ˙ ; (e) angular acceleration c 7 θ ¨ ; and (f) nonlinear dependence on the measured mass m m , i.e., e c j m m , j = { 2 , 4 , 6 , 8 } .
Figure 10. Six-phase refinement of the experimental mass-estimation model m f phy . Each subfigure shows the compensated mass estimate and the error as successive basis functions are considered: (a) gravitational correction δ 0 ; (b) linear inclination c 1 θ ; (c) squared angular velocity c 3 θ ˙ 2 ; (d) angular velocity c 5 θ ˙ ; (e) angular acceleration c 7 θ ¨ ; and (f) nonlinear dependence on the measured mass m m , i.e., e c j m m , j = { 2 , 4 , 6 , 8 } .
Electronics 15 00973 g010
Figure 11. Design of the Fuzzy Logic Controller using C-means clustering. (a) Membership functions for the input variable (Mass Error e f ). (b) Membership functions for the output variable (Control Effort u f ). (c) The resulting non-linear control curve illustrating the aggressive response to large errors and smooth damping near the setpoint.
Figure 11. Design of the Fuzzy Logic Controller using C-means clustering. (a) Membership functions for the input variable (Mass Error e f ). (b) Membership functions for the output variable (Control Effort u f ). (c) The resulting non-linear control curve illustrating the aggressive response to large errors and smooth damping near the setpoint.
Electronics 15 00973 g011
Figure 12. Experimental comparison of dosing performance for a 100 g target reference under platform oscillation. (a) Mass tracking response using the Fuzzy-P controller ( y f ) versus the reference ( r f ). (b) Platform angular position during the Fuzzy test. (c) Control signal u f (PWM %) generated by the Fuzzy controller. (d) Mass tracking response using the STR ( y a ). (e) Platform angular position during the STR test. (f) Adaptive control signal u a (PWM %) showing the saturation and adaptation phases.
Figure 12. Experimental comparison of dosing performance for a 100 g target reference under platform oscillation. (a) Mass tracking response using the Fuzzy-P controller ( y f ) versus the reference ( r f ). (b) Platform angular position during the Fuzzy test. (c) Control signal u f (PWM %) generated by the Fuzzy controller. (d) Mass tracking response using the STR ( y a ). (e) Platform angular position during the STR test. (f) Adaptive control signal u a (PWM %) showing the saturation and adaptation phases.
Electronics 15 00973 g012
Figure 13. Time evolution of the parameters of the discrete-time model during online identification: (a) denominator coefficients a i , (b) numerator coefficients b i , and (c) proportional gain k p .
Figure 13. Time evolution of the parameters of the discrete-time model during online identification: (a) denominator coefficients a i , (b) numerator coefficients b i , and (c) proportional gain k p .
Electronics 15 00973 g013
Table 1. Dimensions of the components in the disturbance-generation mechanism.
Table 1. Dimensions of the components in the disturbance-generation mechanism.
Constant l 1 l 2 l 4 l 5
Value (mm)56.057.9113.9520.0
Table 2. Constants of the data-based mass-estimation model.
Table 2. Constants of the data-based mass-estimation model.
ConstantValue
c 1 1.227000
c 2 0.0000865
c 3 −0.030200
c 4 0.000621
c 5 −0.03660
c 6 0.001010
c 7 0.001280
c 8 0.004170
Table 3. Fuzzy controller rules.
Table 3. Fuzzy controller rules.
InputE1E2E3E4E5
OutputU1U2U3U4U5
Table 4. MAE and standard deviation for each of the evaluated controllers.
Table 4. MAE and standard deviation for each of the evaluated controllers.
ControllerMAE (g) σ (g)
Proportional, first dose1.031.05
Proportional, second dose0.450.59
Fuzzy, first dose0.681.14
Fuzzy, second dose0.700.95
Adaptive, first dose1.291.71
Adaptive, second dose1.531.83
Disclaimer/Publisher’s Note: The statements, opinions and data contained in all publications are solely those of the individual author(s) and contributor(s) and not of MDPI and/or the editor(s). MDPI and/or the editor(s) disclaim responsibility for any injury to people or property resulting from any ideas, methods, instructions or products referred to in the content.

Share and Cite

MDPI and ACS Style

Chiotti, D.; Quispe-Carlos, M.; Quino, G.; Jara Alegria, E. Control Strategies for an Aquaculture Feeder on an Oscillating Platform Using Disturbance-Based Weight Estimation. Electronics 2026, 15, 973. https://doi.org/10.3390/electronics15050973

AMA Style

Chiotti D, Quispe-Carlos M, Quino G, Jara Alegria E. Control Strategies for an Aquaculture Feeder on an Oscillating Platform Using Disturbance-Based Weight Estimation. Electronics. 2026; 15(5):973. https://doi.org/10.3390/electronics15050973

Chicago/Turabian Style

Chiotti, Diego, Medard Quispe-Carlos, Gustavo Quino, and Elvis Jara Alegria. 2026. "Control Strategies for an Aquaculture Feeder on an Oscillating Platform Using Disturbance-Based Weight Estimation" Electronics 15, no. 5: 973. https://doi.org/10.3390/electronics15050973

APA Style

Chiotti, D., Quispe-Carlos, M., Quino, G., & Jara Alegria, E. (2026). Control Strategies for an Aquaculture Feeder on an Oscillating Platform Using Disturbance-Based Weight Estimation. Electronics, 15(5), 973. https://doi.org/10.3390/electronics15050973

Note that from the first issue of 2016, this journal uses article numbers instead of page numbers. See further details here.

Article Metrics

Back to TopTop