A Systematic, Scalable, and Interpretable Mapping of Artificial Intelligence Research in Leukemia Using a Hybrid Machine Learning and Qualitative Framework
Abstract
1. Introduction
2. Related Works
2.1. Reviews of AI Applications Employing Automated Bibliometric Tools
2.2. Manual Reviews of AI Applications in Leukemia
2.2.1. Surveys on Image-Based Research in Leukemia
2.2.2. Surveys on Single Leukemia Types
2.3. Research Gap
3. Methodology and System Tool Design
3.1. Overview of the Integrated Methodological Framework
| Algorithm 1: Master Algorithm |
| Input: ScopusSearchQuery Output: Articles with labeled parameters and visualizations
|
3.2. Data Collection and PRISMA-Guided Screening
3.3. Text Preprocessing and Semantic Representation
| Algorithm 2: Clustering Algorithm |
| Input: document_embedding, cluster_number Output: clusters, coherence_metrics
|
3.4. Automated Cluster Discovery and Clustering
3.5. Human–Machine Validation and Parameter Construction
| Algorithm 3: Iterative Expert-Guided Parameter Refinement Algorithm |
| Input: cluster_set from coherence-based selection Output: Finalized refined_parameters and macro_parameters
|
3.6. Visualization for Analysis and Interpretation
4. Quantitative Analysis Results
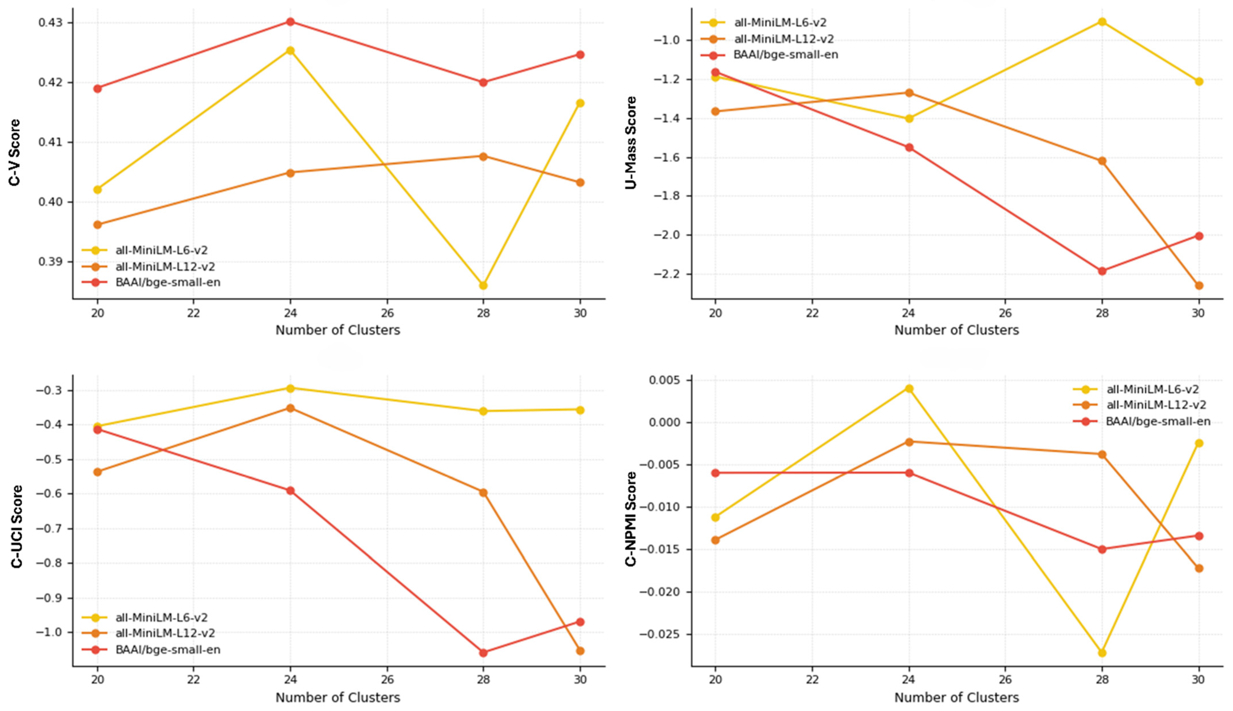
4.1. Selecting Number of Clusters
4.2. Establishing Clustering Stability
5. Disease Detection & Diagnostics
6. Treatment & Therapy Development
7. Patient Outcomes & Prognosis
8. Genetics & Genomics
9. Technological & Methodological Innovations
10. Datasets and ML Methods in Leukemia
10.1. Key Datasets in Leukemia Research
| Dataset | Data Modality | Description | Usage/Applications |
|---|---|---|---|
| TCGA AML | Genomic & Clinical | Multi-omics database with AML genomic, epigenomic, and transcriptomic data from 200+ patients. | |
| TARGET | Genomic & Transcriptomic | Pediatric cancer dataset with gene expression and mutation data for ALL and AML. |
|
| GEO GSE6891 GSE7186 | Genomic | Gene expression datasets for AML and ALL (e.g., GSE6891, GSE7186). | |
| NCBI Leukemia | Genomic & Clinical | Provides genomic, biochemical, and molecular data essential for leukemia research. | |
| ALL-IDB | Image | Blood cell images dataset for ALL diagnosis. | |
| TCIA | Image | Public repository of cancer-related medical imaging, including leukemia datasets. | |
| BCCD | Image | Dataset with 364 images and 4888 labeled WBC, RBC, and platelet objects. | |
| LISC | Image | Blood cell images for WBC segmentation and classification. | |
| CNMC Leukemia | Image | Contains 15,114 microscopic images of WBC across two classes. | |
| GDSC | Drug-Gene Interactions | Genomic and drug sensitivity data from cancer cell lines, including leukemia. | |
| ClinicalTrials.gov | Clinical Trial Data | Clinical trials database covering leukemia and other malignancies. |
10.2. Widely Used ML Methodes for Leukemia Research
10.3. High-Performing ML Methods for Leukemia
11. Discussion
11.1. Synthesis of Key Findings Across Domains
11.1.1. Holistic Diagnostic Improvements and Early Intervention
11.1.2. Linking Genetic Insights to Tailored Treatment
11.1.3. From Drug Discovery to Personalized Therapeutics
11.1.4. Elevating Prognosis and Long-Term Patient Management
11.1.5. Technological Convergence and Methodological Innovation
11.1.6. Systems-Level Interpretation and Cross-Validation
11.2. Challenges and Future Directions
11.2.1. Data Quality and Integration
11.2.2. Personalized Medicine and Treatment Adaptation
11.2.3. Interdisciplinary Collaboration and Integration
11.2.4. Model Interpretability and Ethical Concerns
11.2.5. Translational and Clinical Considerations in Leukemia Research
11.2.6. The Road Ahead
11.3. Theoretical and Practical Implications
11.4. Limitations
12. Conclusions
Author Contributions
Funding
Data Availability Statement
Conflicts of Interest
Abbreviations
| AI | Artificial Intelligence | UMAP | Uniform Manifold Approximation and Projection |
| ALCL | Anaplastic Large Cell Lymphoma | lncRNAs | Long Non-Coding RNAs |
| ALL | Acute Lymphoblastic Leukemia | LR | Logistic Regression |
| AML | Acute Myeloid Leukemia | LVTrees | Hybrid Logistic Vector Trees |
| APL | Acute Promyelocytic Leukemia | MDS | Myelodysplastic Syndromes |
| AUC | Area Under the Curve | ML | Machine Learning |
| BCCD | Blood Cell Count Dataset | MRD | Minimal Residual Disease |
| CAD | Computer-Aided Diagnosis | NCBI | National Center for Biotechnology Information |
| CLL | Chronic Lymphocytic Leukemia | PBS | Peripheral Blood Smear |
| CML | Chronic Myeloid Leukemia | PET | Positron Emission Tomography |
| CMML | Chronic Myelomonocytic Leukemia | PRISMA | Preferred Reporting Items for Systematic Reviews and Meta-Analyses |
| CNN | Convolutional Neural Networks | RBCs | Red Blood Cells |
| CRS | Cytokine Release Syndrome | RE | Representation Entropy |
| CT | Computed Tomography | RF | Random Forest |
| c-TF-IDF | Class-Based Term Frequency–Inverse Document Frequency | RPPA | Reverse-Phase Protein Arrays |
| DL | Deep Learning | R-IPSS | Revised International Prognostic Scoring System |
| GDSC | Genomics of Drug Sensitivity in Cancer | RR | Relative Redundancy |
| GEO | Gene Expression Omnibus | SERS | Surface-Enhanced Raman Scattering |
| GFNB | Gini Index-Based Fuzzy Naive Bayes | SLR | Systematic Literature Review |
| GvHD | Graft-Versus-Host Disease | SNF | Similarity Network Fusion |
| HDBSCAN | Hierarchical Density-Based Spatial Clustering of Applications with Noise | SVM | Support Vector Machine |
| HSCT | Hematopoietic Stem Cell Transplantation | TARGET | Therapeutically Applicable Research to Generate Effective Treatments |
| ICANS | Immune Effector Cell Associated Neurotoxicity Syndrome | TCGA | The Cancer Genome Atlas |
| IDB | Image Database | TCIA | The Cancer Imaging Archive |
| KNN | K-Nearest Neighbors | TKI | Tyrosine Kinase Inhibitor |
| LISC | Leukocyte Image Segmentation and Classification | WBC | White Blood Cells |
| MMR | Maximal Marginal Relevance | XGBoost | Extreme Gradient Boosting |
| ncRNAs | Non-Coding RNAs | XAI | Explainable AI |
References
- Jurkowska, H.; Wróbel, M.; Jasek-Gajda, E.; Rydz, L. Sulfurtransferases and Cystathionine Beta-Synthase Expression in Different Human Leukemia Cell Lines. Biomolecules 2022, 12, 148. [Google Scholar] [CrossRef]
- Hu, C.; Chen, W.; Zhang, P.; Shen, T.; Xu, M. Global, Regional, and National Burden of Leukemia: Epidemiological Trends Analysis from 1990 to 2021. PLoS ONE 2025, 20, e0325937. [Google Scholar] [CrossRef]
- PDQ Adult Treatment Editorial Board. Acute Lymphoblastic Leukemia Treatment (PDQ®). In PDQ Cancer Information Summaries; National Cancer Institute: Bethesda, MD, USA, 2025. [Google Scholar]
- Biswal, S.; Godnaik, C. Incidence and Management of Infections in Patients with Acute Leukemia Following Chemotherapy in General Wards. Ecancermedicalscience 2013, 7, 310. [Google Scholar] [CrossRef] [PubMed]
- Bray, F.; Laversanne, M.; Sung, H.; Ferlay, J.; Siegel, R.L.; Soerjomataram, I.; Jemal, A. Global Cancer Statistics 2022: GLOBOCAN Estimates of Incidence and Mortality Worldwide for 36 Cancers in 185 Countries. CA Cancer J. Clin. 2024, 74, 229–263. [Google Scholar] [CrossRef] [PubMed]
- Kuwaiti, A.; Nazer, A.; Al-Reedy, K.; Al-Shehri, A.; Al-Muhanna, S.; Subbarayalu, A.; Al Muhanna, A.V.; Al-Muhanna, D.; Al Kuwaiti, A.; Nazer, K.; et al. A Review of the Role of Artificial Intelligence in Healthcare. J. Pers. Med. 2023, 13, 951. [Google Scholar] [CrossRef] [PubMed]
- Pratiwi, L.; Mashudi, F.H.; Ningtyas, M.C.; Sutanto, H.; Romadhon, P.Z. Genetic Profiling of Acute and Chronic Leukemia via Next-Generation Sequencing: Current Insights and Future Perspectives. Hematol. Rep. 2025, 17, 18. [Google Scholar] [CrossRef] [PubMed]
- El Alaoui, Y.; Elomri, A.; Qaraqe, M.; Padmanabhan, R.; Taha, R.Y.; El Omri, H.; EL Omri, A.; Aboumarzouk, O. A Review of Artificial Intelligence Applications in Hematology Management: Current Practices and Future Prospects. J. Med. Internet Res. 2022, 24, e36490. [Google Scholar] [CrossRef]
- Raina, R.; Gondhi, N.K.; Chaahat; Singh, D.; Kaur, M.; Lee, H.N. A Systematic Review on Acute Leukemia Detection Using Deep Learning Techniques. Arch. Comput. Methods Eng. 2023, 30, 251–270. [Google Scholar] [CrossRef]
- Ur Rahman, S.I.; Abbas, N.; Ali, S.; Salman, M.; Alkhayat, A.; Khan, J.; Hussain, D.; Gu, Y.H. Deep Learning and Artificial Intelligence-Driven Advanced Methods for Acute Lymphoblastic Leukemia Identification and Classification: A Systematic Review. Comput. Model. Eng. Sci. 2025, 142, 1199–1231. [Google Scholar] [CrossRef]
- Aria, M.; Javanmard, Z.; Pishdad, D.; Jannesari, V.; Keshvari, M.; Arastonejad, M.; Safdari, R.; Akbari, M.E. Towards Diagnostic Intelligent Systems in Leukemia Detection and Classification: A Systematic Review and Meta-Analysis. J. Evid. Based Med. 2025, 18, e70005. [Google Scholar] [CrossRef] [PubMed]
- Aby, A.E.; Salaji, S.; Anilkumar, K.K.; Rajan, T. A Review on Leukemia Detection and Classification Using Artificial Intelligence-Based Techniques. Comput. Electr. Eng. 2024, 118, 109446. [Google Scholar] [CrossRef]
- Ghaderzadeh, M.; Asadi, F.; Hosseini, A.; Bashash, D.; Abolghasemi, H.; Roshanpour, A. Machine Learning in Detection and Classification of Leukemia Using Smear Blood Images: A Systematic Review. Sci. Program. 2021, 2021, 9933481. [Google Scholar] [CrossRef]
- Ram, M.; Afrash, M.R.; Moulaei, K.; Parvin, M.; Esmaeeli, E.; Karbasi, Z.; Heydari, S.; Sabahi, A. Application of Artificial Intelligence in Chronic Myeloid Leukemia (CML) Disease Prediction and Management: A Scoping Review. BMC Cancer 2024, 24, 1026. [Google Scholar] [CrossRef]
- Stagno, F.; Russo, S.; Murdaca, G.; Mirabile, G.; Alvaro, M.E.; Nasso, M.E.; Zemzem, M.; Gangemi, S.; Allegra, A. Utilization of Machine Learning in the Prediction, Diagnosis, Prognosis, and Management of Chronic Myeloid Leukemia. Int. J. Mol. Sci. 2025, 26, 2535. [Google Scholar] [CrossRef]
- Găman, M.-A.; Dugăe¸sescu, M.; Popescu, D.C.; Găman, M.-A.; Dugăe¸sescu, M.D.; Drago¸s, D.; Popescu, C. Applications of Artificial Intelligence in Acute Promyelocytic Leukemia: An Avenue of Opportunities? A Systematic Review. J. Clin. Med. 2025, 14, 1670. [Google Scholar] [CrossRef]
- Elhadary, M.; Elsabagh, A.A.; Ferih, K.; Elsayed, B.; Elshoeibi, A.M.; Kaddoura, R.; Akiki, S.; Ahmed, K.; Yassin, M. Applications of Machine Learning in Chronic Myeloid Leukemia. Diagnostics 2023, 13, 1330. [Google Scholar] [CrossRef]
- Shah, A.; Naqvi, S.S.; Naveed, K.; Salem, N.; Khan, M.A.U.; Alimgeer, K.S. Automated Diagnosis of Leukemia: A Comprehensive Review. IEEE Access 2021, 9, 132097–132124. [Google Scholar] [CrossRef]
- Bernardi, S.; Vallati, M.; Gatta, R. Artificial Intelligence-Based Management of Adult Chronic Myeloid Leukemia: Where Are We and Where Are We Going? Cancers 2024, 16, 848. [Google Scholar] [CrossRef] [PubMed]
- Al-Obeidat, F.; Hafez, W.; Rashid, A.; Jallo, M.K.; Gador, M.; Cherrez-Ojeda, I.; Simancas-Racines, D. Artificial Intelligence for the Detection of Acute Myeloid Leukemia from Microscopic Blood Images; a Systematic Review and Meta-Analysis. Front. Big Data 2024, 7, 1402926. [Google Scholar] [CrossRef]
- Alghamdi, S.; Mehmood, R.; Alqurashi, F.; Alzahrani, A. Paving the Roadmap for XAI and IML in Healthcare: Data-Driven Discoveries and the FIXAIH Framework. SSRN Preprint 2025. [Google Scholar] [CrossRef]
- Achir, A.; Debbarh, I.; Zoubir, N.; Battas, I.; Medromi, H.; Moutaouakkil, F. Advances in Leukemia Detection and Classification: A Systematic Review of AI and Image Processing Techniques. F1000Research 2024, 13, 1536. [Google Scholar] [CrossRef]
- Aydin, F. Artificial Intelligence as Applied to Leukemia Research: A Dual Approach of Literature Review and Bibliometric Exploration. Yeditepe J. Health Sci. 2025, 1, 10–22. [Google Scholar] [CrossRef]
- Alsaigh, R.; Mehmood, R.; Katib, I.; Yigitcanlar, T. Governing AI in Society: Explainable Analysis of Research Using The PEARL Methodology, The Frame-AI Framework, and Regulatory Alignment Gaps. SSRN 2026. [Google Scholar] [CrossRef]
- Anilkumar, K.K.; Manoj, V.J.; Sagi, T.M. A Review on Computer Aided Detection and Classification of Leukemia. Multimed. Tools Appl. 2024, 83, 17961–17981. [Google Scholar] [CrossRef]
- Elhadary, M.; Elshoeibi, A.M.; Badr, A.; Elsayed, B.; Metwally, O.; Elshoeibi, A.M.; Mattar, M.; Alfarsi, K.; AlShammari, S.; Alshurafa, A.; et al. Revolutionizing Chronic Lymphocytic Leukemia Diagnosis: A Deep Dive into the Diverse Applications of Machine Learning. Blood Rev. 2023, 62, 101134. [Google Scholar] [CrossRef]
- Alhajahjeh, A.; Nazha, A. Unlocking the Potential of Artificial Intelligence in Acute Myeloid Leukemia and Myelodysplastic Syndromes. Curr. Hematol. Malig. Rep. 2024, 19, 9–17. [Google Scholar] [CrossRef]
- Alharthi, R.; Mehmood, R.; Albeshri, A. A Scopus Dataset for Systematic and AI-Based Analysis of AI Research in Leukemia. Mendeley Data 2026, 1. [Google Scholar] [CrossRef]
- McKinney, W. Data Structures for Statistical Computing in Python. Scipy 2010, 445, 51–56. [Google Scholar] [CrossRef]
- Bird, S. Edward Loper and Ewan Klein GitHub-Nltk/Nltk: NLTK Source. Available online: https://github.com/nltk/nltk (accessed on 13 May 2025).
- Pretrained Models—Sentence Transformers Documentation. Available online: https://www.sbert.net/docs/sentence_transformer/pretrained_models.html (accessed on 18 September 2025).
- Grootendorst, M. BERTopic: Neural Topic Modeling with a Class-Based TF-IDF Procedure. arXiv 2022, arXiv:2203.05794. [Google Scholar]
- 5. c-TF-IDF-BERTopic. Available online: https://maartengr.github.io/BERTopic/api/ctfidf.html (accessed on 13 May 2025).
- Hunter, J.D. Matplotlib: A 2D Graphics Environment. Comput. Sci. Eng. 2007, 9, 90–95. [Google Scholar] [CrossRef]
- Seaborn. Heatmap—Seaborn 0.13.2 Documentation. Available online: https://seaborn.pydata.org/generated/seaborn.heatmap.html (accessed on 13 May 2025).
- Muennighoff, N.; Tazi, N.; Magne, L.; Reimers, N. MTEB: Massive Text Embedding Benchmark. In Proceedings of the 17th Conference of the European Chapter of the Association for Computational Linguistics, Dubrovnik, Croatia, 2–6 May 2023; Association for Computational Linguistics: Stroudsburg, PA, USA, 2023; pp. 2014–2037. [Google Scholar] [CrossRef]
- Chacón, J.E.; Rastrojo, A.I. Minimum Adjusted Rand Index for Two Clusterings of a given Size. Adv. Data Anal. Classif. 2023, 17, 125–133. [Google Scholar] [CrossRef]
- Ratheesh, S.; Breethi, A.A. Deep Learning Based Non-Local k-Best Renyi Entropy for Classification of White Blood Cell Subtypes. Biomed. Signal Process. Control 2024, 90, 105812. [Google Scholar] [CrossRef]
- Ikechukwu, A.V.; Murali, S. I-Net: A Deep CNN Model for White Blood Cancer Segmentation and Classification. Int. J. Adv. Technol. Eng. Explor. 2022, 9, 1448–1464. [Google Scholar] [CrossRef]
- Saidani, O.; Umer, M.; Alturki, N.; Alshardan, A.; Kiran, M.; Alsubai, S.; Kim, T.H.; Ashraf, I. White Blood Cells Classification Using Multi-Fold Pre-Processing and Optimized CNN Model. Sci. Rep. 2024, 14, 3570. [Google Scholar] [CrossRef] [PubMed]
- Mohamed, H.; Elsheref, F.K.; Kamal, S.R. A New Model for Blood Cancer Classification Based on Deep Learning Techniques. Int. J. Adv. Comput. Sci. Appl. 2023, 14, 422–429. [Google Scholar] [CrossRef]
- Ramesh, G.; Thouti, S. Study of Machine Learning Algorithms on Early Detection of Leukemia. E3S Web Conf. 2024, 472, 03013. [Google Scholar] [CrossRef]
- Wang, Y.; Ma, R.; Ma, X.; Cui, H.; Xiao, Y.; Wu, X.; Zhou, Y. Shape-Aware Fine-Grained Classification of Erythroid Cells. Appl. Intell. 2023, 53, 19115–19127. [Google Scholar] [CrossRef]
- Barrera, K.; Merino, A.; Molina, A.; Rodellar, J. Automatic Generation of Artificial Images of Leukocytes and Leukemic Cells Using Generative Adversarial Networks (Syntheticcellgan). Comput. Methods Programs Biomed. 2023, 229, 107314. [Google Scholar] [CrossRef]
- Khelil, H.; El Moumene Zerari, A.; Djerou, L. Accurate Diagnosis of Non-Hodgkin Lymphoma on Whole-Slide Images Using Deep Learning. In Proceedings of the 2022 IEEE 9th International Conference on Sciences of Electronics, Technologies of Information and Telecommunications, SETIT, Hammamet, Tunisia, 28–30 May 2022; pp. 447–451. [Google Scholar] [CrossRef]
- Zhang, Q.; Hu, Y.; Zhou, C.; Zhao, Y.; Zhang, N.; Zhou, Y.; Yang, Y.; Zheng, H.; Fan, W.; Liang, D.; et al. Reducing Pediatric Total-Body PET/CT Imaging Scan Time with Multimodal Artificial Intelligence Technology. EJNMMI Phys. 2024, 11, 1. [Google Scholar] [CrossRef]
- Pinochet, P.; Eude, F.; Becker, S.; Shah, V.; Sibille, L.; Toledano, M.N.; Modzelewski, R.; Vera, P.; Decazes, P. Evaluation of an Automatic Classification Algorithm Using Convolutional Neural Networks in Oncological Positron Emission Tomography. Front. Med. 2021, 8, 628179. [Google Scholar] [CrossRef]
- Chudobiński, C.; Świderski, B.; Antoniuk, I.; Kurek, J. Enhancements in Radiological Detection of Metastatic Lymph Nodes Utilizing AI-Assisted Ultrasound Imaging Data and the Lymph Node Reporting and Data System Scale. Cancers 2024, 16, 1564. [Google Scholar] [CrossRef]
- Steinbuss, G.; Kriegsmann, M.; Zgorzelski, C.; Brobeil, A.; Goeppert, B.; Dietrich, S.; Mechtersheimer, G.; Kriegsmann, K. Deep Learning for the Classification of Non-Hodgkin Lymphoma on Histopathological Images. Cancers 2021, 13, 2419. [Google Scholar] [CrossRef]
- Zhang, X.; Zhang, K.; Jiang, M.; Yang, L. Research on the Classification of Lymphoma Pathological Images Based on Deep Residual Neural Network. Technol. Health Care 2021, 29, S335–S344. [Google Scholar] [CrossRef]
- Çelebi, F.; Tasdemir, K.; Icoz, K. Deep Learning Based Semantic Segmentation and Quantification for MRD Biochip Images. Biomed. Signal Process. Control 2022, 77, 103783. [Google Scholar] [CrossRef]
- Sun, J.; Wang, L.; Liu, Q.; Tárnok, A.; Su, X. Deep Learning-Based Light Scattering Microfluidic Cytometry for Label-Free Acute Lymphocytic Leukemia Classification. Biomed. Opt. Express 2020, 11, 6674. [Google Scholar] [CrossRef] [PubMed]
- Li, Z.; Zhang, X.; Peng, J.; Su, X. Automatic Classification of Leukemic Cells by Label-Free Light-Sheet Flow Cytometry with Machine Learning. In Proceedings of the 2021 Optoelectronics Global Conference, OGC, Shenzhen, China, 15–18 September 2021; pp. 217–220. [Google Scholar] [CrossRef]
- Yellen, B.B.; Zawistowski, J.S.; Czech, E.A.; Sanford, C.I.; SoRelle, E.D.; Luftig, M.A.; Forbes, Z.G.; Wood, K.C.; Hammerbacher, J. Massively Parallel Quantification of Phenotypic Heterogeneity in Single-Cell Drug Responses. Sci. Adv. 2021, 7, eabf9840. [Google Scholar] [CrossRef] [PubMed]
- Wang, L.; Liu, Q.; Xie, L.; Shao, C.; Su, X. Automatic Characterization of Leukemic Cells with 2D Light Scattering Static Cytometry. In Proceedings of the 2017 Chinese Automation Congress, CAC, Jinan, China, 20–22 October 2017; pp. 5925–5928. [Google Scholar] [CrossRef]
- Laskowska, P.; Mrowka, P.; Glodkowska-Mrowka, E. Raman Spectroscopy as a Research and Diagnostic Tool in Clinical Hematology and Hematooncology. Int. J. Mol. Sci. 2024, 25, 3376. [Google Scholar] [CrossRef]
- Leszczenko, P.; Nowakowska, A.M.; Jakubowska, J.; Pastorczak, A.; Zabczynska, M.; Mlynarski, W.; Baranska, M.; Ostrowska, K.; Majzner, K. Raman Spectroscopy Can Recognize the KMT2A Rearrangement as a Distinct Subtype of Leukemia. Spectrochim. Acta A Mol. Biomol. Spectrosc. 2024, 314, 124173. [Google Scholar] [CrossRef]
- Xiong, C.C.; Zhu, S.S.; Yan, D.H.; Yao, Y.D.; Zhang, Z.; Zhang, G.J.; Chen, S. Rapid and Precise Detection of Cancers via Label-Free SERS and Deep Learning. Anal. Bioanal. Chem. 2023, 415, 3449–3462. [Google Scholar] [CrossRef]
- Anjikar, A.; Iwasaki, K.; Paneerselvam, R.; Hole, A.; Chilakapati, M.K.; Noothalapati, H.; Dutt, S.; Yamamoto, T. Discernable Machine Learning Methods for Raman Micro-Spectroscopic Stratification of Mitoxantrone-Induced Drug-Resistant Cells in Acute Myeloid Leukemia. J. Raman Spectrosc. 2024, 55, 882–890. [Google Scholar] [CrossRef]
- Lin, X.; Lin, D.; Chen, Y.; Lin, J.; Weng, S.; Song, J.; Feng, S. High Throughput Blood Analysis Based on Deep Learning Algorithm and Self-Positioning Super-Hydrophobic SERS Platform for Non-Invasive Multi-Disease Screening. Adv. Funct. Mater. 2021, 31, 2103382. [Google Scholar] [CrossRef]
- Perumalraja, R.; Felcia Logan’s Deshna, B.; Swetha, N. Statistical Performance Review on Diagnosis of Leukemia, Glaucoma and Diabetes Mellitus Using AI. Stat. Med. 2024, 43, 1227–1237. [Google Scholar] [CrossRef]
- Ebolo, S.U.J.; Makinde, O.S.; Mpinda, B.N. Classification Analysis of Some Cancer Types Using Machine Learning. In Safe, Secure, Ethical, Responsible Technologies and Emerging Applications; Springer: Cham, Switzerland, 2024; Volume 566, pp. 216–233. [Google Scholar] [CrossRef]
- Shahin, M.; Chen, F.F.; Hosseinzadeh, A.; Maghanaki, M. Deploying Deep Convolutional Neural Network to the Battle against Cancer: Towards Flexible Healthcare Systems. Inform. Med. Unlocked 2024, 47, 101494. [Google Scholar] [CrossRef]
- Flory, A.; Ruiz-Perez, C.A.; Clavere-Graciette, A.G.; Rafalko, J.M.; OKell, A.L.; Flesner, B.K.; McLennan, L.M.; Hicks, S.C.; Nakashe, P.; Phelps-Dunn, A.; et al. Clinical Validation of a Blood-Based Liquid Biopsy Test Integrating Cell-Free DNA Quantification and next-Generation Sequencing for Cancer Screening in Dogs. J. Am. Vet. Med. Assoc. 2024, 262, 665–673. [Google Scholar] [CrossRef] [PubMed]
- Han, B.; Ma, X.; Zhao, R.; Zhang, J.; Wei, X.; Liu, X.; Liu, X.; Zhang, C.; Tan, C.; Jiang, Y.; et al. Development and Experimental Test of Support Vector Machines Virtual Screening Method for Searching Src Inhibitors from Large Compound Libraries. Chem. Cent. J. 2012, 6, 139. [Google Scholar] [CrossRef] [PubMed]
- Chen, X.; Zhao, J.; Chen, R.; Shen, L.; Lu, J.; Guo, Y.; Chi, X.; Geng, S.; Zhang, Q.; Pan, Z.; et al. Identification and Assessment of New PIM2 Inhibitors for Treating Hematologic Cancers: A Combined Approach of Energy-Based Virtual Screening and Machine Learning Evaluation. Arch. Pharm. 2024, 357, e2300516. [Google Scholar] [CrossRef]
- Luo, Y.; Duan, G.; Zhao, Q.; Bi, X.; Wang, J. DTKGIN: Predicting Drug-Target Interactions Based on Knowledge Graph and Intent Graph. Methods 2024, 226, 21–27. [Google Scholar] [CrossRef]
- Liu, X.H.; Ma, X.H.; Tan, C.Y.; Jiang, Y.Y.; Go, M.L.; Low, B.C.; Chen, Y.Z. Virtual Screening of Bl Inhibitors from Large Compound Libraries by Support Vector Machines. J. Chem. Inf. Model. 2009, 49, 2101–2110. [Google Scholar] [CrossRef]
- To, K.K.W.; Cho, W.C. Drug Repurposing to Circumvent Immune Checkpoint Inhibitor Resistance in Cancer Immunotherapy. Pharmaceutics 2023, 15, 2166. [Google Scholar] [CrossRef] [PubMed]
- Chen, J.; Wang, X.; Ma, A.; Wang, Q.E.; Liu, B.; Li, L.; Xu, D.; Ma, Q. Deep Transfer Learning of Cancer Drug Responses by Integrating Bulk and Single-Cell RNA-Seq Data. Nat. Commun. 2022, 13, 6494. [Google Scholar] [CrossRef]
- Wang, C.; Xu, P.; Zhang, L.; Huang, J.; Zhu, K.; Luo, C. Current Strategies and Applications for Precision Drug Design. Front. Pharmacol. 2018, 9, 787. [Google Scholar] [CrossRef]
- Yu, L.; Zhou, D.; Gao, L.; Zha, Y. Prediction of Drug Response in Multilayer Networks Based on Fusion of Multiomics Data. Methods 2021, 192, 85–92. [Google Scholar] [CrossRef]
- Kuru, H.I.; Cicek, A.E.; Tastan, O. From Cell Lines to Cancer Patients: Personalized Drug Synergy Prediction. Bioinformatics 2022, 40, btae134. [Google Scholar] [CrossRef] [PubMed]
- de Camargo Magalhães, E.S.; Hubner, S.E.; Brown, B.D.; Qiu, Y.; Kornblau, S.M. Proteomics for Optimizing Therapy in Acute Myeloid Leukemia: Venetoclax plus Hypomethylating Agents versus Conventional Chemotherapy. Leukemia 2024, 38, 1046–1056. [Google Scholar] [CrossRef]
- Gerdes, H.; Casado, P.; Dokal, A.; Hijazi, M.; Akhtar, N.; Osuntola, R.; Rajeeve, V.; Fitzgibbon, J.; Travers, J.; Britton, D.; et al. Drug Ranking Using Machine Learning Systematically Predicts the Efficacy of Anti-Cancer Drugs. Nat. Commun. 2021, 12, 1850. [Google Scholar] [CrossRef]
- Tislevoll, B.S.; Hellesøy, M.; Fagerholt, O.H.E.; Gullaksen, S.E.; Srivastava, A.; Birkeland, E.; Kleftogiannis, D.; Ayuda-Durán, P.; Piechaczyk, L.; Tadele, D.S.; et al. Early Response Evaluation by Single Cell Signaling Profiling in Acute Myeloid Leukemia. Nat. Commun. 2023, 14, 115. [Google Scholar] [CrossRef]
- Nasimian, A.; Al Ashiri, L.; Ahmed, M.; Duan, H.; Zhang, X.; Rönnstrand, L.; Kazi, J.U. A Receptor Tyrosine Kinase Inhibitor Sensitivity Prediction Model Identifies AXL Dependency in Leukemia. Int. J. Mol. Sci. 2023, 24, 3830. [Google Scholar] [CrossRef] [PubMed]
- Shouval, R.; Bonifazi, F.; Fein, J.; Boschini, C.; Oldani, E.; Labopin, M.; Raimondi, R.; Sacchi, N.; Dabash, O.; Unger, R.; et al. Validation of the Acute Leukemia-EBMT Score for Prediction of Mortality Following Allogeneic Stem Cell Transplantation in a Multi-Center GITMO Cohort. Am. J. Hematol. 2017, 92, 429–434. [Google Scholar] [CrossRef] [PubMed]
- Suermondt, H.J.; Amylon, M.D. Probabilistic Prediction of the Outcome of Bone-Marrow Transplantation. Available online: https://www.scopus.com/record/display.uri?eid=2-s2.0-0024941349&origin=inward&txGid=c25fa1df26bbd7c07bdff3c82d38dbf7 (accessed on 24 November 2024).
- Lee, C.C.; Hsu, T.C.; Kuo, C.C.; Liu, M.A.; Abdelfattah, A.M.; Chang, C.N.; Yao, M.; Li, C.C.; Wu, K.H.; Chen, T.C.; et al. Validation of a Post-Transplant Lymphoproliferative Disorder Risk Prediction Score and Derivation of a New Prediction Score Using a National Bone Marrow Transplant Registry Database. Oncologist 2021, 26, e2034–e2041. [Google Scholar] [CrossRef] [PubMed]
- Webster, A.P.; Ecker, S.; Moghul, I.; Liu, X.; Dhami, P.; Marzi, S.; Paul, D.S.; Kuxhausen, M.; Lee, S.J.; Spellman, S.R.; et al. Donor Whole Blood DNA Methylation Is Not a Strong Predictor of Acute Graft versus Host Disease in Unrelated Donor Allogeneic Haematopoietic Cell Transplantation. Front. Genet. 2024, 15, 1242636. [Google Scholar] [CrossRef]
- Rowley, S.D.; Gunning, T.S.; Pelliccia, M.; Della Pia, A.; Lee, A.; Behrmann, J.; Bangolo, A.; Jandir, P.; Zhang, H.; Kaur, S.; et al. Using Targeted Transcriptome and Machine Learning of Pre- and Post-Transplant Bone Marrow Samples to Predict Acute Graft-versus-Host Disease and Overall Survival after Allogeneic Stem Cell Transplantation. Cancers 2024, 16, 1357. [Google Scholar] [CrossRef] [PubMed]
- Cuvelier, G.D.E.; Ng, B.; Abdossamadi, S.; Nemecek, E.R.; Melton, A.; Kitko, C.L.; Lewis, V.A.; Schechter, T.; Jacobsohn, D.A.; Harris, A.C.; et al. A Diagnostic Classifier for Pediatric Chronic Graft-versus-Host Disease: Results of the ABLE/PBMTC 1202 Study. Blood Adv. 2023, 7, 3612–3623. [Google Scholar] [CrossRef] [PubMed]
- Mehra, N.; Varmeziar, A.; Chen, X.; Kronick, O.; Fisher, R.; Kota, V.; Mitchell, C.S. Cross-Domain Text Mining to Predict Adverse Events from Tyrosine Kinase Inhibitors for Chronic Myeloid Leukemia. Cancers 2022, 14, 4686. [Google Scholar] [CrossRef]
- Pavlovsky, C.; Vasconcelos Cordoba, B.; Sanchez, M.B.; Moiraghi, B.; Varela, A.; Custidiano, R.; Fernandez, I.; Freitas, M.J.; Ventriglia, M.V.; Bendek, G.; et al. Elevated Plasma Levels of IL-6 and MCP-1 Selectively Identify CML Patients Who Better Sustain Molecular Remission After TKI Withdrawal. J. Hematol. Oncol. 2023, 16, 43. [Google Scholar] [CrossRef]
- Banjar, H.; Ranasinghe, D.; Brown, F.; Adelson, D.; Kroger, T.; Leclercq, T.; White, D.; Hughes, T.; Chaudhri, N. Modelling Predictors of Molecular Response to Frontline Imatinib for Patients with Chronic Myeloid Leukaemia. PLoS ONE 2017, 12, e0168947. [Google Scholar] [CrossRef]
- Krishnan, V.; Schmidt, F.; Nawaz, Z.; Venkatesh, P.N.; Lee, K.L.; Ren, X.; Chan, Z.E.; Yu, M.; Makheja, M.; Rayan, N.A.; et al. A Single-Cell Atlas Identifies Pretreatment Features of Primary Imatinib Resistance in Chronic Myeloid Leukemia. Blood 2023, 141, 2738–2755. [Google Scholar] [CrossRef] [PubMed]
- Wu, A.; Yen, R.; Grasedieck, S.; Lin, H.; Nakamoto, H.; Forrest, D.L.; Eaves, C.J.; Jiang, X. Identification of Multivariable MicroRNA and Clinical Biomarker Panels to Predict Imatinib Response in Chronic Myeloid Leukemia at Diagnosis. Leukemia 2023, 37, 2426–2435. [Google Scholar] [CrossRef]
- Zhong, F.M.; Yao, F.Y.; Yang, Y.L.; Liu, J.; Li, M.Y.; Jiang, J.Y.; Zhang, N.; Xu, Y.M.; Li, S.Q.; Cheng, Y.; et al. Molecular Subtypes Predict Therapeutic Responses and Identifying and Validating Diagnostic Signatures Based on Machine Learning in Chronic Myeloid Leukemia. Cancer Cell Int. 2023, 23, 61. [Google Scholar] [CrossRef]
- Dagar, G.; Gupta, A.; Masoodi, T.; Nisar, S.; Merhi, M.; Hashem, S.; Chauhan, R.; Dagar, M.; Mirza, S.; Bagga, P.; et al. Harnessing the Potential of CAR-T Cell Therapy: Progress, Challenges, and Future Directions in Hematological and Solid Tumor Treatments. J. Transl. Med. 2023, 21, 449. [Google Scholar] [CrossRef]
- Boretti, A. Improving Chimeric Antigen Receptor T-Cell Therapies by Using Artificial Intelligence and Internet of Things Technologies: A Narrative Review. Eur. J. Pharmacol. 2024, 974, 176618. [Google Scholar] [CrossRef]
- Eckhardt, C.A.; Sun, H.; Malik, P.; Quadri, S.; Santana Firme, M.; Jones, D.K.; van Sleuwen, M.; Jain, A.; Fan, Z.; Jing, J.; et al. Automated Detection of Immune Effector Cell-Associated Neurotoxicity Syndrome via Quantitative EEG. Ann. Clin. Transl. Neurol. 2023, 10, 1776–1789. [Google Scholar] [CrossRef]
- Wei, Z.; Xu, J.; Zhao, C.; Zhang, M.; Xu, N.; Kang, L.; Lou, X.; Yu, L.; Feng, W. Prediction of Severe CRS and Determination of Biomarkers in B Cell-Acute Lymphoblastic Leukemia Treated with CAR-T Cells. Front. Immunol. 2023, 14, 1273507. [Google Scholar] [CrossRef]
- Song, J.; Huang, F.M.; Chen, L.; Feng, K.Y.; Jian, F.; Huang, T.; Cai, Y.D. Identification of Methylation Signatures Associated with CAR T Cell in B-Cell Acute Lymphoblastic Leukemia and Non-Hodgkin’s Lymphoma. Front. Oncol. 2022, 12, 976262. [Google Scholar] [CrossRef]
- Pan, L.; Liu, G.; Lin, F.; Zhong, S.; Xia, H.; Sun, X.; Liang, H. Machine Learning Applications for Prediction of Relapse in Childhood Acute Lymphoblastic Leukemia. Sci. Rep. 2017, 7, 7402. [Google Scholar] [CrossRef]
- Velasco, P.; Bautista, F.; Rubio, A.; Aguilar, Y.; Rives, S.; Dapena, J.L.; Pérez, A.; Ramirez, M.; Saiz-Ladera, C.; Izquierdo, E.; et al. The Relapsed Acute Lymphoblastic Leukemia Network (ReALLNet): A Multidisciplinary Project from the Spanish Society of Pediatric Hematology and Oncology (SEHOP). Front. Pediatr. 2023, 11, 1269560. [Google Scholar] [CrossRef]
- Mosquera Orgueira, A.; Krali, O.; Pérez Míguez, C.; Peleteiro Raíndo, A.; Díaz Arias, J.Á.; González Pérez, M.S.; Pérez Encinas, M.M.; Fernández Sanmartín, M.; Sinnet, D.; Heyman, M.; et al. Refining Risk Prediction in Pediatric Acute Lymphoblastic Leukemia through DNA Methylation Profiling. Clin. Epigenetics 2024, 16, 49. [Google Scholar] [CrossRef]
- Fitter, S.; Bradey, A.L.; Kok, C.H.; Noll, J.E.; Wilczek, V.J.; Venn, N.C.; Law, T.; Paisitkriangkrai, S.; Story, C.; Saunders, L.; et al. CKLF and IL1B Transcript Levels at Diagnosis Are Predictive of Relapse in Children with Pre-B-Cell Acute Lymphoblastic Leukaemia. Br. J. Haematol. 2021, 193, 171–175. [Google Scholar] [CrossRef]
- Bohannan, Z.S.; Coffman, F.; Mitrofanova, A. Random Survival Forest Model Identifies Novel Biomarkers of Event-Free Survival in High-Risk Pediatric Acute Lymphoblastic Leukemia. Comput. Struct. Biotechnol. J. 2022, 20, 583–597. [Google Scholar] [CrossRef]
- Al-Hussaini, I.; White, B.; Varmeziar, A.; Mehra, N.; Sanchez, M.; Lee, J.; DeGroote, N.P.; Miller, T.P.; Mitchell, C.S. An Interpretable Machine Learning Framework for Rare Disease: A Case Study to Stratify Infection Risk in Pediatric Leukemia. J. Clin. Med. 2024, 13, 1788. [Google Scholar] [CrossRef]
- Kashef, A.; Khatibi, T.; Mehrvar, A. Prediction of Cranial Radiotherapy Treatment in Pediatric Acute Lymphoblastic Leukemia Patients Using Machine Learning: A Case Study at MAHAK Hospital. Asian Pac. J. Cancer Prev. 2020, 21, 3211–3219. [Google Scholar] [CrossRef]
- Borisov, N.; Sorokin, M.; Tkachev, V.; Garazha, A.; Buzdin, A. Cancer Gene Expression Profiles Associated with Clinical Outcomes to Chemotherapy Treatments. BMC Med. Genom. 2020, 13, 111. [Google Scholar] [CrossRef] [PubMed]
- Christopoulos, G.; Attia, Z.I.; Achenbach, S.J.; Rabe, K.G.; Call, T.G.; Ding, W.; Leis, J.F.; Muchtar, E.; Kenderian, S.S.; Wang, Y.; et al. Artificial Intelligence Electrocardiography to Predict Atrial Fibrillation in Patients with Chronic Lymphocytic Leukemia. JACC CardioOncol. 2024, 6, 251–263. [Google Scholar] [CrossRef]
- Kosvyra, A.; Maramis, C.; Chouvarda, I. A Data-Driven Approach to Build a Predictive Model of Cancer Patients’ Disease Outcome by Utilizing Co-Expression Networks. Comput. Biol. Med. 2020, 125, 103971. [Google Scholar] [CrossRef]
- Chen, D.; Goyal, G.; Go, R.S.; Parikh, S.A.; Ngufor, C.G. Improved Interpretability of Machine Learning Model Using Unsupervised Clustering: Predicting Time to First Treatment in Chronic Lymphocytic Leukemia. JCO Clin. Cancer Inform. 2019, 3, 1–11. [Google Scholar] [CrossRef]
- Abdollahi, N.; Jeusset, L.; De Septenville, A.L.; Ripoche, H.; Davi, F.; Bernardes, J.S. A Multi-Objective Based Clustering for Inferring BCR Clonal Lineages from High-Throughput B Cell Repertoire Data. PLoS Comput. Biol. 2022, 18, e1010411. [Google Scholar] [CrossRef]
- Halper-Stromberg, E.; McCall, C.M.; Haley, L.M.; Lin, M.T.; Vogt, S.; Gocke, C.D.; Eshleman, J.R.; Stevens, W.; Martinson, N.A.; Epeldegui, M.; et al. CloneRetriever: An Automated Algorithm to Identify Clonal B and T Cell Gene Rearrangements by Next-Generation Sequencing for the Diagnosis of Lymphoid Malignancies. Clin. Chem. 2021, 67, 1524–1533. [Google Scholar] [CrossRef]
- Gargiulo, E.; Teglgaard, R.S.; Faitova, T.; Niemann, C.U. Immune Dysfunction and Infection—Interaction between CLL and Treatment: A Reflection on Current Treatment Paradigms and Unmet Needs. Acta Haematol. 2024, 147, 86–100. [Google Scholar] [CrossRef] [PubMed]
- Subramaniam, N.; Bottek, J.; Thiebes, S.; Zec, K.; Kudla, M.; Soun, C.; Panal, E.D.D.; Lill, J.K.; Pfennig, A.; Herrmann, R.; et al. Proteomic and Bioinformatic Profiling of Neutrophils in CLL Reveals Functional Defects That Predispose to Bacterial Infections. Blood Adv. 2021, 5, 1259–1272. [Google Scholar] [CrossRef]
- Mosquera Orgueira, A.; Perez Encinas, M.M.; Diaz Varela, N.; Wang, Y.H.; Mora, E.; Diaz-Beya, M.; Montoro, M.J.; Pomares Marin, H.; Ramos Ortega, F.; Tormo, M.; et al. Validation of the Artificial Intelligence Prognostic Scoring System for Myelodysplastic Syndromes in Chronic Myelomonocytic Leukaemia: A Novel Approach for Improved Risk Stratification. Br. J. Haematol. 2024, 204, 1529–1535. [Google Scholar] [CrossRef] [PubMed]
- Mosquera Orgueira, A.; Perez Encinas, M.M.; Diaz Varela, N.A.; Mora, E.; Díaz-Beyá, M.; Montoro, M.J.; Pomares, H.; Ramos, F.; Tormo, M.; Jerez, A.; et al. Machine Learning Improves Risk Stratification in Myelodysplastic Neoplasms: An Analysis of the Spanish Group of Myelodysplastic Syndromes. Hemasphere 2023, 7, E961. [Google Scholar] [CrossRef]
- Duminuco, A.; Mosquera-Orgueira, A.; Nardo, A.; Di Raimondo, F.; Palumbo, G.A. AIPSS-MF Machine Learning Prognostic Score Validation in a Cohort of Myelofibrosis Patients Treated with Ruxolitinib. Cancer Rep. 2023, 6, e1881. [Google Scholar] [CrossRef]
- Mosquera-Orgueira, A.; Pérez-Encinas, M.; Hernández-Sánchez, A.; González-Martínez, T.; Arellano-Rodrigo, E.; Martínez-Elicegui, J.; Villaverde-Ramiro, Á.; Raya, J.M.; Ayala, R.; Ferrer-Marín, F.; et al. Machine Learning Improves Risk Stratification in Myelofibrosis: An Analysis of the Spanish Registry of Myelofibrosis. Hemasphere 2023, 7, E818. [Google Scholar] [CrossRef]
- Faucheux, L.; Bassolli de Oliveira Alves, L.; Chevret, S.; Rocha, V. Comparison of Characteristics and Laboratory Tests of COVID-19 Hematological Patients from France and Brazil during the Pre-Vaccination Period: Identification of Prognostic Profiles for Survival. Hematol. Transfus. Cell Ther. 2023, 45, 306–316. [Google Scholar] [CrossRef]
- Assi, T.; Samra, B.; Dercle, L.; Rassy, E.; Kattan, J.; Ghosn, M.; Houot, R.; Ammari, S. Screening Strategies for COVID-19 in Patients with Hematologic Malignancies. Front. Oncol. 2020, 10, 1267. [Google Scholar] [CrossRef]
- Arévalo-Lorido, J.C.; Carretero-Gómez, J.; Casas-Rojo, J.M.; Antón-Santos, J.M.; Melero-Bermejo, J.A.; López-Carmona, M.D.; Palacios, L.C.; Sanz-Cánovas, J.; Pesqueira-Fontán, P.M.; de la Peña-Fernández, A.A.; et al. The Importance of Association of Comorbidities on COVID-19 Outcomes: A Machine Learning Approach. Curr. Med. Res. Opin. 2022, 38, 501–510. [Google Scholar] [CrossRef] [PubMed]
- Rodríguez-Belenguer, P.; Piñana, J.L.; Sánchez-Montañés, M.; Soria-Olivas, E.; Martínez-Sober, M.; Serrano-López, A.J. A Machine Learning Approach to Identify Groups of Patients with Hematological Malignant Disorders. Comput. Methods Programs Biomed. 2024, 246, 108011. [Google Scholar] [CrossRef]
- Ilyas, M.; Aamir, K.M.; Manzoor, S.; Deriche, M. Linear Programming Based Computational Technique for Leukemia Classification Using Gene Expression Profile. PLoS ONE 2023, 18, e0292172. [Google Scholar] [CrossRef] [PubMed]
- Tasnim, A.; Islam, B. Analysis of Different Feature Selection Techniques on Different Machine Learning Approaches to Classify Leukemia Subclasses. In Proceedings of the 2022 IEEE International Women in Engineering (WIE) Conference on Electrical and Computer Engineering (WIECON-ECE 2022); IEEE: Piscataway, NJ, USA, 2022; pp. 36–40. [Google Scholar] [CrossRef]
- Al-Azani, S.; Alkhnbashi, O.S.; Ramadan, E.; Alfarraj, M. Gene Expression-Based Cancer Classification for Handling the Class Imbalance Problem and Curse of Dimensionality. Int. J. Mol. Sci. 2024, 25, 2102. [Google Scholar] [CrossRef]
- Aziz, R.; Verma, C.K.; Srivastava, N. A Fuzzy Based Feature Selection from Independent Component Subspace for Machine Learning Classification of Microarray Data. Genom. Data 2016, 8, 4–15. [Google Scholar] [CrossRef]
- Ganesh, S.; Nachimuthu, M. Improving Cancer Classification Using Deep Reinforcement Learning with Convolutional LSTM Networks. Rev. D’intelligence Artif. 2023, 37, 1367–1376. [Google Scholar] [CrossRef]
- Sahu, B.; Dash, S. Multi-Filter Wrapper Enhanced Machine Learning Model for Cancer Diagnosis. In Intelligent Systems and Machine Learning; Springer: Cham, Switzerland, 2023; Volume 470, pp. 64–78. [Google Scholar] [CrossRef]
- Mohapatra, P.; Chakravarty, S.; Dash, P.K. Microarray Medical Data Classification Using Kernel Ridge Regression and Modified Cat Swarm Optimization Based Gene Selection System. Swarm Evol. Comput. 2016, 28, 144–160. [Google Scholar] [CrossRef]
- Patel, N.; Passi, K.; Jain, C.K. Improving Prediction Accuracy of Microarray Cancer Data with Non-Negative Matrix Factorization and Its Variant. In Proceedings of the 2020 IEEE International Conference on Bioinformatics and Biomedicine, BIBM, Seoul, Republic of Korea, 16–19 December 2020; pp. 2227–2234. [Google Scholar] [CrossRef]
- Ha, V.S.; Nguyen, H.N. C-KPCA: Custom Kernel PCA for Cancer Classification. In Machine Learning and Data Mining in Pattern Recognition; Lecture Notes in Computer Science (Including Subseries Lecture Notes in Artificial Intelligence and Lecture Notes in Bioinformatics); Springer: Cham, Switzerland, 2016; Volume 9729, pp. 459–467. [Google Scholar] [CrossRef]
- Niijima, S.; Kuhara, S. Recursive Gene Selection Based on Maximum Margin Criterion: A Comparison with SVM-RFE. BMC Bioinform. 2006, 7, 543. [Google Scholar] [CrossRef]
- Bhadra, T.; Mallik, S.; Hasan, N.; Zhao, Z. Comparison of Five Supervised Feature Selection Algorithms Leading to Top Features and Gene Signatures from Multi-Omics Data in Cancer. BMC Bioinform. 2022, 23, 153. [Google Scholar] [CrossRef] [PubMed]
- Bell, C.G. Epigenomic Insights into Common Human Disease Pathology. Cell. Mol. Life Sci. 2024, 81, 178. [Google Scholar] [CrossRef] [PubMed]
- Wang, Y.; Liu, T.; Xu, D.; Shi, H.; Zhang, C.; Mo, Y.Y.; Wang, Z. Predicting DNA Methylation State of CpG Dinucleotide Using Genome Topological Features and Deep Networks. Sci. Rep. 2016, 6, 19598. [Google Scholar] [CrossRef] [PubMed]
- Moon, I.; LoPiccolo, J.; Baca, S.C.; Sholl, L.M.; Kehl, K.L.; Hassett, M.J.; Liu, D.; Schrag, D.; Gusev, A. Machine Learning for Genetics-Based Classification and Treatment Response Prediction in Cancer of Unknown Primary. Nat. Med. 2023, 29, 2057–2067. [Google Scholar] [CrossRef]
- Ivanovic, S.; El-Kebir, M. Modeling and Predicting Cancer Clonal Evolution with Reinforcement Learning. Genome Res. 2023, 33, 1078–1088. [Google Scholar] [CrossRef]
- Michuda, J.; Breschi, A.; Kapilivsky, J.; Manghnani, K.; McCarter, C.; Hockenberry, A.J.; Mineo, B.; Igartua, C.; Dudley, J.T.; Stumpe, M.C.; et al. Validation of a Transcriptome-Based Assay for Classifying Cancers of Unknown Primary Origin. Mol. Diagn. Ther. 2023, 27, 499–511. [Google Scholar] [CrossRef]
- Liu, J.; Ma, R.; Chen, S.; Lai, Y.; Liu, G. Anoikis Patterns via Machine Learning Strategy and Experimental Verification Exhibit Distinct Prognostic and Immune Landscapes in Melanoma. Clin. Transl. Oncol. 2024, 26, 1170–1186. [Google Scholar] [CrossRef]
- Li, C.; Mao, X.; Song, L.; Sheng, J.; Yang, L.; Huang, X.; Wang, L. Unveiling HOXB7 as a Novel Diagnostic and Prognostic Biomarker through Pan-Cancer Computer Screening. Comput. Biol. Med. 2024, 176, 108562. [Google Scholar] [CrossRef] [PubMed]
- Ye, Z.; Wang, X.K.; Lv, Y.H.; Wang, X.; Cui, Y.C. The Integrated Analysis Identifies Three Critical Genes as Novel Diagnostic Biomarkers Involved in Immune Infiltration in Atherosclerosis. Front. Immunol. 2022, 13, 905921. [Google Scholar] [CrossRef] [PubMed]
- Ghosh, D.; Ding, L.; Bernstein, J.A.; Mersha, T.B. The Utility of Resolving Asthma Molecular Signatures Using Tissue-Specific Transcriptome Data. G3 Genes Genomes Genet. 2020, 10, 4049–4062. [Google Scholar] [CrossRef] [PubMed]
- Park, S.; Kim, T.Y.; Cho, B.S.; Kwag, D.; Lee, J.M.; Kim, M.; Kim, Y.; Koo, J.; Raman, A.; Kim, T.K.; et al. Prognostic Value of European LeukemiaNet 2022 Criteria and Genomic Clusters Using Machine Learning in Older Adults with Acute Myeloid Leukemia. Haematologica 2024, 109, 1095–1106. [Google Scholar] [CrossRef]
- Cheng, Y.; Yang, X.; Wang, Y.; Li, Q.; Chen, W.; Dai, R.; Zhang, C. Multiple Machine-Learning Tools Identifying Prognostic Biomarkers for Acute Myeloid Leukemia. BMC Med. Inform. Decis. Mak. 2024, 24, 2. [Google Scholar] [CrossRef]
- Zhong, F.; Yao, F.; Jiang, J.; Yu, X.; Liu, J.; Huang, B.; Wang, X. CD8 + T Cell-Based Molecular Subtypes with Heterogeneous Immune Landscapes and Clinical Significance in Acute Myeloid Leukemia. Inflamm. Res. 2024, 73, 329–344. [Google Scholar] [CrossRef]
- Wang, X.; Sun, H.; Dong, Y.; Huang, J.; Bai, L.; Tang, Z.; Liu, S.; Chen, S. Development and Validation of a Cuproptosis-Related Prognostic Model for Acute Myeloid Leukemia Patients Using Machine Learning with Stacking. Sci. Rep. 2024, 14, 2802. [Google Scholar] [CrossRef]
- Jiang, C.; Jiang, W.; Liu, P.; Sun, W.; Teng, W. Exploring the Relationship between Immune Heterogeneity Characteristic Genes of Rheumatoid Arthritis and Acute Myeloid Leukemia. Discov. Oncol. 2024, 15, 1. [Google Scholar] [CrossRef]
- Liu, C.; Wu, S.; Jiang, D.; Yu, Z.; Wong, H.S. View-Aware Collaborative Learning for Survival Prediction and Subgroup Identification. IEEE Trans. Biomed. Eng. 2023, 70, 307–317. [Google Scholar] [CrossRef] [PubMed]
- Huo, Z.; Zhu, L.; Ma, T.; Liu, H.; Han, S.; Liao, D.; Zhao, J.; Tseng, G. Two-Way Horizontal and Vertical Omics Integration for Disease Subtype Discovery. Stat. Biosci. 2020, 12, 1–22. [Google Scholar] [CrossRef]
- Chen, L.; Xu, J.; Li, S.C. DeepMF: Deciphering the Latent Patterns in Omics Profiles with a Deep Learning Method. BMC Bioinform. 2019, 20, 648. [Google Scholar] [CrossRef]
- Verbeek, M.W.C.; van der Velden, V.H.J. The Evolving Landscape of Flowcytometric Minimal Residual Disease Monitoring in B-Cell Precursor Acute Lymphoblastic Leukemia. Int. J. Mol. Sci. 2024, 25, 4881. [Google Scholar] [CrossRef]
- Shopsowitz, K.; Lofroth, J.; Chan, G.; Kim, J.; Rana, M.; Brinkman, R.; Weng, A.; Medvedev, N.; Wang, X. MAGIC-DR: An Interpretable Machine-Learning Guided Approach for Acute Myeloid Leukemia Measurable Residual Disease Analysis. Cytom. B Clin. Cytom. 2024, 106, 239–251. [Google Scholar] [CrossRef]
- Gross, Z.; Veyrat-Masson, R.; Grange, B.; Huet, S.; Verney, A.; Traverse-Glehen, A.; Ruminy, P.; Baseggio, L. Diagnosis of Chronic B-Cell Lymphoproliferative Disease in Peripheral Blood = How Machine Learning May Help to the Interpretation of Flow Cytometry Data. Hematol. Oncol. 2024, 42, e3245. [Google Scholar] [CrossRef] [PubMed]
- Li, J.L.; Chang, T.Y.; Wang, Y.F.; Ko, B.S.; Tang, J.L.; Lee, C.C. A Knowledge-Reserved Distillation with Complementary Transfer for Automated FC-Based Classification Across Hematological Malignancies. In Proceedings of the Annual International Conference of the IEEE Engineering in Medicine and Biology Society, EMBS, Montreal, QC, Canada, 20–24 July 2020; pp. 5482–5485. [Google Scholar] [CrossRef]
- Salama, M.E.; Otteson, G.E.; Camp, J.J.; Seheult, J.N.; Jevremovic, D.; Holmes, D.R.; Olteanu, H.; Shi, M. Artificial Intelligence Enhances Diagnostic Flow Cytometry Workflow in the Detection of Minimal Residual Disease of Chronic Lymphocytic Leukemia. Cancers 2022, 14, 2537. [Google Scholar] [CrossRef]
- Passamonti, F.; Corrao, G.; Castellani, G.; Mora, B.; Maggioni, G.; Della Porta, M.G.; Gale, R.P. Using Real-World Evidence in Haematology. Best Pract. Res. Clin. Haematol. 2024, 37, 101536. [Google Scholar] [CrossRef]
- Engelke, M.; Schmidt, C.S.; Baldini, G.; Parmar, V.; Hosch, R.; Borys, K.; Koitka, S.; Turki, A.T.; Haubold, J.; Horn, P.A.; et al. Optimizing Platelet Transfusion through a Personalized Deep Learning Risk Assessment System for Demand Management. Blood 2023, 142, 2315–2326. [Google Scholar] [CrossRef]
- Gedefaw, L.; Liu, C.F.; Ip, R.K.L.; Tse, H.F.; Yeung, M.H.Y.; Yip, S.P.; Huang, C.L. Artificial Intelligence-Assisted Diagnostic Cytology and Genomic Testing for Hematologic Disorders. Cells 2023, 12, 1755. [Google Scholar] [CrossRef] [PubMed]
- Guleria, D.; Garg, V.K. Role of Artificial Intelligence in Haematological Disorder. In Proceedings of the 2023 3rd International Conference on Innovative Sustainable Computational Technologies, CISCT, Dehradun, India, 8–9 September 2023. [Google Scholar] [CrossRef]
- Davids, J.; Ashrafian, H. AIM in Haematology. In Artificial Intelligence in Medicine; Springer: Cham, Switzerland, 2022; pp. 1425–1440. [Google Scholar] [CrossRef]
- Burnashev, R.A.; Gabdrahmanov, R.G.; Amer, I.F.; Vakhitov, G.Z.; Enikeev, A.I. Research on the Development of Expert Systems Using Artificial Intelligence. In Information Systems Architecture and Technology: Proceedings of 40th Anniversary International Conference on Information Systems Architecture and Technology—ISAT 2019; Advances in Intelligent Systems and Computing; Springer: Cham, Switzerland, 2020; Volume 1051, pp. 233–242. [Google Scholar] [CrossRef]
- Mendoza-Vasquez, D.; Salazar-Chavez, S.; Ugarte, W. Technological Model Using Machine Learning Tools to Support Decision Making in the Diagnosis and Treatment of Pediatric Leukemia. In Proceedings of the 17th International Conference on Web Information Systems and Technologies–WEBIST; Universidad Peruana de Ciencias Aplicadas: Lima, Peru, 2021; pp. 346–353. [Google Scholar]
- Nikitaev, V.G.; Pronichev, A.N.; Polyakov, E.V.; Kudryavtseva, I.O. Design of Medical Database for Medical Decision Support System in Laboratory Diagnosis of Acute Leukaemia. J. Phys. Conf. Ser. 2019, 1189, 012029. [Google Scholar] [CrossRef]
- Chen, Y.; Wang, J.; Wang, C.; Zou, Q. AutoEdge-CCP: A Novel Approach for Predicting Cancer-Associated CircRNAs and Drugs Based on Automated Edge Embedding. PLoS Comput. Biol. 2024, 20, e1011851. [Google Scholar] [CrossRef]
- Peng, L.; Huang, L.; Lu, Y.; Liu, G.; Chen, M.; Han, G. Identifying Possible LncRNA-Disease Associations Based on Deep Learning and Positive-Unlabeled Learning. In Proceedings of the 2022 IEEE International Conference on Bioinformatics and Biomedicine, BIBM, Las Vegas, NV, USA, 6–8 December 2022; pp. 168–173. [Google Scholar] [CrossRef]
- Fan, C.; Lei, X.; Pan, Y. Prioritizing CircRNA–Disease Associations with Convolutional Neural Network Based on Multiple Similarity Feature Fusion. Front. Genet. 2020, 11, 540751. [Google Scholar] [CrossRef]
- Sujamol, S.; Vimina, E.; Krishnakumar, U. Improving MiRNA Disease Association Prediction Accuracy Using Integrated Similarity Information and Deep Autoencoders. IEEE/ACM Trans. Comput. Biol. Bioinform. 2023, 20, 1125–1136. [Google Scholar] [CrossRef]
- The Cancer Genome Atlas Program (TCGA)—NCI. Available online: https://www.cancer.gov/ccg/research/genome-sequencing (accessed on 25 June 2025).
- Therapeutically Applicable Research to Generate Effective Treatments (TARGET)—NCI. Available online: https://www.cancer.gov/ccg/research/genome-sequencing/target (accessed on 25 June 2025).
- Zhang, L.; Zhou, L.; Wang, Y.; Li, C.; Liao, P.; Zhong, L.; Geng, S.; Lai, P.; Du, X.; Weng, J. Deep Learning-Based Transcriptome Model Predicts Survival of T-Cell Acute Lymphoblastic Leukemia. Front. Oncol. 2022, 12, 1057153. [Google Scholar] [CrossRef]
- Qi, H.; Chi, L.; Wang, X.; Jin, X.; Wang, W.; Lan, J. Identification of a Seven-LncRNA-MRNA Signature for Recurrence and Prognostic Prediction in Relapsed Acute Lymphoblastic Leukemia Based on WGCNA and LASSO Analyses. Anal. Cell. Pathol. 2021, 2021, 6692022. [Google Scholar] [CrossRef]
- Sayers, E.W.; Beck, J.; Bolton, E.; Brister, J.R.; Chan, J.; Connor, R.; Feldgarden, M.; Fine, A.M.; Funk, K.; Hoffman, J.; et al. Database Resources of the National Center for Biotechnology Information in 2025. Nucleic Acids Res. 2025, 53, 13–14. [Google Scholar] [CrossRef]
- Verhaak, R.G.W.; Wouters, B.J.; Erpelinck, C.A.J.; Abbas, S.; Beverloo, H.B.; Lugthart, S.; Löwenberg, B.; Delwel, R.; Valk, P.J.M. Prediction of Molecular Subtypes in Acute Myeloid Leukemia Based on Gene Expression Profiling. Haematologica 2009, 94, 131–134. [Google Scholar] [CrossRef] [PubMed]
- Andersson, A.; Ritz, C.; Lindgren, D.; Edén, P.; Lassen, C.; Heldrup, J.; Olofsson, T.; Råde, J.; Fontes, M.; Porwit-MacDonald, A.; et al. Microarray-Based Classification of a Consecutive Series of 121 Childhood Acute Leukemias: Prediction of Leukemic and Genetic Subtype as Well as of Minimal Residual Disease Status. Leukemia 2007, 21, 1198–1203. [Google Scholar] [CrossRef]
- Li, X.; Qi, J.; Song, X.; Xu, X.; Pan, T.; Wang, H.; Yang, J.; Han, Y. DLC1 Deficiency at Diagnosis Predicts Poor Prognosis in Acute Myeloid Leukemia. Exp. Hematol. Oncol. 2022, 11, 74. [Google Scholar] [CrossRef]
- Sheet, S.; Ghosh, R.; Ghosh, A. Recognition of Cancer Mediating Genes Using MLP-SDAE Model. Syst. Soft Comput. 2024, 6, 200079. [Google Scholar] [CrossRef]
- He, D.; Wang, R.; Xu, Z.; Wang, J.; Song, P.; Wang, H.; Su, J. The Use of Artificial Intelligence in the Treatment of Rare Diseases: A Scoping Review. Intractable Rare Dis. Res. 2024, 13, 12–22. [Google Scholar] [CrossRef] [PubMed]
- Yang, W.; Soares, J.; Greninger, P.; Edelman, E.J.; Lightfoot, H.; Forbes, S.; Bindal, N.; Beare, D.; Smith, J.A.; Thompson, I.R.; et al. Genomics of Drug Sensitivity in Cancer (GDSC): A Resource for Therapeutic Biomarker Discovery in Cancer Cells. Nucleic Acids Res. 2013, 41, D955–D961. [Google Scholar] [CrossRef] [PubMed]
- Jafari, M.; Mirzaie, M.; Bao, J.; Barneh, F.; Zheng, S.; Eriksson, J.; Heckman, C.A.; Tang, J. Bipartite Network Models to Design Combination Therapies in Acute Myeloid Leukaemia. Nat. Commun. 2022, 13, 2128. [Google Scholar] [CrossRef] [PubMed]
- Lopes, B.A.; Poubel, C.P.; Teixeira, C.E.; Caye-Eude, A.; Cavé, H.; Meyer, C.; Marschalek, R.; Boroni, M.; Emerenciano, M. Novel Diagnostic and Therapeutic Options for KMT2A-Rearranged Acute Leukemias. Front. Pharmacol. 2022, 13, 749472. [Google Scholar] [CrossRef]
- Lai, B.; Lai, Y.; Zhang, Y.; Zhou, M.; OuYang, G. Survival Prediction in Acute Myeloid Leukemia Using Gene Expression Profiling. BMC Med. Inform. Decis. Mak. 2022, 22, 57. [Google Scholar] [CrossRef] [PubMed]
- Pasca, S.; Turcas, C.; Jurj, A.; Teodorescu, P.; Iluta, S.; Hotea, I.; Bojan, A.; Selicean, C.; Fetica, B.; Petrushev, B.; et al. The Influence of Methylating Mutations on Acute Myeloid Leukemia: Preliminary Analysis on 56 Patients. Diagnostics 2020, 10, 263. [Google Scholar] [CrossRef]
- Habchi, Y.; Bouddou, R.; Aimer, A.F. Image Classification of Leukemia Cancer Using Wavelet Deep Neural Network. Prz. Elektrotechniczny 2024, 2024, 238–243. [Google Scholar] [CrossRef]
- Shahzad, M.; Ali, F.; Shirazi, S.H.; Rasheed, A.; Ahmad, A.; Shah, B.; Kwak, D. Blood Cell Image Segmentation and Classification: A Systematic Review. PeerJ Comput. Sci. 2024, 10, e1813. [Google Scholar] [CrossRef]
- Saeed, U.; Kumar, K.; Khuhro, M.A.; Laghari, A.A.; Shaikh, A.A.; Rai, A. DeepLeukNet—A CNN Based Microscopy Adaptation Model for Acute Lymphoblastic Leukemia Classification. Multimed. Tools Appl. 2024, 83, 21019–21043. [Google Scholar] [CrossRef]
- Abedy, H.; Ahmed, F.; Qaisar Bhuiyan, M.N.; Islam, M.; Ali, M.N.; Shamsujjoha, M. Leukemia Prediction from Microscopic Images of Human Blood Cell Using HOG Feature Descriptor and Logistic Regression. In Proceedings of the International Conference on ICT and Knowledge Engineering, Bangkok, Thailand, 21–23 November 2018; pp. 7–12. [Google Scholar] [CrossRef]
- Mishra, S.; Sharma, L.; Majhi, B.; Sa, P.K. Microscopic Image Classification Using DCT for the Detection of Acute Lymphoblastic Leukemia (ALL). In Proceedings of the International Conference on Computer Vision and Image Processing; Advances in Intelligent Systems and Computing; Springer: Singapore, 2017; Volume 459, pp. 171–180. [Google Scholar] [CrossRef]
- Naing, K.M.; Kittichai, V.; Tongloy, T.; Chuwongin, S.; Boonsang, S. The Detection and Classification of Acute Myeloid Leukaemia Blood Cell Images Based on Different YOLO Approaches. Bull. Electr. Eng. Inform. 2024, 13, 1147–1158. [Google Scholar] [CrossRef]
- Alshoraihy, A.; Ibrahim, A.; Issa, H.H.B. Leukemia Classification Using EfficientNetB5: A Deep Learning Approach. In Proceedings of the 2024 Conference of Young Researchers in Electrical and Electronic Engineering, ElCon, Saint Petersburg, Russian, 29–31 January 2024; pp. 929–931. [Google Scholar] [CrossRef]
- Liu, K.; Hu, J. Classification of Acute Myeloid Leukemia M1 and M2 Subtypes Using Machine Learning. Comput. Biol. Med. 2022, 147, 105741. [Google Scholar] [CrossRef]
- Üzen, H.; Fırat, H. A Hybrid Approach Based on Multipath Swin Transformer and ConvMixer for White Blood Cells Classification. Health Inf. Sci. Syst. 2024, 12, 33. [Google Scholar] [CrossRef] [PubMed]
- Fırat, H. Classification of Microscopic Peripheral Blood Cell Images Using Multibranch Lightweight CNN-Based Model. Neural Comput. Appl. 2024, 36, 1599–1620. [Google Scholar] [CrossRef]
- Balasubramanian, K.; Gayathri Devi, K.; Ramya, K. Classification of White Blood Cells Based on Modified U-Net and SVM. Concurr. Comput. 2023, 35, e7862. [Google Scholar] [CrossRef]
- Amin, J.; Sharif, M.; Anjum, M.A.; Siddiqa, A.; Kadry, S.; Nam, Y.; Raza, M. 3D Semantic Deep Learning Networks for Leukemia Detection. Comput. Mater. Contin. 2021, 69, 785–799. [Google Scholar] [CrossRef]
- Rohaziat, N.; Tomari, M.R.M.; Zakaria, W.N.W.; Othman, N. White Blood Cells Detection Using YOLOv3 with CNN Feature Extraction Models. Int. J. Adv. Comput. Sci. Appl. 2020, 11, 459–467. [Google Scholar] [CrossRef]
- Khan, S.; Sajjad, M.; Abbas, N.; Escorcia-Gutierrez, J.; Gamarra, M.; Muhammad, K. Efficient Leukocytes Detection and Classification in Microscopic Blood Images Using Convolutional Neural Network Coupled with a Dual Attention Network. Comput. Biol. Med. 2024, 174, 108146. [Google Scholar] [CrossRef] [PubMed]
- Tali, R.V.; Borra, S. Channel Fusion Filter and Invariant Scattering Network-Based Leukocyte Image Discrimination Framework. Int. J. Intell. Eng. Syst. 2024, 17, 880–894. [Google Scholar] [CrossRef]
- Kutlu, H.; Avci, E.; Özyurt, F. White Blood Cells Detection and Classification Based on Regional Convolutional Neural Networks. Med. Hypotheses 2020, 135, 109472. [Google Scholar] [CrossRef] [PubMed]
- Jain, S.; Vishnawat, P.; Shukla, P.K.; Khatri, N. Detection of Acute Lymphoblastic Leukemia Using CollateNet. In Proceedings of the International Conference on Technological Advancements in Computational Sciences, ICTACS, Tashkent, Uzbekistan, 1–3 November 2023; pp. 1095–1100. [Google Scholar] [CrossRef]
- Mathury, P.; Piplani, M.; Sawhney, R.; Jindal, A.; Shah, R.R. Mixup Multi-Attention Multi-Tasking Model for Early-Stage Leukemia Identification. In Proceedings of the ICASSP, IEEE International Conference on Acoustics, Speech and Signal Processing, Barcelona, Spain, 4–8 May 2020; pp. 1045–1049. [Google Scholar] [CrossRef]
- Shen, M.Z.; Hong, S.D.; Wang, J.; Zhang, X.H.; Xu, L.P.; Wang, Y.; Yan, C.H.; Chen, H.; Chen, Y.H.; Han, W.; et al. A Predicted Model for Refractory/Recurrent Cytomegalovirus Infection in Acute Leukemia Patients After Haploidentical Hematopoietic Stem Cell Transplantation. Front. Cell. Infect. Microbiol. 2022, 12, 862526. [Google Scholar] [CrossRef]
- Rosenberg, L.; Levaux, H.; Levine, R.L.; Shah, A.; Denmark, J.; Hereema, N.; Owen, M.; Kalk, S.; Kenny, N.; Vinson, G.; et al. Streamlined Operational Approaches and Use of E-Technologies in Clinical Trials: Beat Acute Myeloid Leukemia Master Trial. Ther. Innov. Regul. Sci. 2021, 55, 926–935. [Google Scholar] [CrossRef]
- Saussele, S.; Richter, J.; Guilhot, J.; Gruber, F.X.; Hjorth-Hansen, H.; Almeida, A.; Janssen, J.J.W.M.; Mayer, J.; Koskenvesa, P.; Panayiotidis, P.; et al. Discontinuation of Tyrosine Kinase Inhibitor Therapy in Chronic Myeloid Leukaemia (EURO-SKI): A Prespecified Interim Analysis of a Prospective, Multicentre, Non-Randomised, Trial. Lancet Oncol. 2018, 19, 747–757. [Google Scholar] [CrossRef]
- Labati, R.D.; Piuri, V.; Scotti, F. All-IDB: The Acute Lymphoblastic Leukemia Image Database for Image Processing. In Proceedings of the International Conference on Image Processing, ICIP, Brussels, Belgium, 11–14 September 2011; pp. 2045–2048. [Google Scholar] [CrossRef]
- Clark, K.; Vendt, B.; Smith, K.; Freymann, J.; Kirby, J.; Koppel, P.; Moore, S.; Phillips, S.; Maffitt, D.; Pringle, M.; et al. The Cancer Imaging Archive (TCIA): Maintaining and Operating a Public Information Repository. J. Digit. Imaging 2013, 26, 1045. [Google Scholar] [CrossRef] [PubMed]
- GitHub—Shenggan/BCCD_Dataset: BCCD (Blood Cell Count and Detection) Dataset Is a Small-Scale Dataset for Blood Cells Detection. Available online: https://github.com/Shenggan/BCCD_Dataset (accessed on 26 June 2025).
- Rezatofighi, S.H.; Soltanian-Zadeh, H. Automatic Recognition of Five Types of White Blood Cells in Peripheral Blood. Comput. Med. Imaging Graph. 2011, 35, 333–343. [Google Scholar] [CrossRef]
- Gupta, R.; Gehlot, S.; Gupta, A. C-NMC: B-Lineage Acute Lymphoblastic Leukaemia: A Blood Cancer Dataset. Med. Eng. Phys. 2022, 103, 103793. [Google Scholar] [CrossRef]
- Home | ClinicalTrials.Gov. Available online: https://clinicaltrials.gov/ (accessed on 26 June 2025).
- Aziz, M.T.; Mahmud, S.M.H.; Goh, K.O.M.; Nandi, D. Addressing Label Noise in Leukemia Image Classification Using Small Loss Approach and PLOF with Weighted-Average Ensemble. Egypt. Inform. J. 2024, 26, 100479. [Google Scholar] [CrossRef]
- Awujoola, O.J.; Aniemeka, T.E.; Abioye, O.A.; Awujoola, A.E.; Ajakaiye, F.; Adelegan, O.R. Improving Leukemia Detection Accuracy: Contrast Limited Adaptive Histogram Equalization-Enhanced Image Preprocessing Combined ResNet101 and Haralick Feature Extraction. In Enhancing Medical Imaging with Emerging Technologies; IGI Global Scientific Publishing: Hershey, PA, USA, 2024; pp. 99–132. [Google Scholar] [CrossRef]
- Lu, Q.; Wang, B.; He, Q.; Zhang, Q.; Guo, L.; Li, J.; Li, J.; Ma, Q. A Blood Cell Classification Method Based on MAE and Active Learning. Biomed. Signal Process. Control 2024, 90, 105813. [Google Scholar] [CrossRef]
- Davamani, K.A.; Jawahar, M.; Anbarasi, L.J.; Ravi, V.; Al Mazroa, A.; Robin, C.R.R. Deep Transfer Learning Technique to Detect White Blood Cell Classification in Regular Clinical Practice Using Histopathological Images. Multimed. Tools Appl. 2024, 84, 5699–5723. [Google Scholar] [CrossRef]
- Prodhan, K.H.; Ara Amin, I.; Das, A.J.; Monir Uddin, M. Bone Marrow Classification Using Hematologic Malignancies Dataset. In Proceedings of the 2023 26th International Conference on Computer and Information Technology, ICCIT, Cox’s Bazar, Bangladesh, 13–15 December 2023. [Google Scholar] [CrossRef]
- Rani, B.S.; Geetha, B.; Shivaprasad Yadav, S.G.; Shivakanth, G.; Manjula, B.M. Deep Learning Based Cancer Detection in Bone Marrow Using Histopathological Images. In Proceedings of the 2023 IEEE International Conference on Integrated Circuits and Communication Systems, ICICACS, Raichur, India, 24–25 February 2023. [Google Scholar] [CrossRef]
- Vijayan, S.; Venkatachalam, R. Classification of Acute Lymphocytic Leukemic Blood Cell Images Using Hybrid CNN-Enhanced Ensemble SVM Models and Machine Learning Classifiers. Int. J. Recent Innov. Trends Comput. Commun. 2023, 11, 304–314. [Google Scholar] [CrossRef]
- Nguyen, H.N.; Ohn, S.Y.; Park, J.; Park, K.S. Combined Kernel Function Approach in SVM for Diagnosis of Cancer. In Advances in Natural Computation; Lecture Notes in Computer Science; Springer: Berlin/Heidelberg, Germany, 2005; Volume 3610, pp. 1017–1026. [Google Scholar] [CrossRef]
- Grimm, C.; Herling, C.D.; Komnidi, A.; Hussong, M.; Kreuzer, K.A.; Hallek, M.; Schweiger, M.R. Evaluation of a Prognostic Epigenetic Classification System in Chronic Lymphocytic Leukemia Patients. Biomark. Insights 2022, 17, 11772719211067972. [Google Scholar] [CrossRef] [PubMed]
- Saha, S.; Soliman, A.; Rajasekaran, S. A Robust and Stable Gene Selection Algorithm Based on Graph Theory and Machine Learning. Hum. Genom. 2021, 15, 66. [Google Scholar] [CrossRef]
- Patil, A.P.; Hiremath, M. Machine Learning Model to Detect Chronic Leukemia in Microscopic Blood Smear Images. In Proceedings of the IEEE InC4 2023—2023 IEEE International Conference on Contemporary Computing and Communications, Bangalore, India, 21–22 April 2023. [Google Scholar] [CrossRef]
- Dasariraju, S.; Huo, M.; McCalla, S. Detection and Classification of Immature Leukocytes for Diagnosis of Acute Myeloid Leukemia Using Random Forest Algorithm. Bioengineering 2020, 7, 120. [Google Scholar] [CrossRef] [PubMed]
- Alagu, S.; Bagan, K.B. Computer Assisted Classification Framework for Detection of Acute Myeloid Leukemia in Peripheral Blood Smear Images. In Innovations in Computational Intelligence and Computer Vision; Advances in Intelligent Systems and Computing; Springer: Singapore, 2021; Volume 1189, pp. 403–410. [Google Scholar] [CrossRef]
- Rodrigues, V.; Deusdado, S. Metalearning Approach for Leukemia Informative Genes Prioritization. J. Integr. Bioinform. 2020, 17, 20190069. [Google Scholar] [CrossRef]
- Nguyen, T.T.H.; Van Nguyen, P.; Tran, Q.V.; Vo, N.X.; Vo, T.Q. Cancer Classification from Microarray Data for Genomic Disorder Research Using Optimal Discriminant Independent Component Analysis and Kernel Extreme Learning Machine. Int. J. Numer. Method. Biomed. Eng. 2020, 36, e3372. [Google Scholar] [CrossRef]
- Hassan, S.S.; Ruusuvuori, P.; Latonen, L.; Huttunen, H. Flow Cytometry-Based Classification in Cancer Research: A View on Feature Selection. Cancer Inform. 2016, 15, 75–85. [Google Scholar] [CrossRef]
- Ramaneswaran, S.; Srinivasan, K.; Vincent, P.M.D.R.; Chang, C.Y. Hybrid Inception v3 XGBoost Model for Acute Lymphoblastic Leukemia Classification. Comput. Math. Methods Med. 2021, 2021, 2577375. [Google Scholar] [CrossRef]
- Liu, Q.; Qi, L.; Yang, M.; Zhang, X.; Li, F.; Wei, H.; Wang, J. Immunophenotype Distinctions of CEBPA Mutation Subtypes in Acute Myeloid Leukemia. Int. J. Lab. Hematol. 2023, 45, 743–750. [Google Scholar] [CrossRef] [PubMed]
- Jian, C.; Chen, S.; Wang, Z.; Zhou, Y.; Zhang, Y.; Li, Z.; Jian, J.; Wang, T.; Xiang, T.; Wang, X.; et al. Predicting Delayed Methotrexate Elimination in Pediatric Acute Lymphoblastic Leukemia Patients: An Innovative Web-Based Machine Learning Tool Developed through a Multicenter, Retrospective Analysis. BMC Med. Inform. Decis. Mak. 2023, 23, 148. [Google Scholar] [CrossRef] [PubMed]
- Sallam, N.M.; Saleh, A.I.; Arafat Ali, H.; Abdelsalam, M.M. An Efficient Strategy for Blood Diseases Detection Based on Grey Wolf Optimization as Feature Selection and Machine Learning Techniques. Appl. Sci. 2022, 12, 10760. [Google Scholar] [CrossRef]
- Mahfouz, M.A.; Shoukry, A.; Ismail, M.A. EKNN: Ensemble Classifier Incorporating Connectivity and Density into KNN with Application to Cancer Diagnosis. Artif. Intell. Med. 2021, 111, 101985. [Google Scholar] [CrossRef]
- Das, B.K.; Dutta, H.S. GFNB: Gini Index–Based Fuzzy Naive Bayes and Blast Cell Segmentation for Leukemia Detection Using Multi-Cell Blood Smear Images. Med. Biol. Eng. Comput. 2020, 58, 2789–2803. [Google Scholar] [CrossRef] [PubMed]
- Chen, L.; Li, J.; Chang, M. Cancer Diagnosis and Disease Gene Identification via Statistical Machine Learning. Curr. Bioinform. 2020, 15, 956–962. [Google Scholar] [CrossRef]
- Anilkumar, K.K.; Manoj, V.J.; Sagi, T.M. Automated Detection of Leukemia by Pretrained Deep Neural Networks and Transfer Learning: A Comparison. Med. Eng. Phys. 2021, 98, 8–19. [Google Scholar] [CrossRef]
- Abd El-Ghany, S.; Elmogy, M.; El-Aziz, A. Computer-Aided Diagnosis System for Blood Diseases Using EfficientNet-B3 Based on a Dynamic Learning Algorithm. Diagnostics 2023, 13, 404. [Google Scholar] [CrossRef] [PubMed]
- Arivuselvam, B.; Sudha, S. Leukemia Classification Using the Deep Learning Method of CNN. J. X-Ray Sci. Technol. 2022, 30, 567–585. [Google Scholar] [CrossRef] [PubMed]
- Kaushal, C.; Islam, M.K.; Althubiti, S.A.; Alenezi, F.; Mansour, R.F. A Framework for Interactive Medical Image Segmentation Using Optimized Swarm Intelligence with Convolutional Neural Networks. Comput. Intell. Neurosci. 2022, 2022, 7935346. [Google Scholar] [CrossRef]
- Rupapara, V.; Rustam, F.; Aljedaani, W.; Shahzad, H.F.; Lee, E.; Ashraf, I. Blood Cancer Prediction Using Leukemia Microarray Gene Data and Hybrid Logistic Vector Trees Model. Sci. Rep. 2022, 12, 1000. [Google Scholar] [CrossRef]
- Mallick, P.K.; Mohapatra, S.K.; Chae, G.S.; Mohanty, M.N. Convergent Learning–Based Model for Leukemia Classification from Gene Expression. Pers. Ubiquitous Comput. 2023, 27, 1103–1110. [Google Scholar] [CrossRef]
- Monnier, L.; Cournède, P.H. A Novel Batch-Effect Correction Method for ScRNA-Seq Data Based on Adversarial Information Factorization. PLoS Comput. Biol. 2024, 20, e1011880. [Google Scholar] [CrossRef] [PubMed]
- Zanoni, L.; Bezzi, D.; Nanni, C.; Paccagnella, A.; Farina, A.; Broccoli, A.; Casadei, B.; Zinzani, P.L.; Fanti, S. PET/CT in Non-Hodgkin Lymphoma: An Update. Semin. Nucl. Med. 2023, 53, 320–351. [Google Scholar] [CrossRef]
- Chierici, M.; Bussola, N.; Marcolini, A.; Francescatto, M.; Zandonà, A.; Trastulla, L.; Agostinelli, C.; Jurman, G.; Furlanello, C. Integrative Network Fusion: A Multi-Omics Approach in Molecular Profiling. Front. Oncol. 2020, 10, 1065. [Google Scholar] [CrossRef]
- van Eck, N.; Waltman, L. Software Survey: VOSviewer, a Computer Program for Bibliometric Mapping. Scientometrics 2009, 84, 523–538. [Google Scholar] [CrossRef] [PubMed]
- Zhou, W.; Altman, R.B. Data-Driven Human Transcriptomic Modules Determined by Independent Component Analysis. BMC Bioinform. 2018, 19, 327. [Google Scholar] [CrossRef]
- Zhu, X.L.; Shen, H.B.; Sun, H.; Duan, L.X.; Xu, Y.Y. Improving Segmentation and Classification of Renal Tumors in Small Sample 3D CT Images Using Transfer Learning with Convolutional Neural Networks. Int. J. Comput. Assist. Radiol. Surg. 2022, 17, 1303–1311. [Google Scholar] [CrossRef] [PubMed]
- Weijler, L.; Kowarsch, F.; Reiter, M.; Hermosilla, P.; Maurer-Granofszky, M.; Dworzak, M. FATE: Feature-Agnostic Transformer-Based Encoder for Learning Generalized Embedding Spaces in Flow Cytometry Data. In Proceedings of the 2024 IEEE/CVF Winter Conference on Applications of Computer Vision (WACV), Waikoloa, HI, USA, 3–8 January 2024; pp. 7941–7949. [Google Scholar] [CrossRef]
- Duetz, C.; Bachas, C.; Westers, T.M.; Van De Loosdrecht, A.A. Computational Analysis of Flow Cytometry Data in Hematological Malignancies: Future Clinical Practice? Curr. Opin. Oncol. 2020, 32, 162–169. [Google Scholar] [CrossRef] [PubMed]
- Sivalingam, N.P.; Chinnasamy, S.; Suruli Muniyandi, T. An Effective Chronic Lymphocytic Leukemia Detection Method Using Hybrid Optimization Aware Random Multimodal Deep Learning. Concurr. Comput. 2022, 34, e7012. [Google Scholar] [CrossRef]
- Zhang, X.; Song, B.; Carlino, M.J.; Li, G.; Ferchen, K.; Chen, M.; Thompson, E.N.; Kain, B.N.; Schnell, D.; Thakkar, K.; et al. An Immunophenotype-Coupled Transcriptomic Atlas of Human Hematopoietic Progenitors. Nat. Immunol. 2024, 25, 703–715. [Google Scholar] [CrossRef]
- Fan, B.E.; Yong, B.S.J.; Li, R.; Wang, S.S.Y.; Aw, M.Y.N.; Chia, M.F.; Chen, D.T.Y.; Neo, Y.S.; Occhipinti, B.; Ling, R.R.; et al. From Microscope to Micropixels: A Rapid Review of Artificial Intelligence for the Peripheral Blood Film. Blood Rev. 2024, 64, 101144. [Google Scholar] [CrossRef] [PubMed]
- Ko, B.S.; Wang, Y.F.; Li, J.L.; Li, C.C.; Weng, P.F.; Hsu, S.C.; Hou, H.A.; Huang, H.H.; Yao, M.; Lin, C.T.; et al. Clinically Validated Machine Learning Algorithm for Detecting Residual Diseases with Multicolor Flow Cytometry Analysis in Acute Myeloid Leukemia and Myelodysplastic Syndrome. EBioMedicine 2018, 37, 91–100. [Google Scholar] [CrossRef] [PubMed]
- Mu, Y.; Chen, Y.; Meng, Y.; Chen, T.; Fan, X.; Yuan, J.; Lin, J.; Pan, J.; Li, G.; Feng, J.; et al. Machine Learning Models-Based on Integration of next-Generation Sequencing Testing and Tumor Cell Sizes Improve Subtype Classification of Mature B-Cell Neoplasms. Front. Oncol. 2023, 13, 1160383. [Google Scholar] [CrossRef] [PubMed]
- Bury, J.; Hurt, C.; Roy, A.; Bradburn, M.; Cross, S.; Fox, J.; Saha, V. A Quantitative and Qualitative Evaluation of LISA, a Decision Support System for Chemotherapy Dosing in Childhood Acute Lymphoblastic Leukaemia. Stud. Health Technol. Inform. 2004, 107, 197–201. [Google Scholar] [CrossRef]
- Wang, T.; Qiao, W.; Wang, Y.; Wang, J.; Lv, Y.; Dong, Y.; Qian, Z.; Xing, Y.; Zhao, J. Deep Progressive Learning Achieves Whole-Body Low-Dose 18F-FDG PET Imaging. EJNMMI Phys. 2022, 9, 82. [Google Scholar] [CrossRef] [PubMed]
- Alghamdi, S.; Mehmood, R.; Alqurashi, F.; Alghamdi, T.; AlAhmadi, A.; Ghazali, S. EYE and EYE-WD: Clinically Validated, Interpretable Ensemble Learning for Women’s Diabetes. SSRN Preprint 2025. [Google Scholar] [CrossRef]
- Alghamdi, S.; Mehmood, R.; Alqurashi, F.; Alghamdi, T.; Ghazali, S.; AlAhmadi, A. EYE-GDM: Clinically Validated, Explainable Ensemble Learning for Gestational Diabetes. Int. J. Adv. Comput. Sci. Appl. 2025, 16, 358. [Google Scholar] [CrossRef]
- Alsaigh, R.; Mehmood, R.; Katib, I.; Liang, X.; Alshanqiti, A.; Corchado, J.M.; See, S. Harmonizing AI Governance Regulations and Neuroinformatics: Perspectives on Privacy and Data Sharing. Front. Neuroinform. 2024, 18, 1472653. [Google Scholar] [CrossRef]
- Warnat-Herresthal, S.; Schultze, H.; Shastry, K.L.; Manamohan, S.; Mukherjee, S.; Garg, V.; Sarveswara, R.; Händler, K.; Pickkers, P.; Aziz, N.A.; et al. Swarm Learning for Decentralized and Confidential Clinical Machine Learning. Nature 2021, 594, 265–270. [Google Scholar] [CrossRef] [PubMed]
- Eckardt, J.N.; Hahn, W.; Röllig, C.; Stasik, S.; Platzbecker, U.; Müller-Tidow, C.; Serve, H.; Baldus, C.D.; Schliemann, C.; Schäfer-Eckart, K.; et al. Mimicking Clinical Trials with Synthetic Acute Myeloid Leukemia Patients Using Generative Artificial Intelligence. npj Digit. Med. 2024, 7, 76. [Google Scholar] [CrossRef] [PubMed]
- Bazinet, A.; Wang, A.; Li, X.; Jia, F.; Mo, H.; Wang, W.; Wang, S.A. Automated Quantification of Measurable Residual Disease in Chronic Lymphocytic Leukemia Using an Artificial Intelligence-Assisted Workflow. Cytom. B Clin. Cytom. 2024, 106, 264–271. [Google Scholar] [CrossRef] [PubMed]
- Hossain, M.A.; Muzahidul Islam, A.K.M.; Islam, S.; Shatabda, S.; Ahmed, A. Symptom Based Explainable Artificial Intelligence Model for Leukemia Detection. IEEE Access 2022, 10, 57283–57298. [Google Scholar] [CrossRef]
- Kotsyfakis, S.; Iliaki-Giannakoudaki, E.; Anagnostopoulos, A.; Papadokostaki, E.; Giannakoudakis, K.; Goumenakis, M.; Kotsyfakis, M. The Application of Machine Learning to Imaging in Hematological Oncology: A Scoping Review. Front. Oncol. 2022, 12, 1080988. [Google Scholar] [CrossRef]
- Egger, R.; Yu, J. A Topic Modeling Comparison Between LDA, NMF, Top2Vec, and BERTopic to Demystify Twitter Posts. Front. Sociol. 2022, 7, 886498. [Google Scholar] [CrossRef]























| Ref. | Summary | Methodology | Articles * | Gaps/Remarks |
|---|---|---|---|---|
| Al-Obeidat et al. [20] | A performance evaluation of AI-based approaches for the detection and diagnosis of AML based on microscopic images. |
|
|
|
| Achir et al. [22] | A review of leukemia research trends, with separate analyses of risk factors, leukemia subtypes, and CNN-based AI applications. |
|
|
|
| El Alaoui et al. [8] | A review of AI applications in hematologic malignancies for screening, diagnosis, and treatment support. |
|
|
|
| Aydin [23] | A systematic bibliometric review of global trends, institutions, and keywords in AI for leukemia management. |
|
|
|
| This work | AI-assisted literature analysis of artificial intelligence research in leukemia, structured across diagnostic, prognostic, and therapeutic domains using a parameterized framework. |
|
|
|
| Ref. | Summary | Articles * | Gaps/Remarks |
|---|---|---|---|
| Aria et al. [11] | A systematic literature review of AI -based methods for automated detection and classification of leukemia from PBS images. |
|
|
| Aby et al. [12] | A review of AI methods for leukemia detection using gene expression, bone marrow, and PBS data. |
|
|
| Anilkumar et al. [25] | A review of CAD systems for leukemia detection, categorizing ML- and DL-based approaches that use image analysis for classification. |
|
|
| Raina et al. [9] | A PRISMA review of DL methods for acute leukemia detection from PBS images, covering preprocessing, segmentation, feature extraction, and classification. |
|
|
| Shah et al. [18] | A review of CAD systems for leukemia detection, detailing preprocessing, segmentation, feature extraction, and ML/DL-based classification performance. |
|
|
| Ghaderzadeh et al. [13] | A PRISMA review of ML-based PBS image processing pipelines, spanning acquisition to classification. |
|
|
| Ur Rahman et al. [10] | A PRISMA review of AI-driven, CNN-centric segmentation and classification techniques for the detection of ALL in PBS and BM. |
|
|
| Ref. | Summary | Articles * | Gaps/Remarks |
|---|---|---|---|
| Ram et al. [14] | A PRISMA review of AI-driven diagnostic, prognostic, and personalized therapy models for CML. |
|
|
| Elhadary et al. [26] | A PRISMA review of AI applications in CLL, highlighting their role in diagnosis, classification, and clinical evaluation. |
|
|
| Stagno et al. [15] | A narrative review of AI applications in CML management, from diagnosis and treatment response prediction to drug discovery. |
|
|
| Bernardi et al. [19] | A review of AI in CML focusing on early diagnosis and prognosis using imaging, biochemical, molecular, and clinical data. |
|
|
| Elhadary et al. [17] | A PRISMA review evaluating the performance and limitations of ML models in the diagnosis, prognosis, and treatment of CML. |
|
|
| Alhajahjeh et al. [27] | A review exploring the current applications and implementation challenges of AI in AML and MDS. |
|
|
| Găman et al. [16] | A PRISMA review of AI-driven APL diagnostics and management using clinical, cytological, flow cytometry, and omics data. |
|
|
| Inclusion Criteria | Exclusion Criteria |
|---|---|
|
|
|
|
|
|
| Method | Description | Usages |
|---|---|---|
| CNN/DL Models | Deep architectures (e.g., ResNet, VGG, U-Net) for hierarchical visual feature extraction. | Leukemia diagnostics via feature extraction, pattern classification, and segmentation in medical imaging (e.g., CT, MRI, histopathology) [50,187,205,206,207,208,209]. |
| SVM | A supervised ML algorithm that finds the optimal boundary to classify data into distinct categories. | Used for blood cell classification [210], diagnosing ALL and other blood diseases [211], and gene analysis for early cancer detection [212]; enhances decision models for predicting patient outcomes and improving diagnostics [212,213,214]. |
| RF | Ensemble of randomized decision trees, aggregating outputs by voting (classification) or averaging (regression). | Classifies leukemia subtypes using radiomics, cell morphology, and clinical data [215,216,217]; predicts treatment outcomes, survival, and relapses in AML and myelofibrosis; identifies key genes and biomarkers in genomic data for outcome forecasting [105,113,176]. |
| LR | Linear model estimating class probabilities by fitting a logistic function to predictor variables. | Analyzes leukemia microarray data for subtype classification; selects informative genes to streamline classification and reduce dimensionality in diagnostic modeling [218,219,220]. |
| XGBoost | Regularized gradient boosting framework that builds decision trees sequentially to minimize prediction error. | Classifies ALL from microscopic images [221] and analyzes flow cytometry data for MRD detection [147], identifies AML subtypes from immunophenotypes [222] and predicts treatment-related complications in high-dose methotrexate therapy [223]. |
| KNN | Non-parametric classification using majority vote of k nearest neighbors. | Classifies ALL as benign or malignant from blood smear images [224], and widely applied in gene expression-based cancer classification [225]. |
| Naive Bayes | Probabilistic classifier assuming conditional independence between features, applying Bayes’ theorem for prediction. | Applied to classify ALL by counting and classifying blast cells in blood smear images via a Gini index-based Fuzzy Naive Bayes classifier [226]. |
| Method | Problem Domain | Feature Extractor /Classifier | Dataset | Metrics * | Remark |
|---|---|---|---|---|---|
| GoogLeNet/Inception-v3 [228] | Leukemia classification (ALL vs. Normal/Non-ALL). | GoogLeNet, Inceptionv3, MobileNet, Xception, DenseNet, Inception-ResNet | ALL-IDB1 and ALL-IDB2. | Acc: 100 | Pre-trained models achieve 100% accuracy on small-scale data, except for AlexNet and VGG-16. |
| EfficientNet-B3 [229] | ALL detection. | EfficientNet-B3 | CNMC_ Leukemia | Acc: 98.31 Rec: 97.83 Sep: 97.82 AP: 98.29 DSC: 98.05 | EfficientNet-B3 was used end-to-end, trained directly on the dataset. |
| DCNN [230] | Leukemia classification based on low-intensity images. | ResNet-34, DenseNet-121 | ASH and ALL-IDB | Acc: 98.8 Prec: 98.65 Sens: 98.65 Spec: 98.85 | Results are averaged across both datasets. |
| U-Net [188] | Segment and classify WBC. | Modified U-Net architecture and RBF-SVM | Raabin-WBC, LISC, BCCD, ALL-IDB2 | Dice: 0.972 Acc: 99.42 | Modified U-Net segments WBC nuclei; RBF-SVM classifies leukemic vs. normal cells. |
| CNN-PSO [231] | Medical image segmentation. | CNN k-means | A dataset of MRI, thermographic, microscopic, and CT images. | Acc: 96.45 | CNN and PSO optimize K-means for medical image segmentation. |
| VWMRmR [128] | Dimensionality reduction in multi-omics data. | VWMRmR Naive Bayes, KNN, AdaBoost | TCGA (LAML) | RR:0.0487–0.1958 RE: 2.275–4.8581 | K-means with CNN module showed best performance across diverse medical image modalities. |
| RF- SNF [176] | AML prognosis prediction. | RF for risk scoring; SNF for multi-omics clustering | TCGA, and OHSU | AUC (TCGA: 0.75 and OHSU: 0.72) | RF-derived risk score predicts survival; SNF groups patients into three prognostic clusters. |
| LVTrees [232] | Leukemia classification using microarray gene. | Hybrid LVTrees (Logistic Regression, SVC, Extra-Trees) | GSE28497 and GSE9476 | Acc: 100 | Chi-square feature selection; ADASYN oversampling. |
| DNN [233] | Classify acute leukemia subtypes from gene expression data. | DNN | Public dataset of 72 samples with 7128 genes. | Acc: 98.21 Spec: 97.9 | DNN demonstrated notable performance over traditional ML and earlier DL models. |
| AIF [234] | ScRNA-seq batch-effect correction. | CVAE encoder, adversarial discriminator batch classifier | Benchmark cohorts and clinical AML (16 patients, ~30 k cells) | Cell-type purity: ≥ 92% retention AUC (F1-score curves): > 0.90 | AIF consistently outperformed methods such as Harmony, Seurat, and scVI in F1 scores, especially on raw/unprocessed data. |
Disclaimer/Publisher’s Note: The statements, opinions and data contained in all publications are solely those of the individual author(s) and contributor(s) and not of MDPI and/or the editor(s). MDPI and/or the editor(s) disclaim responsibility for any injury to people or property resulting from any ideas, methods, instructions or products referred to in the content. |
© 2026 by the authors. Licensee MDPI, Basel, Switzerland. This article is an open access article distributed under the terms and conditions of the Creative Commons Attribution (CC BY) license.
Share and Cite
Alharthi, R.; Mehmood, R.; Albeshri, A. A Systematic, Scalable, and Interpretable Mapping of Artificial Intelligence Research in Leukemia Using a Hybrid Machine Learning and Qualitative Framework. Electronics 2026, 15, 1078. https://doi.org/10.3390/electronics15051078
Alharthi R, Mehmood R, Albeshri A. A Systematic, Scalable, and Interpretable Mapping of Artificial Intelligence Research in Leukemia Using a Hybrid Machine Learning and Qualitative Framework. Electronics. 2026; 15(5):1078. https://doi.org/10.3390/electronics15051078
Chicago/Turabian StyleAlharthi, Reem, Rashid Mehmood, and Aiiad Albeshri. 2026. "A Systematic, Scalable, and Interpretable Mapping of Artificial Intelligence Research in Leukemia Using a Hybrid Machine Learning and Qualitative Framework" Electronics 15, no. 5: 1078. https://doi.org/10.3390/electronics15051078
APA StyleAlharthi, R., Mehmood, R., & Albeshri, A. (2026). A Systematic, Scalable, and Interpretable Mapping of Artificial Intelligence Research in Leukemia Using a Hybrid Machine Learning and Qualitative Framework. Electronics, 15(5), 1078. https://doi.org/10.3390/electronics15051078

