Graph-Based Differential Equation Network for Medium-Range Temperature Forecasting
Abstract
1. Introduction
- (1)
- A graph-guided module and a gating module have been designed using a directed adjacency matrix to capture spatial and temporal features of temperature data, improving temperature prediction accuracy.
- (2)
- A graph-based differential equation module has been designed to explicitly characterize the dynamic evolution of the spatial and temporal features, thus enabling medium-range temperature predictions of a higher degree of accuracy.
- (3)
- A graph-based output module has been proposed for fusing spatial and temporal features for predicting medium-term temperature, which has demonstrated superior performance over datasets collected in South China.
2. Data Used and Methods
2.1. Study Area and Data Used
2.2. Problem Formulation
2.3. Methods
2.3.1. Latitude- and Longitude-Based Directed Adjacency Matrix
2.3.2. Spatial Feature Extraction Module
2.3.3. Temporal Feature Extraction Module
2.3.4. Graph-Based Differential Equation Module
2.3.5. Output Fusion Module
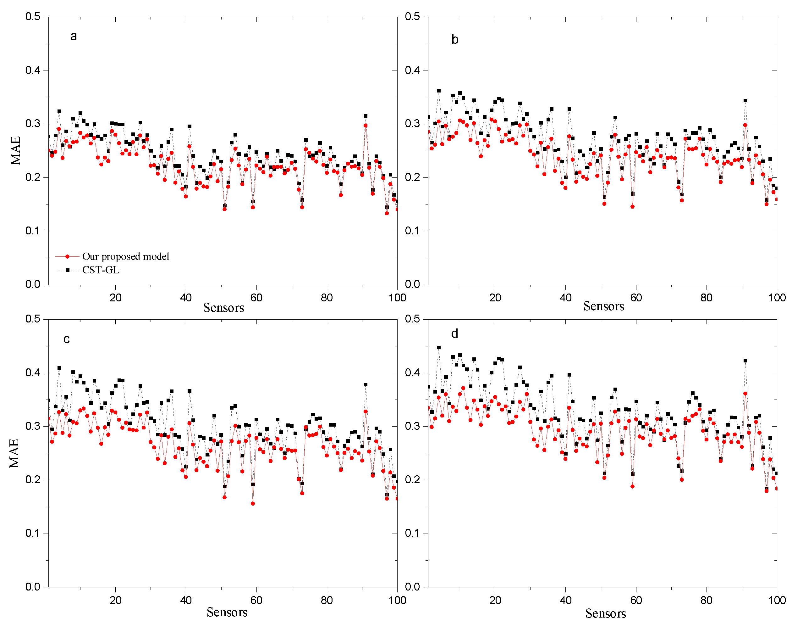
3. Results and Discussions
3.1. Numerical Experiments
3.2. Discussions
4. Conclusions
Author Contributions
Funding
Data Availability Statement
Conflicts of Interest
References
- Li, M.; Bai, Q.; Du, W. The World Is Different Because of You: Global Warming, Technological Progress and Economic Development. Struct. Change Econ. Dyn. 2025, 74, 202–211. [Google Scholar] [CrossRef]
- Ueyama, H. Compiling an Hourly Gridded Dataset for Surface Air Temperature at 50-M Resolution Using Radiative Cooling Scale and Numerical Weather Prediction Model Outputs. Agric. For. Meteorol. 2024, 350, 109991. [Google Scholar] [CrossRef]
- Huang, X.; Ding, A. Aerosol as a Critical Factor Causing Forecast Biases of Air Temperature in Global Numerical Weather Prediction Models. Sci. Bull. 2021, 66, 1917–1924. [Google Scholar] [CrossRef] [PubMed]
- Chen, X.; Jiang, Z.; Cheng, H.; Zheng, H.; Cai, D.; Feng, Y. A Novel Global Average Temperature Prediction Model Based on Gm-ARIMA Combination Model. Earth Sci. Inf. 2024, 17, 853–866. [Google Scholar] [CrossRef]
- Gao, M.; Wu, Q.; Li, J.; Wang, B.; Zhou, Z.; Liu, C.; Wang, D. Temperature Prediction of Solar Greenhouse Based on Narx Regression Neural Network. Sci. Rep. 2023, 13, 1563. [Google Scholar] [CrossRef]
- Paniagua-Tineo, A.; Salcedo-Sanz, S.; Casanova-Mateo, C.; Ortiz-García, E.G.; Cony, M.A.; Hernández-Martín, E. Prediction of Daily Maximum Temperature Using a Support Vector Regression Algorithm. Renew. Energy 2011, 36, 3054–3060. [Google Scholar] [CrossRef]
- Han, J.M.; Ang, Y.Q.; Malkawi, A.; Samuelson, H.W. Using Recurrent Neural Networks for Localized Weather Prediction with Combined Use of Public Airport Data and on-Site Measurements. Build. Environ. 2021, 192, 107601. [Google Scholar] [CrossRef]
- Yang, H.; Yoon, S.; Lee, H.-T.; Kim, K.S.; Han, H.-J.; Park, Y.-J. Abnormal High Water Temperature Prediction in Nearshore Waters around the Korean Peninsula Using Ecmwf Era5 Data and a Deep Learning Model. J. Sea Res. 2024, 202, 102546. [Google Scholar] [CrossRef]
- Deng, D.; Wang, Y.; Zhong, Z.; Wang, X.; Yao, Y. A Deep-Learning-Based Proxy Model for Fast Prediction of Temperature During Co2 Circulation in Hydrothermal Reservoir. Appl. Therm. Eng. 2025, 273, 126473. [Google Scholar] [CrossRef]
- Sun, Y.; Yao, X.; Bi, X.; Huang, X.; Zhao, X.; Qiao, B. Time-Series Graph Network for Sea Surface Temperature Prediction. Big Data Res. 2021, 25, 100237. [Google Scholar] [CrossRef]
- Gao, Z.; Li, Z.; Yu, J.; Xu, L. Global Spatiotemporal Graph Attention Network for Sea Surface Temperature Prediction. IEEE Geosci. Remote Sens. Lett. 2023, 20, 1500905. [Google Scholar] [CrossRef]
- Zhang, S.; Li, Z.; He, X.; Yu, J.; Xu, L. A Three-Dimensional Dynamic Spatial-Temporal Graph Neural Network for Ocean Temperature Field Prediction. Eng. Appl. Artif. Intell. 2025, 149, 110492. [Google Scholar] [CrossRef]
- Wen, S.; Zhang, W.; Zhou, N.; Yuan, L. Adaptive Spatio-Temporal Graph Convolutional Network for Rapid Indoor Temperature Field Prediction With Limited Sensors. Build. Environ. 2025, 283, 113346. [Google Scholar] [CrossRef]
- Nan, F.; Li, Z.; Yu, J.; Shi, S.; Wu, X.; Xu, L. Prediction of Three-Dimensional Ocean Temperature in The South China Sea Based on Time Series Gridded Data and a Dynamic Spatiotemporal Graph Neural Network. Acta Oceanol. Sin. 2024, 43, 26–39. [Google Scholar] [CrossRef]
- Chen, L.; Wang, L.; Ma, W.; Xu, X.; Wang, H. Pid4late: A Physics-Informed Deep Learning Model for Lake Multi-Depth Temperature Prediction. Earth Sci. Inf. 2024, 17, 3779–3795. [Google Scholar] [CrossRef]
- Zheng, J.; Ling, Q.; Feng, Y. Physics-Assisted and Topology-Informed Deep Learning for Weather Prediction. In Proceedings of the Thirty-Fourth International Joint Conference on Artificial Intelligence, Montreal, QC, Canada, 16–22 August 2025. [Google Scholar]
- Shi, B.; Feng, L.; He, H.; Hao, Y.; Peng, Y.; Liu, M.; Liu, J. A Physics-Guided Attention-Based Neural Network For Sea Surface Temperature Prediction. IEEE Trans. Geosci. Remote Sens. 2024, 62, 4210413. [Google Scholar] [CrossRef]
- Figueredo, M.; Ferreira, M.; Monteiro, R.; Silva, A.; Murari, T.; Neri, T. Hybrid PINN-LSTM Model for River Temperature Prediction: A Physics-Informed Deep Learning Approach. J. Comput. Commun. 2025, 13, 115–134. [Google Scholar] [CrossRef]
- Yuan, T.; Zhu, J.; Wang, W.; Lu, J.; Wang, X.; Li, X.; Ren, K. A Space-Time Partial Differential Equation Based Physics-Guided Neural Network For Sea Surface Temperature Prediction. Remote Sens. 2023, 15, 3498. [Google Scholar] [CrossRef]
- Vo, H.; Nguyen, V.; Luo, D.; Bobadilla, L. Lake Water Temperature Modeling Using Physics-Informed Neural Networks. In Proceedings of the Thirteenth International Conference on Learning Representations Workshop, Singapore, 24–28 April 2025. [Google Scholar]
- Xiao, Z.; Fang, H.; Wang, X. Distributed Nonlinear Polynomial Graph Filter and Its Output Graph Spectrum: Filter Analysis and Design. IEEE Trans. Signal Process. 2021, 69, 1725–1739. [Google Scholar] [CrossRef]
- National Climatic Data Center. 2018. Available online: ftp://ftp.ncdc.noaa.gov/pub/data/gsod (accessed on 1 February 2025).
- Veličković, P.; Cucurull, G.; Casanova, A.; Romero, A.; Liò, P.; Bengio, Y. Graph Attention Networks. Stat 2017, 20, 10-48550. [Google Scholar]
- Feng, X.; Chen, Y.; Li, H.; Ma, T.; Ren, Y. Gated Recurrent Graph Convolutional Attention Network for Traffic Flow Prediction. Sustainability 2023, 15, 7696. [Google Scholar] [CrossRef]
- Cai, J.; Su, B.; Fang, H. Physics-Informed Directed Graph Network-Based Temperature Forecasting Model. Sensors 2025, 25, 5295. [Google Scholar] [CrossRef]
- Zheng, Y.; Koh, H.; Jin, M.; Chi, L.; Phan, K.; Pan, S. Correlation-Aware Spatial–Temporal Graph Learning for Multivariate Time-Series Anomaly Detection. IEEE Trans. Neural Netw. 2023, 35, 11802–11816. [Google Scholar] [CrossRef] [PubMed]
- Hettige, K.H.; Ji, J.; Xiang, S.; Long, C.; Cong, G.; Wang, J. AirPhyNet: Harnessing Physics-Guided Neural Networks for Air Quality Prediction. In Proceedings of the Twelfth International Conference on Learning Representations, Vienna, Austria, 7 May 2024. [Google Scholar]
- Deng, A.; Hooi, B. Graph neural network-based anomaly detection in multivariate time series. In Proceedings of the Thirty-Fifth AAAI Conference on Artificial Intelligence, Virtual, 2–9 February 2021. [Google Scholar]








| Parameters | Value |
|---|---|
| Slide Window Length M | 10 |
| Number of Cities N | 100 |
| Output Dimension | 5 |
| Feature Order L | 3 |
| Feature Order J | 3 |
| Feature Length R | 20 |
| Time Steps | 20 |
| Learning Rate | 1 |
| Number of Epochs | 1000 |
| Weight-Decay Parameters | 0.02 |
| Batch Size | 10 |
| 200 |
Disclaimer/Publisher’s Note: The statements, opinions and data contained in all publications are solely those of the individual author(s) and contributor(s) and not of MDPI and/or the editor(s). MDPI and/or the editor(s) disclaim responsibility for any injury to people or property resulting from any ideas, methods, instructions or products referred to in the content. |
© 2026 by the authors. Licensee MDPI, Basel, Switzerland. This article is an open access article distributed under the terms and conditions of the Creative Commons Attribution (CC BY) license.
Share and Cite
Cai, J.; Fu, X.; Su, B.; Fang, H. Graph-Based Differential Equation Network for Medium-Range Temperature Forecasting. Electronics 2026, 15, 391. https://doi.org/10.3390/electronics15020391
Cai J, Fu X, Su B, Fang H. Graph-Based Differential Equation Network for Medium-Range Temperature Forecasting. Electronics. 2026; 15(2):391. https://doi.org/10.3390/electronics15020391
Chicago/Turabian StyleCai, Jinjing, Xiaoran Fu, Binting Su, and He Fang. 2026. "Graph-Based Differential Equation Network for Medium-Range Temperature Forecasting" Electronics 15, no. 2: 391. https://doi.org/10.3390/electronics15020391
APA StyleCai, J., Fu, X., Su, B., & Fang, H. (2026). Graph-Based Differential Equation Network for Medium-Range Temperature Forecasting. Electronics, 15(2), 391. https://doi.org/10.3390/electronics15020391

