Low-Frequency Oscillation Suppression Strategy for Ship Microgrid Based on Virtual PSS Adaptive Damping Control with Supercapacitor
Abstract
1. Introduction
2. Analysis of SM Model and LFO
2.1. Description of Transient Mathematical Models of SG
2.2. Description of Power Model of DG
2.3. Description of LFO Suppression Method for SM
3. Design of Damping Control Strategy Based on Virtual PSS
3.1. Bidirectional AC/DC Converter Modeling and Controller Design
3.2. Virtual PSS Equivalent Damping Gain Coefficient Design
3.3. Improved Model Reference Adaptive Damping Gain Design Based on the Gradient Method
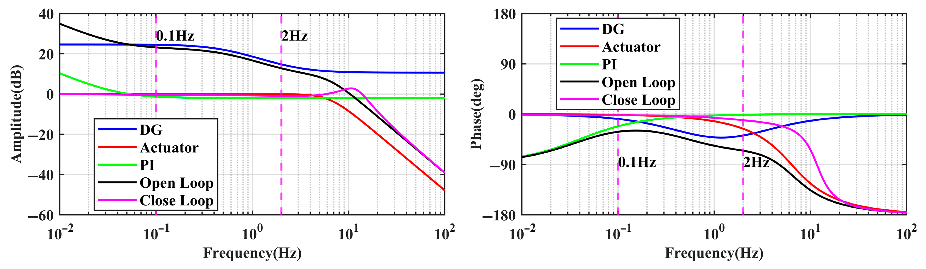
4. Result and Discussion
4.1. Residue Sensitivity Analysis Based on Modal Identification
4.2. Dynamic Response Analysis of Damping Controllers Based on Experimental Waveforms
5. Conclusions
Author Contributions
Funding
Data Availability Statement
Conflicts of Interest
References
- Chen, P.; Liu, J.; Xiao, F.; Zhu, Z.; Ren, Q. Cascaded Stability Analysis of Modular Triple-Port DC/DC Converter for Next Generation of Vessel Integrated Power System. Presented at the 2021 IEEE 12th Energy Conversion Congress & Exposition-Asia (ECCE-Asia), Singapore, 24–27 May 2021. [Google Scholar]
- Lei, C.; Li, S.; Chen, Y.C. Optimal Ship-to-Grid Dispatch Considering Battery Thermal and Voltage Electrochemical-Thermal-Coupled Constraints. IEEE Trans. Smart Grid 2025, 16, 5681–5684. [Google Scholar] [CrossRef]
- Fei, Z.; Yang, H.; Du, L.; Guerrero, J.M.; Meng, K.; Li, Z. Two-Stage Coordinated Operation of a Green Multi-Energy Ship Microgrid With Underwater Radiated Noise by Distributed Stochastic Approach. IEEE Trans. Smart Grid 2025, 16, 1062–1074. [Google Scholar] [CrossRef]
- Haddadi, M.; Gorji, S.A.; Yu, S.S. An Overview of Inertia Emulation Strategies for DC Microgrids: Stability Analysis and AC Microgrid Analogies. IEEE Open J. Ind. Electron. Soc. 2025, 6, 491–521. [Google Scholar] [CrossRef]
- Chang, G.W.; Nguyen, K.T. A New Adaptive Inertia-Based Virtual Synchronous Generator with Even Inverter Output Power Sharing in Islanded Microgrid. IEEE Trans. Ind. Electron. 2024, 71, 10693–10703. [Google Scholar] [CrossRef]
- Xu, J.; Xie, X.; Dong, W.; Yu, P.; Xing, J. Investigation of New Low-Frequency Oscillation Caused by Converter-Interfaced Generations With MMC-HVDC Transmission. IEEE Trans. Power Deliv. 2025, 40, 1067–1077. [Google Scholar] [CrossRef]
- Zhou, Y.; Hu, H.; Yang, X.; Meng, Z.; He, Z. Impacts of Quadrature Signal Generation-Based PLLs on Low-Frequency Oscillation in an Electric Railway System. IEEE Trans. Transp. Electrif. 2021, 7, 3124–3136. [Google Scholar] [CrossRef]
- Liu, R.; Zhang, H.; Xue, C.; Li, Y.R. Distributed Low-Frequency Oscillation Damping in Low-Voltage Islanded Multi-Bus Microgrids with Virtual Synchronous Generators. IEEE Trans. Smart Grid 2024, 15, 5331–5345. [Google Scholar] [CrossRef]
- Hauer, J.F.; Mittelstadt, W.A.; Martin, K.E.; Burns, J.W.; Lee, H.; Pierre, J.W. Use of the WECC WAMS in Wide-Area Probing Tests for Validation of System Performance and Modeling. IEEE Trans. Power Syst. 2009, 24, 250–257. [Google Scholar] [CrossRef]
- Shair, J.; Xie, X.; Li, H.; Terzija, V. New-Type Power System Stabilizers (NPSS) for Damping Wideband Oscillations in Converter-Dominated Power Systems. CSEE J. Power Energy Syst. 2025, 11, 1186–1198. [Google Scholar]
- Du, B.; Zhu, J.; Hu, J.; Guo, Z.; Li, Y.; Guo, J. Electromagnetic Oscillation Stabilizer for Large-Scale Power Electronics-Dominated Power Systems in LTP Framework–Part II: Generalized Periodic Stabilization Control and Design. IEEE Trans. Power Electron. 2025, 40, 17186–17202. [Google Scholar] [CrossRef]
- Prakasa, M.A.; Robandi, I.; Nishimura, R.; Djalal, M.R. A Hybrid Controlling Parameters of Power System Stabilizer and Virtual Inertia Using Harris Hawk Optimizer in Interconnected Renewable Power Systems. IEEE Access 2024, 12, 76219–76243. [Google Scholar] [CrossRef]
- Kim, J.; Kim, S.; Park, J.H. A Novel Control Strategy to Improve Stability and Performance of a Synchronous Generator Using Jacobian Gain Control. IEEE Trans. Power Syst. 2023, 38, 302–315. [Google Scholar] [CrossRef]
- Rodriguez-Amenedo, J.L.; Gomez, S.A. Damping Low-Frequency Oscillations in Power Systems Using Grid-Forming Converters. IEEE Access 2021, 9, 158984–158997. [Google Scholar] [CrossRef]
- Hossain, M.B.; Islam, M.R.; Muttaqi, K.M.; Sutanto, D.; Agalgaonkar, A.P. A Probabilistic Approach for Sizing the Components of Hybrid Energy Storage Used in Wind Energy Conversion System. Presented at the 2023 IEEE International Conference on Energy Technologies for Future Grids (ETFG), Wollongong, Australia, 3–6 December 2023. [Google Scholar]
- Jackson, D.; Cao, Y. A Universal Modeling Framework for Real and Virtual Energy Storage. Presented at the 2023 IEEE Energy Conversion Congress and Exposition (ECCE), Nashville, TN, USA, 29 October–2 November 2023. [Google Scholar]
- Prince, M.K.K.; Arif, M.T.; Gargoom, A.; Altaf, M.W.; Muttaqi, K.M.; Haque, M.E. Coordinated Control of Grid-connected PMSG Based Wind Energy System with STATCOM and Supercapacitor Energy Storage. Presented at the 2022 IEEE Industry Applications Society Annual Meeting (IAS), Detroit, MI, USA, 9–14 October 2022. [Google Scholar]
- Zhang, Y.; Shan, J.; Song, T.; Huang, Z.; Zhu, X. Back Propagation Artificial Neural Network Based DC Bus Capacitance Identification Method in Three-Phase PWM Rectifier for Charging System of EVs. IEEE Trans. Ind. Electron. 2024, 71, 4830–4839. [Google Scholar] [CrossRef]
- Deng, X.; Wan, C.; Jiang, L.; Gao, G.; Huang, Y. Open-Switch Fault Diagnosis of Three-Phase PWM Converter Systems for Magnet Power Supply on EAST. IEEE Trans. Power Electron. 2023, 38, 1064–1078. [Google Scholar] [CrossRef]
- Huang, S.; Wang, Q.; Xiong, L.; Zhou, Y.; Gao, F.; Huang, W. Dynamic Event-Triggered-Based Privacy-Preserving Secondary Control for AC Microgrids with Optimal Power Allocation via State Decomposition. IEEE Trans. Ind. Appl. 2025, 1–13. [Google Scholar] [CrossRef]
- Huang, S.; Wang, L.; Xiong, L.; Zhou, Y.; Gao, F.; Huang, W. Hierarchical Robustness Strategy Combining Model-Free Prediction and Fixed-Time Control for Islanded AC Microgrids. IEEE Trans. Smart Grid 2025, 16, 4380–4394. [Google Scholar] [CrossRef]
- IEEE Std 421.5-1992; IEEE Recommended Practice for Excitation System Models for Power System Stability Studies. IEEE Power Engineering Society: New York, NY, USA, 1992.























| 1 | −0.2246 | 7.0925 | 1.13 | 0.0317 | 0.0998 | 0.0024 | 0.0999 | 1.40° |
| 2 | −0.2246 | −7.0925 | 1.13 | 0.0317 | 0.0998 | −0.0024 | 0.0999 | −1.40° |
| 3 | −1.9977 | 0.0000 | 0.00 | 1.0000 | 0.0002 | 0.0000 | 0.0003 | 0.00° |
| 4 | −0.0406 | 0.0000 | 0.00 | 1.0000 | −0.0000 | 0.0000 | 0.0000 | 180° |
| 1 | 0.2753 | −14.22 − 72.12j | −30.29 + 4.01j | −159.88 − 718.18j | −503.69 + 67.62j |
| 2 | 0.2753 | −14.22 + 72.12j | −30.29 − 4.01j | −159.88 + 718.18j | −503.69 − 67.62j |
| 3 | 26.361 | −0.03 + 0.00j | 0.78 + 0.00j | −104.60 + 0.00j | 120.78 + 0.00j |
| 4 | 13.6456 | −0.00 + 0.00j | 0.02 + 0.00j | 98.52 + 0.00j | 102.12 + 0.00j |
Disclaimer/Publisher’s Note: The statements, opinions and data contained in all publications are solely those of the individual author(s) and contributor(s) and not of MDPI and/or the editor(s). MDPI and/or the editor(s) disclaim responsibility for any injury to people or property resulting from any ideas, methods, instructions or products referred to in the content. |
© 2026 by the authors. Licensee MDPI, Basel, Switzerland. This article is an open access article distributed under the terms and conditions of the Creative Commons Attribution (CC BY) license.
Share and Cite
Ding, Y.; Zhao, K.; Duan, J.; Sun, L. Low-Frequency Oscillation Suppression Strategy for Ship Microgrid Based on Virtual PSS Adaptive Damping Control with Supercapacitor. Electronics 2026, 15, 390. https://doi.org/10.3390/electronics15020390
Ding Y, Zhao K, Duan J, Sun L. Low-Frequency Oscillation Suppression Strategy for Ship Microgrid Based on Virtual PSS Adaptive Damping Control with Supercapacitor. Electronics. 2026; 15(2):390. https://doi.org/10.3390/electronics15020390
Chicago/Turabian StyleDing, Yue, Ke Zhao, Jiandong Duan, and Li Sun. 2026. "Low-Frequency Oscillation Suppression Strategy for Ship Microgrid Based on Virtual PSS Adaptive Damping Control with Supercapacitor" Electronics 15, no. 2: 390. https://doi.org/10.3390/electronics15020390
APA StyleDing, Y., Zhao, K., Duan, J., & Sun, L. (2026). Low-Frequency Oscillation Suppression Strategy for Ship Microgrid Based on Virtual PSS Adaptive Damping Control with Supercapacitor. Electronics, 15(2), 390. https://doi.org/10.3390/electronics15020390

