High-Speed Thin-Film Lithium Niobate Modulator Based on Novel Dual-Capacitor Electrode Design
Abstract
1. Introduction
2. Theoretical Analysis
- (1)
- First is impedance matching between the modulator’s transmission line and the 50 Ω driving electronics. Although the electrode is typically designed for a 50 Ω characteristic impedance (Z0), practical constraints often result in imperfect matching (frequently with Z0 < 50 Ω), leading to RF power reflection and bandwidth reduction [38]. The relationship between S-parameters and microwave transmission characteristics is modeled using an ABCD matrix, as given by [39]
- (2)
- Transmission line loss constitutes a primary limitation for the high-frequency performance of LNOI modulators. This attenuation, governed by conductor loss, dielectric loss, and scattering from surface roughness, increases with frequency and directly limits the achievable bandwidth [40].
- (3)
- The phase velocity of the microwave must match the group velocity of the optical wave to ensure velocity synchronism [41,42]. The weak electro-optic interaction in LN platforms results in a low microwave effective index, which simplifies the design of the transmission line for velocity matching. The microwave index can be effectively tuned via the thickness of the cladding or buried oxide layer, combined with the geometry of the metallic electrodes, to achieve precise phase velocity matching while maintaining low propagation loss.
3. Design and Simulations
3.1. Device Structure
3.2. Simulation Analysis of VπL
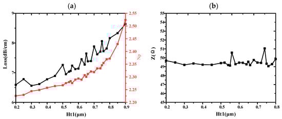
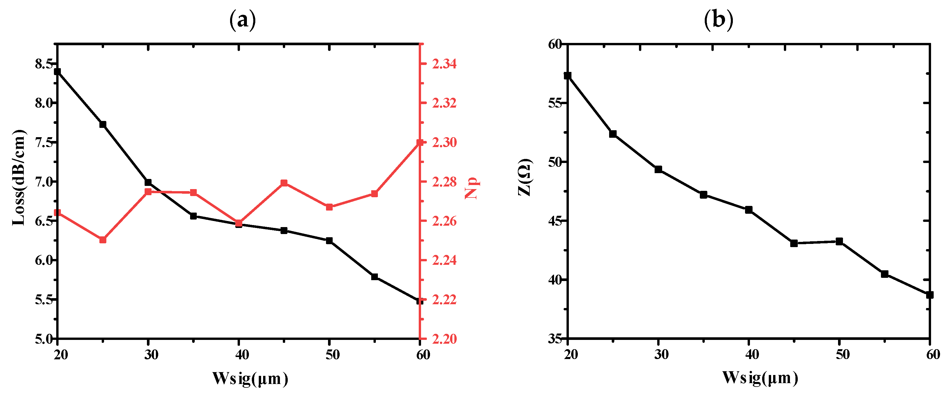
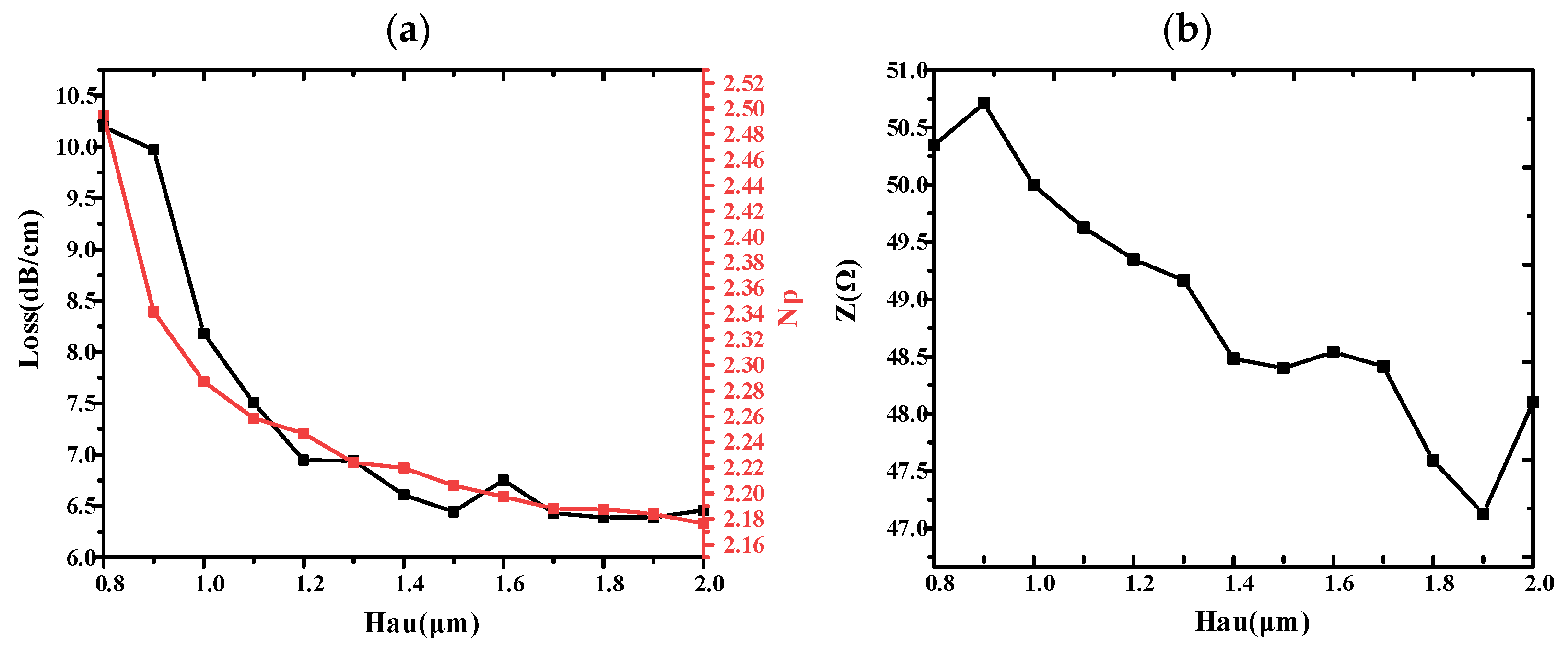
3.3. Simulation Analysis of Modulation Region
4. EO Bandwidth Simulation
5. Roadmap for Future Fabrication and Testing
6. Conclusions
Author Contributions
Funding
Data Availability Statement
Acknowledgments
Conflicts of Interest
Correction Statement
References
- Xu, M.; Cai, X. Advances in integrated ultra-wideband electro-optic modulators. Opt. Express 2022, 30, 7253–7274. [Google Scholar] [CrossRef] [PubMed]
- Wang, C.; Zhang, M.; Chen, X.; Bertrand, M.; Shams-Ansari, A.; Chandrasekhar, S.; Winzer, P.; Lončar, M. Integrated lithium niobate electro-optic modulators operating at CMOS-compatible voltages. Nature 2018, 562, 101–104. [Google Scholar] [CrossRef]
- Chen, G.; Liu, L. High-performance thin-film lithium niobate electro-optic modulator (Invited). Acta Opt. Sin. 2024, 44, 9–29. [Google Scholar]
- Duvillaret, L.; Rialland, S.; Coutaz, J.L. Electro-optic sensors for electric field measurements. I. Theoretical comparison among different modulation techniques. J. Opt. Soc. Am. B 2002, 19, 2692–2703. [Google Scholar] [CrossRef]
- Marpaung, D.; Yao, J.; Capmany, J. Integrated microwave photonics. Nat. Photonics 2019, 13, 80–90. [Google Scholar] [CrossRef]
- Boes, A.; Chang, L.; Langrock, C.; Yu, M.; Zhang, M.; Lin, Q.; Loncar, M.; Fejer, M.; Bowers, J.; Mitchell, A. Lithium niobate photonics: Unlocking the electromagnetic spectrum. Science 2023, 379, eabj4396. [Google Scholar] [CrossRef]
- Saravi, S.; Pertsch, T.; Setzpfandt, F. Lithium niobate on insulator: An emerging platform for integrated quantum photonics. Adv. Opt. Mater. 2021, 9, 2100789. [Google Scholar] [CrossRef]
- Li, M.; Chang, L.; Wu, L.; Staffa, J.; Ling, J.; Javid, U.A.; Xue, S.; He, Y.; Lopez-Rios, R.; Morin, T.J.; et al. Integrated pockels laser. Nat. Commun. 2022, 13, 5344. [Google Scholar] [CrossRef]
- Shen, H.; Zhang, L.; Li, M.; Huang, F.; She, X.; Chen, K.; Bi, R.; Wang, L.; Shu, X. Multi-function integrated optic chip for miniaturized resonant fiber optic gyroscope. Opt. Commun. 2025, 583, 131774. [Google Scholar] [CrossRef]
- Li, X.; Pei, W.; Lu, Y.; Li, W.; Huang, A.; Feng, D. Multifunction Thin-Film Lithium Niobate Chip for an Interference Optical Gyroscope. IEEE Sens. J. 2025, 25, 35853–35862. [Google Scholar] [CrossRef]
- Zhang, Y.; Yang, J.; Zeng, Y.; Chen, Z.; Feng, H.; Zhu, S.; Shum, K.M.; Chan, C.H.; Wang, C. Monolithic lithium niobate photonic chip for efficient terahertz-optic modulation and terahertz generation. Nat. Commun. 2025, 16, 10330. [Google Scholar] [CrossRef]
- Ma, R.; Huang, Z.; Gao, S.; Wang, J.; Wang, X.; Zhang, X.; Hao, P.; Yao, X.S.; Cai, X.L. Ka-band thin film lithium niobate photonic integrated optoelectronic oscillator. Photonics Res. 2024, 12, 1283–1293. [Google Scholar] [CrossRef]
- Liu, Y.; Li, H.; Liu, J.; Tan, S.; Lu, Q.; Guo, W. Low Vπ thin-film lithium niobate modulator fabricated with photolithography. Opt. Express 2021, 29, 6320–6329. [Google Scholar] [CrossRef] [PubMed]
- Fan, J.; Li, W.; Luo, Q.; Yu, X.; Bo, F.; Zhang, G.; Xu, J. Research progress of thin-film lithium niobate electro-optic modulators. Sci. China Phys. Mech. Astron. 2024, 54, 19–37. [Google Scholar]
- Kharel, P.; Reimer, C.; Luke, K.; He, L.; Zhang, M. Breaking voltage–bandwidth limits in integrated lithium niobate modulators using micro-structured electrodes. Optica 2021, 8, 357–363. [Google Scholar] [CrossRef]
- Valdez, F.; Mere, V.; Wang, X.; Boynton, N.; Friedmann, T.A.; Arterburn, S.; Dallo, C.; Pomerene, A.T.; Starbuck, A.L.; Trotter, D.C.; et al. 110 GHz, 110 mW hybrid silicon-lithium niobate Mach-Zehnder modulator. Sci. Rep. 2022, 12, 18611. [Google Scholar] [CrossRef]
- Xu, G.; Ma, X.; Sheng, C.; Liu, H. Slow-light lithium niobate electro-optic modulator using an artificial spoof surface plasmon polariton electrode. Acta Opt. Sin. 2023, 43, 272–278. [Google Scholar]
- Chen, N.; Yu, Y.; Lou, K.; Mi, Q.; Chu, T. High-efficiency thin-film lithium niobate modulator with highly confined optical modes. Opt. Lett. 2023, 48, 1602–1605. [Google Scholar] [CrossRef]
- Hu, S.; Zhou, X.; Qi, B.; Sun, C. Large Bandwidth Thin Film Lithium Niobate Electro-Optic Modulator with Periodic Dual-Capacitance Structured Electrodes. In Proceedings of the 22nd International Conference on Optical Communications and Networks (ICOCN), Harbin, China, 26–29 July 2024; IEEE: Piscataway, NJ, USA, 2024; pp. 1–3. [Google Scholar]
- Yu, Z.; Tu, D.; Yan, W.; Guan, H.; Jiang, L.; Sun, X.; Li, Z. 120 ghz sub-2 v thin-film lithium niobate modulators on silicon substrate using thick capacitively loaded slow wave electrodes. IEEE Photonics J. 2024, 16, 1–5. [Google Scholar] [CrossRef]
- Yue, G.; Yang, H.; Zhang, Z.; Hao, T.; Xiao, L.; Li, Y. Dual-layer capacitance-loaded thin-film lithium niobate electro-optic modulator with high modulation efficiency. Opt. Express 2024, 32, 23161–23170. [Google Scholar] [CrossRef]
- Wang, S.; Liu, H.; Wang, M.; Chen, H.; Ma, Z.; Pan, B.C.; Huang, Y.S.; Shi, Y.Q.; Li, C.L.; Gao, H.; et al. A quasi-matching scheme for arbitrary group velocity match in electro-optic modulation. APL Photonics 2024, 9, 086112. [Google Scholar] [CrossRef]
- Liu, Y.; Li, H.; Li, Y.; Li, H.; Hao, Y.; Qin, L.; Yang, J. High-speed electro-optic modulator with group velocity matching on silicon substrate. Front. Bioeng. Biotechnol. 2025, 13, 1626017. [Google Scholar] [CrossRef]
- Wang, P.; Li, D.; Zhang, T.; Tao, J.; Wang, X.; Liu, J.; Li, J. A Broadband Thin-Film Lithium Niobate Modulator Using an Electrode with Dual Slow-Wave Structures. Photonics 2025, 12, 452. [Google Scholar] [CrossRef]
- Xue, X.; Xu, Y.; Ding, W.; Ye, R.; Qiu, J.; Li, G.; Liu, S.; Li, H.; Yuan, L.; Wang, B.; et al. High-performance thin-film lithium niobate Mach-Zehnder modulator on thick silica buffering layer. arXiv 2024, arXiv:2412.12556. [Google Scholar]
- Ruan, Z.; Hu, J.; Xue, Y.; Liu, J.; Chen, B.; Wang, J.; Chen, K.; Chen, P.; Liu, L. Metal based grating coupler on a thin-film lithium niobate waveguide. Opt. Express 2020, 28, 35615–35621. [Google Scholar] [CrossRef]
- Wang, Z.; Chen, G.; Ruan, Z.; Gan, R.; Huang, P.; Zheng, Z.; Lu, L.; Li, J.; Guo, C.; Chen, K.; et al. High performance thin-film lithium niobate modulator on a silicon substrate using periodic capacitively loaded traveling-wave electrode. APL Photonics 2022, 7, 026103. [Google Scholar]
- Wang, Z.; Huang, P.; Lu, C.; Lau, A.; Dai, D.; Guo, C. Silicon–lithium niobate hybrid intensity and coherent modulators using a periodic capacitively loaded traveling-wave electrode. ACS Photonics 2022, 9, 2668–2675. [Google Scholar] [CrossRef]
- Wang, M.; Qi, L.; Wang, H.; Ruan, Z.; Chen, G.; Chen, B.; Gong, S.; Chen, K.; Liu, L. Robust thin-film lithium niobate modulator on a silicon substrate with backside holes. Chin. Opt. Lett. 2024, 22, 050601. [Google Scholar] [CrossRef]
- Du, Y.; Zou, X.; Zou, F.; Pan, W.; Yan, L.; Zhao, Q.; Liu, N. Novel Folded Structure TFLN Recycling Phase Modulator Enabling Large Low-Vπ Bandwidth and Efficient Microwave–Optical Velocity Matching. Laser Photonics Rev. 2024, 18, 2400787. [Google Scholar] [CrossRef]
- Chen, G.; Wang, H.; Chen, B.; Ruan, Z.; Guo, C.; Chen, K.; Liu, L. Compact slow-light waveguide and modulator on thin-film lithium niobate platform. Nanophotonics 2023, 12, 3603–3611. [Google Scholar] [CrossRef] [PubMed]
- Mercante, A.J.; Shi, S.; Yao, P.; Xie, L.; Weikle, R.M.; Prather, D.W. Thin film lithium niobate electro-optic modulator with terahertz operating bandwidth. Opt. Express 2018, 26, 14810–14816. [Google Scholar] [CrossRef]
- Cao, L.; Aboketaf, A.; Wang, Z.; Preble, S. Hybrid amorphous silicon (a-Si: H)–LiNbO3 electro-optic modulator. Opt. Commun. 2014, 330, 40–44. [Google Scholar] [CrossRef]
- Liu, X.; Xiong, B.; Sun, C.; Wang, J.; Hao, Z.; Wang, L.; Han, Y.; Li, H.; Yu, J.; Luo, Y. Wideband thin-film lithium niobate modulator with low half-wave-voltage length product. Chin. Opt. Lett. 2021, 19, 060016. [Google Scholar] [CrossRef]
- Song, S.; Li, H.; Yang, J.; Yin, Y.; Yang, W.; Li, Y.; Cen, M. High-Performance Thin Film Lithium Niobate Electro-optic Modulator By Embedding Structure. IEEE Photonics Technol. Lett. 2025, 62, 1858–1864. [Google Scholar] [CrossRef]
- Yariv, A.; Yeh, P.; Yariv, A. Photonics: Optical Electronics in Modern Communications; Oxford University Press: New York, NY, USA, 2007. [Google Scholar]
- Li, Y.; Lan, T.; Yang, D.; Bao, J.; Xiang, M.; Yang, F.; Wang, Z. High-performance Mach–Zehnder modulator based on thin-film lithium niobate with low voltage-length product. ACS Omega 2023, 8, 9644–9651. [Google Scholar] [CrossRef] [PubMed]
- Zhu, D.; Shao, L.; Yu, M.; Cheng, R.; Desiatov, B.; Xin, C.J.; Hu, Y.; Holzgrafe, J.; Ghosh, S.; Shams-Ansari, A.; et al. Integrated photonics on thin-film lithium niobate. Adv. Opt. Photonics 2021, 13, 242–352. [Google Scholar] [CrossRef]
- Weigel, P.O. High-Speed Hybrid Silicon-Lithium Niobate Electro-Optic Modulators & Related Technologies. Ph.D. Thesis, University of California, San Diego, CA, USA, 2018. [Google Scholar]
- Pozar, D.M. Microwave Engineering; Wiley: Hoboken, NJ, USA, 2005. [Google Scholar]
- Aoki, K.; Kondou, J.; Mitomi, O.; Minakata, M. Velocity-matching conditions for ultrahigh-speed optical LiNbO3 modulators with traveling-wave electrode. Jpn. J. Appl. Phys. 2006, 45, 8696–8698. [Google Scholar] [CrossRef]
- Rigrod, W.W.; Kaminow, I.P. Wide-band microwave light modulation. Proc. IEEE 2005, 51, 137–140. [Google Scholar] [CrossRef]
- Rao, A.; Fathpour, S. Compact lithium niobate electrooptic modulators. IEEE J. Sel. Top. Quantum Electron. 2018, 24, 1–14. [Google Scholar] [CrossRef]
- Wooten, E.L.; Kissa, K.M.; Yi-Yan, A.; Murphy, E.J.; Lafaw, D.A.; Hallemeier, P.F.; Maack, D.; Attanasio, D.V.; Fritz, D.J.; McBrien, G.J.; et al. A review of lithium niobate modulators for fiber-optic communications systems. IEEE J. Sel. Top. Quantum Electron. 2000, 6, 69–82. [Google Scholar] [CrossRef]
- Li, H.; Song, S.; Yin, Y.; Xie, S.; Yang, W.; Li, Y.; Yang, J.; Xiong, B. Design of a high-modulation-efficiency thin-film lithium niobate electro-optic modulator. Opt. Commun. Technol. 2024, 22, 090003. [Google Scholar]
- Noguchi, K.; Miyazawa, H.; Mitomi, O. Frequency-dependent propagation characteristics of coplanar electrode on 100GHz Ti:LiNbO3 optical modulator. Electron. Lett. 2002, 34, 661. [Google Scholar] [CrossRef]
- Gu, J.; Wu, B. Analysis on the microwave attenuation coefficient of traveling-wave electrodes with complicated cross-sections in Ti: LiNbO3 optical modulators. Acta Electron. Sin. 1998, 26, 58–61. [Google Scholar]
- Capelli, F.; Riba, J.R. Analysis of formulas to calculate the AC inductance of different configurations of nonmagnetic circular conductors. Electr. Eng. 2017, 99, 827–837. [Google Scholar] [CrossRef]












| Reference | Substrate | Innovative Structure (Waveguide /Electrode) | (V·cm) | Length (mm) | Optical Loss (dB/cm) | EO Bandwidth (GHz) |
|---|---|---|---|---|---|---|
| [15] | Quartz | segmented | 2.3 | 10 | <1 | >100 |
| [16] * | Silicon | SWE | 3.1 | 5 | 0.8 | >110 |
| [18] | Silicon | optical isolation trenches | 1.2 | 4 | 0.25 | >40 |
| [19] | Silicon | periodic dual-capacitance structured electrodes | 1.7 | 5 | 0.1 | 190 |
| [20] | Silicon | low-inductance thick-metal traveling-wave electrode | 2.5 | 12.5 | - | 120 |
| [21] | Quartz | two capacitively loaded layers of T-rail-shaped electrodes | 1.6 | 5 | - | 67 |
| [22] | Silicon | cascaded TWE | 3.65 | 6 | - | 50 |
| [23] * | Silicon | TU-TWEs | 1.35 | 10 | - | >110 |
| [24] | Silicon | CPW-SWS | 3.36 | 8 | - | >130 |
| This work * | Silicon | dual-capacitance interdigitated T-shaped electrode | 1.18 | 10 | 0.1 | >70 |
Disclaimer/Publisher’s Note: The statements, opinions and data contained in all publications are solely those of the individual author(s) and contributor(s) and not of MDPI and/or the editor(s). MDPI and/or the editor(s) disclaim responsibility for any injury to people or property resulting from any ideas, methods, instructions or products referred to in the content. |
© 2025 by the authors. Licensee MDPI, Basel, Switzerland. This article is an open access article distributed under the terms and conditions of the Creative Commons Attribution (CC BY) license.
Share and Cite
Yin, Y.; Yang, M.; Ju, T.; Yang, W.; Li, Y.; Li, H. High-Speed Thin-Film Lithium Niobate Modulator Based on Novel Dual-Capacitor Electrode Design. Electronics 2026, 15, 89. https://doi.org/10.3390/electronics15010089
Yin Y, Yang M, Ju T, Yang W, Li Y, Li H. High-Speed Thin-Film Lithium Niobate Modulator Based on Novel Dual-Capacitor Electrode Design. Electronics. 2026; 15(1):89. https://doi.org/10.3390/electronics15010089
Chicago/Turabian StyleYin, Yihui, Mi Yang, Tao Ju, Wanli Yang, Yue Li, and Hanyu Li. 2026. "High-Speed Thin-Film Lithium Niobate Modulator Based on Novel Dual-Capacitor Electrode Design" Electronics 15, no. 1: 89. https://doi.org/10.3390/electronics15010089
APA StyleYin, Y., Yang, M., Ju, T., Yang, W., Li, Y., & Li, H. (2026). High-Speed Thin-Film Lithium Niobate Modulator Based on Novel Dual-Capacitor Electrode Design. Electronics, 15(1), 89. https://doi.org/10.3390/electronics15010089
