Next Article in Journal
Optimizing Access to Interoperability Resources in Mobility Through Context-Aware Large Language Models (LLMs)
Previous Article in Journal
Research on an Integrated Method for Pre-Disaster Robust Optimization, In-Disaster Emergency Disposal and Post-Disaster Coordinated Restoration of Port Power Grids
 
 
Font Type:
Arial Georgia Verdana
Font Size:
Aa Aa Aa
Line Spacing:
Column Width:
Background:
Article

Research on a Dual-Trust Selfish Node Detection Algorithm Based on Behavioral and Social Characteristics in VANETs

1
School of Computer Information and Technology, Hubei Engineering University, Xiaogan 432000, China
2
School of Computer Science, Hubei University, Wuhan 430062, China
3
College of Technology, Hubei Engineering University, Xiaogan 432000, China
*
Author to whom correspondence should be addressed.
Electronics 2026, 15(1), 150; https://doi.org/10.3390/electronics15010150 (registering DOI)
Submission received: 18 November 2025 / Revised: 24 December 2025 / Accepted: 26 December 2025 / Published: 29 December 2025
(This article belongs to the Section Computer Science & Engineering)

Abstract

In Vehicular Ad Hoc Networks (VANETs), vehicles act as independent nodes that can freely establish connections and exchange messages. However, during data forwarding, vehicle nodes may exhibit selfish behavior due to limited resources such as buffer space and bandwidth, or because of social bias, which leads to a decrease in message delivery rate and an increase in communication overhead. To address this issue, this paper proposes a Dual-Trust Selfish Node Detection Algorithm (DTSDA) based on behavioral and social characteristics. The algorithm first employs a node forwarding behavior evaluation mechanism to detect selfish behaviors caused by resource constraints. Then, it introduces behavioral and social features to construct a dual-trust computation model, which further identifies nodes that are difficult to classify. Finally, a message acknowledgment feedback mechanism is incorporated to detect potential false negatives. Experiments are conducted on the ONE simulation platform, and the proposed DTSDA is compared with STCDA, CCSDA, and DSNDA algorithms. The results demonstrate that DTSDA significantly improves the message delivery rate while reducing the end-to-end delay. This study shows that the proposed algorithm can accurately detect selfish nodes in highly dynamic VANET environments, providing a new approach to enhancing communication reliability in vehicular networks.

1. Introduction

In recent years, with the rapid development of mobile networks and the exponential growth of Internet of Things (IoT) devices [1,2], an increasing number of vehicles have been equipped with wireless communication capabilities. As a result, Vehicular Ad Hoc Networks (VANETs) have emerged as a key enabling technology for Intelligent Transportation Systems (ITS) [3]. Through vehicle-to-vehicle (V2V), vehicle-to-infrastructure (V2I), and vehicle-to-everything (V2X) communications, VANETs support various applications such as traffic safety warnings, route planning, and infotainment services [4]. With the large-scale deployment of VANETs, ensuring secure and privacy-preserving communications has become an essential research issue. Authentication mechanisms are widely adopted to prevent message forgery, impersonation, and replay attacks [5,6]. However, these mechanisms mainly ensure the legitimacy of message sources and do not directly address selfish forwarding behavior, which significantly impacts data delivery performance in highly dynamic environments. Due to the high mobility of vehicle nodes, network topology changes frequently. Moreover, constrained resources such as buffer space and bandwidth, as well as individual preferences and social factors, may cause vehicles to behave selfishly by refusing to forward packets. As shown in Figure 1, the presence of selfish nodes leads to increased end-to-end latency, traffic congestion, and difficulties in route selection. To address these issues, several researchers have proposed trust-based mechanisms, lightweight methods based on behavioral logic, and machine learning-based detection. Existing hybrid models, such as those combining social and interaction features, have made progress but often treat trust as a long-term, relatively static indicator. These models fail to capture the rapid behavioral fluctuations and transient state changes inherent in VANETs. Furthermore, they often overlook the impact of physical resource constraints (e.g., buffer status) on forwarding behavior, which can lead to misjudging a resource-depleted node as subjectively selfish; while machine learning-based techniques achieve high accuracy, their reliance on complex models and high computational resources makes them unsuitable for real-time deployment on resource-constrained On-Board Units (OBUs).
To address these issues, several researchers have proposed trust-based mechanisms [7], methods based on behavioral logic [8], and machine learning-based detection [9]. Existing hybrid models, such as those combining social and interaction features, have made progress but often treat trust as a long-term, relatively static indicator. These models fail to capture the rapid behavioral fluctuations and transient state changes inherent in VANETs. Furthermore, they often overlook the impact of physical resource constraints (e.g., buffer status) on forwarding behavior, which can lead to misjudging a resource-depleted node as subjectively selfish; while machine learning-based techniques achieve high accuracy, their reliance on complex models and high computational resources makes them unsuitable for real-time deployment on resource-constrained On-Board Units (OBUs). To address these challenges, this paper proposes a computationally efficient Dual-Trust Selfish Node Detection Algorithm (DTSDA) based on behavioral and social characteristics. Unlike existing hybrid schemes, DTSDA adopts a multi-stage detection pipeline. It first employs a resource-aware preliminary evaluation (NFBE) to differentiate between physical resource limitations and intentional selfishness. Then, it introduces a dynamic dual-trust model that incorporates exponentially decayed time-weighting for behavioral evaluation and distance-aware social similarity for stability assessment. Finally, a message acknowledgment feedback mechanism (MAFM) is used to capture sophisticated selfish behaviors.
The main contributions of this study are summarized as follows: (1) A Multi-stage Hierarchical Detection Framework: We propose a layered logic that starts with a resource-aware evaluation (NFBE) to filter non-subjective misbehaviors caused by buffer or bandwidth depletion before performing trust fusion, ensuring that the detection focuses on intentional selfishness. (2) Spatio-temporally Sensitive Dynamic Trust Model: Unlike static hybrid models, we introduce an exponentially decayed time-weighting mechanism and a dynamic contribution factor to capture the evolution of node behavior over time, enabling the system to reflect trustworthiness in real-time within highly dynamic topologies. (3) Physical Distance-Aware Social Modeling: We integrate a Euclidean distance decay factor into social feature modeling to suppress the overestimation of trust for distant nodes, enhancing the physical plausibility and stability of social trust evaluations in urban traffic scenarios. (4) We design DTSDA to rely on algebraic formulas with O ( N ) complexity rather than resource-intensive training, ensuring it is lightweight enough for real-time execution on vehicular embedded hardware while significantly improving delivery ratio and reducing latency.
The remainder of this paper is organized as follows: Section 2 reviews the related work. Section 3 presents the system model of the proposed DTSDA. Section 4 describes the detailed algorithmic process. Section 5 provides performance comparisons and evaluations with other algorithms. Finally, Section 6 concludes the paper.

2. Related Work

According to existing survey studies, as shown in [10], trust management models can be roughly categorized into five types: Traditional techniques, Network techniques, Data techniques, Situation and Location, and AI-based models. In addition, ref. [11] classifies selfish node detection into local and cooperative approaches. In local detection, behavioral detection is employed, whereas cooperative detection includes trust-based detection and other subcategories. Meanwhile, ref. [12] provides a detailed discussion on trust/reputation establishment mechanisms in VANETs. Based on these existing classification methods, this paper summarizes the research directions of selfish node detection in VANETs into three categories: reputation/credit-basedmethods, trust-based mechanisms, and socially-aware and machine learning-based approaches.

2.1. Reputation- and Credit-Based Methods

In early studies, mechanisms such as monetary incentives and watchdogs were commonly used to monitor node forwarding behavior [13]. These approaches were later introduced into VANET scenarios for detecting selfish nodes. In [14], a watchdog system is employed to identify selfish nodes in the network, where watchdog nodes analyze messages received through social relationships between nodes to determine selfish behavior. Sanaz Nobahary et al. proposed a credit-based selfish node detection scheme in [15], where credits are stored at nodes and cluster heads are used to identify selfish nodes. Such methods are structurally simple and incur low detection costs; however, they are prone to the effects of unstable links and tend to perform poorly in sparse network scenarios.

2.2. Trust-Based Methods and Hybrid Methods

With the advancement of research, scholars have employed trust management mechanisms to address the complexity of VANETs. Mehmet et al. proposed a dynamic trust management model in [16], which dynamically manages trust through automatically generated trust computation formulas and timely detection of environmental changes, enabling real-time evaluation of vehicle trustworthiness within traffic models. However, it overlook fine-grained behavioral forwarding characteristics and social proximity among vehicles, which imposes certain limitations, particularly in sparse or highly dynamic network scenarios. Chen et al. [17] incorporated payoff-based calculations to assess the social trust level of nodes, distinguishing between individual selfish nodes and socially selfish nodes; while Chen’s model is an excellent one for identifying selfish social behavior through benefit analysis, it primarily focuses on social utility, resembling a game theory or payoff assessment model that emphasizes evaluating the benefits a node gains from forwarding messages in a social network. In [18], Fan proposed a hybrid model that combines social trust and behavioral trust. However, Fan’s method is a relatively flat weighted model that calculates a comprehensive trust value by combining interaction frequency and social characteristics. Furthermore, Fan’s paper rarely discusses the real-time resource status of vehicles directly, focusing instead on social attributes and communication frequency triggers. Recently, decentralized trust management frameworks have also been explored to enhance trust robustness in vehicular networks. A blockchain-driven trust management scheme [19] was proposed to provide tamper-resistant and decentralized trust evaluation for intelligent transportation systems in VANETs. By leveraging distributed ledger technology, this approach improves trust consistency and resistance to malicious manipulation. However, the introduction of blockchain mechanisms inevitably incurs additional communication and computation overhead, which may limit scalability and real-time applicability in highly dynamic VANET environments. In addition, trust management models considering privacy and data integrity [20] have been investigated in vehicular edge-cloud scenarios. SecureTrust-PI introduced a privacy-integrity trust management model that aims to reduce misclassification while preserving data integrity and network performance. Although such architecture-level approaches enhance trust reliability, they are not specifically designed to capture selfish packet forwarding behavior or social interaction patterns among vehicles in decentralized VANET environments. These methods exhibit higher adaptability in dynamic scenarios; however, they often overlook fine-grained behavioral forwarding characteristics and social proximity among vehicles, which imposes certain limitations, particularly in sparse or highly dynamic network scenarios.

2.3. Socially-Aware Methods

In VANETs, some studies have attempted to incorporate socially-aware factors to assist nodes in trust evaluation, aiming to better reflect the interactions among vehicles. Zhu et al. proposed a socially-aware routing protocol [21] that leverages strong and weak social ties to improve routing performance in various scenarios; while this work demonstrated the importance of social relationships in VANETs, it primarily focused on routing optimization and did not directly address selfish node detection. Shahid et al. introduced a cooperative trust-based node detection method [22], which evaluates node reliability using collaborative trust and socially exchanged information to identify selfish nodes. This approach incorporates social attributes into trust computation, yet its detection accuracy and real-time performance remain limited in complex scenarios. Sarker et al. [23] combined reinforcement learning with social features to propose a neighbor selection framework featuring an adaptive trust management system. By integrating social relationships, temporal factors, and trust observations, this method facilitates more informed node selection. However, the overhead introduced by reinforcement learning may hinder its applicability in real vehicular environments, where lightweight and real-time operation is required.

2.4. Machine Learning-Based Methods

With the rapid development of machine learning, researchers have begun to apply ML techniques for node detection in VANETs. For instance, ref. [9] proposed an unsupervised anomaly detection method to mitigate false information attacks in VANETs. This approach employs multidimensional feature clustering and anomaly detection to identify abnormal nodes without relying on historical or manually labeled data. Experimental results show that it can detect abnormal nodes with high accuracy and low latency. Rashid [24] introduced a distributed multi-layer classifier that combines multiple ML models with vehicle behavior, traffic characteristics, and network congestion metrics, achieving a detection rate of approximately 98–99%. Canh [25] focused on detecting black hole attacks, while Jyothi [26] proposed an optimization-based deep learning method for selfish node detection, utilizing a deep belief network with Red Fox optimization for trust prediction. The VeMisNet framework develops domain-informed spatiotemporal features and applies [27] recurrent networks such as LSTM and GRU for misbehavior detection, demonstrating high accuracy and scalability across large datasets. These approaches demonstrate excellent accuracy; however, they typically require complete training data, well-designed features, and significant computational resources, which may incur high overhead and limit their applicability in resource-constrained or real-time vehicular network environments.
In summary, reputation- and credit-based methods are prone to environmental interference and misjudgment, while most trust-based approaches overlook the social attributes among vehicles, limiting detection performance. Socially-aware methods often focus solely on social metrics, lacking integration with behavioral and trust mechanisms, which results in insufficient detection accuracy. Although machine learning-based methods achieve high accuracy, they are computationally intensive, rely on training data, and typically incur significant overhead, making them unsuitable for real-time deployment in VANETs. Moreover, existing studies generally lack lightweight algorithms that simultaneously consider both behavioral trust and social proximity. To address these limitations, this paper proposes a Dual-Trust-Based Selfish Node Detection Algorithm (DTSDA), which integrates behavioral and social features along with a message feedback mechanism, aiming to balance accuracy, real-time performance, and computational efficiency.

3. System Model

3.1. Network Model

The research object of this study is the vehicular ad hoc network (VANET) in urban road environments, as illustrated in Figure 2. Let the set of network nodes be V = {1, 2, 3,…, N}, where each node represents an intelligent vehicle equipped with an On-Board Unit (OBU) and a Global Positioning System (GPS) module. Vehicles can communicate with each other via Vehicle-to-Vehicle (V2V) communication and interact with Roadside Units (RSUs) via Vehicle-to-Infrastructure (V2I) communication. In this study, RSUs serve only as auxiliary nodes, collecting detection results or global information reported by vehicles, and do not directly participate in information exchange between vehicular nodes. The position of each vehicle on the planar map is represented by a two-dimensional coordinate p i = ( x i , x i ), where p i = ( x i , x i ) is obtained in real time from the GPS module of vehicle i. The mobility of vehicles follows an urban traffic model to reflect realistic movement characteristics in city traffic environments.
In the proposed model, nodes are classified into two types: cooperative nodes and selfish nodes, as illustrated in Figure 3. Their behavioral characteristics are defined as follows:
  • Cooperative Node: A cooperative node actively participates in network communication and correctly receives messages, maintaining a consistently high forwarding rate and trust level.
  • Selfish Node: If a relay node is marked as selfish, it will not serve as the final recipient of messages and exhibits the following behaviors:
    • Refuses messages from any other nodes;
    • Discards received messages;
    • Does not participate in forwarding or relaying;
  • Non-Malicious Assumption: Unlike malicious nodes, selfish nodes do not actively tamper with the content of received or sent messages, nor do they forge or inject false information. Their behavior is limited to selfishness in communication.
  • Energy-saving Equivalence Assumption: In practice, VANET nodes may enter sleep or inactive modes to conserve energy. As reviewed by Gu Rehman et al. [28], this behavior has an effect equivalent to selfish behavior during vehicle operation. Therefore, for the sake of theoretical and experimental analysis, such energy-saving behavior is considered equivalent to selfish behavior to maintain model consistency and completeness.

3.2. Trust Modeling

The trust model proposed in this paper is a dual-trust model, comprising a Behavior Trust model and a Social Trust model.

3.2.1. Behavior Trust

Behavior Trust is used to quantify the degree of cooperation exhibited by vehicular nodes during message forwarding and communication. It is computed based on the actual behavioral performance of nodes, such as message forwarding rate, message refusal rate, and resource status. Behavior trust reflects a node’s “willingness to cooperate” and the “reliability of its behavior,” making it one of the key indicators for identifying selfish nodes.

3.2.2. Social Trust

The Social Trust model is used to evaluate the social relationships formed between vehicular nodes based on social characteristics, such as similarity and inter-vehicle distance. It reflects the social similarity and interaction stability among nodes, providing an indirect assessment of node reliability. In summary, this paper adopts a dual-trust fusion approach, combining behavior trust and social trust to achieve more stable and accurate detection of selfish nodes in dynamic VANET environments. The detailed modeling of the dual-trust framework, along with the corresponding parameter formulas, will be presented in Section 4.

4. Dual-Trust-Based Selfish Node Detection Algorithm (DTSDA) Based on Behavioral and Social Features

4.1. Algorithm Design Approach

The proposed DTSDA algorithm is a multi-stage, hierarchical selfish node detection framework designed to overcome the limitations of existing hybrid models. Unlike prior schemes that simply combine interaction and social ties, DTSDA treats selfish node detection as a layered process of elimination, balancing high-precision identification with computational efficiency for deployment. The algorithm’s logic is divided into three distinctive phases to ensure logical rigor and resource awareness:
  • Resource-Aware Preliminary Filtering (NFBE): Existing models often misjudge nodes as selfish when they are merely physically constrained. DTSDA first evaluates a node’s remaining buffer and message refusal rate to differentiate between “objective inability” and “subjective selfishness”. This initial stage prevents the unnecessary consumption of computational resources on nodes that are physically unavailable.
  • While earlier hybrid schemes combine behavior and social features, they often fail to capture the transient nature of VANETs. DTSDA introduces an exponentially decayed time-weighting mechanism to reflect the dynamic evolution of behavioral trust. Furthermore, it integrates a distance-aware social trust model using a Euclidean decay factor to ensure that social stability is grounded in physical proximity.
  • To address potential false negatives from the first two stages, a message acknowledgment feedback mechanism provides the ultimate verification of a node’s forwarding commitment.
Computational vs. Network Efficiency: In this study, “lightweight” specifically refers to computational efficiency. To further substantiate the ’lightweight’ nature of the proposed DTSDA, we provide a theoretical computational complexity analysis as summarized in Table 1. Unlike resource-intensive machine learning models or blockchain-driven frameworks that require significant OBU memory and power for matrix operations or consensus hashing, DTSDA’s multi-stage pipeline is built upon simple algebraic formulas and deterministic logic gates. The algorithm achieves a linear time complexity of O ( N ) , where N represents the number of neighbor nodes. This ensures that the detection process can be executed in real-time on standard vehicular embedded hardware without the need for pre-labeled data or high-performance GPU clusters. Although the multi-level verification (NFBE, DTDA, and MAFM) introduces a marginal increase in communication signaling as shown in Figure 8, the low computational footprint confirms its suitability for real-time, resource-constrained VANET environments.
The DTSDA relies on algebraic formulas and logic gates with a time complexity of O ( N ) , where N is the number of neighbor nodes. Although this multi-level verification introduces a slight increase in network signaling overhead—as seen in Figure 8—this incremental cost is a calculated trade-off that yields significant improvements in detection accuracy, overall message delivery ratio, and reduced end-to-end latency. The comprehensive framework of the algorithm is illustrated in Figure 4.

4.2. Node Forwarding Behavior Evaluation Mechanism (NFBE)

In VANETs, vehicular nodes may face resource constraints such as limited buffer space and bandwidth. During the transmission of each message, a node consumes part of its bandwidth and occupies a portion of its buffer. To conserve their own resources, some nodes may be unwilling to provide forwarding services for other nodes, exhibiting selfish behavior. The Node Forwarding Behavior Evaluation (NFBE) mechanism primarily assesses a node’s selfishness based on its remaining buffer capacity and message refusal rate, providing a preliminary evaluation of the node’s forwarding behavior.

4.2.1. Evaluation of Node Remaining Buffer

To prevent nodes from exhibiting selfish behavior due to insufficient remaining resources, nodes must evaluate their residual resources. Message forwarding in the network consumes buffer space. A normal node with sufficient remaining buffer is willing to act as a relay and forward messages for other nodes. Conversely, if a node’s remaining buffer is insufficient, it may exhibit selfish behavior due to limited available resources. The residual buffer ratio of a node is defined as:
B i = B remain B max
B t h r e s h o l d = B min B max
where B r e m a i n represents the remaining buffer of the node, B m a x denotes the node’s maximum buffer capacity, B m i n is the minimum required buffer, and B t h r e s h o l d is the threshold value.

4.2.2. Message Refusal Rate of a Node

The Rejected Message Rate (RMR) of a node refers to the proportion of messages that the node refuses to receive, defined as the ratio of the number of rejected messages to the total number of message forwarding requests. In VANETs, nodes may refuse to receive messages for reasons such as conserving their own resources, insufficient buffer space, low message priority, or network congestion. To avoid misjudging a node as selfish due to these factors, the RMR is calculated and an appropriate threshold is set to accurately assess node selfishness. The RMR of a node is defined as:
R M R = S rej S req
where S r e j represents the total number of messages rejected by the node, and S r e q denotes the total number of message forwarding requests received by the node.
In summary, the detailed detection steps of the Node Forwarding Behavior Evaluation (NFBE) mechanism are as follows:
  • If B remain B min , the node’s remaining buffer is too low to support further forwarding operations. To conserve its own resources, the node exhibits selfish behavior by refusing to forward messages. In this case, the node is immediately marked as selfish, and no further evaluation is required, as its buffer limitation prevents it from participating in subsequent message forwarding or receiving.
  • If B remain B min , the node has sufficient remaining buffer and behaves as a normal node, willing to assist other nodes in forwarding messages. In this case, the Rejected Message Rate (RMR) is used to further assess the node’s selfishness.
  • If R M R > R M R max (the maximum allowed message refusal rate), the node’s refusal rate is excessively high. A high RMR indicates that the node is likely to continue refusing messages due to various reasons, and therefore, the node is marked as selfish.
  • If R M R R M R max , the node may refuse messages occasionally for certain reasons, but this alone does not prove that it is selfish. In this case, the NFBE mechanism cannot conclusively determine the node’s selfishness, and the node will be further evaluated using the Dual-Trust Detection Algorithm (DTDA) for a more in-depth assessment.

4.3. Dual-Trust Detection Mechanism Algorithm (DTDA)

The unique characteristics of VANETs, such as high mobility, short-lived connections, and frequently changing topology, make relying on a single dimension of trust prone to misjudgment, and while some existing studies, such as the hybrid models proposed in [18], have explored combining communication and social trust, they often fail to capture the dynamic volatility of node behavior and the physical spatial constraints of the vehicular environment. Inspired by these challenges, this study proposes a spatio-temporally sensitive Dual-Trust Detection Mechanism (DTDA). Unlike conventional hybrid approaches, DTDA is designed to distinguish between long-term social stability and short-term behavioral reliability through a tiered fusion strategy. The algorithm quantifies the overall trustworthiness of vehicular nodes by integrating behavioral trust, which reflects instantaneous cooperation, and social trust, which accounts for the physical plausibility and historical interaction frequency between nodes.

4.3.1. Behavioral Features

Behavior Trust measures a node’s instantaneous level of cooperation during message forwarding and reception, reflecting the reliability of its current communication behavior. It is a short-term, dynamic metric that captures a vehicle’s behavior at a specific moment, such as its willingness to forward messages. Moreover, it can detect abnormal behaviors, such as sudden refusal to forward messages. The computation of behavior trust is given by Equation (4).
T b i = e λ R M R × B i
T b i reflects a vehicular node’s willingness to cooperate and its behavioral performance during communication. λ is a trust sensitivity coefficient used to adjust the impact of the Rejected Message Rate (RMR) on the trust value. When λ is large, the node’s trust value decreases rapidly in response to refusal behaviors; when λ is small, trust changes more gradually. We set λ [ 1.0 , 2.5 ] , choosing this range to strike a balance between quickly identifying selfish behavior and tolerating occasional packet loss due to network congestion. B i represents the normalized energy value of the node, indicating its execution capability. The exponential model multiplied by the buffer ratio is used because the exponential decay function is used to implement a strict penalty mechanism; if a linear model were used, the decay would be uniform. Using exponential decay ensures that the trust value decreases rapidly even at low rejection rates, which is crucial for maintaining network reliability in highly dynamic vehicular ad hoc networks (VANETs). The multiplicative integral of the buffer ratio is based on the “bottleneck effect.” That is, a normal node must simultaneously have the willingness and ability to forward data. While a weighted method might identify nodes with good historical performance but currently lacking data forwarding capabilities, the multiplicative method easily identifies whether a node is currently functioning correctly. However, vehicle conditions are constantly changing, and static trust cannot represent the node’s state at the next moment. Therefore, the contribution degree C i is introduced to quantify a node’s actual contribution to network cooperation throughout the communication process. Considering both message forwarding behavior and temporal decay characteristics, C i reflects the overall cooperative capability of the node over a period of time. The computation of C i is given by Equation (5).
C i = t w t × N f ( t ) t w t × N r ( t ) + ϵ
Here, N f ( t ) represents the number of messages successfully forwarded by the node during time t, and N r ( t ) denotes the number of forwarding requests received in the same period. ϵ is a small constant introduced to prevent division by zero. w t is a time weight factor used to reflect the temporal decay characteristic of node behavior. Since message forwarding by vehicular nodes occurs over multiple time intervals, recent behavior is more indicative of the current node state than older behavior. Therefore, a time weight is applied to give greater emphasis to more recent actions.
w t = e μ ( Δ t )
Here, μ represents the time decay coefficient. A larger μ makes trust more sensitive to changes in historical behavior, while a smaller μ results in smoother historical behavior variations. Experiments show that when μ = 0.1 , the system can most effectively balance changes in historical reputation and instantaneous behavior, achieving the highest detection accuracy. Δ t denotes the time difference between the current and the previous interval. This design endows trust and contribution degree evaluations with temporal sensitivity and adaptability, allowing the mechanism to maintain real-time and stable detection in the highly dynamic VANETs environment where node behavior changes rapidly. If only the current detection interval is considered without a historical window, C i can be simplified as shown in Equation (7). Since vehicular node behavior varies over time, this study combines the contribution degree with static trust, as expressed in Equation (8).
C i = N f N r + ε
T b new = α × C i + ( 1 α ) × T b i
The proposed update for T b n e w follows the Exponentially Weighted Moving Average (EWMA) principle, representing the dynamic behavior trust of node i. The time smoothing factor α [ 0 , 1 ] is strategically selected to mitigate the impact of transient channel disturbances (referred to as ‘pseudo-selfish behavior’), thereby preventing erratic fluctuations in the trust score. This recursive structure ensures that the system maintains a ‘long-term memory’ of historical reputation ( T b i ) while remaining responsive to the latest contribution ( C i ). Specifically, the value of α reflects the system’s sensitivity to node dynamics: as α 1 , the model prioritizes instantaneous performance, enabling rapid trust updates; as α 0 , it emphasizes historical consistency, leading to a more robust and stable evaluation. In our simulations, α was tuned to 0.6, a value that balances the need to capture recent cooperative trends while insulating the node’s long-term reputation from temporary, non-malicious link failures. This method allows the evolution of node trust values to better reflect the dynamic characteristics of vehicular network nodes.

4.3.2. Social Features

In VANETs, vehicular nodes are not merely independent entities but also exhibit social characteristics. Some vehicles repeatedly encounter each other along the same road segments, and certain pairs of vehicles have higher contact frequency, shorter geographic distance, or extensive historical interactions. These social interactions often indicate potential stable trust relationships: while behavior trust can only capture short-term interaction performance, social features reflect long-term associations and interaction stability between nodes, enabling a more comprehensive trust evaluation framework. In this study, social features are modeled from three perspectives: contact frequency, social similarity, and distance decay.
  • Contact Density
    Contact Density is an indicator used to measure the contact frequency and closeness between nodes in VANETs. It describes the number of encounters between two or more nodes within a unit time, thereby reflecting the strength of their social relationship and the potential for information propagation. In this study, the contact density C D i j represents the closeness between nodes i and j. It is computed as shown in Equation (9) and subsequently normalized to facilitate further calculations.
    C D i j = C ( i , j , msgTtl ) msgTtl
    C D i j , n o r m = C D i j C D m a x
    Here, msgTtl denotes the total lifetime of a message, and C(i,j,msgTtl) represents the number of contacts between nodes i and j within the message lifetime. The encounter records of nodes i and j are stored in a contact hash table, and the number of encounters is calculated by iterating through the hash table. Contact density reflects node activity; a higher contact density indicates that the node remains active within the communication range and possesses higher trustworthiness.
  • Social Similarity
    Social Similarity is an indicator used to measure the degree of similarity between two individuals or nodes in a VANET, describing how alike the two nodes are in terms of interests, behaviors, and other attributes. In this study, the social similarity S i j represents the similarity between nodes i and j. Its computation is given in Equation (11).
    S i j = 2 | N i N j | | N i | + | N j |
    Here, | N i N j | represents the number of common neighbors between nodes i and j, where N i and N j denote the total number of neighbors of nodes i and j, respectively.
  • Distance Decay
    Unlike traditional behavior-based trust models, social feature modeling focuses on the social relationships between nodes rather than individual behaviors. In addition to social similarity and contact density, a distance-aware concept is introduced. As the distance between vehicles increases, the frequency of information exchange decreases, resulting in an exponential decay of trust. The corresponding formula is given in Equation (12) and (13).
    D i j = ( X i X j ) 2 + ( Y i Y j ) 2
    K ( d i j ) = e β D i j
Equation (12) is the Euclidean distance formula, where D represents the distance between nodes i and j, and X and Y represent the coordinates of nodes i and j, respectively. Where K ( d i j ) denotes the distance decay coefficient, which quantifies the attenuation of social trust as the physical distance between vehicle i and vehicle j increases. This ensures that trust evaluation remains physically plausible within the limited communication range of VANETs. In VANET research, the Euclidean distance is commonly used to measure the physical distance between two vehicles. As noted in [29], two vehicles can communicate if their Euclidean distance is less than the communication range. Furthermore, ref. [30] indicates that using Euclidean distance to determine communication reachability is valid in many VANETs positioning and communication models. β is the distance decay factor; a larger value causes the trust value to decrease more rapidly with distance, while a smaller value results in slower decay. In this experiment, β is set to 0.2. This value ensures that social trust decreases reasonably when the vehicle approaches the edge of the 1000 m communication range, preventing transmission failures caused by link disconnection. The distance decay term suppresses the overestimation of trust for distant nodes, enhancing the physical plausibility of the method. In the social feature model, the greater the distance between vehicle nodes, the lower their social similarity. Considering the three social features—contact density, social similarity, and distance decay—the social trust T s is defined as shown in Equation (14), where w 1 + w 2 = 1 represent the weights assigned to the three social features.
T s i j = w 1 K ( d i j ) × S i j + w 2 × C D i j

4.3.3. Trust Fusion

The Dual-Trust Mechanism primarily consists of behavior trust and social trust. Behavior trust reflects the influence of a vehicle node’s own actions on the model, capturing individual characteristics and single-node reliability. In contrast, social trust reflects the social relationships and correlations among multiple vehicle nodes. By combining these two trust mechanisms, a more comprehensive trust evaluation framework is constructed. This framework not only captures potential social relationships and the attenuation effects due to distance, but also reflects the actual behavioral patterns of nodes, thereby enhancing the robustness and accuracy of trust assessment. The trust fusion formula is given in Equation (15).
T ( i , j ) = α T b + ( 1 α ) T s ( i , j ) + μ T b T s ( i , j )
Here, α represents the weight assigned to behavior trust and social trust, with a value in the range [0, 1]. μ is the interaction factor, also ranging from [0, 1], and its specific value is determined based on the experimental scenario. This formula additionally incorporates an interaction term T b , T s to capture the consistency enhancement effect between behavior trust and social trust. When both trust values are high, the overall trust is nonlinearly amplified, improving detection accuracy. If T(i,j) < 0.3, the current node is classified as selfish.

4.3.4. Scenario-Level Analysis of Dual-Trust Necessity

To demonstrate the practical necessity of integrating both behavioral and social trust components, we consider two representative urban traffic scenarios where a single-dimension trust model would likely fail:
  • Scenario A: Socially Connected but Physically Constrained (The Need for Behavioral Trust). Imagine a vehicle V j that belongs to the same commuter platoon as the source node V i , as shown in Figure 5. Due to their frequent encounters and shared routes, V j possesses high social similarity and contact density. However, V j currently suffers from a depleted buffer ( B r e m a i n B m i n ) or bandwidth congestion. A model relying primarily on social ties would wrongly select V j as a reliable relay, resulting in message loss. In DTSDA, the Behavioral Trust component (NFBE and RMR assessment) identifies this physical limitation and bypasses the node, ensuring communication reliability. As shown in Figure 6, because the behavioral feature V j is removed as a selfish node, V i directly passes the message to V k , and the message is not lost.
  • Scenario B: Behaviorally Active but Socially Unstable (The Need for Social Trust). Consider a passing vehicle V k from an opposite lane that exhibits a high instantaneous forwarding rate, leading to a high behavioral trust score. However, V k has no common neighbors with the target and its physical distance from the source is increasing rapidly. Relying solely on behavioral metrics might lead the algorithm to select V k as a relay, but the link will soon break due to the lack of social stability, as shown in Figure 7. DTSDA’s Social Trust incorporates Euclidean distance decay K ( d i j ) , which penalizes the trust score of such transient nodes and favors more stable, socially-proximate neighbors.

4.4. Message Acknowledgment Feedback Mechanism (MAFM)

When no selfish nodes are detected through the previous mechanisms, the Message Acknowledgment Feedback Mechanism is employed for final verification. In this mechanism, a node’s selfishness is assessed by checking whether it discards messages after reception. Within the MCF mechanism, nodes update and maintain the following records: the Message Sending Table (MST), the Message Receiving Table (MRT), and the Node Meeting Table (NMT). The MST stores information about sent messages m, including the sending time m T s e n d , m , the addresses of receiving nodes, and the remaining message lifetime T T L r e m a i n m . The MRT stores information about received messages m and the addresses of the corresponding sending nodes. The NMT stores the addresses of encountered nodes, the most recent encounter time T m e e t , and the remaining buffer space B r e m a i n . When node a sends a message to node b, each table records the corresponding information. The MST, MRT, and NMT tables only store lightweight metadata and are exchanged opportunistically during node encounters. Their sizes are bounded by message lifetime and recent contact history, ensuring that the additional communication overhead remains limited and scalable. If a subsequently encounters node c, the nodes exchange their respective record tables. Using the shared information, node b can be assessed for selfish behavior.
The detailed detection steps are as follows:
  • If message m is found in node c’s MRT, it indicates that node b has successfully forwarded the message. Therefore, node b is not selfish.
  • If message m is not found in node c’s MRT, node c’s NMT is checked to determine whether it has encountered node b. If no encounter occurred, it is currently not possible to determine whether node b is selfish. If an encounter did occur, the timestamps T b , c m e e t from node a’s MST and T a s e n d , m are considered. If T a s e n d , m T b , c m e e t < 0, it indicates that node a had not yet sent message m at the time of the encounter, so the selfishness of node b cannot be judged. Next, the remaining message lifetime T T L r e m a i n m and node b’s buffer B r e m a i n b are examined. If T T L r e m a i n m < T b , c m e e t T a s e n d , m or B r e m a i n b < B m i n , it indicates that the message has expired or node b lacks sufficient resources. Finally, if T b , c m e e t T a s e n d , m exceeds the maximum time threshold T m a x , it implies that a long time passed between node b receiving the message and encountering node c; otherwise, node b is determined to be selfish.
In summary, the framework diagram of the proposed scheme is shown in Figure 8.

5. Simulation Analysis

To evaluate the performance of Dual-Trust Selfish Node Detection Algorithm (DTSDA), simulations were conducted on a desktop computer equipped with a 2.50 GHz CPU, 32.0 GB of memory, and running the Windows 10 operating system. The experiments were implemented using the IntelliJ IDEA development environment on the ONE [31] simulation platform.
The core parameters of the algorithm (such as λ , m u , b e t a , a l p h a , etc.) are determined through system sensitivity analysis. In the simulation experiments, we adopted a step-wise search method: changing the value of a single parameter within a preset range while keeping other parameters constant, and observing its impact on message delivery rate (MDR) and end-to-end latency. The criterion for selecting the final parameters is: to maximize detection accuracy and maintain optimal system performance under various selfish node ratios.

5.1. Simulation Parameters and Environment Settings

For the simulation experiments of the proposed DTSDA, the experiments are conducted in an urban traffic scenario with a randomly configured street layout over an area of 4500 × 3400 m2 [32]. In the simulation, each node represents a moving vehicle. The related simulation parameters are shown in Table 2. In this study, all threshold values are determined through a comprehensive evaluation and analysis of the system performance metrics. Multiple rounds of experiments, iterations, and optimizations were performed to ensure that the proposed scheme achieves optimal performance under various scenarios and conditions.

5.2. Simulation Scenarios and Performance Parameters

To demonstrate the effectiveness of the proposed approach, this study compares the DTSDA algorithm with the following schemes:
  • Comprehensive Node Detection Algorithm (CCSDA) [33]:
    This scheme evaluates node performance from the perspectives of communication satisfaction and energy trust to determine node attributes.
  • Data Service Node Detection Algorithm (DSNDA) [34]:
    DSNDA is a model designed to detect data service nodes by assessing their message forwarding capability and message processing mechanism to determine node properties.
  • Social Trust Confirmation-Based Selfish Node Detection Algorithm (STCDA) [17]:
    STCDA determines the selfishness of nodes efficiently and accurately by calculating both individual and social benefits.
To evaluate the effectiveness of DTSDA, this study primarily employs three network-level metrics: Message Delivery Ratio (MDR), network overhead, and latency. While traditional detection algorithms often report Accuracy, False Positive Rate (FPR), and False Negative Rate (FNR), these metrics are intrinsically reflected in the network performance in VANETs: High MDR implies Low FNR—a high delivery ratio indicates that most selfish nodes (which would otherwise drop messages) have been accurately detected and bypassed. Low Latency implies Low FPR—low end-to-end delay demonstrates that cooperative nodes are not mistakenly identified as selfish, ensuring that efficient communication paths remain available. Thus, the chosen metrics provide a comprehensive evaluation of the detection algorithm’s practical impact on vehicular communication.

5.3. Simulation Results and Performance Analysis

5.3.1. Performance Comparison and Analysis of Various Algorithms Under Different Percentages of Selfish Nodes

In this simulation, the duration was set to 12 h, and the percentage of selfish nodes in the SAN was set to 20%, 40%, 60%, and 80%, respectively. Figure 9 and Figure 10 illustrate the performance comparison of the four schemes in terms of message delivery ratio and network overhead as the proportion of selfish nodes increases. From the figures, it can be clearly observed that as the percentage of selfish nodes rises, the DTSDA algorithm not only achieves a higher message delivery ratio compared to the other three algorithms but also maintains lower latency.
Figure 9 illustrates the comparison of message delivery ratios among the four schemes. It is clearly observed that as the percentage of selfish nodes increases, the message delivery ratios of DTSDA, CCSDA, STCDA, and DSNDA all show a declining trend. This decline is due to the fact that these algorithms detect selfish nodes and skip transmitting messages to them, which reduces the overall delivery ratio.
However, the DTSDA algorithm consistently achieves a higher message delivery ratio than the other three algorithms. This is because the DTSDA scheme integrates dual-trust evaluation—including both behavior trust and social trust—allowing it to more accurately distinguish between selfish and reliable nodes in dynamic vehicular networks. As a result, the proportion of usable relay nodes is increased, and message losses during transmission are reduced.
As shown in Figure 10, the latency of all schemes increases with the proportion of selfish nodes. However, the DTSDA algorithm exhibits significantly lower latency compared to the other three algorithms. This improvement is attributed to the dual-trust fusion mechanism, which enables nodes to preferentially select relay vehicles that have high trustworthiness, strong social connections, and are physically close. Consequently, the likelihood of path retransmissions and message drops is reduced. In addition, DTSDA employs an exponentially decayed, time-weighted trust mechanism, which can reflect the dynamic state of nodes in real time.
As shown in Figure 11, the network overhead of all schemes decreases as the proportion of selfish nodes increases. The DTSDA algorithm exhibits slightly higher overhead compared to the other schemes. This is attributed to the additional computational operations required for the dual-trust fusion and the message feedback mechanism. However, this incremental cost is a necessary trade-off for significantly higher detection precision. By accurately identifying selfish nodes, DTSDA reduces ineffective forwarding and path retransmissions, leading to the superior MDR and lower latency observed in Figure 6 and Figure 7. Therefore, the algorithm achieves a better balance between computational effort and overall network utility.

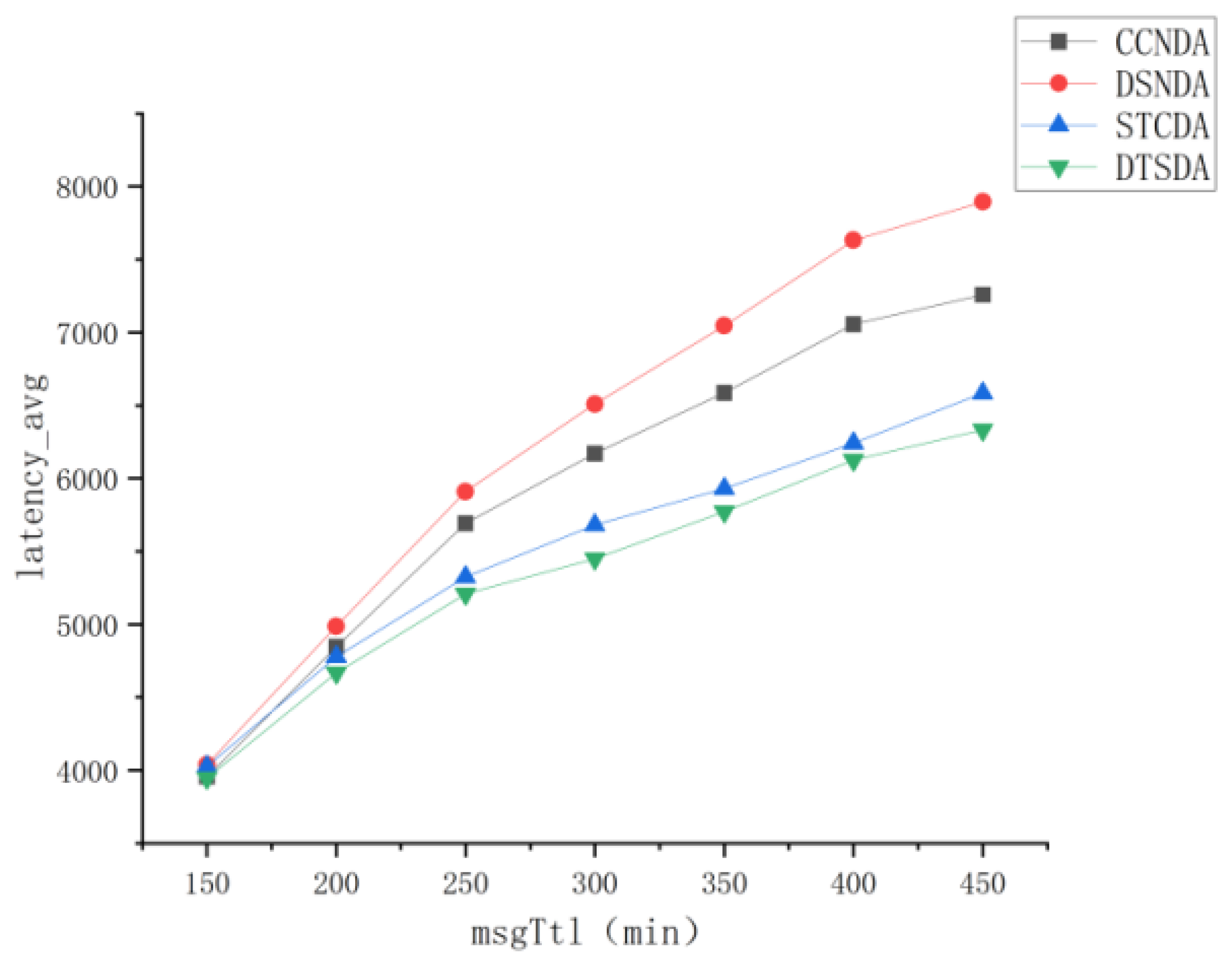
5.3.2. Performance Comparison and Analysis of Various Algorithms Under Different Message Survival Times

As shown in Figure 12, the delivery ratio of all schemes increases with the simulation time, while the DTSDA algorithm consistently maintains the highest delivery ratio. In the initial stage, DTSDA effectively identifies and isolates selfish nodes through the dual-trust detection mechanism, reducing message loss. As time progresses, the proportion of trustworthy nodes increases, and the network topology stabilizes, further improving the delivery ratio. Additionally, the incorporation of social features allows nodes to form a stable trust network over long-term communications, ensuring the stability and continuity of message delivery.
As shown in Figure 13, the latency of all methods generally increases with simulation time, due to the growing number of messages and relay operations in the network. The DTSDA algorithm consistently achieves the lowest network latency throughout the simulation period. In the initial stage, DTSDA rapidly identifies uncooperative nodes through the behavior trust mechanism, reducing unnecessary message retransmissions. As time progresses, the incorporation of social features further stabilizes message forwarding paths, enabling more efficient communication between nodes.
As shown in Figure 14, the overhead of all methods decreases as the simulation time increases. This is because, in the early stage of the simulation, the computational load is relatively high, generating greater overhead. As the simulation progresses, relationships between nodes gradually stabilize, reducing redundant checks and repeated forwarding operations. The DTSDA algorithm maintains relatively higher overhead throughout the simulation compared to the other algorithms, due to the additional computations introduced by the proposed scheme. However, this extra overhead is justified by the higher delivery ratio and lower latency, making it a reasonable trade-off.
In summary, this chapter validates the proposed algorithm through multiple experiments with varying proportions of selfish nodes and different simulation durations. The results indicate that, compared to other algorithms, the DTSDA algorithm demonstrates superior performance in terms of delivery ratio and network latency, while keeping overhead within acceptable limits. These results show that the proposed algorithm can effectively identify selfish nodes while maintaining high transmission efficiency. The main reason is that the algorithm incorporates a dual-trust model, which allows nodes to consider both their behavior and social characteristics, thereby reducing ineffective forwarding.

6. Summary

This study addresses the lack of lightweight algorithms in existing research that simultaneously consider both behavior trust and social distance. The proposed DTSDA algorithm leverages dual trust (behavioral features + social features) along with a message feedback mechanism to balance accuracy, real-time performance, and computational efficiency. Initially, nodes with insufficient resources are excluded to eliminate a portion of selfish node interference. Then, trust is calculated by integrating behavioral and social features to further filter out deeper selfish node interference. Finally, the message feedback mechanism is used to accurately detect selfish nodes. The results demonstrate that the algorithm achieves high delivery ratio and low latency. Although the proposed algorithm performs well in selfish node detection, it still incurs relatively high overhead. Moreover, with the trend toward large-scale models, integrating deep learning into VANETs is becoming increasingly inevitable. Future work could explore how to achieve lower overhead and higher detection accuracy when combining the DTSDA framework with deep learning techniques.

Author Contributions

Conceptualization, W.W. and M.Q.; methodology, C.Y. and L.Y.; software, Q.L.; validation, M.Q. and W.G.; formal analysis, M.Q.; writing—original draft preparation, M.Q.; writing—review and editing, M.Q.; visualization, M.Q. All authors have read and agreed to the published version of the manuscript.

Funding

This research received no external funding.

Data Availability Statement

Data are contained within the article.

Conflicts of Interest

The authors declare no conflicts of interest.

References

  1. Pal, S. Evaluating the Impact of Network Loads and Message Size on Mobile Opportunistic Networks in Challenged Environments. J. Netw. Comput. Appl. 2017, 81, 47–58. [Google Scholar] [CrossRef]
  2. Shahab, S.; Agarwal, P.; Mufti, T.; Obaid, A.J. SIoT (Social Internet of Things): A Review. ICT Anal. Appl. 2022, 289–297. [Google Scholar] [CrossRef]
  3. Sheikh, M.S.; Liang, J.; Wang, W. A survey of security services, attacks, and applications for vehicular ad hoc networks (VANETs). Sensors 2019, 19, 3589. [Google Scholar] [CrossRef] [PubMed]
  4. Chen, G.; Zhang, Y.; Li, X. Attention-based highway safety planner for autonomous driving via deep reinforcement learning. IEEE Trans. Veh. Technol. 2023, 73, 162–175. [Google Scholar] [CrossRef]
  5. Tan, H.; Wang, M.; Shen, J.; He, D.; Kumar, N. Blockchain-Assisted Conditional Anonymous Authentication and Adaptive Tree-Based Group Key Agreement for VANETs. IEEE Trans. Dependable Secur. Comput. 2025, 1–16, early access. [Google Scholar] [CrossRef]
  6. Sutrala, A.K.; Bagga, P.; Das, A.K.; Kumar, N.; Rodrigues, J.J.P.C. On the Design of Conditional Privacy Preserving Batch Verification-Based Authentication Scheme for Internet of Vehicles Deployment. IEEE Trans. Veh. Technol. 2020, 69, 5535–5548. [Google Scholar] [CrossRef]
  7. Chettibi, S. Combination of HF set and MCDM for stable clustering in VANETs. IET Intell. Transp. Syst. 2020, 14, 190–195. [Google Scholar] [CrossRef]
  8. Alkhalidy, M.; Al-Serhan, A.F.; Alsarhan, A.; Igried, B. A new scheme for detecting malicious nodes in vehicular ad hoc networks based on monitoring node behavior. Future Internet 2022, 14, 223. [Google Scholar] [CrossRef]
  9. Borah, A.; Paranjothi, A. Enhancing VANET Security: An Unsupervised Learning Approach for Mitigating False Information Attacks in VANETs. Electronics 2024, 14, 58. [Google Scholar] [CrossRef]
  10. Che, H.; Duan, Y.; Li, C.; Yu, L. On trust management in vehicular ad hoc networks: A comprehensive review. Front. Internet Things 2022, 1, 995233. [Google Scholar] [CrossRef]
  11. Arshad, M.; Ullah, Z.; Ahmad, N.; Khalid, M.; Criuckshank, H.; Cao, Y. A survey of local/cooperative-based malicious information detection techniques in VANETs. EURASIP J. Wirel. Commun. Netw. 2018, 2018, 62. [Google Scholar] [CrossRef]
  12. Hussain, R.; Lee, J.; Zeadally, S. Trust in VANET: A survey of current solutions and future research opportunities. IEEE Trans. Intell. Transp. Syst. 2020, 22, 2553–2571. [Google Scholar] [CrossRef]
  13. Marti, S.; Giuli, T.J.; Lai, K.; Baker, M. Mitigating routing misbehavior in mobile ad hoc networks. In Proceedings of the 6th Annual International Conference on Mobile Computing and Networking, Boston, MA, USA, 6–11 August 2000; ACM: New York, NY, USA, 2000; pp. 255–265. [Google Scholar] [CrossRef]
  14. Jedari, B.; Xia, F.; Chen, H.; Das, S.K.; Tolba, A.; AL-Makhadmeh, Z. A social-based watchdog system to detect selfish nodes in opportunistic mobile networks. Future Gener. Comput. Syst. 2019, 92, 777–788. [Google Scholar] [CrossRef]
  15. Nobahary, S.; Babaie, S. A Credit-based Method to Selfish Node Detection in Mobile Ad-hoc Network. Appl. Comput. Syst. 2018, 23, 118–127. [Google Scholar] [CrossRef]
  16. Aslan, M.; Sen, S. A dynamic trust management model for vehicular ad hoc networks. Veh. Commun. 2023, 41, 100608. [Google Scholar] [CrossRef]
  17. Chen, X.; Rao, Y.; Xiong, Z.; Li, Y.; Zhang, X.; Hou, D.; Lou, Q.; Li, J. Social Trust Confirmation-Based Selfish Node Detection Algorithm in Socially Aware Networks. Electronics 2024, 13, 3797. [Google Scholar] [CrossRef]
  18. Fan, N.; Shen, S.; Wu, C.Q.; Yao, J. A hybrid trust model based on communication and social trust for vehicular social networks. Int. J. Distrib. Sens. Netw. 2022, 18, 15501329221097588. [Google Scholar] [CrossRef]
  19. Chang, E. Blockchain driven trust management for intelligent transportation systems in VANETs. Sci. Rep. 2025, 15, 39702. [Google Scholar] [CrossRef]
  20. Prasanth, T. SecureTrust-PI: A Privacy-Integrity Trust Management Model for Vehicular Edge-Cloud. Eng. Technol. Appl. Sci. Res. 2025, 15, 30669–30675. [Google Scholar]
  21. Zhu, Z.; Hu, B.; Song, H.; Liu, X. A social-aware routing protocol for two different scenarios in vehicular ad hoc network. In Communications and Networking, Proceedings of the 12th International Conference on Communications and Networking in China, Xi’an, China, 10–12 October 2017; Springer: Cham, Switzerland, 2017; pp. 563–575. [Google Scholar] [CrossRef]
  22. Sultan, S.; Javaid, Q.; Malik, A.J.; Al-Turjman, F.; Attique, M. Collaborative-trust approach toward malicious node detection in vehicular ad hoc networks. Environ. Dev. Sustain. 2022, 24, 7532–7550. [Google Scholar] [CrossRef]
  23. Sarker, O.; Shen, H.; Babar, M.A. Reinforcement learning based neighbour selection for VANET with adaptive trust management. In Proceedings of the 2023 IEEE 22nd International Conference on Trust, Security and Privacy in Computing and Communications (TrustCom), Exeter, UK, 1–3 November 2023; IEEE: Piscataway, NJ, USA, 2023; pp. 585–594. [Google Scholar]
  24. Rashid, K.; Saeed, Y.; Ali, A.; Jamil, F.; Alkanhel, R.; Muthanna, A. An adaptive real-time malicious node detection framework using machine learning in vehicular ad hoc networks (VANETs). Sensors 2023, 23, 2594. [Google Scholar] [CrossRef]
  25. Canh, T.N.; HoangVan, X. Machine learning-based malicious vehicle detection for security threats and attacks in vehicle ad hoc network (VANET) communications. In Proceedings of the 2023 RIVF International Conference on Computing and Communication Technologies (RIVF), Hanoi, Vietnam, 23–25 December 2023; IEEE: Piscataway, NJ, USA, 2023; pp. 206–211. [Google Scholar]
  26. Jyothi, N.; Patil, R. An optimized deep learning-based trust mechanism in VANET for selfish node detection. Int. J. Pervasive Comput. Commun. 2022, 18, 304–318. [Google Scholar] [CrossRef]
  27. Youness, N.; Mostafa, A.; Sobh, M.A.; Bahaa, A.M.; Nagaty, K. VeMisNet: Enhanced Feature Engineering for Deep Learning-Based Misbehavior Detection in Vehicular Ad Hoc Networks. J. Sens. Actuator Netw. 2025, 14, 100. [Google Scholar] [CrossRef]
  28. Rehman, G.-U.; Ghani, A.; Muhammad, S.; Singh, M.; Singh, D. Selfishness in vehicular delay-tolerant networks: A review. Sensors 2020, 20, 3000. [Google Scholar] [CrossRef]
  29. Gutiérrez-Reina, D.; Sharma, V.; You, I.; Toral, S. Dissimilarity metric based on local neighboring information and genetic programming for data dissemination in vehicular ad hoc networks (VANETs). Sensors 2018, 18, 2320. [Google Scholar] [CrossRef] [PubMed]
  30. Günay, F.B.; Öztürk, E.; Çavdar, T.; Hanay, Y.S.; Khan, K.u.R. Vehicular ad hoc network (VANET) localization techniques: A survey. Arch. Comput. Methods Eng. 2021, 28, 3001–3033. [Google Scholar] [CrossRef]
  31. Keranen, A. Opportunistic network environment simulator. In Special Assignment Report, Helsinki University of Technology, Department of Communications and Networking; Helsinki University of Technology: Espoo, Finland, 2008. [Google Scholar]
  32. Spyropoulos, T.; Psounis, K.; Raghavendra, C.S. Spray and wait: An efficient routing scheme for intermittently connected mobile networks. In Proceedings of the 2005 ACM SIGCOMM Workshop on Delay-Tolerant Networking, Philadelphia, PA, USA, 26 August 2005; ACM: New York, NY, USA, 2005; pp. 252–259. [Google Scholar] [CrossRef]
  33. Xiong, Z.; Li, X.; Zhang, X.; Deng, M.; Xu, F.; Zhou, B.; Zeng, M. A comprehensive confirmation-based selfish node detection algorithm for socially aware networks. J. Signal Process. Syst. 2023, 95, 1371–1389. [Google Scholar] [CrossRef]
  34. Xiao, N.; Xinyi, R.; Xiong, Z.; Xu, F.; Zhang, X.; Xu, Q.; Zhao, X.; Ye, C. A diversity-based selfish node detection algorithm for socially aware networking. J. Signal Process. Syst. 2021, 93, 811–825. [Google Scholar] [CrossRef]
Figure 1. Vehicle driving condition.
Figure 1. Vehicle driving condition.
Electronics 15 00150 g001
Figure 2. Urban Scenario Diagram.
Figure 2. Urban Scenario Diagram.
Electronics 15 00150 g002
Figure 3. Node Classification.
Figure 3. Node Classification.
Electronics 15 00150 g003
Figure 4. System Framework Diagram.
Figure 4. System Framework Diagram.
Electronics 15 00150 g004
Figure 5. Social characteristics only, no behavioral characteristics.
Figure 5. Social characteristics only, no behavioral characteristics.
Electronics 15 00150 g005
Figure 6. After adding behavioral characteristics.
Figure 6. After adding behavioral characteristics.
Electronics 15 00150 g006
Figure 7. Behavioral characteristics only.
Figure 7. Behavioral characteristics only.
Electronics 15 00150 g007
Figure 8. DTSDA framework diagram.
Figure 8. DTSDA framework diagram.
Electronics 15 00150 g008
Figure 9. Comparison of message delivery rates for different schemes under different selfish node percentages.
Figure 9. Comparison of message delivery rates for different schemes under different selfish node percentages.
Electronics 15 00150 g009
Figure 10. Delay of various schemes under different selfish node percentages.
Figure 10. Delay of various schemes under different selfish node percentages.
Electronics 15 00150 g010
Figure 11. The cost of each scheme under different selfish node percentages.
Figure 11. The cost of each scheme under different selfish node percentages.
Electronics 15 00150 g011
Figure 12. Delivery rates of various schemes at different times.
Figure 12. Delivery rates of various schemes at different times.
Electronics 15 00150 g012
Figure 13. Delay of each plan at different times.
Figure 13. Delay of each plan at different times.
Electronics 15 00150 g013
Figure 14. Cost of each plan at different times.
Figure 14. Cost of each plan at different times.
Electronics 15 00150 g014
Table 1. Time Complexity Comparison Table.
Table 1. Time Complexity Comparison Table.
Algorithm TypeCore Detection MechanismTime ComplexityCalculation Operation Characteristics
DTSDAMulti-stage logical/algebraic operations O ( N ) Simple algebraic formulas, no need for iterative training
ML-basedDeep learning/regression model O ( N k ) or O ( N 2 ) High-dimensional matrix operations rely on expensive training processes.
BlockchainDistributed ledger/consensus algorithmHigh (depends on consensus)It involves intensive hash calculations and network communication.
Table 2. DTSDA algorithm parameter settings.
Table 2. DTSDA algorithm parameter settings.
ParameterValueUnit
Simulation12hour (h)
Number of nodes180node
Simulation area4500 × 3400square meters (m2)
Transmission range1000KB/s
Transmission speed10meter (m)
Mobility modelShortest Path Map Based Movement-
Buffer size per node20Megabyte (M)
Node speed0.5–2.9meter/second (m/s)
Message interval25–35s/node
Message size500–1000KB
Message lifetime5hour (h)
μ 0.5-
Disclaimer/Publisher’s Note: The statements, opinions and data contained in all publications are solely those of the individual author(s) and contributor(s) and not of MDPI and/or the editor(s). MDPI and/or the editor(s) disclaim responsibility for any injury to people or property resulting from any ideas, methods, instructions or products referred to in the content.

Share and Cite

MDPI and ACS Style

Wang, W.; Qin, M.; You, L.; Yang, C.; Lou, Q.; Guo, W. Research on a Dual-Trust Selfish Node Detection Algorithm Based on Behavioral and Social Characteristics in VANETs. Electronics 2026, 15, 150. https://doi.org/10.3390/electronics15010150

AMA Style

Wang W, Qin M, You L, Yang C, Lou Q, Guo W. Research on a Dual-Trust Selfish Node Detection Algorithm Based on Behavioral and Social Characteristics in VANETs. Electronics. 2026; 15(1):150. https://doi.org/10.3390/electronics15010150

Chicago/Turabian Style

Wang, Weihu, Menglong Qin, Lan You, Chunmeng Yang, Qiangqiang Lou, and Wenbo Guo. 2026. "Research on a Dual-Trust Selfish Node Detection Algorithm Based on Behavioral and Social Characteristics in VANETs" Electronics 15, no. 1: 150. https://doi.org/10.3390/electronics15010150

APA Style

Wang, W., Qin, M., You, L., Yang, C., Lou, Q., & Guo, W. (2026). Research on a Dual-Trust Selfish Node Detection Algorithm Based on Behavioral and Social Characteristics in VANETs. Electronics, 15(1), 150. https://doi.org/10.3390/electronics15010150

Note that from the first issue of 2016, this journal uses article numbers instead of page numbers. See further details here.

Article Metrics

Back to TopTop