Abstract
Bank loan prediction (BLP) analyzes the financial records of individuals to conclude possible loan status. Financial records always contain confidential information. Hence, privacy is significant in the BLP system. This research aims to generate a privacy-preserving automated BLP scheme. To achieve this, differential privacy (DP) is combined with machine learning (ML). Using a benchmark dataset, the proposed method analyzes two different DP techniques, namely Laplacian and Gaussian, with five different ML models: Random Forest (RF), Extreme Gradient Boosting (XGBoost), Adaptive Boosting (AdaBoost), Logistic Regression (LR), and Categorical Boosting (CatBoost). Each of the DP techniques is evaluated by varying distinct privacy parameters with 10-fold cross-validation, and from the outcome analysis, optimal parameters are nominated to balance privacy and security. The analysis indicates that applying the Laplacian mechanism with a DP budget of 2 and the RF model achieves the highest accuracy of 62.31%. For the Gaussian method, the best accuracy of 81.25% is attained by the CatBoost model in privacy budget 1.5. Additionally, the proposed method uses explainable artificial intelligence (XAI) to show the conclusion capability of DP-integrated ML models. The proposed research shows an efficient method for automated BLP while preserving the privacy of personal financial information and, thus, mitigating vulnerability to scams and fraud.
1. Introduction
Bank loan prediction (BLP) helps simplify financial decision-making by providing valuable insights into loan approvals and risk assessment. In the fast-changing world of finance, trust is essential, and the ability to predict an individual’s financial stability is highly valuable. BLP tries to figure out how likely an individual or a business is to be able to pay back a loan or receive financial help [1]. BLP is important for financial institutions worldwide. It helps them make smart choices when giving out loans and makes sure they follow good financial rules. Using accurate prediction models helps them figure out if someone applying for a loan is likely to pay it back, which reduces the chances of people not repaying their loans and causing problems for the bank [2]. In the United States, people owe a massive USD 14.96 trillion in debt, as reported by the Federal Reserve in the second quarter of 2021. It is crucial to carefully assess loans to handle this large amount of money. In India, around 7.48% of total loans were not being paid back as of September 2020, so it is really important to create good models that can predict if someone will have trouble repaying their loans. In the United Kingdom, the Bank of England says that in July 2019, they lent a total of GBP 4.3 billion to individuals. This shows how necessary BLP is to make sure lending works well and does not cause problems [3,4].
In the computerized approach to BLP, we need an intelligent system because it has to handle a lot of data and find complex patterns. This helps in making more accurate and efficient reliability assessments. The best choice for this smart system is machine learning (ML). ML-based BLP is excellent at making detailed predictions by looking at different financial details of people, like their income, credit history, and loan amounts [5]. Although ML provides accurate BLP analysis, it cannot ensure the privacy of personal financial data. In the fast-changing world of finance, trust is crucial, and the ability to predict an individual’s financial stability is highly valuable. However, the increasing frequency of data breaches in the financial sector underscores the critical need for strong privacy measures in BLP systems. For instance, in 2021, there were 1862 data compromises in the United States, marking a 68% increase from the previous year and reaching the highest number on record. Furthermore, the global average cost of a data breach reached an all-time high of USD 4.45 million in 2023, representing a 15% increase over the past three years. These breaches not only result in substantial financial losses but also erode customer trust and damage the reputations of financial institutions. Therefore, integrating privacy-preserving techniques like DP into BLP systems is not just a theoretical consideration but a practical necessity to protect sensitive financial information and maintain the integrity of the lending process [6,7].
The financial information of an individual involves confidential personal data like income, assets, and transactions. In the event of a leak, individuals may face identity theft, unauthorized transactions, and potential financial loss. Moreover, it can lead to privacy breaches, damaged credit scores, and increased vulnerability to scams and fraud. The protection of such data is crucial for maintaining trust and personal financial well-being. Differential privacy (DP) can be an effective solution for establishing privacy for such sensitive information. DP adds an extra layer of confidentiality, ensuring that individual data points are protected by injecting randomness into the information, preventing the identification of specific individuals within the dataset. This technique serves as an important privacy-protection measure by guaranteeing that the inclusion or deletion of a single data point does not affect the entire study output. This protects the anonymity of individual data providers, which is critical in applications involving sensitive financial information [8]. Therefore, this research aims to generate a DP-based ML mechanism for BLP that guarantees both privacy and clear effectiveness.
The primary purpose of this research is to predict the possible loan status of a person using ML while keeping the financial information private. To accomplish this, a dataset containing the financial information of different individuals is prepared through data analysis and preprocessing. DP is then applied to this processed dataset to make the information private. Releasing this financial information of individuals to any unauthorized access or server gains no risk because of privacy by DP. Finally, different ML models are executed on this randomized private dataset for BLP. Through the analysis of various PBs of DP, we select the ML model that offers the best prediction with efficient privacy as the final mechanism. Additionally, the trustworthiness of the privacy-preserving ML model is interpreted by using various explainable artificial intelligence (XAI) techniques. The primary contributions of this research are as follows:
- Analysis of the effectiveness of different DP techniques under various PBs to gain a secure DP-based framework for recognizing bank loan statuses while preserving the confidentiality of individual financial details.
- Performance analysis for various ML models for both DP-based secure and non-DP-based general designs of the BLP system.
- Exploring explanations of how ML models reach certain conclusions for bank loan status from randomized and normal financial information.
The remainder of this paper is organized as follows. Section 2 discusses the existing works related to this research. Section 3 outlines the proposed research along with relevant materials. Section 4 presents the experimental results of the proposed method. Finally, Section 5 concludes this research.
2. Literature Review
To assess the research gap, we analyzed existing methods related to this research. This section summarizes these works based on their contribution, outcome, limitations, and future direction. Mamun et al. [9] developed an ML-based bank loan eligibility recognition technique by utilizing the Logistic regression (LR) model. They executed several ML techniques and obtained LR as the best method. The accuracy of this model was 92%. This research also concluded the effect of individual features on loan eligibility. The utilization of an existing dataset was identified as a drawback in this work. In the future scope, they claim to solve this limitation by using software to take real-time data. Viswanatha et al. [10] utilized different individual and ensemble ML models for loan approval detection and found that the Naive Bayes (NB) ML model achieved a peak performance of 83.73%. For increased performance and dependability, the research suggested the use of advanced feature engineering, model optimization, class imbalance handling, etc. Spoorthi et al. [11] proposed a method that utilized the Random Forest (RF) ML model to identify whether a customer could obtain a loan. Their method provided an overall 85% accuracy. The model, however, did not address concerns regarding outcome interpretability. To enhance the usability and transparency of their work, they recommended incorporating a user-friendly interface for consumer feedback on loan data. To predict loans, Shinde et al. [12] employed two ML techniques, namely LR with a stratified k-fold approach and RF with grid search hyperparameter optimization. The accuracy for these two models was 72% and 79%, respectively. The model was tested with a limited number of feature engineering and ML techniques. The major limitation was an insufficient outcome analysis. Bhargav and Sashirekha [13] conducted experiments with two ML models, RF and Decision Tree (DT), for loan approval detection. The RF model outperformed DT, achieving an overall precision of 79.45% and a loss of 21.03%. However, this research lacked sufficient outcome analysis, explanation, and model utilization. Uddin et al. [14] analyzed various individual and ensemble ML models, along with some deep learning (DL) techniques, in a balanced dataset to identify a person’s bank loan approval status. Among all the analyses, the voting ensemble yielded the best outcome of 87.26% in this research. The study also utilized a user interface-based application to implement their ML technique. Addressing the drawbacks, the authors suggested potential improvements by enhancing models through diverse data balancing, incorporating unsupervised learning, and leveraging advanced ensemble techniques.
The methods discussed earlier did not offer any data privacy or security. Providing privacy to bank-related data was crucial, as these data contained sensitive financial information of individuals. Therefore, we explored some of the privacy-preserving techniques that could be enhanced with ML mechanisms for BLP. Maniar et al. [15] explored the use of DP in the credit risk model, comparing the performance of a DP model to that of a non-DP model. They focused on the Gradient Boosting (GB) ML technique, highlighting the challenge of balancing privacy and accuracy within the context of DP. Ratadiya et al. [16] introduced a mechanism that combined local Artificial Neural Network (ANN) models within a blockchain framework to address the challenge of BLP when individual and bank-specific information could not be accessible in a unified location. However, the effective aggregation mechanism proposed in this research faced scalability issues when dealing with substantial amounts of data or more complex models, consequently impacting both performance and convergence time. Zheng et al. [17] presented an adversarial learning-based approach for privacy-preserving credit risk modeling (PCAL). Through iterative weighting between a privacy-risk loss and a utility-oriented loss, PCAL aimed to hide private information within the original dataset while retaining crucial utility information for the target prediction job performance. Alagic et al. [18] implemented an XGBoost-based system for loan approval prediction and achieved 84% accuracy but faced challenges with imbalanced datasets. Chang et al. [19] employed GB methods for the prediction of bank credit worthiness, attaining 82% accuracy, yet noted the insufficiency of available features as a limitation. Nguyen et al. [20] applied LR in the context of ML approaches for loan default anticipation and achieved an accuracy of 83%, while recognizing the challenge of reducing reliance on personal data. Chunyu Yang [21] also employed LR for the approval of loans and credit risk based on comparison, attaining 76% accuracy and emphasizing the importance of careful parameter selection. Juyal et al. [22] utilized a RF model for loan approval prediction, which resulted in an accuracy of 84.37%, although they did not elaborate on limitations or future work. Zhu et al. [23] used LightGBM to predict loan default based on ML models, achieving 81.04% accuracy, and suggested applying XAI methods to estimate feature influence better. Lu et al. [24] proposed a hybrid approach using k-Means with AdaBoost to tackle the problem of predicting credit default among farmers, resulting in 84% accuracy. Still, they acknowledged the lack of generalizability due to reliance on data from a single bank.
Table 1 summarizes all the methods discussed in this section. This summary shows that none of the methods use the privacy-preserving mechanism for the exact determination of bank loan status approval. Although some methods use privacy-based techniques for different bank-related information, they are limited to certain specific privacy techniques, and these methods cannot ensure efficient data hiding along with ML-based detection. While most of the methods employ ML models, there is a lack of interpretability for these models. To fill these research gaps in existing works, this research aims to utilize DP with ML for the detection of individual loan approval status. Moreover, our method can also ensure the explanation capability of ML through different XAI.
Table 1.
Outline of existing methods.
3. Materials and Methods
The primary goal of our research is to ensure privacy for bank loan data, by implementing effective safeguards on untrusted servers while confirming efficient ML-centric loan guarantee recognition for individuals. Figure 1 illustrates the proposed architecture, and Section 3.1 through Section 3.8 provide further details about the research.
Figure 1.
The framework of the proposed approach.
3.1. Raw Data
The dataset of this research is captured by Chatterjee in 2021 [25]. The dataset is imbalanced. So, this research uses the synthetic minority over-sampling technique (SMOTE) [26] to balance it. This balancing prevents model bias toward the majority class, ensures accurate assessment, and improves the model’s ability to generalize to the minority class. The ultimate dataset comprises 844 rows and thirteen columns, with twelve columns representing features and one column indicating the decision class. The decision class signifies the loan status, determining whether a loan can be approved or not. Table 2 provides a detailed description of the dataset.
Table 2.
Dataset description.
3.2. Data Analysis and Visualization
This research observes several visualizations of the dataset to analyze the trends and patterns of the data. These visualizations are histogram and density plots [27], violin plots [28], swarm plots [29], and correlation heatmap [30]. These visual tools provide a full view of the loan data, allowing us to discover anomalies, evaluate data distribution, and gain useful insights into the underlying patterns within the dataset.
Figure 2 displays the histogram and density plot of our dataset in a merge. A histogram is a passionate graphical representation used to show the distribution of a dataset, whether it contains continuous or discrete data. This visualization method separates the full range of values into intervals known as bins, with each bin’s width representing a range of values. A density plot, also known as a Gaussian distribution plot, displays the distribution of continuous data and estimates the probability density function using smoothed curves. Figure 2 presents the distribution of features significant with a smoothed, continuous estimate of the probability density function which gives a more nuanced understanding of the underlying patterns of these features within the dataset. This suggests that the majority of applicants are male, married, and possess a graduate degree, which suggests these demographics are more likely to apply for loans. Most applicants have a strong credit history, which could play a significant role in loan approvals. In terms of dependents, a large portion of applicants have none, though there are noticeable groups with 1 or 2 dependents. The distributions of ApplicantIncome, CoapplicantIncome, and LoanAmount are all right-skewed, indicating that while most applicants seek smaller loans and have modest incomes, there are notable high-income and high-loan outliers. The preferred Loan_Amount_Term clusters heavily around 360 months, reflecting the popularity of long-term loans. Finally, Property_Area shows a fairly balanced distribution, though urban areas seem slightly more represented, and low values in CoapplicantIncome suggest that many applicants apply independently without substantial co-borrower income.
Figure 2.
Histogram and density plot of the dataset.
Figure 3 exhibits a violin plot presenting our dataset. This plot combines a box plot and a density plot, showing how our info spreads across different groups. The width of the violin tells us how many data points there are; wider means more. Just like a box plot, it also has lines for the middle and quarters, giving us a good idea about the main stats and how our data vary across the groups. Looking at the violin plots, it is clear that the gender distribution shows more male applicants in the dataset. Similarly, married applicants form the majority, suggesting family status might be an influencing factor. Most people have fewer or no dependents, and a larger number of them have completed education at the graduate level. The Self_Employed category leans heavily towards non-self-employed applicants. Looking at ApplicantIncome, CoapplicantIncome, and LoanAmount, most values are clustered at the lower end, but there are notable spikes for higher amounts, indicating a few high-income or high-loan cases. The Loan_Amount_Term is primarily around 360 months, showing a strong preference for longer repayment periods. Credit_History distribution is skewed towards applicants with a good track record, and Property_Area appears fairly balanced, with a reasonable spread across different locations.
Figure 3.
Violin plot of the dataset.
Figure 4 shows the swarm plot of our dataset. A swarm plot is an effective data visualization tool for displaying individual data points along a category axis. This technique is useful in showing data distribution, emphasizing point density, and highlighting individual data points within each category. Swarm plots of the BLP dataset provide a thorough representation of feature distributions, emphasizing individual data points within certain categories. Using ApplicantIncome and Loan_Status as examples, a swarm plot displays the density of points for both accepted and rejected loan statuses on the categorical axis. A swarm plot, unlike a box plot, allows for a more exact portrayal of individual data points, revealing information about the concentration and dispersion of income values inside each loan approval category. Extending this graphic to incorporate features such as Loan_Amount, Credit_History, and Property_Area provides a more comprehensive picture of how each variable is distributed across different loan approval categories.
Figure 4.
Swarm Plot of the dataset.
Figure 5 shows the correlation heatmap of our dataset. This figure is a graphical presentation of the correlation matrix, that is, correlation coefficients between the features. This heatmap measures the strength and direction of a linear relationship between two features. A correlation coefficient approaching +1 signifies a positive linear relationship, with +1 indicating a perfect positive correlation. Conversely, a correlation coefficient approaching −1 denotes a negative linear relationship, and −1 represents a perfect negative correlation. The correlation coefficient of 0 indicates no linear relationship. From the heatmap, it is clear that most features are either weakly correlated or almost independent of each other. The strongest positive relationship is between ApplicantIncome and LoanAmount (around 0.57), which makes sense because people with higher incomes generally qualify for bigger loans. There is also a noticeable positive correlation between Married and Dependents (~0.32), which is expected since married individuals often have more dependents. Interestingly, CoapplicantIncome also has a slight positive link with LoanAmount (about 0.18), but it is weaker than the main applicant’s income impact. On the other hand, features like Gender, Self_Employed, and Property_Area seem largely independent, showing very low correlation with other variables. One more thing to notice is Credit_History, which does not show a strong connection with income or loan amount, suggesting that repayment history is not necessarily linked to how much someone earns. Overall, the data look fairly clean in terms of multicollinearity, which is a good sign for analysis.
Figure 5.
Correlation heatmap of the dataset.
3.3. Preprocessing
Most often, ML models are unable to process the string and null values of a dataset. Hence, in preprocessing, this research removes such values from our dataset. Encoding of categorical values is performed to remove different string values, i.e., presenting “Gender” as 0 for male and 1 for female, “Married” as 0 for no and 1 for yes, “Education” as 0 for graduate and 1 for not graduate, “Property_Area” as 0 for urban, 1 for rural, and 2 for semiurban, and “Loan_Status” as 0 for no and 1 for yes. Additionally, to improve the “Loan_ID” column, we eliminated the string “LP”. To fill in any null values, this research uses the mean values of that particular feature. Features Loan_Amount, Loan_Amount_Term, and Credit_History have null values.
3.4. Preprocessed Dataset
The original dataset consisted of 614 samples, with 422 in the approved class and 192 in the not approved class. After preprocessing, we ensured there were an equal number of samples (422) in each class and that there were no missing values or text data. This final dataset was ready for execution. We took 80% of the data for training, and this portion was randomized using the DP mechanism, which is explained in the next section. These randomized data are subject to release to any unauthorized access. The remaining 20% of the data were kept for evaluating the model. This partitioning of data was performed through the k-fold mechanism.
3.5. Differential Privacy
DP is a privacy-preserving framework that aims to protect sensitive information while allowing for meaningful data analysis. It introduces controlled randomness or noise to the data to prevent the extraction of specific details about individual records. DP ensures that the inclusion or exclusion of a single data point does not significantly impact the overall outcome, thus securing individual privacy [31]. This research experiments with two DP techniques, namely Laplacian and Gaussian DP, to secure the dataset [32,33].
Laplacian DP involves adding Laplace distributed noise to the dataset, providing a robust mechanism for privacy protection. This distribution of noise is denoted by L(b) as,
In Equation (1), μ and b present the location and scale parameters. x is the data that need to be protected. The final secure dataset is generated by the Laplacian mechanism from the actual dataset f from the below equation,
In Equation (2), ε presents the PB and Δf is the sensitivity. Definition 1 describes sensitivity in detail.
Definition 1.
Sensitivity, in the context of a function f: , S → , where and S represent sets of possible datasets, refers to the quantification of the maximum amount by which the function f can change when a single data point is added to or removed from the dataset. Mathematically, sensitivity Δf is defined as the maximum norm of the difference between the function values for two datasets and S. It is expressed as,
denotes the lp norm of a vector. For Laplacian and Gaussian DP, lp belongs to Manhattan and Euclidean norms, respectively.
In Gaussian DP, Gaussian-distributed randomness is added to protect sensitive information. With standard deviation σ, this distribution is expressed as,
In Gaussian DP, μ, Δf, and x contain the same meaning as the Laplacian mechanism. The privacy protection level parameter is presented as δ (δ << 1 and δ > 0). A smaller value for δ corresponds to a more stringent constraint, resulting in a tighter overall bound on privacy protection. The ultimate perturbation in in Gaussian DP is obtained by,
Each DP technique is experimented with PBs of 0.5 to 8 with an interval of 0.5. The privacy protection level δ is set to 10−5, and 10−6 in the experiments. The parameters that provide the best security while maintaining efficient accuracy are chosen to be optimized parameters in the final model selection.
The selection of PBs (ε) ranging from 0.5 to 8 with an interval of 0.5 was motivated by the need to systematically explore the trade-off between privacy and model accuracy. Lower values of ε offer stronger privacy guarantees by introducing more noise, which can negatively impact the utility of the data. Conversely, higher values reduce noise, improving accuracy but weakening privacy protection. The chosen range covers a broad spectrum from high privacy (ε = 0.5) to lower privacy (ε = 8), allowing for a comprehensive evaluation of this trade-off. During experimentation, we observed the model’s performance across this spectrum to identify the values that maintain optimal accuracy while still ensuring meaningful privacy. The final selected PB values were those that achieved a balance between minimal utility degradation and robust privacy preservation, guided by empirical performance results. This empirical approach ensures the model remains practical for real-world applications while adhering to differential privacy standards.
3.6. Untrusted Server
In our research, we partitioned the dataset into training and testing sets using an 8:2 ratio, allocating 80% for training and 20% for testing. This 20% of data for model evaluation is assumed to be a real-time sample from the user. The training portion of data is considered to be retrieved from any bank server through unauthorized access. Hence, the privacy of these data is essential. That is why we deployed DP. DP randomized the data and released it to the server without any concern because these noisy samples did not contain any real information.
3.7. ML Model Execution
This research employs ML models to predict loan approval status while preserving privacy through DP mechanisms. The execution began with the randomized training dataset, which was derived from applying Laplacian and Gaussian DP techniques. Each of the five models, namely RF, XGBoost, AdaBoost, LR, and CatBoost, were individually trained using these privacy-preserved data. These models were chosen based on their proven effectiveness in tabular data classification and their interpretability under explainable AI frameworks. LR was selected as a strong linear baseline, while ensemble models such as RF, XGBoost, AdaBoost, and CatBoost were chosen for their ability to handle feature interactions. Models like Naive Bayes or KNN were excluded due to their simplistic assumptions or sensitivity to noise, which may be aggravated in DP data. Similarly, more recent deep learning models were avoided as they typically require large datasets and GPUs to be effective, which may not be practical under privacy-preserving constraints [34,35,36,37,38]. The models were evaluated not only based on their predictive power but also on their robustness under varying PBs ranging from ε = 0.5 to ε = 8. A 10-fold cross-validation approach ensured that the model’s performance was consistent and not biased by a specific split. The PB and δ values were adjusted during each run, and the outcomes were carefully recorded to determine the best privacy–performance trade-off. This ensured that the chosen model is both effective and compliant with stringent privacy requirements.
3.8. Model Evaluation and Final Model
Each of the ML models were first trained using the perturbed data from a particular DP technique with certain privacy parameters (e.g., ε = 0.5, and δ = 10−5 or ε = 0.5 for Laplacian). Then, this model was evaluated using 20% testing data. For both DP techniques, using all possible parameter variations as defined earlier, this assessment for the ML models was executed. Increasing the PB led to a decrease in data privacy protection. So, the model that offers the best performance under a lower PB is the actual privacy-preserving ML model for BLP. Table 3 provides a comprehensive set of equations that define critical performance indicators for evaluating the effectiveness of ML models in the field of BLP assessment, including DP protections. In this table, true positives (TP) and true negatives (TN) explain the correctly predicted number of approved and not approved cases of loan status from testing samples. Meanwhile, false negative (FN) and false positive (FP) present the incorrectly predicted number of approved and not approved cases of loan status.
Table 3.
Different performance measurement metrics.
3.9. Explainable AI
This research uses XAI for our privacy-preserving ML model of BLP. This technique refers to a set of approaches and methodologies intended to improve the transparency and interpretability of ML models. The major goal is to provide human users with insights into these models’ decision-making processes, fostering trust and enabling a better understanding of complex algorithms. XAI methods are especially important in high-stakes applications because they include feature importance analysis, local explanations, and model-agnostic approaches that can be used in a variety of models. This study uses two XAI techniques, namely SHAP plots and LIME plots, to observe the decision-making process of the ML model in privacy, ensuring BLP. SHAP plots decode ML model outputs, showing individual feature contributions using Shapley values. They offer insights into how each feature affects predictions, especially for complex models. LIME explains ML predictions by perturbing inputs and applying simplified models to understand decision-making. These approaches enhance interpretability, aiding in understanding model behavior [39].
The research experiments were conducted using the Python programming language in Spyder (Anaconda3, Version: v24.9.2) software. The desktop setup included a Windows operating system running on an Intel-powered CPU (Manufacturer: Intel Corporation, Santa Clara, CA, USA) with a clock speed of 3.60 GHz, along with an Nvidia RTX 2070 Super 8 GB VRAM (Manufacturer: Nvidia Corporation, Santa Clara, CA, USA) and 16 GB of RAM. The specific details of the hardware and software used in the experiments are outlined in Table 4.
Table 4.
Experimental environment for the trained system deployment.
4. Result and Discussion
This section presents the experimental results and provides a comprehensive evaluation of how different DP mechanisms affect the performance of various ML models in the context of bank loan prediction. The aim is to evaluate the trade-off between privacy preservation and model accuracy under different DP configurations. To ensure clarity and structured interpretation, the results are divided into three subsections based on the applied privacy mechanisms. Section 4.1 presents results using Laplacian DP, Section 4.2 provides findings for gaussian DP with a privacy control parameter δ set to 10−5, and Section 4.3 covers Gaussian DP with δ set to 10−6. After these subsections, we present the outcomes of models trained without any privacy protection in Section 4.4, followed by a detailed discussion analyzing the impact of privacy settings, comparing performance trends, and identifying optimal configurations for balancing privacy and predictive accuracy in Section 4.5.
4.1. Results Using Laplacian Differential Privacy
Figure 6 illustrates the performance measurements of ML models utilizing Laplacian DP. Analysis of this figure reveals that at the lowest PBs (0.5 to 2), RF and XGBoost exhibit superior performance compared to other models. After a PB of 2.5, CatBoost surpasses all other techniques. At the highest PB, CatBoost offers the most efficient outcome, but this is not the exact result of our privacy-preserving BLP system, because at epsilon 8, we have the lowest privacy to secure our data. Since privacy decreases with the increase in PB, we have to select a particular point (i.e., optimal PB (OPB)) of epsilon that can ensure efficient privacy with the suitable result. From observations of DP-oriented data and the performance graph in Figure 6, we discern that the OPBs for RF, XGBoost, AdaBoost, LR, and CatBoost models are 2, 1.5, 1.5, 1, and 2.5, respectively. The corresponding accuracies of ML models for these OPBs are 62.31% for RF, 61.12% for XGBoost, 52.9% for AdaBoost, 49.82% for LR, and 61.6% for CatBoost. Hence, RF at a PB of 2 emerges as the ultimate model for BLP using the Laplacian mechanism.
Figure 6.
Performance analysis of different ML models for BLP using Laplacian DP under different PBs: (a) accuracy analysis, (b) precision analysis, (c) recall analysis, and (d) F1 score analysis.
Figure 7 presents the SHAP analysis of the CatBoost model at the OPB under the Laplacian DP mechanism for BLP. The SHAP summary plot highlights the contribution of each feature to the model’s predictions. Among all features, Credit_History has the most significant impact, with higher values strongly pushing the prediction toward loan approval. Other influential features include Property_Area, LoanAmount, Loan_Amount_Term, and ApplicantIncome, suggesting that both credit behavior and financial capacity play a critical role in BLP. Features like Married, Gender, and Education show moderate influence, while Loan_ID and Dependents have minimal impact. This interpretability analysis confirms that the CatBoost model not only performs well under DP constraints but also aligns with domain expectations in identifying key predictors for BLP.
Figure 7.
SHAP analysis of CatBoost model on OPB for Laplacian DP mechanism.
Figure 8 displays the LIME analysis of the CatBoost model at OPB under the Laplacian DP mechanism for BLP. The explanation shows how individual features influenced a specific prediction, with Class 2 (loan rejection) slightly favored at 0.51 probability. Key contributors to Class 2 include Gender = 0, LoanAmount > 61, and ApplicantIncome > 0.60, indicating that higher loan amounts and income values from the applicant led the model toward rejection. On the other hand, Property_Area = 1, Married = 1, and Credit_History = 1 strongly pushed the prediction toward Class 1 (loan approval), showing their positive influence. This instance-level explanation confirms that the model decisions align with financial logic in BLP and remain interpretable even under privacy constraints.
Figure 8.
Lime analysis of CatBoost model on OPB for Laplacian DP mechanism.
4.2. Results Using Gaussian Differential Privacy with δ = 10−5
Figure 9 illustrates the performance measurements of ML models utilizing Gaussian DP for privacy protection level 10−5. Analysis of this figure reveals that the overall CatBoost outperforms other models in all PBs except at ε 1, 6.5, and 7, where XGBoost surpasses all, and at some ε, a few models’ performances overlap that of the CatBoost model. However, none of this ε is OPB. Hence, we conclude that CatBoost is the best BLP technique in Gaussian DP with δ = 10−5. From observations of DP-oriented data and the performance graph in Figure 7, we determine that the Gaussian mechanism offers less data privacy than the Laplacian. So, a small ε is required to set OPB here, and our analysis obtains a ε of 1.5 as the ultimate OPB for all models. The ML models’ accuracies at the OPB are 78.94% for RF, 79.53% for XGBoost, 77.22% for AdaBoost, 72.54% for LR, and 81.25% for CatBoost. Consequently, CatBoost at a PB of 1.5 emerges as the ultimate model for BLP using Gaussian DP with δ = 10−5.
Figure 9.
Performance analysis of different ML models for BLP using Gaussian DP under different PBs with privacy protection level 10−5: (a) accuracy analysis, (b) precision analysis, (c) recall analysis, and (d) F1 score analysis.
Figure 10 presents the SHAP analysis of the CatBoost model using OPB with ε = 2 and δ = 10−5 under the Gaussian DP mechanism for BLP. The visualization highlights Credit_History, Married, and Property_Area as the top contributing features, consistently pushing predictions toward positive outcomes (loan approval). High values in Loan_Amount_Term, ApplicantIncome, and Dependents show more variation but generally shift the output toward rejection. Interestingly, LoanAmount and CoapplicantIncome show a limited impact, reflecting the model’s robustness under noise introduced by Gaussian DP. Overall, this result affirms that meaningful interpretability is maintained even with strong privacy guarantees in BLP.
Figure 10.
SHAP analysis of CatBoost model with ε = 2 and δ = 10−5 of Gaussian DP.
Figure 11 shows a LIME analysis of the CatBoost model for BLP under (ε = 2, δ = 10−5) Gaussian DP. The model predicts Class 2 (loan approved) with a probability of 0.67, and Class 1 (loan rejected) with 0.33. Key features influencing Class 2 include Credit_History (1.00), Married (1.00), and ApplicantIncome (3983.00), all pushing the prediction toward approval. On the other hand, Loan_Amount_Term (354.00), Property_Area (1.00), and Dependents (0.00) slightly pull the prediction toward Class 1. From Figure 11, it is evident that for BLP, a clean credit history and marital status are top contributors to approval, while high loan term and dependent count may negatively impact the decision.
Figure 11.
Lime analysis of CatBoost model with ε = 2 and δ = 10−5 of Gaussian DP.
4.3. Results Using Gaussian Differential Privacy with δ = 10−6
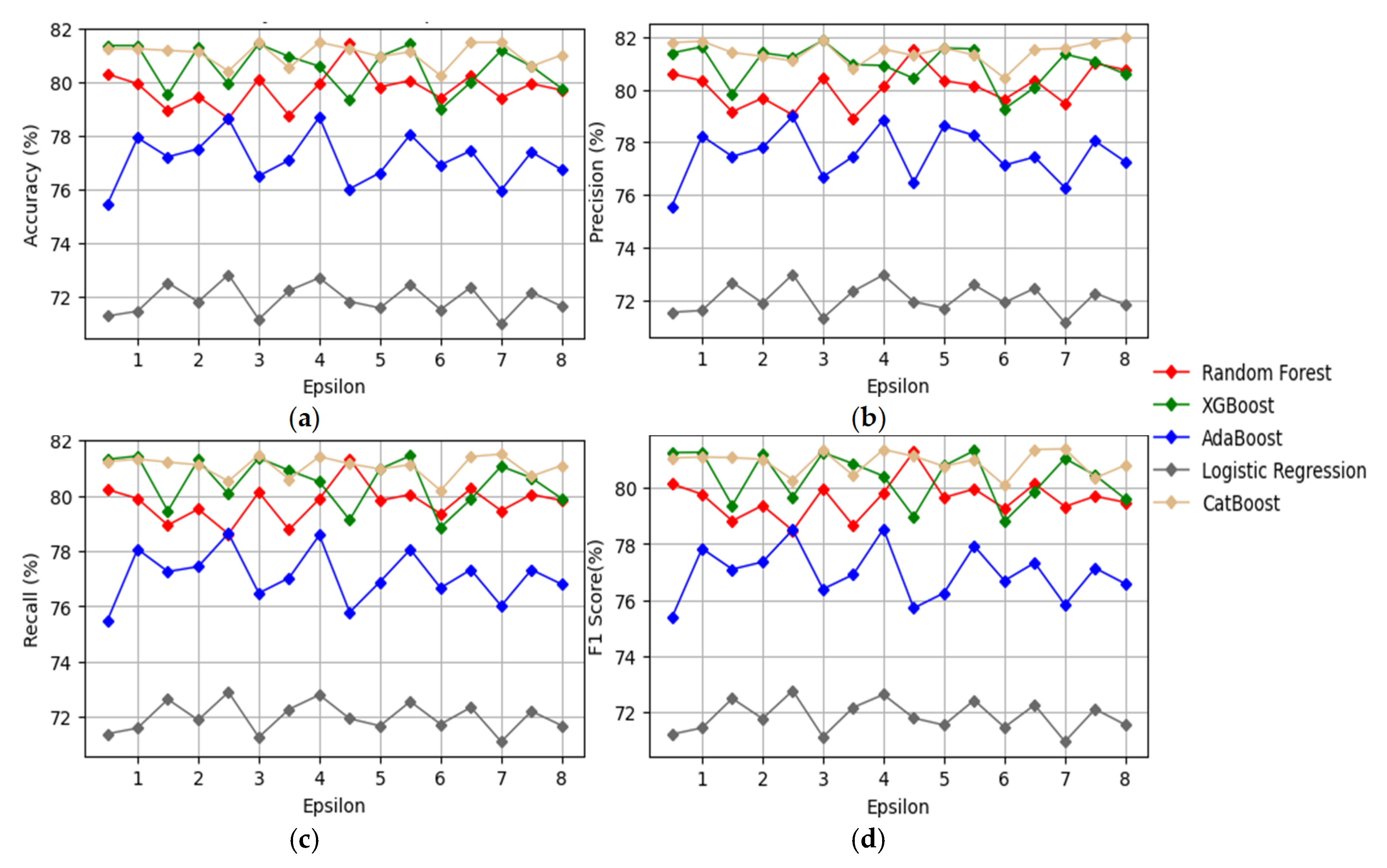
Figure 12 shows the performance of ML models using Gaussian Differential Privacy for a privacy protection level of 10-6. Upon analyzing the figure, it becomes evident that CatBoost and XGBoost generally outperform other models across various PBs, except at ε 4.5 where RF surpasses all. At an OPB of 1.5, the accuracy of ML models is as follows: 78.94% for RF, 79.53% for XGBoost, 77.22% for AdaBoost, 71.83% for LR, and 81.25% for CatBoost.
Figure 12.
Performance analysis of different ML models for BLP using Gaussian DP under different PBs with privacy protection level 10−6: (a) accuracy analysis, (b) precision analysis, (c) recall analysis, and (d) F1 score analysis.
Figure 13 presents SHAP analysis of the CatBoost model for BLP under (ε = 1.5, δ = 10−6) Gaussian DP. It illustrates each feature’s influence on the model output, with Credit_History showing the strongest influence—higher values (red) push predictions positively (loan approval), while low values (blue) strongly pull toward rejection. Married, Property_Area, and Loan_Amount_Term also show noticeable contributions, where higher values generally favor approval. Features like ApplicantIncome, CoapplicantIncome, and LoanAmount have smaller but visible effects. From Figure 13, it is clear that Credit_History is again the most critical driver in BLP decisions, confirming its consistent importance across different DP setups.
Figure 13.
SHAP analysis of CatBoost model with ε = 1.5 and δ = 10−6 of Gaussian DP.
Figure 14 shows LIME analysis of the CatBoost model for BLP under (ε = 1.5, δ = 10−6) Gaussian DP. The model predicts Class 2 (loan approved) with 0.67 probability and Class 1 (rejected) with 0.33. Similar to previous patterns, Credit_History (1.00) and Married (1.00) strongly support Class 2. Features like Loan_Amount_Term (354.00), Property_Area (1.00), and Loan_ID (2619.00) also contribute positively but with less impact. On the other hand, attributes such as Dependents (0.00), Gender (0.00), and Self_Employed (0.00) slightly support Class 1. From Figure 14, it is evident that even under tighter DP (lower ε), BLP decisions remain mostly driven by credit reliability and marital status, showing model stability under privacy constraints.
Figure 14.
Lime analysis of CatBoost model with ε = 1.5 and δ = 10−6 of Gaussian DP.
Based on the analyses presented in Section 4.1, Section 4.2 and Section 4.3, CatBoost consistently demonstrates superior performance across the evaluated models and emerges as the most effective model for BLP when using the Gaussian DP mechanism with δ = 10−6 at a PB of 1.5. This configuration achieves an optimal balance between privacy preservation and predictive accuracy, highlighting its suitability for privacy-sensitive financial applications.
Figure 15 illustrates two key evaluation components of the BLP model for this configuration (Gaussian DP with δ = 10−6 and PB = 1.5), where Figure 15a shows the confusion matrix (CM), which presents that the model accurately predicts 96.5 approvals and 40 rejections, with misclassifications of 16.5 false approvals and 15 false rejections, reflecting balanced performance. Figure 15b displays the receiver operating characteristic (ROC) curve with an area under the curve (AUC) of 0.80, indicating strong discriminative power between approved and rejected loans.
Figure 15.
(a) CM and (b) Roc curve for the CatBoost model with Gaussian DP mechanism with δ = 10⁻6 at a PB of 1.5.
4.4. Results Using Conventional ML Models
In addition to the privacy-preserving method, this research also utilizes conventional ML models for BLP. Table 5 displays the performance of these models without incorporating DP, with CatBoost achieving the highest accuracy of 85.56%, surpassing other models. This result further demonstrates that the inclusion of DP leads to a decrease in model accuracy.
Table 5.
Performance of different ML models without using DP.
4.5. Discussion
From all analyses, LR performs worse than the others. This is due to its sensitivity to noise and reliance on linear assumptions. It lacks the capacity to model complex, nonlinear relationships affected by DP noise. In contrast, RF, XGBoost, and CatBoost are more resilient under DP due to their ensemble structures and ability to capture feature interactions. CatBoost also handles categorical features effectively. These models better retain predictive power under privacy constraints. Thus, they outperform LR even on balanced datasets.
Table 6 shows how each research objective is directly supported by the experimental setup. It outlines how different DP techniques are assessed across varying PBs, how multiple ML models are tested in both DP and non-DP settings, and how XAI is used to interpret predictions. The table also highlights the reproducibility of the study using a clearly defined system configuration. This alignment ensures that the experiments effectively fulfill the goals of privacy-preserving bank loan prediction.
Table 6.
Alignment of research objectives with experimental setup.
The findings of this research have significant implications for society, particularly in promoting the widespread adoption of privacy-preserving techniques in sensitive domains such as finance. By demonstrating that DP can be effectively integrated with ML to build accurate and robust BLP systems, this study paves the way for more responsible use of personal financial data. The successful implementation of Laplacian and Gaussian DP mechanisms within various ML models, especially the high accuracy of 81.25% achieved by the CatBoost model under Gaussian DP, highlights that strong privacy guarantees do not necessarily compromise performance. These results can influence public policy by encouraging regulatory bodies to mandate or recommend privacy-enhancing technologies in financial services to protect consumers from data breaches and misuse. Moreover, financial institutions can adopt these methods to build trust with clients, ensuring that their data are handled securely and transparently. On a societal level, this research contributes to reducing the risk of identity theft, discrimination, and financial fraud, thereby fostering a safer digital environment. The integration of XAI further reinforces transparency and accountability in automated decision-making, aligning technological advancement with ethical standards. Overall, this work supports the shift toward privacy-centric innovation in public and private sectors alike.
The proposed method demonstrates strong performance under specific PBs, but with the selected dataset, it is important to acknowledge several limitations and potential weaknesses that may arise, particularly when dealing with high PBs or broader testing scenarios. As the PB (ε) increases, the level of randomness added to the data decreases, which may improve model accuracy but compromise the core objective of preserving privacy. Conversely, at lower PBs, the heavy noise introduced by DP mechanisms can degrade model performance, leading to reduced predictive accuracy and less reliable outcomes. Additionally, the models are evaluated on a single benchmark dataset, which, although well suited for initial analysis, may not capture the full diversity and complexity of real-world financial data. The generalizability of the findings could be challenged when applying the models to datasets with different distributions, feature sets, or noise levels. Some machine learning models, such as LR, may also underperform in capturing nonlinear relationships under strong DP constraints, compared to more robust models like CatBoost or XGBoost. Therefore, further investigation on larger, more heterogeneous datasets and under extreme privacy conditions is necessary to validate the robustness and adaptability of the proposed framework across a broader range of practical applications.
We have compared our proposed strategy in the field of BLP research with existing methodologies, focusing on the shortcomings observed in those approaches. Table 7 presents this comparison. The comparison focuses on whether established methodologies address privacy concerns as well as interpretability. Notably, our proposed solution stands out because it uses DP to protect privacy and seamlessly integrates XAI techniques. This unique feature bridges the critical gaps in existing ML-based strategies for BLP research, improving both privacy and interpretability.
Table 7.
Comparison between existing and proposed methods based on the research gaps.
5. Conclusions
This research addresses the critical challenge of loan prediction by introducing a machine learning-based system for identifying bad loan predictions (BLP), with a key focus on incorporating Differential Privacy (DP) protections into the methodology to mitigate privacy concerns associated with financial statements. The incorporation of DP ensures the secure handling of sensitive information, reinforcing our commitment to maintaining confidentiality in financial data analysis. Using the selected dataset, we systematically evaluate several ML models, including RF, XGBoost, AdaBoost, LR, and CatBoost. The evaluations incorporate different PB across two DP techniques, namely Laplacian and Gaussian mechanisms, to assess their impact on both accuracy and privacy. The results demonstrate that models with PB values ranging from 0.5 to 2 achieve an effective balance between data utility and privacy. Among these, CatBoost with a PB of 1.5 emerges as the most effective model for privacy-preserving BLP. In addition to strong privacy guarantees, the proposed approach enhances model interpretability and transparency through the use of XAI techniques, such as SHAP and LIME. These tools provide insights into model decision-making, ensuring that stakeholders can trust and understand the system’s outputs. For future research, we plan to extend our DP-based machine learning framework beyond loan prediction to a wider range of financial domains such as credit risk assessment, fraud detection, and customer profiling, where data sensitivity is a significant concern. We also aim to explore advanced DP mechanisms such as Rényi DP and concentrated DP to further improve the privacy-utility trade-off. Additionally, we intend to investigate adaptive privacy budget selection based on dynamic data contexts and integrate federated learning to enable decentralized privacy-preserving analytics. These directions will support the development of more robust, scalable, and secure financial AI systems capable of adapting to real-world privacy requirements.
Author Contributions
Conceptualization, M.M.H. and M.M.R.; methodology, M.M.H.; validation, M.M. and S.H.C.; formal analysis, M.M.; investigation, A.M.; resources, M.M.H.; writing—original draft preparation, M.M.H. and S.H.C.; writing—review and editing, A.M.; visualization, M.M.; supervision, M.M.R. and A.M. All authors have read and agreed to the published version of the manuscript.
Funding
This research received no external funding.
Data Availability Statement
The source of the dataset is mentioned in Section 3.1.
Conflicts of Interest
The authors declare no conflicts of interest.
References
- James, G.; Witten, D.; Hastie, T.; Tibshirani, R. An Introduction to Statistical Learning; Springer: New York, NY, USA, 2013; Volume 112, p. 18. [Google Scholar]
- Musdholifah, M.; Hartono, U.; Wulandari, Y. Banking crisis prediction: Emerging crisis determinants in Indonesian banks. Int. J. Econ. Financ. Issue 2020, 10, 124. [Google Scholar] [CrossRef]
- Money and Credit. Retrieved from Bank of England. July 2019. Available online: https://www.bankofengland.co.uk/statistics/money-and-credit/2019/july-2019 (accessed on 20 March 2025).
- Gaur, M. Statistical Tables relating to Banks in India: 2021–22’—Web Publication Released by RBI. Retrieved from Current Affairs. December 2022. Available online: https://currentaffairs.adda247.com/statistical-tables-relating-to-banks-in-india-2021-22-web-publication-released-by-rbi/ (accessed on 20 March 2025).
- Milojević, N.; Redzepagic, S. Prospects of artificial intelligence and machine learning application in banking risk management. J. Cent. Bank. Theory Pract. 2021, 10, 41–57. [Google Scholar] [CrossRef]
- Identity Theft Resource Center. Identity Theft Resource Center’s 2021 Annual Data Breach Report Sets New Record for Number of Compromises. 2022. Available online: https://www.idtheftcenter.org/post/identity-theft-resource-center-2021-annual-data-breach-report-sets-new-record-for-number-of-compromises/ (accessed on 6 April 2025).
- Elgan, M. Cost of a Data Breach: The Healthcare Industry. IBM. 6 August 2024. Available online: https://www.ibm.com/think/insights/cost-of-a-data-breach-healthcare-industry (accessed on 6 April 2025).
- Dwork, C.; McSherry, F.; Nissim, K.; Smith, A. Calibrating noise to sensitivity in private data analysis. In Theory of Cryptography: Third Theory of Cryptography Conference, Proceedings of the TCC 2006, New York, NY, USA, 4–7 March 2006; Springer: Berlin/Heidelberg, Germany, 2006; pp. 265–284. [Google Scholar]
- Mamun, M.A.; Farjana, A.; Mamun, M. Predicting Bank Loan Eligibility Using Machine Learning Models and Comparison Analysis. In Proceedings of the 7th North American International Conference on Industrial Engineering and Operations Management, Orlando, FL, USA, 11–14 June 2022; pp. 12–14. [Google Scholar]
- Viswanatha, V.; Ramachandra, A.C.; Vishwas, K.N.; Adithya, G. Prediction of Loan Approval in Banks using Machine Learning Approach. Int. J. Eng. Manag. Res. 2023, 13, 7–19. [Google Scholar]
- Spoorthi, B.; Kumar, S.S.; Rodrigues, A.P.; Fernandes, R.; Balaji, N. Comparative Analysis of Bank Loan Defaulter Prediction Using Machine Learning Techniques. In Proceedings of the 2021 IEEE International Conference on Distributed Computing, VLSI, Electrical Circuits and Robotics (DISCOVER), Nitte, India, 19–20 November 2021; IEEE: Piscataway, NJ, USA, 2021; pp. 24–29. [Google Scholar]
- Shinde, A.; Patil, Y.; Kotian, I.; Shinde, A.; Gulwani, R. Loan prediction system using machine learning. In ITM Web of Conferences; EDP Sciences: Les Ulis, France, 2022; Volume 44, p. 03019. [Google Scholar]
- Bhargav, P.; Sashirekha, K. A Machine Learning Method for Predicting Loan Approval by Comparing the Random Forest and Decision Tree Algorithms. J. Surv. Fish. Sci. 2023, 10, 1803–1813. [Google Scholar]
- Uddin, N.; Ahamed, M.K.U.; Uddin, M.A.; Islam, M.M.; Talukder, M.A.; Aryal, S. An ensemble machine learning based bank loan approval predictions system with a smart application. Int. J. Cogn. Comput. Eng. 2023, 4, 327–339. [Google Scholar] [CrossRef]
- Maniar, T.; Akkinepally, A.; Sharma, A. Differential Privacy for Credit Risk Model. arXiv 2021, arXiv:2106.15343. [Google Scholar]
- Ratadiya, P.; Asawa, K.; Nikhal, O. A decentralized aggregation mechanism for training deep learning models using smart contract system for bank loan prediction. arXiv 2020, arXiv:2011.10981. [Google Scholar]
- Zheng, Y.; Wu, Z.; Yuan, Y.; Chen, T.; Wang, Z. PCAL: A privacy-preserving intelligent credit risk modeling framework based on adversarial learning. arXiv 2020, arXiv:2010.02529. [Google Scholar]
- Alagic, A.; Zivic, N.; Kadusic, E.; Hamzic, D.; Hadzajlic, N.; Dizdarevic, M.; Selmanovic, E. Machine learning for an enhanced credit risk analysis: A comparative study of loan approval prediction models integrating mental health data. Mach. Learn. Knowl. Extr. 2024, 6, 53–77. [Google Scholar] [CrossRef]
- Chang, V.; Xu, Q.A.; Akinloye, S.H.; Benson, V.; Hall, K. Prediction of bank credit worthiness through credit risk analysis: An explainable machine learning study. Ann. Oper. Res. 2024, 1–25. [Google Scholar] [CrossRef]
- Nguyen, L.; Ahsan, M.; Haider, J. Reimagining peer-to-peer lending sustainability: Unveiling predictive insights with innovative machine learning approaches for loan default anticipation. FinTech 2024, 3, 184–215. [Google Scholar] [CrossRef]
- Yang, C. Research on loan approval and credit risk based on the comparison of Machine learning models. In SHS Web of Conferences; EDP Sciences: Les Ulis, France, 2024; Volume 181, p. 02003. [Google Scholar]
- Juyal, A.; Sethi, N.; Pandey, C.; Negi, D.; Joshi, A.; Verma, R. A comparative study of machine learning models in loan approval prediction. In Challenges in Information, Communication and Computing Technology; CRC Press: Boca Raton, FL, USA, 2025; pp. 453–458. [Google Scholar]
- Zhu, X.; Chu, Q.; Song, X.; Hu, P.; Peng, L. Explainable prediction of loan default based on machine learning models. Data Sci. Manag. 2023, 6, 123–133. [Google Scholar] [CrossRef]
- Lu, Z.; Li, H.; Wu, J. Exploring the impact of financial literacy on predicting credit default among farmers: An analysis using a hybrid machine learning model. Borsa Istanb. Rev. 2024, 24, 352–362. [Google Scholar] [CrossRef]
- Chatterjee, D. Loan Prediction Problem Dataset. 2021. Available online: https://www.kaggle.com/altruistdelhite04/loan-prediction-problem-dataset (accessed on 20 March 2025).
- Chawla, N.V.; Bowyer, K.W.; Hall, L.O.; Kegelmeyer, W.P. SMOTE: Synthetic minority over-sampling technique. J. Artif. Intell. Res. 2002, 16, 321–357. [Google Scholar] [CrossRef]
- Mendenhall, W.; Beaver, R.J.; Beaver, B.M. Introduction to Probability and Statistics; Cengage Learning: Boston, MA, USA, 2012. [Google Scholar]
- Hintze, J.L.; Nelson, R.D. Violin plots: A box plot-density trace synergism. Am. Stat. 1998, 52, 181–184. [Google Scholar] [CrossRef]
- Secrest, B.R.; Lamont, G.B. Visualizing particle swarm optimization-Gaussian particle swarm optimization. In Proceedings of the 2003 IEEE Swarm Intelligence Symposium, SIS’03 (Cat. No. 03EX706), Indianapolis, IN, USA, 26 April 2003; IEEE: Piscataway, NJ, USA, 2003; pp. 198–204. [Google Scholar]
- Wilkinson, L.; Friendly, M. The history of the cluster heat map. Am. Stat. 2009, 63, 179–184. [Google Scholar] [CrossRef]
- Dwork, C. Differential privacy. In International Colloquium on Automata, Languages, and Programming; Springer: Berlin/Heidelberg, Germany, 2006; pp. 1–12. [Google Scholar]
- Phan, N.; Wu, X.; Hu, H.; Dou, D. Adaptive Laplace mechanism: Differential privacy preservation in deep learning. In Proceedings of the 2017 IEEE International Conference on Data Mining (ICDM), New Orleans, LA, USA, 18–21 November 2017; IEEE: Piscataway, NJ, USA, 2017; pp. 385–394. [Google Scholar]
- Dong, J.; Roth, A.; Su, W.J. Gaussian differential privacy. arXiv 2019, arXiv:1905.02383. [Google Scholar] [CrossRef]
- Pal, M. Random forest classifier for remote sensing classification. Int. J. Remote Sens. 2005, 26, 217–222. [Google Scholar] [CrossRef]
- Chen, Z.; Jiang, F.; Cheng, Y.; Gu, X.; Liu, W.; Peng, J. XGBoost classifier for DDoS attack detection and analysis in SDN-based cloud. In Proceedings of the 2018 IEEE International Conference on Big Data and Smart Computing (BigComp), Shanghai, China, 15–17 January 2018; IEEE: Piscataway, NJ, USA, 2018; pp. 251–256. [Google Scholar]
- Hastie, T.; Rosset, S.; Zhu, J.; Zou, H. Multi-class AdaBoost. Stat. Its Interface 2009, 2, 349–360. [Google Scholar] [CrossRef]
- LaValley, M.P. Logistic regression. Circulation 2008, 117, 2395–2399. [Google Scholar] [CrossRef] [PubMed]
- Prokhorenkova, L.; Gusev, G.; Vorobev, A.; Dorogush, A.V.; Gulin, A. CatBoost: Unbiased boosting with categorical features. In Proceedings of the 32nd International Conference on Neural Information Processing Systems, Montréal, QC, Canada, 3–8 December 2018; Volume 31. [Google Scholar]
- Samek, W.; Montavon, G.; Vedaldi, A.; Hansen, L.K.; Müller, K.R. (Eds.) Explainable AI: Interpreting, Explaining and Visualizing Deep Learning; Springer Nature: Cham, Switzerland, 2019; Volume 11700. [Google Scholar]
Disclaimer/Publisher’s Note: The statements, opinions and data contained in all publications are solely those of the individual author(s) and contributor(s) and not of MDPI and/or the editor(s). MDPI and/or the editor(s) disclaim responsibility for any injury to people or property resulting from any ideas, methods, instructions or products referred to in the content. |
© 2025 by the authors. Licensee MDPI, Basel, Switzerland. This article is an open access article distributed under the terms and conditions of the Creative Commons Attribution (CC BY) license (https://creativecommons.org/licenses/by/4.0/).














