Dual-Gate Metal-Oxide-Semiconductor Transistors: Nanoscale Channel Length Scaling and Performance Optimization
Abstract
1. Introduction
2. Methods
3. Results
3.1. Structure Details and Morphology Characteristics
3.2. Bottom-Gate IGZO Measurements
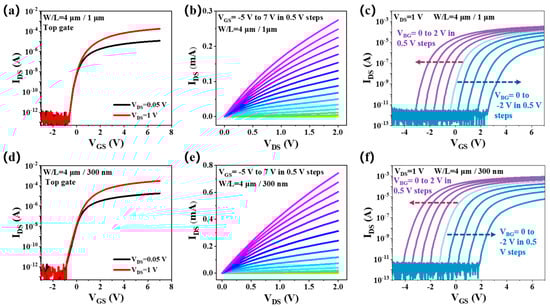
3.3. Scaled Dual-Gate IGZO Transistors Measurements
4. Conclusions
Supplementary Materials
Author Contributions
Funding
Data Availability Statement
Conflicts of Interest
References
- Yoon, Y.J.; Seo, J.H.; Cho, S.; Lee, J.-H.; Kang, I.M. A polycrystalline-silicon dual-gate MOSFET-based 1T-DRAM using grain boundary-induced variable resistance. Appl. Phys. Lett. 2019, 114, 183503. [Google Scholar] [CrossRef]
- Priyadarshi, S.; Billah, M.M.; Kim, H.; Rabbi, M.H.; Urmi, S.S.; Lee, S.; Jang, J. High-performance dual gate amorphous InGaZnO thin film transistor with top gate to drain offset. IEEE Electron Device Lett. 2021, 43, 56–59. [Google Scholar] [CrossRef]
- Fuhrer, M.S.; Hone, J. Measurement of mobility in dual-gated MoS2 transistors. Nat. Nanotechnol. 2013, 8, 146–147. [Google Scholar]
- Spijkman, M.J.; Brondijk, J.J.; Geuns, T.C.; Smits, E.C.; Cramer, T.; Zerbetto, F.; Stoliar, P.; Biscarini, F.; Blom, P.W.; de Leeuw, D.M. Dual-gate organic field-effect transistors as potentiometric sensors in aqueous solution. Adv. Funct. Mater. 2010, 20, 898–905. [Google Scholar]
- Sheng, J.; Lee, H.-J.; Oh, S.; Park, J.-S. Flexible and High-Performance Amorphous Indium Zinc Oxide Thin-Film Transistor Using Low-Temperature Atomic Layer Deposition. ACS Appl. Mater. Interfaces 2016, 8, 33821–33828. [Google Scholar]
- Kamiya, T.; Hosono, H. Material characteristics and applications of transparent amorphous oxide semiconductors. NPG Asia Mater. 2010, 2, 15–22. [Google Scholar]
- Kamiya, T.; Nomura, K.; Hosono, H. Present status of amorphous In–Ga–Zn–O thin-film transistors. Sci. Technol. Adv. Mater. 2010, 11, 044305. [Google Scholar]
- Hong, T.; Jeong, H.-J.; Lee, H.-M.; Choi, S.-H.; Lim, J.H.; Park, J.-S. Significance of pairing In/Ga precursor structures on PEALD InGaOx thin-film transistor. ACS Appl. Mater. Interfaces 2021, 13, 28493–28502. [Google Scholar]
- Ji, D.; Jang, J.; Park, J.H.; Kim, D.; Rim, Y.S.; Hwang, D.K.; Noh, Y.-Y. Recent progress in the development of backplane thin film transistors for information displays. J. Inf. Disp. 2021, 22, 1–11. [Google Scholar] [CrossRef]
- Zou, T.; Chen, C.; Xiang, B.; Wang, Y.; Liu, C.; Zhang, S.; Zhou, H. Flexible, active-matrix flat-panel image sensor for low dose X-ray detection enabled by integration of perovskite photodiode and oxide thin film transistor. In Proceedings of the 2019 IEEE International Electron Devices Meeting (IEDM), San Francisco, CA, USA, 7–11 December 2019; pp. 8.5.1–8.5.4. [Google Scholar]
- Lee, S.; Nathan, A. Subthreshold Schottky-barrier thin-film transistors with ultralow power and high intrinsic gain. Science 2016, 354, 302–304. [Google Scholar]
- Belmonte, A.; Oh, H.; Rassoul, N.; Donadio, G.; Mitard, J.; Dekkers, H.; Delhougne, R.; Subhechha, S.; Chasin, A.; Van Setten, M.; et al. Capacitor-less, long-retention (>400s) DRAM cell paving the way towards low-power and high-density monolithic 3D DRAM. In Proceedings of the 2020 IEEE International Electron Devices Meeting (IEDM), San Francisco, CA, USA, 12–18 December 2020; pp. 28.22.21–28.22.24. [Google Scholar]
- Kim, J.; Jeong, S.; Sarawut, S.; Kim, H.; Son, S.U.; Lee, S.; Rabbani, G.; Kwon, H.; Lim, E.-K.; Ahn, S.N.; et al. An immunosensor based on a high performance dual-gate oxide semiconductor thin-film transistor for rapid detection of SARS-CoV-2. Lab a Chip 2022, 22, 899–907. [Google Scholar] [CrossRef]
- Xiang, B.; Zou, T.; Wang, Y.; Liu, C.; Chen, J.; Wang, K.; Dai, Q.; Zhang, S.; Zhou, H. Photovoltage-coupled dual-gate InGaZnO thin-film transistors operated at the subthreshold region for low-power photodetection. ACS Appl. Electron. Mater. 2020, 2, 1745–1751. [Google Scholar] [CrossRef]
- Ma, P.; Sun, J.; Liang, G.; Li, Y.; Xin, Q.; Li, Y.; Song, A. Half-volt operation of IGZO thin-film transistors enabled by ultrathin HfO2 gate dielectric. Appl. Phys. Lett. 2018, 113, 063501. [Google Scholar] [CrossRef]
- Samanta, S.; Chand, U.; Xu, S.; Han, K.; Wu, Y.; Wang, C.; Kumar, A.; Velluri, H.; Li, Y.; Fong, X.; et al. Low subthreshold swing and high mobility amorphous indium–gallium–zinc-oxide thin-film transistor with thin HfO2 gate dielectric and excellent uniformity. IEEE Electron Device Lett. 2020, 41, 856–859. [Google Scholar] [CrossRef]
- Ma, P.; Du, L.; Wang, Y.; Jiang, R.; Xin, Q.; Li, Y.; Song, A. Low voltage operation of IGZO thin film transistors enabled by ultrathin Al2O3 gate dielectric. Appl. Phys. Lett. 2018, 112, 023501. [Google Scholar] [CrossRef]
- Shao, Y.; Xiao, X.; He, X.; Deng, W.; Zhang, S. Low-voltage a-InGaZnO thin-film transistors with anodized thin HfO2 gate dielectric. IEEE Electron Device Lett. 2015, 36, 573–575. [Google Scholar] [CrossRef]
- Lee, S.Y.; Kim, J.; Park, A.; Park, J.; Seo, H. Creation of a short-range ordered two-dimensional electron gas channel in Al2O3/In2O3 interfaces. ACS Nano 2017, 11, 6040–6047. [Google Scholar] [CrossRef]
- Park, J.; Kim, H.; Choi, P.; Jeon, B.; Lee, J.; Oh, C.; Kim, B.; Choi, B. Effect of ALD-and PEALD-grown Al2O3 gate insulators on electrical and stability properties for a-IGZO thin-film transistor. Electron. Mater. Lett. 2021, 17, 299–306. [Google Scholar] [CrossRef]
- Seok, T.J.; Liu, Y.; Jung, H.J.; Kim, S.B.; Kim, D.H.; Kim, S.M.; Jang, J.H.; Cho, D.-Y.; Lee, S.W.; Park, T.J. Field-effect device using quasi-two-dimensional electron gas in mass-producible atomic-layer-deposited Al2O3/TiO2 ultrathin (<10 nm) film heterostructures. ACS Nano 2018, 12, 10403–10409. [Google Scholar]
- Jeon, S.; Park, S.; Song, I.; Hur, J.-H.; Park, J.; Kim, S.; Kim, S.; Yin, H.; Lee, E.; Ahn, S.; et al. 180nm gate length amorphous InGaZnO thin film transistor for high density image sensor applications. In Proceedings of the 2010 International Electron Devices Meeting, San Francisco, CA, USA, 6–8 December 2010; pp. 21.23.21–21.23.24. [Google Scholar]
- Kang, I.H.; Hwang, S.H.; Baek, Y.J.; Kim, S.G.; Han, Y.L.; Kang, M.S.; Woo, J.G.; Lee, J.M.; Yu, E.S.; Bae, B.S. Interfacial oxidized gate insulators for low-power oxide thin-film transistors. ACS Omega 2021, 6, 2717–2726. [Google Scholar] [CrossRef]
- Han, K.; Samanta, S.; Sun, C.; Gong, X. Top-gate short channel amorphous indium-gallium-zinc-oxide thin film transistors with sub-1.2 nm equivalent oxide thickness. IEEE J. Electron Devices Soc. 2021, 9, 1125–1130. [Google Scholar] [CrossRef]
- Zhu, L.; He, Y.; Chen, C.; Wang, X.; Zhu, Y.; Zhu, Y.; Mao, H.; Wan, C.; Wan, Q. High-Performance Amorphous InGaZnO Thin-Film Transistor Gated by HfAlOx Dielectric With Ultralow Subthreshold Swing. IEEE Trans. Electron Devices 2021, 68, 6154–6158. [Google Scholar]
- Han, K.; Kong, Q.; Kang, Y.; Sun, C.; Wang, C.; Zhang, J.; Xu, H.; Samanta, S.; Zhou, J.; Wang, H. Indium-gallium-zinc-oxide (IGZO) nanowire transistors. IEEE Trans. Electron Devices 2021, 68, 6610–6616. [Google Scholar]
- Yang, H.; Zhou, X.; Fu, H.; Chang, B.; Min, Y.; Peng, H.; Lu, L.; Zhang, S. Metal reaction-induced bulk-doping effect in forming conductive source-drain regions of self-aligned top-gate amorphous InGaZnO thin-film transistors. ACS Appl. Mater. Interfaces 2021, 13, 11442–11448. [Google Scholar]
- Allemang, C.R.; Peterson, R.L. Passivation of thin channel zinc tin oxide TFTs using Al2O3 deposited by O3-based atomic layer deposition. IEEE Electron Device Lett. 2019, 40, 1120–1123. [Google Scholar]
- Zywotko, D.R.; George, S.M. Thermal atomic layer etching of ZnO by a “Conversion-Etch” mechanism using sequential exposures of hydrogen fluoride and trimethylaluminum. Chem. Mater. 2017, 29, 1183–1191. [Google Scholar]
- Li, J.; Zhang, Y.; Wang, J.; Yang, H.; Zhou, X.; Chan, M.; Wang, X.; Lu, L.; Zhang, S. Near-ideal top-gate controllability of InGaZnO thin-film transistors by suppressing interface defects with an ultrathin atomic layer deposited gate insulator. ACS Appl. Mater. Interfaces 2023, 15, 8666–8675. [Google Scholar]
- Kim, H.Y.; Jung, E.A.; Mun, G.; Agbenyeke, R.E.; Park, B.K.; Park, J.-S.; Son, S.U.; Jeon, D.J.; Park, S.-H.K.; Chung, T.-M.; et al. Low-temperature growth of indium oxide thin film by plasma-enhanced atomic layer deposition using liquid dimethyl (N-ethoxy-2, 2-dimethylpropanamido) indium for high-mobility thin film transistor application. ACS Appl. Mater. Interfaces 2016, 8, 26924–26931. [Google Scholar]
- Haeberle, J.; Henkel, K.; Gargouri, H.; Naumann, F.; Gruska, B.; Arens, M.; Tallarida, M.; Schmeißer, D. Ellipsometry and XPS comparative studies of thermal and plasma enhanced atomic layer deposited Al2O3-films. Beilstein J. Nanotechnol. 2013, 4, 732–742. [Google Scholar]
- Valletta, A.; Fortunato, G.; Mariucci, L.; Barquinha, P.; Martins, R.; Fortunato, E.J. Contact effects in amorphous InGaZnO thin film transistors. J. Disp. Technol. 2014, 10, 956–961. [Google Scholar]
- Zheng, S.; Lv, S.; Wang, C.; Li, Z.; Dong, L.; Xin, Q.; Song, A.; Zhang, J.; Li, Y. Post-annealing effect of low temperature atomic layer deposited Al2O3 on the top gate IGZO TFT. Nanotechnology 2024, 35, 155203. [Google Scholar] [CrossRef] [PubMed]
- Charnas, A.; Si, M.; Lin, Z.; Ye, P.D. Enhancement-mode atomic-layer thin In2O3 transistors with maximum current exceeding 2 A/mm at drain voltage of 0.7 V enabled by oxygen plasma treatment. Appl. Phys. Lett. 2021, 118, 052107. [Google Scholar]
- Si, M.; Charnas, A.; Lin, Z.; Peide, D.Y. Enhancement-mode atomic-layer-deposited In2O3 transistors with maximum drain current of 2.2 A/mm at drain voltage of 0.7 V by low-temperature annealing and stability in hydrogen environment. IEEE Trans. Electron Devices 2021, 68, 1075–1080. [Google Scholar] [CrossRef]
- Si, M.; Lin, Z.; Charnas, A.; Peide, D.Y. Scaled atomic-layer-deposited indium oxide nanometer transistors with maximum drain current exceeding 2 A/mm at drain voltage of 0.7 V. IEEE Electron Device Lett. 2020, 42, 184–187. [Google Scholar]
- Guo, M.; Ou, H.; Xie, D.; Zhu, Q.; Wang, M.; Liang, L.; Liu, F.; Ning, C.; Cao, H.; Yuan, G. Critical assessment of the high carrier mobility of bilayer In2O3/IGZO transistors and the underlying mechanisms. Adv. Electron. Mater. 2023, 9, 2201184. [Google Scholar]
- Richards, T.; Sirringhaus, H. Analysis of the contact resistance in staggered, top-gate organic field-effect transistors. J. Appl. Phys. 2007, 102, 094510. [Google Scholar]
- Tai, Y.-H.; Chiu, H.-L.; Chou, L.-S.; Chang, C.-H. Boosted gain of the differential amplifier using the second gate of the dual-gate a-IGZO TFTs. IEEE Electron Device Lett. 2012, 33, 1729–1731. [Google Scholar]
- Lei, T.; Shi, R.; Wang, Y.; Xia, Z.; Wong, M. A comparative study on inverters built with dual-gate thin-film transistors based on depletion-or enhancement-mode technologies. IEEE Trans. Electron Devices 2022, 69, 3186–3191. [Google Scholar]
- You, Y.; Moon, K.C.; Kim, H.; Oh, J.; Lee, S.; Lim, J.H.; Son, K.S.; Cho, J.; Park, K. Double-gate metal–oxide TFT pixel circuit for improved luminance uniformity of mobile OLED display. J. Inf. Disp. 2024, 1–9. [Google Scholar] [CrossRef]
- Chen, P.H.; Tsao, Y.C.; Chien, Y.C.; Chiang, H.C.; Chen, H.M.; Lu, Y.H.; Shih, C.C.; Tai, M.C.; Chen, G.F.; Tsai, Y.L. A Dual-Gate InGaZnO4-Based Thin-Film Transistor for High-Sensitivity UV Detection. Adv. Mater. Technol. 2019, 4, 1900106. [Google Scholar] [CrossRef]
- Dou, W.; Tan, Y. Dual-gate low-voltage transparent electric-double-layer thin-film transistors with a top gate for threshold voltage modulation. RSC Adv. 2020, 10, 8093–8096. [Google Scholar] [CrossRef]
- Ou, H.; Wang, K.; Chen, J.; Nathan, A.; Deng, S.; Xu, N. Dual-gate photosensitive FIN-TFT with high photoconductive gain and near-UV to near-IR responsivity. In Proceedings of the 2016 IEEE International Electron Devices Meeting (IEDM), San Francisco, CA, USA, 3–7 December 2016; pp. 32.35.31–32.35.34. [Google Scholar]
- Rabbi, M.H.; Billah, M.M.; Siddik, A.B.; Lee, S.; Lee, J.; Jang, J. Extremely stable dual gate coplanar amorphous InGaZnO thin film transistor with split active layer by N2O annealing. IEEE Electron Device Lett. 2020, 41, 1782–1785. [Google Scholar] [CrossRef]
- Jeon, C.H.; Um, J.G.; Mativenga, M.; Jang, J. Fast threshold voltage compensation AMOLED pixel circuit using secondary gate effect of dual gate a-IGZO TFTs. IEEE Electron Device Lett. 2016, 37, 1450–1453. [Google Scholar] [CrossRef]
- Sun, K.G.; Choi, K.; Jackson, T.N. Low-power double-gate ZnO TFT active rectifier. IEEE Electron Device Lett. 2016, 37, 426–428. [Google Scholar] [CrossRef]
- Li, Y.V.; Ramirez, J.I.; Sun, K.G.; Jackson, T.N. Low-voltage double-gate ZnO thin-film transistor circuits. IEEE Electron Device Lett. 2013, 34, 891–893. [Google Scholar] [CrossRef]
- Hu, Y.; Wang, Y.; Lei, T.; Wang, F.; Wong, M. Neuromorphic implementation of logic functions based on parallel dual-gate thin-film transistors. IEEE Electron Device Lett. 2022, 43, 741–744. [Google Scholar] [CrossRef]
- Wang, C.; Hu, Z.; He, X.; Liao, C.; Zhang, S. One gate diode-connected dual-gate a-IGZO TFT driven pixel circuit for active matrix organic light-emitting diode displays. IEEE Trans. Electron Devices 2016, 63, 3800–3803. [Google Scholar] [CrossRef]
- Kim, H.; Kim, Y.; Lee, H. P-25: An AMOLED Pixel Circuit Compensating for Variation of Sub-threshold Swing and Threshold Voltage Based on Double Gate a-IGZO TFTs. In SID Symposium Digest of Technical Papers; Society for Information Display: Santa Ana, CA, USA, 2023; pp. 1502–1505. [Google Scholar]
- Nahar, S.; Priyadarshi, S.; Billah, M.M.; Arnob, M.R.M.; Rahaman, A.; Kim, J.B.; Bae, Y.H.; Ma, C.; Lin, Y.; Chen, B. A Study on High Performance, Dual-Gate a-IZO/a-IGZTO TFTs with Excellent Stability. IEEE Electron Device Lett. 2024, 45, 1835–1838. [Google Scholar] [CrossRef]
- Lu, W.; Zhu, Z.; Chen, K.; Liu, M.; Kang, B.-M.; Duan, X.; Niu, J.; Liao, F.; Dan, W.; Wu, X.-S. First demonstration of dual-gate IGZO 2T0C DRAM with novel read operation, one bit line in single cell, ION = 1500 μa/μm@ VDS = 1V and retention time> 300s. In Proceedings of the 2022 International Electron Devices Meeting (IEDM), San Francisco, CA, USA, 3–7 December 2022; pp. 26.24.21–26.24.24. [Google Scholar]
- Chen, K.; Niu, J.; Yang, G.; Liu, M.; Lu, W.; Liao, F.; Huang, K.; Duan, X.; Lu, C.; Wang, J. Scaling Dual-Gate Ultra-thin a-IGZO FET to 30 nm Channel Length with Record-high Gm,max of 559 µS/µm at VDS = 1 V, Record-low DIBL of 10 mV/V and Nearly Ideal SS of 63 mV/dec. In Proceedings of the 2022 IEEE Symposium on VLSI Technology and Circuits (VLSI Technology and Circuits), Honolulu, HI, USA, 12–17 June 2022; pp. 298–299. [Google Scholar]







Disclaimer/Publisher’s Note: The statements, opinions and data contained in all publications are solely those of the individual author(s) and contributor(s) and not of MDPI and/or the editor(s). MDPI and/or the editor(s) disclaim responsibility for any injury to people or property resulting from any ideas, methods, instructions or products referred to in the content. |
© 2025 by the authors. Licensee MDPI, Basel, Switzerland. This article is an open access article distributed under the terms and conditions of the Creative Commons Attribution (CC BY) license (https://creativecommons.org/licenses/by/4.0/).
Share and Cite
Zheng, H.; Ye, Z.; Liu, B.; Wang, M.; Zhang, L.; Liu, C. Dual-Gate Metal-Oxide-Semiconductor Transistors: Nanoscale Channel Length Scaling and Performance Optimization. Electronics 2025, 14, 1257. https://doi.org/10.3390/electronics14071257
Zheng H, Ye Z, Liu B, Wang M, Zhang L, Liu C. Dual-Gate Metal-Oxide-Semiconductor Transistors: Nanoscale Channel Length Scaling and Performance Optimization. Electronics. 2025; 14(7):1257. https://doi.org/10.3390/electronics14071257
Chicago/Turabian StyleZheng, Huajian, Zhuohang Ye, Baiquan Liu, Mengye Wang, Li Zhang, and Chuan Liu. 2025. "Dual-Gate Metal-Oxide-Semiconductor Transistors: Nanoscale Channel Length Scaling and Performance Optimization" Electronics 14, no. 7: 1257. https://doi.org/10.3390/electronics14071257
APA StyleZheng, H., Ye, Z., Liu, B., Wang, M., Zhang, L., & Liu, C. (2025). Dual-Gate Metal-Oxide-Semiconductor Transistors: Nanoscale Channel Length Scaling and Performance Optimization. Electronics, 14(7), 1257. https://doi.org/10.3390/electronics14071257

