Next Article in Journal
Tea Harvest Robot Navigation Path Generation Algorithm Based on Semantic Segmentation Using a Visual Sensor
Previous Article in Journal
MNv3-MFAE: A Lightweight Network for Video Action Recognition
 
 
Font Type:
Arial Georgia Verdana
Font Size:
Aa Aa Aa
Line Spacing:
Column Width:
Background:
Article

A Real-Time Diagnosis Method of Open-Circuit Faults in Cascaded H-Bridge Rectifiers Based on Voltage Threshold and Current Coefficient of Variation

1
School of Automation and Electrical Engineering, Zhongyuan University of Technology, Zhengzhou 451191, China
2
State Key Laboratory of Electrical Insulation and Power Equipment, Xi’an Jiaotong University, Xi’an 710049, China
3
School of Computer Science, Zhongyuan University of Technology, Zhengzhou 451191, China
4
Training Center, State Grid Ningxia Electric Power Co., Ltd., Yinchuan 750002, China
*
Author to whom correspondence should be addressed.
Electronics 2025, 14(5), 986; https://doi.org/10.3390/electronics14050986
Submission received: 3 December 2024 / Revised: 27 February 2025 / Accepted: 27 February 2025 / Published: 28 February 2025
(This article belongs to the Section Industrial Electronics)

Abstract

To effectively diagnose open-circuit (OC) faults in the insulated gate bipolar transistor (IGBT) of a cascaded H-bridge rectifier (CHBR) in real-time, this paper uses a single-phase three-cell CHBR as an example. Through mechanism analysis, the variation patterns of the capacitor voltage and grid current due to OC faults are defined. Based on this, the DC capacitor voltage threshold (VT) and the grid current coefficient of variation (CCV) are introduced as fault diagnosis indices, and a real-time OC fault diagnosis method for CHBR is established. The robustness, accuracy, timeliness, and universality of the proposed method are validated through simulations. The results show that the proposed method exhibits strong robustness when the grid voltage fluctuates, either dropping from 3 kV to 2.85 kV or rising from 3 kV to 3.15 kV. Compared to existing diagnostic methods, the proposed approach requires less diagnostic time, with the faulty IGBT being identified in as little as 3.09 ms under optimal conditions. Additionally, the diagnostic performance remains unaffected by changes in control strategies, making it universally applicable for OC fault diagnosis in CHBR under various control strategies (such as dq current decoupling control, PR current control, and transient current control), with comparable diagnosis results and speeds.

1. Introduction

Due to its modular structure, high power quality, and low harmonic distortion [1], the cascaded H-bridge rectifier (CHBR) is widely used in distributed energy applications, including power electronic transformers [2,3], battery energy storage systems [4], high-voltage flexible AC/DC transmission [5,6], and power quality improvement devices [7]. However, as the number of submodules increases, the reliability of the CHBR significantly declines, correspondingly raising the probability of semiconductor switch failures. It is estimated that over 38% of power conversion failures are attributed to semiconductor switch failures [8]. These failures can generally be classified into two categories: short-circuit (SC) faults and open-circuit (OC) faults [9]. While SC faults are highly destructive, hardware-based detection and protection schemes for them are well-established [10]. On the other hand, OC faults are primarily caused by bond wire fractures and solder layer failures, which result from the mismatch in thermal expansion coefficients between silicon and other materials [11,12]. Moreover, they can lead to secondary failures within the power system, potentially resulting in more severe incidents [13]. Therefore, how to diagnose OC faults of semiconductor switches within CHBRs is an interesting but challenging subject.
As an important problem in CHBRs, the OC fault diagnosis problem has been extensively studied. Up to now, OC fault diagnosis methods can be divided into three kinds, such as model-based methods, data-driven methods, and signal-based methods. In [14,15,16,17,18], model-based methods were used to diagnose and locate OC faults. However, these diagnosis methods are sensitive to circuit parameters and are challenging to apply to the discrete and complex systems of CHBRs. In [19,20,21,22,23], the authors designed data-driven methods by employing machine learning technology. Due to the high computational load, these methods are not easily extended to diagnose OC faults in real-time. Compared with the two methods mentioned above, signal-based methods are regarded as simpler and more suitable methods for online real-time fault diagnosis of CHBRs since they can reduce the operating load on microprocessors.
In recent years, there has been plenty of research on signal-based methods. In [24], the fast Fourier transform (FFT) of the current was used to detect and diagnose OC faulty cells. In [25], OC faults in modular multilevel converters (MMCs) were diagnosed by synthesizing the maximum and minimum capacitor voltage values and calculating a threshold using a signal synthesis technique based on the least-squares method. In [26], an OC diagnosis method for MMCs was proposed, which utilizes the count of periods (CSF) and the capacitor voltage sorting sequence number (CSN) as diagnostic indices. The fault is localized by assessing the trend in CSN changes within the submodule exhibiting the highest CSF. According to [27], output signals of the multiloop regulators are collected, and then the OC faulty IGBT locations can be diagnosed by the transient response of these regulators. However, the diagnosis methods used above in [24,25,26,27] typically require one or more complete current cycles, resulting in relatively long diagnosis times. To reduce the diagnosis time, double Fourier integrals and switching states were employed in [28] to analyze the effects of OC faults in a single H-bridge cell, and the faulty switch was located based on logic relationships. In [29], the measured dynamic characteristics of actual physical signals with critical node information in the controller loop were integrated, and then the faulty IGBT could be diagnosed by the integrated information, voltage change threshold, and current direction. However, the methods used in [28,29] still require a diagnosis time of no less than half of the grid current cycle. Moreover, the universality of the signal-based diagnostic method under different control strategies has not been investigated in the existing studies.
To overcome the abovementioned issues, this paper proposes an OC fault real-time diagnosis method for CHBR based on voltage threshold (VT) and current coefficient of variation (CCV). Firstly, the mechanisms of grid current and capacitor voltage under a single OC fault are analyzed, and then the curve characteristics of the OC faults are identified. Subsequently, a diagnostic threshold based on the ripple factor of capacitor voltages within each H-bridge cell is set to locate faulty cells. Furthermore, the fault location could be further confined to within two switches (i.e., a single switch group) by assessing the CCV in the grid side within the 1/8 cycle after the zero-crossing point. Finally, the accuracy, timeliness, and general applicability of this fault diagnosis method, as well as its robustness under grid voltage fluctuations, are validated through a closed-loop control model for a single-phase CHBR in Simulink. The main contributions of this paper are as follows:
(1) A rapid diagnosis method for OC faults, based on voltage thresholds and the current coefficient of variation, is proposed for CHBR. This approach significantly reduces diagnostic time compared to existing methods, with the fastest diagnosis time being as short as 3.09 ms to identify the faulty IGBT.
(2) The proposed method can be directly applied to OC fault diagnosis in CHBR under various control strategies (such as dq current decoupling control [14], proportional resonant (PR) current control [27,29], and transient current control [17,25,30]). Under the control strategies above, the diagnosis results are the same, and the diagnosis speeds are similar.
(3) Even when the grid voltage drops from 3 kV to 2.85 kV or rises from 3 kV to 3.15 kV, the proposed real-time OC fault diagnosis method demonstrates exceptional robustness and consistently avoids false judgments.
The remainder of this article is organized as follows: Section 2 introduces the operation principles of the CHBR. The OC fault modes of CHBR are analyzed in Section 3. Furthermore, the variation patterns of the capacitor voltage and grid current due to OC faults are defined through mechanism analysis. Section 4 proposes two diagnostic indices and a real-time diagnostic strategy. Section 5 builds a simulation model by MATLAB/Simulink and verifies the performance of the proposed diagnostic strategy according to the model. Then, the proposed approach is compared with the existing diagnostic strategies. Finally, Section 6 concludes this article.

2. Operation Principles of the CHBR

The widely used CHBR is generally composed of inductors, capacitors, and IGBTs. The topology of a single-phase CHBR is shown in Figure 1.
In Figure 1, u s is the grid voltage, i s is the grid current, R s is the parasitic resistance, L s is the filter inductor, and u h i and u c i are, respectively, the input voltage and capacitor voltage of cell i, while i = 1 , 2 , , n . Each H-bridge cell is composed of four IGBTs ( T i 1 , T i 2 , T i 3 , and T i 4 ), a DC-link capacitor, and a load R i . The input voltage of n H-bridge cells is defined as
u h = i = 1 n u h i .
This paper adopts unipolar frequency doubling carrier phase-shifted sinusoidal pulse width modulation (CPS-SPWM) and capacitor voltage balancing strategy to control CHBR. Under this control strategy, when the number of CHBR cells is n, the carrier frequency is f p w m , and the cycle of the carrier is T p w m = 1 / f p w m . The phase difference of the carrier signals in the same bridge arm of two adjacent cells is π / n , which means the time interval is T p w m / 2 n . Therefore, the on-time difference of IGBTs is in the same location as two adjacent cells T p w m / 2 n . The scheme of the unipolar frequency doubling CPS-SPWM method is shown in Figure 2.
In Figure 2, u s m 1 and u s m 2 are the modulation waves of the left and right arm in the H−bridge cell, and u k 1 , u k 2 , and u k 3 are the carrier waves of three H-bridge cells, respectively. Meanwhile, the time difference of the same phase carrier of two adjacent cells is T p w m / 6 . V m is the amplitude of the carrier and modulation waves. The operation modes of a single H-bridge in CHBR are related to the DC capacitor’s state, and the grid current’s different flow direction in each operation mode corresponds to different capacitor states, which is shown in Table 1.
In Table 1, s i 1 , s i 2 , s i 3 , and s i 4 represent the switching state of T i 1 , T i 2 , T i 3 , and T i 4 ; the numbers 1 and 0 indicate the switching on and off, respectively. When i s > 0 , the direction of grid current i s is the same as that in Figure 1, while the direction is opposite when i s < 0 .

3. Fault Operation Modes of the CHBR

This paper primarily considers the scenario of a single OC fault within the CHBR. When a single OC fault of IGBT occurs, the driving signal of the faulty cell is shown in Figure 3.
Figure 4 illustrates the path of i s when an OC fault occurs in T i 1 or T i 2 . As demonstrated in the figure, the occurrence of an OC fault causes the affected switches to cease operation, consequently forcing i s to flow through the anti-parallel diode of another healthy switch. This fault-induced current path modification significantly impacts the waveforms of the grid current and the capacitor voltage within a CHBR, as depicted in Figure 5.
As illustrated in Figure 4a,b, if i s < 0 , when the OC fault occurs in T i 1 , and the state of the switches is mode I or II in Table 1, respectively, the operation of CHBR remains unaffected. This is because the grid current i s does not pass through the faulty switch T i 1 under these operating conditions. Once the switching state transitions to modes III and IV, the grid current path of the two modes changes from the black dotted line to the red solid one, as shown in Figure 4c,d. Consequently, the status of C i changes from the discharging and bypassed modes to the bypassing and charge modes, respectively. This indicates that the electric charge of C i increases under modes III and IV compared with the healthy condition. Therefore, the voltage amplitude u c i of fault cell i is higher than that of the healthy cells. Taking a three-cell CHBC as an example, Figure 5a shows the waveforms of capacitor voltages ( u c 1 , u c 2 , and u c 3 ) and the grid current i s under the condition of T 21 failure.
Meanwhile, the charging and discharging time of the grid side filter inductor L s also changes, leading to oscillations in the grid current i s . Specifically, once the T i 1 failure happens during i s < 0 , the power supply configuration for L s is altered depending on the switching state. If the switching state is mode III, the power of L s is supplied from both the grid voltage source u s and C i to only u s . If H-bridge cell i is under switching state IV, the power of L s is supplied only u s to both the voltage source u s and C i ; that is, the power supply changes of L s lead to the oscillation of i s , and the occurrence of oscillation means the current deviates significantly from the trajectory expected under healthy CHBR operation. When i s > 0 , the current path is not affected by the OC fault of T i 1 because of the anti-parallel diode (see Figure 4e–g), which means the faulty oscillations only occur during i s < 0 , as shown in Figure 5a.
Similarly, if i s > 0 , when the T i 2 failure happens and the switching state is mode II or III, i s does not pass through T i 2 , so the operation of cell i is not affected, as shown in Figure 4f,g. Once H-bridge cell i runs in modes I and IV in Table 1, the current path changes as in Figure 4e,h, respectively. For mode I, the operation of C i is converted from the discharging mode to the bypassing mode. Likewise, when switching mode IV comes around, the bypassing mode of C i is rotated to charging mode. Since the state of C i changes, its total quantity of electric charge increases, and the voltage u c i of fault cell i is higher than that of the other cells.
Under the faulty operating conditions above, due to the output and input power of the CHBC system being balanced and the resistance R i being constant, the energy contained within the inductance L s changes inversely when the energy of C i changes, which will cause the original smooth current curve to oscillate. Moreover, the energy charging and discharging time of the filter inductor L s changes, as well. The electric power supply of L s is switched from both the grid voltage source u s and C i to only u s during mode I. On the other hand, the power supply of L s is offered from only u s to both the voltage source u s and C i under mode IV. In summary, the grid current i s undergoes waveform oscillations when T i 2 failure happens and i s > 0 . When i s < 0 , the current path could pass through the anti-parallel diode, which is not affected by the OC fault of T i 2 (see Figure 4a–d). This means the faulty oscillations only occur during i s > 0 , as shown in Figure 5b.
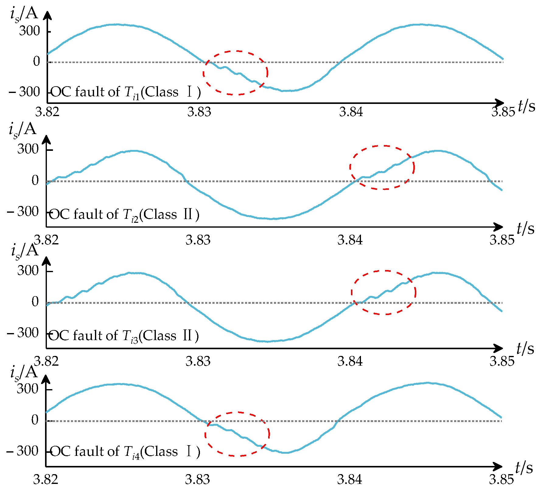
Since the current paths, capacitor status, and grid current characteristics during an OC failure of T i 4 and T i 3 are identical to T i 1 and T i 2 , respectively, as illustrated in Figure 6, the fault characteristics can be clearly seen in the red circles, the “ T i 1 or T i 4 ” and “ T i 2 or T i 3 ” IGBT failures are categorized into type I and II in this paper, respectively. For simplicity, the analysis above primarily focuses on the OC fault scenarios of T i 1 and T i 2 as examples.

4. The Real-Time Diagnosis Method of the OC Fault

Based on the preceding analysis and the distinct waveform characteristics of capacitor voltage and grid current in OC fault conditions, this paper proposes an OC fault diagnosis method of CHBR based on VT and CCT indicators, as follows.

4.1. Capacitor Voltage Threshold (VT)

As shown in Figure 5, under the healthy operation of the CHBR, the capacitor voltage waveforms of each cell remain stable and consistent. However, once an OC fault occurs, fluctuations appear in the capacitor voltages of all cells, with the local voltage amplitude in the faulty cell exceeding that of the healthy cells. This difference in amplitude gradually decreases because of the voltage balancing strategy. Consequently, by establishing an appropriate waveform threshold, it becomes feasible to distinguish between faulty and healthy cells.
Figure 7 shows the capacitor voltage when CHBR is healthy and under OC fault in cell 2. The threshold of voltage U p σ is as Figure 7a shows; U p is the average value of capacitor voltage, and the lower limit parameter σ is defined as
σ = g × ρ × D C s e t 3 ,
where D C s e t is the given total capacitor voltage, and g is the lower limit adjustment factor of the voltage. ρ is the ripple factor of the voltage [31], which is given as
ρ = U f U g 2 U p × 100 % ,
where U f and U g are the ripple peak and valley values of capacitor voltage, respectively.
As shown in Figure 7a, once an OC fault occurs, the first voltage valleys of healthy and faulty cells are below and exceed the diagnostic threshold, respectively. However, considering the peculiarity of CPS-SPWM, the capacitor voltages of two adjacent cells with the same phase exhibit phase differences of T p w m / 6 , as shown in Figure 7b, which is gained by the enlarged black frame of Figure 7a. As a result, the voltages of healthy cells do not reach the diagnostic threshold at the same time. Therefore, to enhance the tolerance of the diagnosis method, this paper sets a buffer time Δ t , which equals T p w m . Once the capacitor voltage of a cell reaches the diagnostic threshold, the buffer course begins, and the OC faulty cell is diagnosed at the end of the buffer process. By introducing a fault flag f m i , the aforementioned diagnostic process can be visualized as follows
f m i = 1 Δ t   done ,   u c i > U p σ & u c k U p σ 0 others ,
where u c k is the capacitor voltage of cell k, k [ 1 , 2 , i 1 ] [ i + 1 , , n ] . f m i = 1 indicates the OC fault occurs in cell i, while f m i = 0 means cell i is healthy.

4.2. Current Coefficient of Variation (CCV)

The analysis in Section 2 indicates that once the OC faults of IGBT occur, the current path within the faulty cell changes. During the continuous conduction of the IGBTs, there are significant changes in the grid current, which lead to amplitude fluctuations at the beginning of i s > 0 or i s < 0 . Therefore, the grid current during the first 1/8 cycle after i s = 0 is collected in real-time, and the CCV C v is used as an indicator to evaluate the degree of distortion in the grid current, which is given as
C v = m i = 1 m ( x i - x ¯ ) 2 i = 1 m x i ,
where x i is the current value of ith sample data, i = 1 , 2 , , m . x ¯ is the average value of the m data in the sequence. If C v n o r m a l is the C v under the healthy condition of CHBR, λ is the threshold adjustment coefficient that classifies the fault and healthy conditions. Therefore, when the distortion of the grid current exceeds the fault diagnosis threshold, it can be determined that an OC fault of IGBT has occurred in the CHBR.
Meanwhile, according to the operation principle of H-bridge cells, it can be determined that when current oscillations are detected, if i s < 0 , the OC fault is type I, whereas if i s > 0 , the fault is classified as type II. Therefore, combining the principle above with the criterion of the CCV, the diagnostic flags of type I and II can be further defined as
f h I = 1 C v λ × C v n o r m a l   while   i s < 0 0 C v < λ × C v n o r m a l ,
and
f h II = 1 C v λ × C v n o r m a l   while   i s > 0 0 C v < λ × C v n o r m a l .
In summary, when C v λ × C v n o r m a l and i s < 0 , f h I = 1 , a fault of type I occurs in the CHBR (that is, T i 1 or T i 4 OC failure). When C v λ × C v n o r m a l and i s > 0 , f h II = 1 , a type II fault occurs in the CHBR (i.e., T i 2 or T i 3 OC failure). When C v < λ × C v n o r m a l , f h I = 0 , and f h II = 0 , the CHBR is healthy.
However, in practical applications, when the OC fault occurs within the first 1/8 cycle after i s = 0 , the calculation of the CCV includes part of the normal waveforms, which is highly likely to cause the misjudgment of the CHBR operating state, as shown in Figure 8. To avoid this issue, in the situation above, the diagnostic results of the current within the first 1/8 fundamental period of the second i s = 0 after the fault occurs should be output as the running status of the CHBR.

4.3. The Real-Time Diagnostic Strategy for the OC Fault

Utilizing the abovementioned two diagnostic parameters (VT and CCV), the real-time OC fault diagnosis method for CHBR is proposed in this paper, whose flowchart is shown in Figure 9. Specifically, the explanation of Figure 9 is described as follows.
(1) The capacitor voltage of each H-bridge cell u c i ( i [ 1 , 2 , , n ] ) and grid current i s are collected in real-time. The grid current value for the 1/8 cycle is cached starting from the point i s = 0 .
(2) By monitoring the real-time capacitor voltage (collected in step (1)), if all of them exceed the voltage threshold U p σ , the CHBR is deemed to be functioning properly, and healthy flags ( f m i , f h I , and f h II ) are 0. Otherwise, the buffer time Δ t is triggered. When Δ t is finished, it is necessary to determine whether the capacitor voltages (i.e., u c i , i [ 1 , 2 , , n ] ) collected at the final moment of Δ t exceed U p σ according to Equation (4). If only one of them exceeds U p σ , the diagnosing course turns to step (3), and the flag f m i is set to 1; otherwise, the healthy flags ( f m i , f h I , f h II ) are set to 0.
(3) The CCV is calculated based on the cached current data and Equation (5). If the CCV is no less than the threshold λ × C v n o r m a l , the type of the OC fault I or II can be determined by judging i s > 0 or i s < 0 , respectively, and the fault diagnosis is completed. If CCV is greater than the threshold λ × C v n o r m a l , steps (1) and (3) are executed once more, and the fault diagnosis is completed until this loop processing ends.
Meanwhile, this paper sets the adjustment factors g and λ to 1.1 and 1.05, respectively. Extensive tests have shown that the abovementioned setting of the adjustment factors allows the fault diagnosis thresholds for the capacitor voltage and CCV to maintain a sufficient distance from the healthy waveform and minimizes the impact of signal fluctuations while ensuring sensitivity in fault diagnosis and localization.

5. Simulation and Verification of the Real-Time Fault Diagnosis Method

To prove the abovementioned diagnosis method, a single three-cell CHBR simulation model was built by MATLAB/Simulink R2023b [32,33], as shown in Figure 10. The control strategy was dq current decoupling control; at the same time, the voltage balancing controller was adopted to keep the capacitor voltage balance. Set the control step as 10 μs; the simulation parameters are shown in Table 2.
Since the dq current decoupling control strategy requires the grid current and the capacitor voltage of each module as input vectors, the proposed method does not require additional sensors for diagnostic signal acquisition, thereby effectively reducing costs.
In Figure 10, the simulation model is divided into four parts: the main circuit part, the control part, the fault diagnosis part, and the display part. The main circuit part is to simulate the topology of CHBR. The control part is the control strategy of CHBR, and it is built primarily for closed-loop control systems. The fault diagnosis part is used to detect the OC fault of CHBR, and the results are transferred to the display part. The display part is built to observe the fault diagnosis flags and the waveforms of the main circuits.
Subsequently, the robustness of the fault diagnosis method was verified under the situation of grid voltage amplitude reduction. The OC faults are simulated by turning off the driving signal of the switches. Based on the OC fault simulation, the accuracy and timeliness of the diagnosis method and its applicability under both PR current control [27,29] and transient current control strategies [17,25,30] are validated, as follows.

5.1. Robustness of the Diagnosis Method

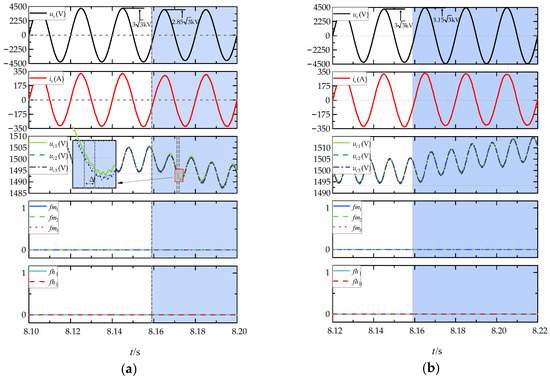
Under the healthy condition of single-phase CHBR, the waveform of the grid voltage and current is of good quality and consistent phase, and the root mean square (RMS) of the grid current is maintained at 224 A, as shown in Figure 11.
As shown in Figure 1, the amplitude change of the grid voltage u s can impact the amplitudes of the grid current i s and the capacitor voltage u c i . Therefore, to verify the robustness of the diagnostic method using signal i s and u c i as inputs, we researched it in two disturbance scenarios (the grid voltage was set to drop from 3 kV to 2.85 kV in Figure 12a and rise from 3 kV to 3.15 kV in Figure 12b). In Figure 12, the white part of the figure is under healthy operation, and the blue part is after the grid voltage falls.
From Figure 12, it is shown that when the grid voltage amplitude drops (refer to Figure 12a) or rises (refer to 12b) suddenly, the values of the fault diagnosis flags remain 0. This means that the sudden change of the grid voltage will not lead to a misdiagnosis of OC faults, which proves that the proposed fault diagnosis algorithm has good robustness.

5.2. Correctness and Timeliness of the Diagnosis Method

Since the waveform of the grid current and capacitor voltage greatly impact the diagnostic result of OC faults, this section takes OC faults of different types and times as examples to study the location effect and time of the diagnosis method.
(1) An OC fault of T 11
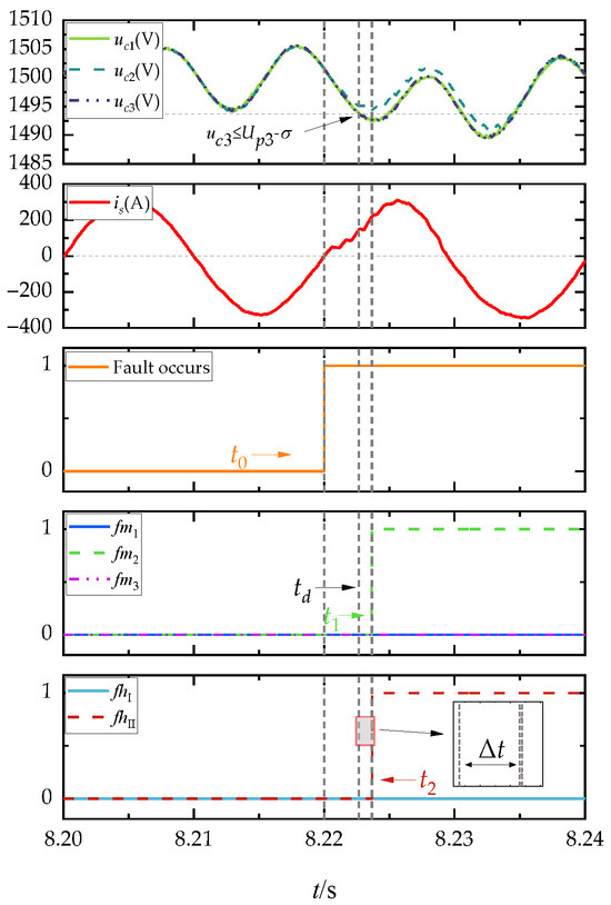
As shown in Figure 13, when the OC fault of T 11 occurs at the beginning of i s < 0 (i.e., t 0 ), each capacitor voltage decreases, and u c 3 is firstly less than the threshold U p σ at t d , and then the buffer time Δ t starts. At the end of Δ t , except for u c 1 , u c 2 , and u c 3 , which are less than U p σ , the H-bridge cell 1 is diagnosed as a faulty cell at t 1 . Meanwhile, the preload data of the corresponding current (i.e., the current data of the first 1/8 cycle after i s = 0 ) are adopted to calculate C v . Then, the fault type is confirmed as I (i.e., OC failure of T 11 or T 14 ) at t 2 . In short, the diagnosis process above costs only 3.39 ms ( t 0 to t 2 ), in which the faulty cell is confirmed by 3.35 ms ( t 0 to t 1 ), and the fault type is diagnosed by 0.04 ms ( t 1 to t 2 ).
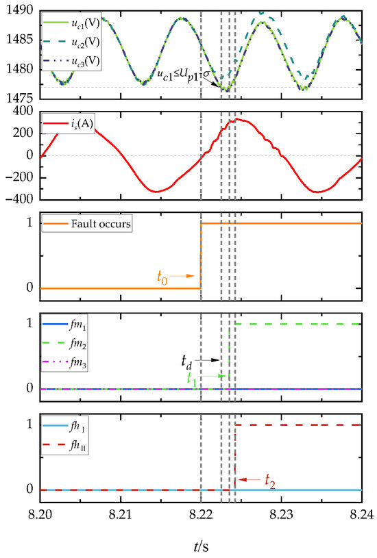
As shown in Figure 14, when the OC fault of T 11 occurs at the larger location to the right of the beginning of i s < 0 (i.e., t 0 ), the capacitor voltage of each cell decreases. In addition, u c 3 is firstly less than the threshold U p σ at t d , and then the buffer time Δ t starts. At the end of Δ t , u c 2 and u c 3 are less than U p σ , while u c 1 is greater than U p σ . Therefore, the H-bridge cell 1 is diagnosed as a faulty cell at t 1 . At the same time, due to the first calculation of C v containing more data on healthy current, the C v used in this section is obtained from the next negative half cycle of current. Moreover, the fault type is confirmed as I (i.e., OC failure of T 11 or T 14 ) at t 2 . Above all, the diagnosis process above costs 21.64 ms ( t 0 to t 2 ), in which the faulty cell is confirmed by 2.60 ms ( t 0 to t 1 ), and the fault type is diagnosed by 19.04 ms ( t 1 to t 2 ).
Therefore, the fastest and slowest localization times of type I faults in the CHBR are 1/4 and 5/4 fundamental cycles of i s , respectively.
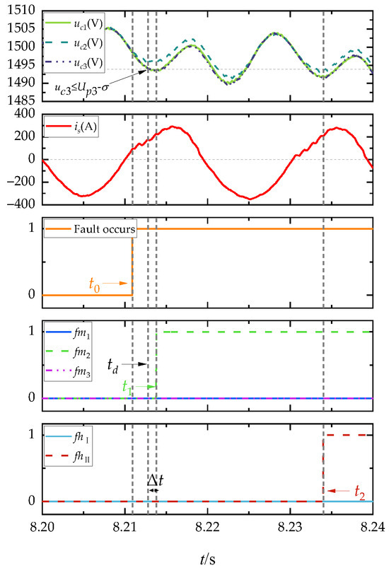
(2) An OC fault of T 22
As shown in Figure 15 and Figure 16, when the OC fault of T 22 occurs at the beginning of the positive i s or the larger location to its right side, the whole diagnosis process is similar to T 11 , and the diagnosis time under the two conditions above is as follows.
As shown in Figure 15, when the OC fault of T 11 occurs at the beginning of the positive i s (i.e., t 0 ), u c 3 is firstly less than the threshold U p σ at t d , and the total diagnosis process needs 3.09 ms ( t 0 to t 2 ). Meanwhile, the faulty cell is confirmed by 3.03 ms ( t 0 to t 1 ), and the fault class is diagnosed by 0.06 ms ( t 1 to t 2 ).
As shown in Figure 16, when the OC fault of T 11 occurs at the larger location to the right of the beginning of the positive i s (i.e., t 0 ), u c 3 is firstly less than the threshold U p σ at t d , and the total diagnosis process needs 23.10 ms ( t 0 to t 2 ). Meanwhile, the faulty cell is confirmed by 3.20 ms ( t 0 to t 1 ), and the fault class is diagnosed by 19.90 ms ( t 1 to t 2 ).
Similar to the diagnosis of type I faults, the fastest and slowest localization times of type II faults in the CHBR are also 1/4 and 5/4 fundamental cycles of i s , respectively.
In summary, the proposed OC fault diagnosis method for CHBR can locate the fault switch group within 1/4 to 5/4 current fundamental cycle, which proves the effectiveness of the method.

5.3. Advantages of the Diagnosis Method

Due to the fact that the grid current and the capacitor voltage of faulty CHBR are all different under different control strategies [10,13,18], this paper takes the PR current control [27,29] and transient current control strategies [17,25,30] as examples to verify the general applicability of this diagnosis method.
Figure 17 and Figure 18 show the diagnosis results of the OC fault of T 22 under PR and transient current control strategies, respectively. As expected, although the capacitor voltage and grid current of the two control strategies are different, the proposed method can still exactly find that the OC fault exists on switches T 22 or T 23 in cell 2. At the same time, the diagnosis time under the PR control strategy is 4.25 ms, and that under the transient current control is 3.45 ms.
The proposed method is compared with the algorithms in [25,27,29] to illustrate its corresponding advantages, as shown in Table 3. The algorithm in [25] is verified under the transient current control strategy, and the fastest diagnosis time is 4 ms. The algorithms in [27,29] are verified under the PR current control strategy, and the diagnosis times are 20 and 12 ms, respectively. It is noted that the algorithms in [25,27,29] are verified by only one of the three control strategies. However, the proposed method not only applies to the three control strategies above but also has the shortest diagnosis time. This means that the proposed method is easy to implement, as well as having faster diagnostic speed and better universality.

6. Conclusions

This paper takes single-phase three-cell CHBR as an example. The change rule of capacitor voltage and grid current after the occurrence of IGBT open-circuit faults through mechanism analysis is first clarified. Then, a real-time diagnosis method of IGBT open-circuit faults is established by introducing the threshold value of capacitor voltage and the grid CCV. Finally, the robustness, correctness, timeliness, and universality of this method are verified by simulation. The main conclusions are as follows:
(1) The OC faults cause the current path of CHBR and the capacitor charging and discharging states to change, furthermore resulting in the amplitude of capacitor voltage of the cell where the fault is located to be intermittently higher than that of the healthy cell. Using this phenomenon and combining the parameters, such as capacitor voltage preset value, waveform lower limit adjustment coefficient, ripple factor, and so on, the capacitor VT parameter can be constructed to identify the faulty cell.
(2) Due to the OC fault of CHBR, the supply of the filter inductor is changed, and the grid current oscillates in the positive/negative half cycle according to the position of the faulty IGBT; that is, the OC faults of “ T i 1 or T i 4 ” and “ T i 2 or T i 3 ” cause the oscillations on the negative and positive half cycle of the grid current, respectively. Therefore, using the grid CCV and combining it with the polarity of the oscillating current can realize the faulty IGBT localization.
(3) When the grid voltage drops from 3 kV to 2.85 kV or rises from 3 kV to 3.15 kV, the real-time OC fault diagnosis method established using the abovementioned capacitor VT and grid CCV is still robust and does not produce false judgment. The method has a shorter diagnostic time compared with existing methods, with the fastest time required being only 3.09 ms to locate the faulty IGBT. At the same time, the method is more universal and can be directly applied to the diagnosis of CHBR open-circuit faults under different control strategies (e.g., dq current decoupling control, PR current control, and transient current control), and their diagnostic process can all be completed within 1/4 current fundamental cycle at the fastest.
In summary, the method proposed in this paper has faster diagnostic speed, good disturbance robustness, and stronger universality, and can achieve effective real-time diagnosis of OC faults of CHBR.

Author Contributions

Conceptualization, Y.L.; methodology, Y.L.; software, Z.G.; validation, Y.L. and F.L.; formal analysis, Y.L.; investigation, F.L.; resources, Y.L.; data curation, Z.G. and K.W.; writing—original draft preparation, Y.L. and Z.G.; writing—review and editing, F.G., Y.Z., F.H. and X.W.; visualization, Z.G.; supervision, Y.L.; project administration, Y.L.; funding acquisition, Y.L. All authors have read and agreed to the published version of the manuscript.

Funding

This research was supported by the National Natural Science Foundation of China (62473391), the Basic Research Special Project of Key Research Projects for Universities in Henan Province (22ZX011), the Natural Science Foundation of Henan (242300421261), the Natural Science Foundation of Ningxia (2024AAC05101), the Key Science and Technology Projects of Henan Province (242102210200, 242102210177), the Key Scientific Research Project of Colleges and Universities in Henan Province (25A470007, 23A470010, 25A520001), and the Graduate Student Research and Innovation Project of Zhongyuan University of Technology (YKY2024ZK24).

Data Availability Statement

The data presented in this study are available on request from the corresponding author.

Conflicts of Interest

Feng Hou was employed by the company of Training Center, State Grid Ningxia Electric Power Co., LTD. The remaining authors declare that the research was conducted in the absence of any commercial or financial relationships that could be construed as a potential conflict of interest.

References

  1. Assaf, J.; Menye, J.S.; Camara, M.B.; Guilbert, D.; Dakyo, B. Power Converter Topologies for Heat Pumps Powered by Renewable Energy Sources: A Literature Review. Electronics 2024, 13, 3965. [Google Scholar] [CrossRef]
  2. Sang, Z.; Mao, C.; Lu, J.; Wang, D. Analysis and Simulation of Fault Characteristics of Power Switch Failures in Distribution Electronic Power Transformers. Energies 2013, 6, 4246–4268. [Google Scholar] [CrossRef]
  3. Hou, B.; Li, Y.; Teng, Y. Analysis of Power Electronic Traction Transformer under Non-Single Frequency PWM Control. Electronics 2024, 13, 3805. [Google Scholar] [CrossRef]
  4. Rauf, A.M.; Abdel-Monem, M.; Geury, T.; Hegazy, O. A Review on Multilevel Converters for Efficient Integration of Battery Systems in Stationary Applications. Energies 2023, 16, 4133. [Google Scholar] [CrossRef]
  5. Yan, S.; Zhang, H.; Yang, Q.; Gao, X.; Cui, Y. Study on operation mechanism and strategy for DC distributed power-collecting and cascaded voltage-boosting station with DEMS. IEEE Trans. Power Deliv. 2023, 38, 4302–4311. [Google Scholar] [CrossRef]
  6. Yan, S.; Li, C.; Cui, Y.; Zhang, H.; Yang, Q. A low computing FCS-MPC based on voltage vector tracking algorithm with CMVs suppression and capacitor charging balance algorithm without weight factors for ANPC 3P-5L converters. IEEE Trans. Power Electron. 2024, 39, 5361–5370. [Google Scholar] [CrossRef]
  7. Xiao, Y.; Shen, Y.; Yang, F.; Zuo, W.; Wen, J.; Yang, Z. Fault State Variables Integral Based Open-circuit Fault Detection for Power Unit of Cascaded H-bridge Converter. Power Syst. Technol. 2021, 45, 4213–4223. [Google Scholar]
  8. Jin, Y.; Xiao, Q.; Jia, H.; Ji, Y.; Dragičević, T.; Teodorescu, R.; Blaabjerg, F. A Novel Detection and Localization Approach of Open-Circuit Switch Fault for the Grid-Connected Modular Multilevel Converter. IEEE Trans. Ind. Electron. 2023, 70, 112–124. [Google Scholar] [CrossRef]
  9. Garramiola, F.; Poza, J.; Madina, P.; Del Olmo, J.; Almandoz, G. A Review in Fault Diagnosis and Health Assessment for Railway Traction Drives. Appl. Sci. 2018, 8, 2475. [Google Scholar] [CrossRef]
  10. Han, J.; Zhang, Z.; Yin, X.; Ran, Q. Research on Fault Characteristic and Location Method for Internal Open Circuit Fault of Cascaded Power Electronic Transformer. Proc. CSEE 2020, 40, 6071–6084. [Google Scholar]
  11. Zhan, C.; Zhang, Y.; Tang, Y.; Iannuzzo, F.; Zhu, L.; Ji, S. Influence of temperature on bond wire fatigue of gate loops in IGBT modules under sinusoidal vibration stress. In Proceedings of the 2023 11th International Conference on Power Electronics and ECCE Asia (ICPE 2023-ECCE Asia), Jeju Island, Republic of Korea, 22–25 May 2023; pp. 1349–1354. [Google Scholar]
  12. Zhan, C.; Wang, W.; Tang, Y.; Li, Y.; Iannuzzo, F.; Zhu, L. A novel sensor-reduction condition monitoring approach for MMC submodule IGBTs based on statistics of inferred on-state voltage. IEEE J. Emerg. Sel. Top. Power Electron. 2024, 12, 1068–1077. [Google Scholar] [CrossRef]
  13. Xu, Y.; Yang, S.; Wang, Y.; Yang, F.; Ma, L.; Shu, Z. Open-Circuit Fault Diagnosis and Fault-Tolerant Voltage Balancing Space Vector Pulse Width Modulation Algorithm of Single-Phase Cascaded Rectifier. Trans. China Electrotechn. Soc. 2024, 39, 4432–4444. [Google Scholar]
  14. Wang, H.; Wu, J.; Ma, M.; Chen, Q. A model-based power switch fault diagnosis strategy for cascaded H-Bridge converter. Microelectron. Reliab. 2023, 150, 115095. [Google Scholar] [CrossRef]
  15. Chai, M.; Gorla, N.B.Y.; Panda, S.K. Fault Detection and Localization for Cascaded H-Bridge Multilevel Converter With Model Predictive Control. IEEE Trans. Power Electron. 2020, 35, 10109–10120. [Google Scholar] [CrossRef]
  16. Gorla, N.B.Y.; Kolluri, S.; Chai, M.; Panda, S.K. An Open-Circuit Fault Detection and Localization Scheme for Cascaded H-Bridge Multilevel Converter Without Additional Sensors. IEEE Trans. Ind. Electron. 2022, 58, 457–467. [Google Scholar] [CrossRef]
  17. Xie, D.; Lin, C.; Zhang, Y.; Sangwongwanich, A.; Ge, X.; Feng, X.; Wang, H. Diagnosis and resilient control for multiple sensor faults in cascaded h-bridge multilevel converters. IEEE Trans. Power Electron. 2023, 38, 11435–11450. [Google Scholar] [CrossRef]
  18. Xie, D.; Ge, X. A State Estimator-Based Approach for Open-Circuit Fault Diagnosis in Single-Phase Cascaded H-Bridge Rectifiers. IEEE Trans. Ind. Appl. 2019, 55, 1608–1618. [Google Scholar] [CrossRef]
  19. Du, B.; He, Y.; Zhang, C. Intelligent diagnosis of cascaded H-bridge multilevel inverter combining sparse representation and deep convolutional neural networks. IET Power Electron. 2021, 14, 1121–1137. [Google Scholar] [CrossRef]
  20. Wang, T.; Xu, H.; Han, J.; Elbouchikhi, E.; Benbouzid, M.E.H. Cascaded H-Bridge Multilevel Inverter System Fault Diagnosis Using a PCA and Multiclass Relevance Vector Machine Approach. IEEE Trans. Power Electron. 2015, 30, 7006–7018. [Google Scholar] [CrossRef]
  21. León-Ruiz, Y.; González-García, M.; Alvarez-Salas, R.; Cárdenas, V.; Diaz, R.I.V. Fault Diagnosis in a Photovoltaic Grid-Tied CHB Multilevel Inverter based on a Hybrid Machine Learning and Signal Processing Technique. IEEE Access 2024, 12, 128909–128928. [Google Scholar] [CrossRef]
  22. Ke, L.; Liu, Y.; Yang, Y. Compound Fault Diagnosis Method of Modular Multilevel Converter Based on Improved Capsule Network. IEEE Access 2022, 10, 41201–41214. [Google Scholar] [CrossRef]
  23. Han, Y.; Qi, W.; Ding, N.; Geng, Z. Short-Time Wavelet Entropy Integrating Improved LSTM for Fault Diagnosis of Modular Multilevel Converter. IEEE Trans. Cybern. 2022, 52, 7504–7512. [Google Scholar] [CrossRef]
  24. Thantirige, L.; Rathore, A.K.; Panda, S.K.; Mukherjee, S.; Zagrodnik, M.A.; Gupta, A.K. An open-switch fault detection method for cascaded H-bridge multilevel inverter fed industrial drives. In Proceedings of the IECON 2016—42nd Annual Conference of the IEEE Industrial Electronics Society, Florence, Italy, 23–26 October 2016; pp. 2159–2165. [Google Scholar]
  25. Haoran, W.; Li, Y.; Wijesekera, A.; Kish, G.J.; Zhao, Q. Switch open-circuit fault detection and localization for modular multilevel converters based on signal synthesis. IEEE J. Emerg. Sel. Top. Power Electron. 2023, 11, 5391–5404. [Google Scholar]
  26. Wu, H.; Wang, Y.; Liu, Y.; Li, X.; Li, R.; Li, Y. A diagnostic strategy for IGBT open-circuit faults in modular multilevel converters based on improved diagnostic indices. Microelectron. Reliab. 2024, 159, 115444. [Google Scholar] [CrossRef]
  27. Chen, Y.; He, J. Fault Detection and Ride Through of CHB Converter-Based Star-Connected STATCOM Through Exploring the Inherent Information of Multiloop Controllers. IEEE Trans. Power Electron. 2023, 38, 1366–1371. [Google Scholar] [CrossRef]
  28. Kumar, M. Time-Domain Characterization and Detection of Open-Circuit Faults for the H-Bridge Power Cell. IEEE Trans. Power Electron. 2022, 37, 2152–2164. [Google Scholar] [CrossRef]
  29. Zeng, W.; Chen, Y.; Sun, M.; Lin, H.; Liu, Z.; Zhang, X.; Liu, Y.; Qin, K.; Wang, R. Fault location and tolerant control strategy for power electronic transformers with a single IGBT open-circuit fault. In Proceedings of the 2024 IEEE 10th International Power Electronics and Motion Control Conference (IPEMC2024-ECCE Asia), Chengdu, China, 17–20 May 2024; pp. 2390–2394. [Google Scholar]
  30. Lin, H.; Lin, C.; Xie, D.; Acuna, P.; Liu, W. A Counter-Based Open-Circuit Switch Fault Diagnostic Method for a Single-Phase Cascaded H-Bridge Multilevel Converter. IEEE Trans. Power Electron. 2024, 39, 814–825. [Google Scholar] [CrossRef]
  31. GB/T 24347-2021; Standardization Administration of the P.R.C. DC/DC Converter for Electric Vehicles. State Administration for Market Regulation: Beijing, China, 2021.
  32. Liu, B.; Song, W.; Li, Y.; Zhan, B. Performance Improvement of DC Capacitor Voltage Balancing Control for Cascaded H-Bridge Multilevel Converters. IEEE Trans. Power Electron. 2021, 36, 3354–3366. [Google Scholar] [CrossRef]
  33. Komurcugil, H.; Bayhan, S.; Guzman, R.; Malinowski, M.; Abu-Rub, H. Advanced Control of Power Converters: Techniques and Matlab/Simulink Implementation, 1st ed.; John Wiley & Sons, Inc.: Hoboken, NJ, USA, 2023; pp. 1–464. [Google Scholar]
Figure 1. The topology of a single-phase n-cell CHBR.
Figure 1. The topology of a single-phase n-cell CHBR.
Electronics 14 00986 g001
Figure 2. The scheme of the unipolar frequency doubling CPS-SPWM method.
Figure 2. The scheme of the unipolar frequency doubling CPS-SPWM method.
Electronics 14 00986 g002
Figure 3. The IGBT driving signals of the faulty cell.
Figure 3. The IGBT driving signals of the faulty cell.
Electronics 14 00986 g003
Figure 4. The path of the grid current corresponding to each switch state when the OC fault of T i 1 or T i 2 occurs: (a) mode I (OC of T i 1 when i s < 0 ); (b) mode II (OC of T i 1 when i s < 0 ); (c) mode III (OC of T i 1 when i s < 0 ); (d) mode IV (OC of T i 1 when i s < 0 ); (e) mode I (OC of T i 2 when i s > 0 ); (f) mode II (OC of T i 2 when i s > 0 ); (g) mode III (OC of T i 2 when i s > 0 ); (h) mode IV (OC of T i 2 when i s > 0 ).
Figure 4. The path of the grid current corresponding to each switch state when the OC fault of T i 1 or T i 2 occurs: (a) mode I (OC of T i 1 when i s < 0 ); (b) mode II (OC of T i 1 when i s < 0 ); (c) mode III (OC of T i 1 when i s < 0 ); (d) mode IV (OC of T i 1 when i s < 0 ); (e) mode I (OC of T i 2 when i s > 0 ); (f) mode II (OC of T i 2 when i s > 0 ); (g) mode III (OC of T i 2 when i s > 0 ); (h) mode IV (OC of T i 2 when i s > 0 ).
Electronics 14 00986 g004
Figure 5. The capacitor voltage and grid current waveforms of each cell during the OC fault of cell 2: (a) OC failure of T 21 ; (b) OC failure of T 22 .
Figure 5. The capacitor voltage and grid current waveforms of each cell during the OC fault of cell 2: (a) OC failure of T 21 ; (b) OC failure of T 22 .
Electronics 14 00986 g005
Figure 6. The grid current waveforms of OC faults in different IGBTs.
Figure 6. The grid current waveforms of OC faults in different IGBTs.
Electronics 14 00986 g006
Figure 7. Schematic diagram of the capacitor voltage and fault diagnosis of each cell with the occurrence of an OC fault in cell 2: (a) capacitor voltages of each cell and fault diagnosis threshold under an OC fault in cell 2; (b) a comparison of capacitor voltage ripples for each cell under normal operation of the CHBR.
Figure 7. Schematic diagram of the capacitor voltage and fault diagnosis of each cell with the occurrence of an OC fault in cell 2: (a) capacitor voltages of each cell and fault diagnosis threshold under an OC fault in cell 2; (b) a comparison of capacitor voltage ripples for each cell under normal operation of the CHBR.
Electronics 14 00986 g007
Figure 8. Grid current waveforms of the CHBR when a type I or II OC fault occurs within the first 1/8 fundamental period of grid current: (a) type I fault; (b) type II fault.
Figure 8. Grid current waveforms of the CHBR when a type I or II OC fault occurs within the first 1/8 fundamental period of grid current: (a) type I fault; (b) type II fault.
Electronics 14 00986 g008
Figure 9. Flowchart of the diagnosis method for OC faults in a CHBR.
Figure 9. Flowchart of the diagnosis method for OC faults in a CHBR.
Electronics 14 00986 g009
Figure 10. The simulation model of open-circuit faults in a single-phase 3-cell CHBR.
Figure 10. The simulation model of open-circuit faults in a single-phase 3-cell CHBR.
Electronics 14 00986 g010
Figure 11. The waveform of the grid voltage and current under the healthy condition.
Figure 11. The waveform of the grid voltage and current under the healthy condition.
Electronics 14 00986 g011
Figure 12. The waveforms and OC fault flags under the disturbance conditions. (a) The waveforms and OC fault flags under the grid voltage drop. (b) The waveforms and OC fault flags under the grid voltage rise.
Figure 12. The waveforms and OC fault flags under the disturbance conditions. (a) The waveforms and OC fault flags under the grid voltage drop. (b) The waveforms and OC fault flags under the grid voltage rise.
Electronics 14 00986 g012
Figure 13. The diagnosis results of the OC fault of T 11 occurred at the beginning of the negative grid current.
Figure 13. The diagnosis results of the OC fault of T 11 occurred at the beginning of the negative grid current.
Electronics 14 00986 g013
Figure 14. The diagnosis results of the OC fault of T 11 occurred at the larger location to the right of the beginning of the negative grid current.
Figure 14. The diagnosis results of the OC fault of T 11 occurred at the larger location to the right of the beginning of the negative grid current.
Electronics 14 00986 g014
Figure 15. The diagnosis results of the OC fault of T 22 occurred at the beginning of the positive grid current.
Figure 15. The diagnosis results of the OC fault of T 22 occurred at the beginning of the positive grid current.
Electronics 14 00986 g015
Figure 16. The diagnosis results of the OC fault of T 22 occurred at the larger location to the right of the beginning of the positive grid current.
Figure 16. The diagnosis results of the OC fault of T 22 occurred at the larger location to the right of the beginning of the positive grid current.
Electronics 14 00986 g016
Figure 17. The diagnostic results of the OC fault of T 22 under the PR control strategy.
Figure 17. The diagnostic results of the OC fault of T 22 under the PR control strategy.
Electronics 14 00986 g017
Figure 18. The diagnostic results of the OC fault of T 22 under the transient current control strategy.
Figure 18. The diagnostic results of the OC fault of T 22 under the transient current control strategy.
Electronics 14 00986 g018
Table 1. Operating status of H-bridges under the unipolar frequency doubling CPS-SPWM.
Table 1. Operating status of H-bridges under the unipolar frequency doubling CPS-SPWM.
ModeSwitching StateCapacitor Status
s i 1 s i 2 s i 3 s i 4 i s > 0 i s < 0
I0110DischargeCharge
II0011BypassedBypassed
III1001ChargeDischarge
IV1100BypassedBypassed
Table 2. Simulation parameters of a single-phase 3-cell CHBR.
Table 2. Simulation parameters of a single-phase 3-cell CHBR.
ParametersValueParametersValue
Grid   voltage   u s 3000 VControl step10 μs
Grid   frequency   f 50 Hz Given   voltage   D C s e t 4500 V
Filter   inductor   L s 12 mHRipple factor ρ38‰
DC-link   capacitor   C i 4700 μF g 1.1
Load   ( resistance )   R i 10 Ω λ 1.05
Switching   frequency   f p w m 1 kHz Δ t 1 ms
Table 3. Comparisons between the presented diagnostic method and existing methods.
Table 3. Comparisons between the presented diagnostic method and existing methods.
Sources of MethodsMinimum Diagnosis
Time/ms
Type of Control Algorithm Applied
[25]4Transient current control
[27]20PR current control
[29]12PR current control
This paper3.09dq decoupling control, PR current control, and transient current control
Disclaimer/Publisher’s Note: The statements, opinions and data contained in all publications are solely those of the individual author(s) and contributor(s) and not of MDPI and/or the editor(s). MDPI and/or the editor(s) disclaim responsibility for any injury to people or property resulting from any ideas, methods, instructions or products referred to in the content.

Share and Cite

MDPI and ACS Style

Liu, Y.; Guo, Z.; Liu, F.; Guo, F.; Wang, K.; Zhu, Y.; Hou, F.; Wang, X. A Real-Time Diagnosis Method of Open-Circuit Faults in Cascaded H-Bridge Rectifiers Based on Voltage Threshold and Current Coefficient of Variation. Electronics 2025, 14, 986. https://doi.org/10.3390/electronics14050986

AMA Style

Liu Y, Guo Z, Liu F, Guo F, Wang K, Zhu Y, Hou F, Wang X. A Real-Time Diagnosis Method of Open-Circuit Faults in Cascaded H-Bridge Rectifiers Based on Voltage Threshold and Current Coefficient of Variation. Electronics. 2025; 14(5):986. https://doi.org/10.3390/electronics14050986

Chicago/Turabian Style

Liu, Yong, Zhe Guo, Fei Liu, Feiya Guo, Kang Wang, Yongsheng Zhu, Feng Hou, and Xiaolei Wang. 2025. "A Real-Time Diagnosis Method of Open-Circuit Faults in Cascaded H-Bridge Rectifiers Based on Voltage Threshold and Current Coefficient of Variation" Electronics 14, no. 5: 986. https://doi.org/10.3390/electronics14050986

APA Style

Liu, Y., Guo, Z., Liu, F., Guo, F., Wang, K., Zhu, Y., Hou, F., & Wang, X. (2025). A Real-Time Diagnosis Method of Open-Circuit Faults in Cascaded H-Bridge Rectifiers Based on Voltage Threshold and Current Coefficient of Variation. Electronics, 14(5), 986. https://doi.org/10.3390/electronics14050986

Note that from the first issue of 2016, this journal uses article numbers instead of page numbers. See further details here.

Article Metrics

Back to TopTop