Abstract
Unmanned Aerial Vehicle (UAV)-based distributed Synthetic Aperture Radar (SAR) is a current research focus. Phase synchronization is crucial for eliminating the non-coherence of distributed systems. However, as the number of UAVs increases, fast time-varying multipath effects caused by rotors can lead to multipath fading. This degrades the signal-to-noise ratio (SNR) of the synchronization link and distorts the synchronization waveform. It further breaks the reciprocity of the dual one-way synchronization link, ultimately degrading phase synchronization accuracy. We propose a robust method for spike detection and error propagation to improve phase synchronization precision. Using the Hampel filter, we detect pulse peak position jitter and remove observations from anomalous links. We then use data fusion based on minimum variance to recover synchronization errors in these links, leveraging the redundancy in synchronization phase matrices. The effectiveness of the proposed method is confirmed through flight test data from a four-UAV distributed TomoSAR experiment. Compared to the maximum-peak detection method, the phase accuracy is improved from 12.84 deg to 0.61 deg. This method supports the application of distributed SAR.
1. Introduction
Distributed coherent radar has become a research focus in recent years [1,2,3,4,5]. Multiple independent low-cost units form a large system through signal-level cooperation, achieving more flexible configurations and higher resolution capabilities [1]. This represents an important direction for future development. In distributed Synthetic Aperture Radar (SAR), multiple coherent nodes can form a longer array, overcoming the limitation of the antenna length of a single platform. This enables high-resolution Tomographic Synthetic Aperture Radar (TomoSAR) in a single pass [6]. Compared with traditional multi-pass TomoSAR [7] and single-platform TomoSAR using a linear-array antenna [8], it offers higher data acquisition efficiency and resolution capabilities.
To achieve signal-level coherence, synchronization accuracy at the wavelength level is necessary [9]. Scholars have extensively studied synchronization [10,11,12,13] and high-precision positioning technologies [14,15]. In this article, we concentrate on phase synchronization.
The reciprocity of the dual one-way channel is a crucial prerequisite for phase synchronization. By differencing the dual one-way measurements, the phase changes introduced by propagation can be canceled out in the reciprocal channel while retaining the synchronization phase. In the field of communications, experimental studies have been conducted on the reciprocity of uplink and downlink channels [16,17]. Factors such as relative motion [18] between transmitters and receivers and the fast-varying wireless channel can all impair the reciprocity.
However, in distributed SAR, research on the reciprocity of synchronization links has not received much attention. Currently, distributed systems are primarily based on two nodes, and it is relatively easy to mitigate unfavorable factors in the dual one-way link through system design. For instance, in the synchronization time-division scheme, the alternate interval is shortened, typically to less than a millisecond. This results in negligible changes in propagation paths due to relative motion between platforms. Additionally, precise measurements of platform motion systems can accurately compensate for differences caused by relative motion [19]. By deploying multiple sets of synchronization antennas with different beam pointing centers, coverage of the synchronization link for the satellite’s double-spiral orbit is ensured [20]. Selecting good antennas can also help to suppress multipath effects as much as possible [21]. There have been few reports of non-reciprocity in actual experiments [6,22,23]. During the in-orbit flight of LT-1, the synchronization link received L-band radio frequency interference (RFI), which degraded the performance of synchronization error estimation [23]. Due to the time-division timing scheme, the interference signal of the one-way transmission was not correlated, which disrupted the reciprocity of the synchronization link.
Besides RFI, multipath fading can also break the reciprocity, especially in distributed TomoSAR formations. Although the elevation resolution increases with greater separation between Unmanned Aerial Vehicles (UAVs), this also leads to the problem of elevation ambiguity [24]. Therefore, the spacing between UAVs cannot be too large. The influence of multipath fading on synchronization measurements may become a potential risk in multi-UAV and tight formations. This will degrade the accuracy of the synchronization phase and even prevent correct phase unwrapping, leading to defocused SAR images. Furthermore, defocused images will affect image registration and ultimately deteriorate the elevation resolution performance of TomoSAR. Based on our previous experiments with a four-UAV distributed TomoSAR system, we have identified the multipath fading phenomenon, which degrades the signal-to-noise ratio (SNR) of the synchronization link, and ultimately breaks the reciprocity. To the best of our knowledge, there have been no papers studying the differences in dual one-way link synchronization reciprocity for distributed SAR under multipath fading. Therefore, it is necessary to analyze the impact of time-varying multipath fading on synchronization measurements.
In order to achieve robust synchronization phase measurements even when reciprocity is disrupted, a straightforward idea is to estimate the phase of the direct wave path through multipath delay estimation methods. Some potential approaches include the Estimating Signal Parameter via Rotational Invariance Techniques (ESPRIT) method [25] and compressive sensing methods based on the -norm [26] and atomic norm [27]. While there has been extensive research on multipath delay and phase estimation methods, closely spaced multipath components still pose a significant challenge [28]. Moreover, multipath fading further degrades the SNR, imposing stricter requirements on the accuracy of super-resolution methods. Another approach is to bypass the direct wave delay estimation in multipath environments. By using the first-peak estimation method [29], we can estimate the phase of the matched first peaks in the dual one-way links. This can avoid spikes that cause phase unwrapping failure. However, for fast-varying multipath fading caused by rotors, setting appropriate thresholds for first-peak detection remains challenging. To address these issues, this paper proposes a compensation method based on the principle of error propagation, which can effectively mitigate the impact of multipath fading.
Our contributions in this work are as follows:
- To the best of our knowledge, this is the first time that the reciprocity of the synchronization link being broken by multipath fading has been observed in a distributed TomoSAR experiment. We have provided an in-depth analysis of this phenomenon in this paper.
- We have proposed a robust method for phase synchronization in multipath fading environments. This method is based on the principle of error propagation and has been validated through the experiment.
The structure of this article is as follows. Section 2 introduces the timing scheme of multi-node synchronization and the multipath fading model. Section 3 presents the phase synchronization method based on error propagation under multipath fading and the corresponding processing procedures. Section 4 demonstrates the multipath fading observed in flight tests and the effectiveness of the proposed method. Finally, Section 5 concludes the article.
2. System Models
2.1. Multi-Node Synchronization Scheme
For multi-node networks, a time-division multiple access (TDMA) scheme [10] is employed, where each node repeatedly broadcasts a pulsed chirp signal, and the other nodes receive the signal in sequence. We took four UAVs as an example, as shown in Figure 1. Based on GPS timing technology [30], we first achieved coarse time synchronization at the nanosecond level. At time t, UAV 1 transmitted a signal of duration Tp, which was received by UAVs 2, 3, and 4. After a delay , UAV 2 transmitted the signal, which was received by UAVs 1, 3, and 4. Then, after , UAV 3 transmitted the signal, which was received by UAVs 1, 2, and 4. Finally, after another , UAV 4 transmitted the signal, which was received by UAV 1, 2, and 3. During the distributed SAR data acquisition time, these UAVs take turns broadcasting the synchronization signal repeatedly at the synchronization rate fsyn.
Figure 1.
The TDMA synchronization scheme applied for the distributed SAR imaging.
2.2. Synchronization Phase Measurement Principle
The principle of the dual one-way link for measuring synchronization phase was as follows. To simplify, we ignored the instrument time delay and phase shift. In the TDMA timing scheme, each UAV operated on its local time derived from its local oscillator. As a result, the phase measured in one-way transmission included not only the phase shift introduced by propagation but also the synchronization errors from different oscillators. After UAV i received the synchronization signal from UAV j, we could estimate the one-way phase shift based on peak detection methods [31]. The phase should be
where and are the synchronization phase and the measurement error between UAVs i and j, respectively. is the instantaneous frequency of UAV i at time instant . is the transmission delay from UAV j to UAV i. To simplify, we denote Similarly, the phase is
We assumed that the interval was sufficiently small, so the difference between the dual one-way link measurements could be ignored. This means
In other words, the reciprocity of the dual one-way synchronization link is quite good. For more detailed information, please refer to the references [32,33,34]. Then, the synchronization error to be compensated is
where and represent the synchronization phase and measurement error of the dual two-way link between UAVs i and j, respectively. The condition for this approximation is to maintain coarse frequency synchronization.
In reality, due to imperfections of the frequency source, the frequency is not constant [35]. For , we attributed the inaccuracies to the inherent instability of the frequency source and measurement errors. The former is a non-stationary process, whereas the latter is Gaussian white noise, as shown in Figure 2b. This implies that the variance of the measurements does not converge [36]. To evaluate the performance of synchronization error estimation, we needed to first determine the appropriate time scale. Only by conducting statistical analysis at a scale where the change in the non-stationarity values is insignificant could we accurately measure the differences in estimation performance. We used Modified Allan variance (MVAR) [36] to analyze the dominant error source at a certain time scale, as shown in Figure 2a. We chose the time scale , dominated by white phase modulation (WPM) noise. According to the definition of Allan variance (AVAR) [35,36], the AVAR of is
where is the nominal carrier frequency, is the index, and . is the sample period. When , the change in the non-stationarity values is insignificant, and we assumed that the expectations . The AVAR is
where and are the variances of the synchronization phase and the measurement error between UAVs i and j, respectively. is the total variance of the WPM noise in the synchronization phase.
Figure 2.
The general shape of the Allan variance. (a) The Modified Allan variance () of an oscillator. (b) The Allan variance () of the synchronization phase, which includes the inherent instability of the oscillator and the measurement error.
In this way, each node acquired synchronization error information relative to all the other nodes in the network. We represent the aforementioned variables in vector form. These pieces of information can be organized into a matrix, which we refer to as the synchronization phase matrix
where the index n denotes the sequence number of the phase synchronization acquisition.
2.3. Multipath Fading Effects
As shown in Figure 3, when UAV i emits a synchronization signal from its synchronization antenna, the signal takes several paths to reach the synchronization antenna of UAV j. One path is the line of sight (LOS), while another path involves scattering off UAV k before reaching UAV j. Additionally, the signal may scatter off structures like rotors before reaching UAV j, causing a fast-varying multipath channel.
Figure 3.
Illustration of multipath in multi-node synchronization links.
We modeled multipath using the ray tracing method [37]. Let be the baseband chirp signal and be the signal received by UAV i from UAV j, and vice versa. Without considering the LOS being blocked, when multipath is introduced by bistatic scattering, the expressions for the synchronization signals in the dual one-way link are as follows:
and
where is the number of paths, and are the complex amplitude and delay introduced by the k-th path in the one-way link from UAV j to UAV i, is the Doppler frequency introduced by the k-th path, and is the receiver noise at UAV i. The variables of the one-way link from UAV i to UAV j are analogous.
After matched filtering, the phase of the one-way link was obtained through peak detection methods [31] and then substituted into Equation (4) to solve for the synchronization phase [32]. Multipath distorts the pulse compression waveform from the standard sinc function, introducing measurement errors when using traditional peak estimation methods. Ultimately, we were interested in the synchronization errors between two nodes. Although the waveform distortion in a one-way link can cause measurement errors, these errors can be canceled out in a dual one-way link if the distortions are consistent. According to the reciprocal theorem of scattering [38], , and the multipath effect is canceled out.
However, if the reciprocity of the two-way link is compromised, inconsistent waveform shapes introduce uncorrelated measurement errors, leading to biased synchronization errors. Uncorrelated noise poses a significant risk, especially under moderate SNR conditions. The LOS signal and the multipath signal may destructively interfere at the receiver antenna, causing severe multipath fading [37]. This can degrade the SNR and even result in detecting the wrong peak in the pulse compression waveform under moderate SNR conditions.
We conducted a simulation using MATLAB R2021b to illustrate the situation, and the parameters are shown in Table 1. Figure 4a shows the pulse compression waveform. It is evident that the pulse amplitude was reduced by 6 dB due to multipath fading compared to the LOS-only case. Additionally, the pulse was clearly split into two pulses of similar amplitude. We used the peak detection method to estimate synchronization errors under a post-pulse compression SNR of 30 dB. As shown in Figure 4b, there were significant wrong spikes in both the time and phase estimations. A Monte Carlo simulation was also conducted for different SNR levels, and the result is shown in Figure 5. The Cramer–Rao lower bound (CRLB) formulation is provided in the Appendix A (see Equation (A6)). When the SNR was below 37 dB, large deviations were caused by the wrong spikes. Once the SNR exceeded 38 dB, the wrong spike no longer occurred, but due to the degradation of the SNR by multipath fading, the accuracy remained worse than in the LOS-only case.
Table 1.
Parameters of simulation.
Figure 4.
The multipath fading effect after pulse compression. (a) The LOS pulse compression waveform compared with the multipath fading waveform; (b) the residual time and phase errors.
Figure 5.
The Monte Carlo simulation for the different SNRs after pulse compression.
3. Synchronization Link Non-Reciprocal Suppression Method
In this section, we use the principle of error propagation to calculate synchronization errors through reciprocal links, avoiding the impact of non-reciprocity on synchronization error measurements.
In a fully connected network, the synchronization matrix contains redundant information. Inspired by error-correcting codes in communications, if we know an element in the synchronization error matrix is incorrect, we can recover its correct value using other elements. The first step was to detect these erroneous elements. During SAR imaging, we assumed that the frequency did not change abruptly. If the measurement fluctuates significantly, it indicates the presence of time-varying multipath disturbances, reducing measurement accuracy. A large sudden change in the first-order difference (FOD) of measurements suggests a significant deterioration in the reciprocity of the synchronization link, making the synchronization results unreliable. We uses the Hampel filter [39], a robust outlier detection algorithm that uses the median absolute deviation (MAD) as a threshold. We set the length of the sliding window to l, and calculates the median of at index n,
The MAD is defined as
where = 1.4826. If a measurement exceeded the upper or lower boundary, it was considered an outlier. We define the adjacency matrix as follows:
where . If , it indicated that there was no direct link from UAVs i to j. Then, we used the matrix to assess the connectivity of error propagation between nodes. We defined as the set of all non-repeating paths from UAV i to UAV j. We proceeded as follows:
where represent different UAVs. If , it meant all links from UAV i to UAV j are faulty, and error propagation could not be used to calculate errors. Otherwise, there was at least one valid transmission link, and the appropriate link was selected. Additionally, we assessed delay jitter by taking the FOD of the delay measurements of locally transmitted one-way signals to evaluate measurement performance. If the link 1 path is valid, then the synchronization phase is
As mentioned in Section 2.2, we were interested in the WPM noise. We defined the variance of WPM noise of as , and is given by
For generality, take as example. Each link from different transmitting and receiving channels results in uncorrelated measurement errors. Assume the synchronization phases , , and obtained from error propagation are unbiased, with variances , , and , respectively. The fused result is as follows:
To obtain a minimum variance estimate, we calculated the best linear unbiased estimator (BLUE) [40], and the results are
The variance of the fused result is
The main steps can be summarized as follows.
Step 1: Compute the FOD of synchronization time and detect spikes using the Hampel filter using Equation (11).
Step 2: Calculate the adjacency matrix and the number of effective links , using Equations (12) and (13).
Step 3: Calculate the MVAR [36] for each link and identify the intervals where the WPM noise is dominant.
Step 4: Calculate the variance of the WPM noise for each effective link using Equation (15).
Step 5: Update the BLUE estimation according to Equation (16).
4. Experiment
In Section 2.3, we discussed how multipath fading degrades the SNR leading to deviations in the synchronization error estimation. In this section, we present non-reciprocal phenomena observed in the flight test under the multipath fading conditions, and verify the effectiveness of the proposed method.
4.1. System
Four radar systems were mounted on four UAVs. The parameters of the radars and UAVs are shown in Table 2. Each UAV was equipped with a GPS-disciplined clock for coarse time and frequency synchronization. The flight formation is shown in Figure 6, with each UAV approximately 6 m apart from its neighbors, flying at an altitude of 300 m. To avoid blocking the LOS, the positions of the UAVs were deliberately offset from a straight line. Generally, during formation flight, the UAVs maintained relative stillness and did not have significant relative velocities. So, the direct wave path could be considered consistent. During flight, the rotation speed of the rotors ranged from 4100 to 4300 revolutions per minute (RPM), which induced a Doppler frequency shift that is negligible.
Table 2.
Parameters of experiment systems.
Figure 6.
(a) Optical image; (b) configuration of distributed TomoSAR with 4 UAV SARs.
4.2. Non-Reciprocal Synchronization Link
During the flight, the synchronization signal received by each UAV after match filtering is shown in Figure 7. There are 12 links for all. The multipath wireless channel is time-varying, with the degree of pulse distortion changing rapidly over time, especially in Figure 7i,j. The rotation of the rotors may have caused rapid time-varying multipath. Additionally, slow amplitude changes over time were observed. We used a peak detection-based method to estimate the synchronization errors. Figure 8 shows the results of the phase synchronization estimation. To highlight the impact of time-varying multipath interference, we also present the FOD of the phase synchronization. It can be clearly seen that only Link BD exhibits densely distributed spikes. For the sake of discussion, we will not address Link BD for now and will discuss it in the next paragraph. We calculated the standard deviation (STD) of the FOD of the phase synchronization for each link, as shown in Table 3. Additionally, we performed an MVAR analysis on the synchronization phase, as shown in Figure 9a. For , there were differences in the MVAR among different links. Comparing them, we found that Links AD and AB had lower values, while Links AC, BC, and CD had slightly higher values. Combining this with the time-domain plots, it could be concluded that the observations related to UAV C all exhibited periodic frequency adjustments, as shown in Figure 8b,d,f. This indicates that during flight, the disciplined oscillator of UAV C did not enter a good lock state and periodically adjusted its frequency with a relatively large amplitude. This led to a worse average frequency stability on the time scale of . However, for τ < 0.01 s, the MVARs of the different links were basically the same.
Figure 7.
Matched filter outputs of sync signals of different UAVs during flight.

Figure 8.
Unprocessed synchronization phase and first-order difference in all links. (a) Link AB; (b) Link AC; (c) Link AD; (d) Link BC; (e) Link BD; (f) Link CD.
Table 3.
The statistical metrics of the synchronization phases from different links.
Figure 9.
The Modified Allan variances (MVARs) of the synchronization phase for the different links. (a) The MVAR for all the 6 direct links; (b) the MVAR for Link BD from five different paths.
We now discuss Link BD. Using Equation (14), we could calculate the synchronization phase through five different paths, and the MVARs of those are shown in Figure 9b. Link BD exhibited significant anomalies. According to the discussion of error sources in Section 2.2, the Allan variance of the synchronization phase in the links is the sum of the instability of the oscillators and the measurement errors. Since the experimental system used the same batch of disciplined oscillators, we can reasonably believe that the short-term stability of the oscillators on each UAV is comparable. Thus, the anomalies in Link BD are likely due to errors introduced in the measurement.
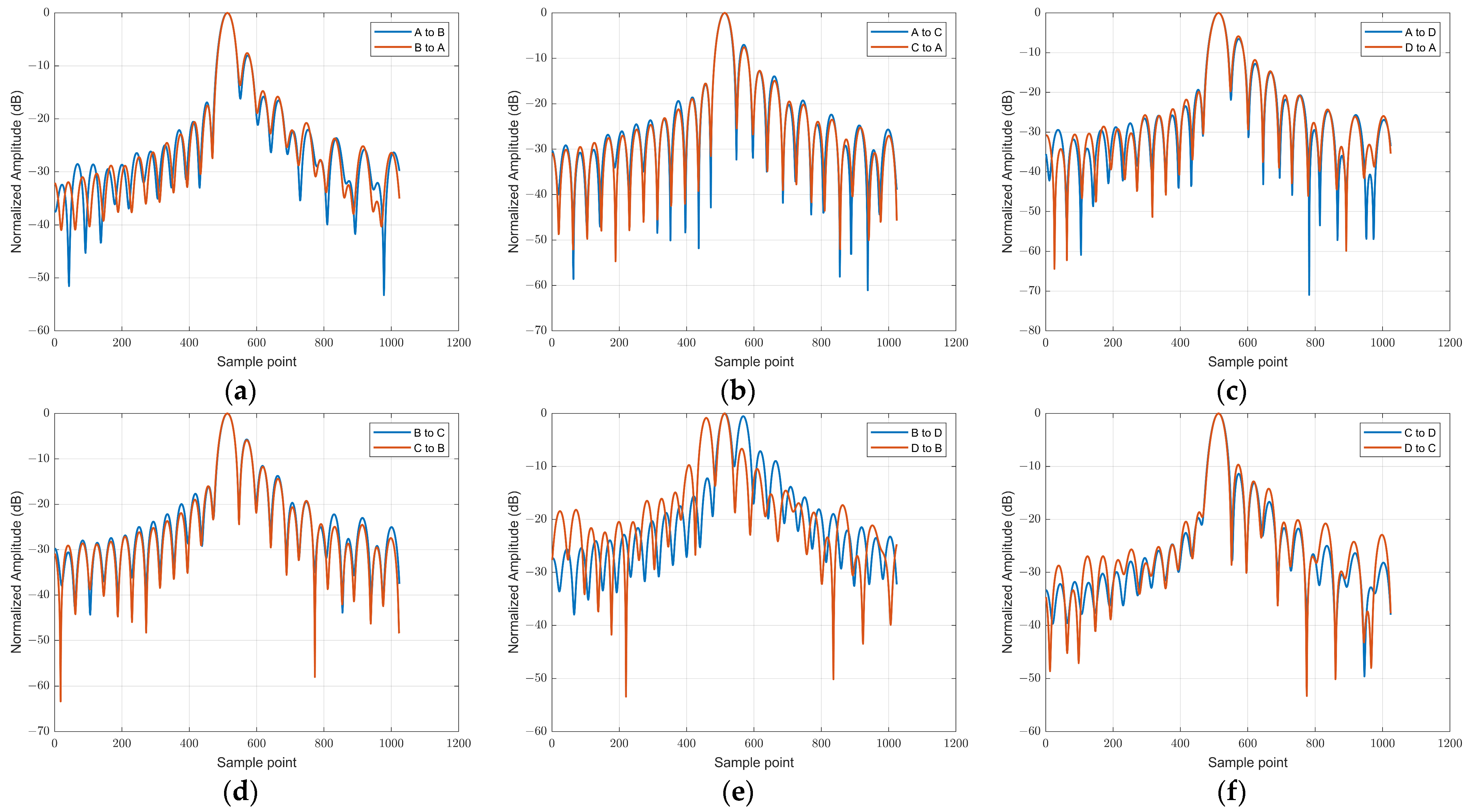
As shown in Figure 10, to visually demonstrate the reciprocity of the sync link, we up-sampled the matched filter outputs of the two-way link by a factor of 32, normalized each by its maximum amplitude, and plotted slices centered on the maximum. If the reciprocity is good, the waveforms from the dual one-way link will overlap. Namely, all the peaks should be aligned. In Figure 10a–d,f, the pulse signals basically coincide with each other and the reciprocity remains quite good. In Figure 10e, the maximum peaks are misaligned. The maximum value is at the first peak in the link from B to D (the blue line), while the maximum value is at the second peak in the link from D to B (the red line). The reciprocity is disrupted, and this leads to spikes in the synchronization phase.
Figure 10.
The 32-times-interpolated pulse compression signal slices from the synchronization links, normalized by each maximum value and centered on the maximum: (a) the link between UAVs A and B; (b) the link between UAVs A and C; (c) the link between UAVs A and D; (d) the link between UAVs B and C; (e) the link between UAVs B and D, where the maximum peaks are misaligned; (f) the link between UAVs C and D.
4.3. Results
For Link BD, before Hampel filtering, the STD of FOD of the synchronization time was 0.28 ns. After Hampel filtering, the positions of the abnormal spikes were successfully detected in Figure 11a, and the STD of the FOD of the processed synchronization time was 0.09 ns. As illustrated in Figure 11b, we calculated the number of effective links using Equation (13), and . Although some minor jitters are also identified as anomalies after Hampel filtering, Link BD always maintains effective links, ensuring the calculation of the synchronization phase.
Figure 11.
The spike detection results. (a) The Hampel filter output of the link BD; (b) the number of effective links, , calculated by Equation (13).
The final synchronization error estimation results are shown in Figure 12a. We compared our method with the maximum-peak detection estimation [31] (hereafter referred to as max-peak detection), ESPRIT method [25], and the first-peak detection method [29,41]. To visually check the spike removal and error suppression, we also compared the FODs of the synchronization phases. Both the max-peak detection and the first-peak detection methods do not effectively remove the spikes. The first-peak detection threshold was set to 0.5 dB. We analyzed the statistical distribution histograms, as shown in Figure 12b. Although the histogram does not follow a Gaussian white noise distribution, it still illustrates the improvement in measurement errors achieved by the proposed method. We calculate the STD of the FOD of the phase as shown in Table 4. Our method effectively handled spikes in synchronization error estimation, significantly reducing the STD of the FODs and enhancing measurement accuracy.
Figure 12.
The performance of synchronization phase estimations. (a) The synchronization phase estimations and first-order differences (FODs). (b) A statistical histogram of the FODs of the synchronization phase using the max-peak position method and the proposed method.
Table 4.
The statistical metrics of the different methods.
Next, we compared the MVAR of different methods for Link BD, as shown in Figure 13. After processing with the proposed method, the MVAR matches other links when τ < 0.1 s. This indicates that the short-term stability of the four disciplined oscillators is similar. Since the experimental system used the same batch of disciplined oscillators, the analysis is consistent with the system design expectations. In contrast, other methods show significant degradation in the minimum MVAR and corresponding τ values, as shown in Table 4. This degradation is due to errors introduced by the measurements. The phase jitter is distributed between −90° and 90°. Large phase jitter can cause phase unwrapping failure, while smaller phase jitter, although it does not cause incorrect unwrapping, can still increase the measurement STD and raise the MVAR. To comprehensively evaluate the overall improvement of these errors, we used the STD of the WPM noise in the synchronization measurements. The WPM type is proportional to in the MVAR measurements [36]. We note that for τ < 0.01 s, the MVAR of our method follows the trend. Therefore, we chose τ = 0.01 s and calculated the STD using Equation (6).
Figure 13.
The Modified Allan variances of the synchronization phases.
We also compared Link BD using the proposed method with Link AB. We noticed that the standard deviations of the WPM were close, indicating that the performance of the proposed method is comparable to other links after processing. The minimum MVAR values for both are of the same order of magnitude, but the corresponding τ for Link BD is advanced. This is related to the measurement and control of the disciplined oscillator and is not due to the short-term stability of the oscillator. Considering both aspects, the relative changes in the oscillator in Link AB are more stable, which can also be seen from the STD of the FOD.
After compensation, we compared the bistatic SAR images before and after compensation. In Figure 14a, the upper half of the image is severely defocused, while the lower half is well-focused. This indicates that the multipath fading effects are not significant in the lower half of the image. Such defocused images can reduce the accuracy of image registration, which ultimately affects the precision of three-dimensional reconstruction. Our method successfully focused the entire SAR image, as shown in Figure 14b. We selected corner reflector A and scatter B for analysis to compare the improved performance of the proposed method. The corner reflector A and scatter B are indicated in Figure 14. Figure 15 shows the magnified SAR image containing a corner reflector (16× up-sampling) to better illustrate the details of the reflectors. The evaluation metrics of the corner reflectors are shown in Table 5. After processing, the impulse response width (IRW) of A and B are improved and the integral sidelobe ratio (ISLR) is reduced. The peak sidelobe ratio (PSLR) of A increases due to the focus of the corner reflector A.
Figure 14.
Imaging results of BiSAR echo from UAVs B and D, with labels “A” and “B” indicating corner reflectors A and scatter B, respectively. (a) SAR image compensated with unprocessed synchronization phase; (b) SAR image compensated with processed synchronization phase.
Figure 15.
Magnified SAR image containing A and B (16× up-sampling): (a) corner reflector A compensated with unprocessed synchronization phase; (b) corner reflector A compensated with processed synchronization phase; (c) scatter B compensated with unprocessed synchronization phase; (d) scatter B compensated with processed synchronization phase.
Table 5.
Evaluation metrics of corner reflector A and scatter B.
5. Conclusions
In distributed SAR, multipath fading caused by multiple nodes can lead to errors in synchronization phase estimation, which in turn degrades bistatic SAR imaging quality and finally impacts the tomography. This paper introduces the multipath phenomena observed in a four-UAV distributed TomoSAR system and provides an in-depth discussion. We propose a robust synchronization phase estimation method based on error propagation. The proposed method has been verified through the experiments, demonstrating its effectiveness in improving synchronization accuracy and SAR imaging quality. Compared to the maximum-peak detection method, the phase accuracy is improved from 12.84 deg to 0.61 deg.
Our method is simple but effective, and it not only achieves phase synchronization for distributed TomoSAR but also provides support for other multi-node coherent radar systems. However, if no valid link is detected in the directed graph between two nodes, our method cannot be applied. Although this situation was not observed in the current experiments, we plan to investigate delay and phase estimation directly through multipath fading channels in future work. This will complement and enhance the robustness of the method proposed in this paper.
Author Contributions
Conceptualization, J.X. and X.L.; methodology, J.X.; software, H.L.; validation, J.X., X.B. and Z.J.; formal analysis, J.X.; investigation, J.X.; resources, X.B.; data curation, X.B., Z.J., H.L., Y.D. and Y.Z.; writing—original draft preparation, J.X.; writing—review and editing, J.X. and H.W.; visualization, J.X.; supervision, X.L.; project administration, X.B.; funding acquisition, X.B. All authors have read and agreed to the published version of the manuscript.
Funding
This research received no external funding.
Data Availability Statement
All data are contained within the article.
Conflicts of Interest
The authors declare no conflicts of interest.
Appendix A
This section shows the derivation of the Cramer–Rao lower bound (CRLB) about phase estimation from a chirp signal after pulse compression. The pulse in discrete form can be simplified as
where is the angle and is the Gaussian white noise with a variance of . N is the sample number. The CRLB of the one-way phase estimation [40] is
Assuming that the sampling interval is sufficiently small, Equation (A2) is approximated as
Denoting as the average power of and as the pulse duration of , we have
Finally, the CRLB of the one-way phase measurement is
where and is the sample rate. According to Equation (4), the CRLB of the dual one-way phase estimation is
References
- Nanzer, J.A.; Mghabghab, S.R.; Ellison, S.M.; Schlegel, A. Distributed Phased Arrays: Challenges and Recent Advances. IEEE Trans. Microw. Theory Tech. 2021, 69, 4893–4907. [Google Scholar] [CrossRef]
- Grathwohl, A.; Stelzig, M.; Kanz, J.; Fenske, P.; Benedikter, A.; Knill, C.; Ullmann, I.; Hajnsek, I.; Moreira, A.; Krieger, G.; et al. Taking a Look Beneath the Surface: Multicopter UAV-Based Ground-Penetrating Imaging Radars. IEEE Microw. Mag. 2022, 23, 32–46. [Google Scholar] [CrossRef]
- Fei, Z.; Wang, X.; Wu, N.; Huang, J.; Zhang, J.A. Air-Ground Integrated Sensing and Communications: Opportunities and Challenges. IEEE Commun. Mag. 2023, 61, 55–61. [Google Scholar] [CrossRef]
- Qian, J.; Wang, J.; Jin, S. Configurable virtual MIMO via UAV swarm: Channel modeling and spatial correlation analysis. China Commun. 2022, 19, 133–145. [Google Scholar] [CrossRef]
- Lin, Q.; Li, S.; Yu, W. Review on Phase Synchronization Methods for Spaceborne Multistatic Synthetic Aperture Radar. Sensors 2024, 24, 3122. [Google Scholar] [CrossRef] [PubMed]
- Wang, Y.; Ding, Z.; Li, L.; Liu, M.; Ma, X.; Sun, Y.; Zeng, T.; Long, T. First Demonstration of Single-Pass Distributed SAR Tomographic Imaging With a P-Band UAV SAR Prototype. IEEE Trans. Geosci. Remote Sens. 2022, 60, 5238618. [Google Scholar] [CrossRef]
- Hawkins, B.; Anderson, M.; Prager, S.; Chung, S.-I.; Lavalle, M. Experiments with Small UAS to Support SAR Tomographic Mission Formulation. In Proceedings of the 2021 IEEE International Geoscience and Remote Sensing Symposium IGARSS, Brussels, Belgium, 11–16 July 2021; pp. 643–646. [Google Scholar]
- Zhang, F.; Liang, X.; Wu, Y.; Lv, X. 3D surface reconstruction of layover areas in continuous terrain for multi-baseline SAR interferometry using a curve model. Int. J. Remote Sens. 2015, 36, 2093–2112. [Google Scholar] [CrossRef]
- Nanzer, J.A.; Schmid, R.L.; Comberiate, T.M.; Hodkin, J.E. Open-Loop Coherent Distributed Arrays. IEEE Trans. Microw. Theory Tech. 2017, 65, 1662–1672. [Google Scholar] [CrossRef]
- Prager, S.; Haynes, M.S.; Moghaddam, M. Wireless Subnanosecond RF Synchronization for Distributed Ultrawideband Software-Defined Radar Networks. IEEE Trans. Microw. Theory Tech. 2020, 68, 4787–4804. [Google Scholar] [CrossRef]
- Mghabghab, S.; Ouassal, H.; Nanzer, J. Wireless Frequency Synchronization for Coherent Distributed Antenna Arrays. In Proceedings of the 2019 IEEE International Symposium on Antennas and Propagation and USNC-URSI Radio Science Meeting, Atlanta, GA, USA, 7–12 July 2019; pp. 1575–1576. [Google Scholar]
- Mghabghab, S.R.; Ellison, S.M.; Nanzer, J.A. Open-Loop Distributed Beamforming Using Wireless Phase and Frequency Synchronization. IEEE Microw. Wirel. Compon. Lett. 2022, 32, 234–237. [Google Scholar] [CrossRef]
- Ouassal, H.; Rocco, T.; Yan, M.; Nanzer, J.A. Decentralized Frequency Synchronization in Distributed Antenna Arrays With Quantized Frequency States and Directed Communications. IEEE Trans. Antennas Propag. 2020, 68, 5280–5288. [Google Scholar] [CrossRef]
- Gross, J.N.; Gu, Y.; Rhudy, M.B. Robust UAV Relative Navigation With DGPS, INS, and Peer-to-Peer Radio Ranging. IEEE Trans. Autom. Sci. Eng. 2015, 12, 935–944. [Google Scholar] [CrossRef]
- Xiong, J.; Cheong, J.W.; Xiong, Z.; Dempster, A.G.; List, M.; Wöske, F.; Rievers, B. Carrier-Phase-Based Multi-Vehicle Cooperative Positioning Using V2V Sensors. IEEE Trans. Veh. Technol. 2020, 69, 9528–9541. [Google Scholar] [CrossRef]
- Xu, H.; Zhang, J.; Tang, P.; Tian, L.; Wang, Q.; Liu, G. An Empirical Study on Channel Reciprocity in TDD and FDD Systems. IEEE Open J. Veh. Technol. 2024, 5, 108–124. [Google Scholar] [CrossRef]
- Zhang, Z.; Zhang, Y.; Zhang, J.; Gao, F. Adversarial training-aided time-varying channel prediction for TDD/FDD systems. China Commun. 2023, 20, 100–115. [Google Scholar] [CrossRef]
- Bigler, L.; Lin, H.P.; Jeng, S.S.; Xu, G. Experimental direction of arrival and spatial signature measurements at 900 MHz for smart antenna systems. In Proceedings of the 1995 IEEE 45th Vehicular Technology Conference. Countdown to the Wireless Twenty-First Century, Chicago, IL, USA, 25–28 July 1995; Volume 51, pp. 55–58. [Google Scholar]
- Gonzalez, J.H.; Bachmann, M.; Krieger, G.; Fiedler, H. Development of the TanDEM-X Calibration Concept: Analysis of Systematic Errors. IEEE Trans. Geosci. Remote Sens. 2010, 48, 716–726. [Google Scholar] [CrossRef]
- Liang, D.; Zhang, H.; Liu, K.; Liu, D.; Wang, R. Phase Synchronization Techniques for Bistatic and Multistatic Synthetic Aperture Radar: Accounting for frequency offset. IEEE Geosci. Remote Sens. Mag. 2022, 10, 153–167. [Google Scholar] [CrossRef]
- Breit, H.; Younis, M.; Niedermeier, A.; Grigorov, C.; Fritz, T. Bistatic Synchronization and Processing of TanDEM-X Data. In Proceedings of the IEEE International Geoscience & Remote Sensing Symposium, Vancouver, BC, Canada, 24–29 July 2011. [Google Scholar]
- Zhu, J.; Pan, J.; Qiu, X. Analysis and experimental validation of key technologies for unmanned aerial vehicle-borne bistatic interferometric synthetic aperture radar. J. Radars 2023, 12, 832–848. [Google Scholar] [CrossRef]
- Cai, Y.; Li, J.; Yang, Q.; Liang, D.; Liu, K.; Zhang, H.; Lu, P.; Wang, R. First Demonstration of RFI Mitigation in the Phase Synchronization of LT-1 Bistatic SAR. IEEE Trans. Geosci. Remote Sens. 2023, 61, 5217319. [Google Scholar] [CrossRef]
- Li, X.; Zhang, F.; Li, Y.; Guo, Q.; Wan, Y.; Bu, X.; Liu, Y.; Liang, X. An Elevation Ambiguity Resolution Method Based on Segmentation and Reorganization of TomoSAR Point Cloud in 3D Mountain Reconstruction. Remote Sens. 2021, 13, 5118. [Google Scholar] [CrossRef]
- Saarnisaari, H. TLS-ESPRIT in a time delay estimation. In Proceedings of the 1997 IEEE 47th Vehicular Technology Conference. Technology in Motion, Phoenix, AZ, USA, 4–7 May 1997; pp. 1619–1623. [Google Scholar]
- Fuchs, J.J. Multipath time-delay detection and estimation. IEEE Trans. Signal Process. 1999, 47, 237–243. [Google Scholar] [CrossRef]
- Bhaskar, B.N.; Tang, G.; Recht, B. Atomic Norm Denoising With Applications to Line Spectral Estimation. IEEE Trans. Signal Process. 2013, 61, 5987–5999. [Google Scholar] [CrossRef]
- Chi, Y.; Ferreira Da Costa, M. Harnessing Sparsity Over the Continuum: Atomic norm minimization for superresolution. IEEE Signal Process. Mag. 2020, 37, 39–57. [Google Scholar] [CrossRef]
- Low, Z.N.; Cheong, J.H.; Law, C.L.; Ng, W.T.; Lee, Y.J. Pulse detection algorithm for line-of-sight (LOS) UWB ranging applications. IEEE Antennas Wirel. Propag. Lett. 2005, 4, 63–67. [Google Scholar] [CrossRef]
- Kaplan, E.D.; Hegarty, C. Understanding GPS/GNSS: Principles and Applications; Artech: Morristown, NJ, USA, 2017. [Google Scholar]
- Jameson, I. Time Delay Estimation; Defence Science and Technology Organisation: Canberra, Australia, 2006.
- Younis, M.; Metzig, R.; Krieger, G. Performance Prediction of a Phase Synchronization Link for Bistatic SAR. IEEE Geosci. Remote Sens. Lett. 2006, 3, 429–433. [Google Scholar] [CrossRef]
- Krieger, G.; Younis, M. Impact of oscillator noise in bistatic and multistatic SAR. IEEE Geosci. Remote Sens. Lett. 2006, 3, 424–428. [Google Scholar] [CrossRef]
- Younis, M.; Metzig, R.; Krieger, G.; Bachmann, M.; Klein, R. Performance Prediction and Verification for the Synchronization Link of TanDEM-X. In Proceedings of the 2007 IEEE International Geoscience and Remote Sensing Symposium, Barcelona, Spain, 23–28 July 2007; pp. 5206–5209. [Google Scholar]
- Riley, W.J. Handbook of Frequency Stability Analysis; National Institute of Standards and Technology: Gaithersburg, MD, USA, 2008.
- Rubiola, E.; Vernotte, F. The Companion of Enrico’s Chart for Phase Noise and Two-Sample Variances. IEEE Trans. Microw. Theory Tech. 2023, 71, 2996–3025. [Google Scholar] [CrossRef]
- Tse, D.; Viswanath, P. Fundamentals of Wireless Communication; Cambridge University Press: Cambridge, UK, 2005. [Google Scholar]
- Deák, L.; Fülöp, T. Reciprocity in quantum, electromagnetic and other wave scattering. Ann. Phys. 2012, 327, 1050–1077. [Google Scholar] [CrossRef]
- Astola, J.; Kuosmanen, P. Fundamentals of Nonlinear Digital Filtering, 1st ed.; CRC Press: Boca Raton, FL, USA, 1997. [Google Scholar]
- Kay, S.M. Fundamentals of Statistical Signal Processing: Estimation Theory; Prentice-Hall, Inc.: Saddle River, NJ, USA, 1993. [Google Scholar]
- Merkl, B. The Future of the Operating Room: Surgical Preplanning and Navigation Using High Accuracy Ultra-Wideband Positioning and Advanced Bone Measurement. Ph.D. Thesis, University of Tennessee, Knoxville, TN, USA, 2008. [Google Scholar]
Disclaimer/Publisher’s Note: The statements, opinions and data contained in all publications are solely those of the individual author(s) and contributor(s) and not of MDPI and/or the editor(s). MDPI and/or the editor(s) disclaim responsibility for any injury to people or property resulting from any ideas, methods, instructions or products referred to in the content. |
© 2025 by the authors. Licensee MDPI, Basel, Switzerland. This article is an open access article distributed under the terms and conditions of the Creative Commons Attribution (CC BY) license (https://creativecommons.org/licenses/by/4.0/).