A Comprehensive Analysis of Energy Consumption in Battery-Electric Buses Using Experimental Data: Impact of Driver Behavior, Route Characteristics, and Environmental Conditions
Abstract
1. Introduction
2. Materials and Methods
- “Traction motor”: This includes the energy consumption of the AC traction motor and the inverter. The available data include the voltage and current on the DC side of the inverter.
- “mcp”: This refers to the motor cooling pump. The available data pertain to the voltage and the current absorbed. Although it is part of the 24 V circuit, it is essential for vehicle movement.
- “eam”: This is the electric power steering.
- “LVAC”: This is the air-conditioning system powered by the low-voltage circuit, including the ventilation fans and the driver’s cabin air-conditioning.
- “Services”: This refers to the power consumed by the 24 V circuit, excluding “MCP” and “LVAC”. This includes the power used by vehicle lights, door-opening mechanisms, and similar services.
- “Compressor”: This refers to the power consumed by the compressor in the suspension system.
- “Heater”: This is used to heat the vehicle cabin during winter but was not considered in this study due to summer measurements.
- “Chiller”: This is the battery pack chiller.
- “HVAC”: The high-voltage air-conditioning system cools the bus cabin. Like the battery chiller, this utility draws power directly from the battery pack.
- “Battery”: The current and voltage at the battery pack terminal were monitored to ensure the sum of energy consumed by all peripherals matched the power output from the battery pack.
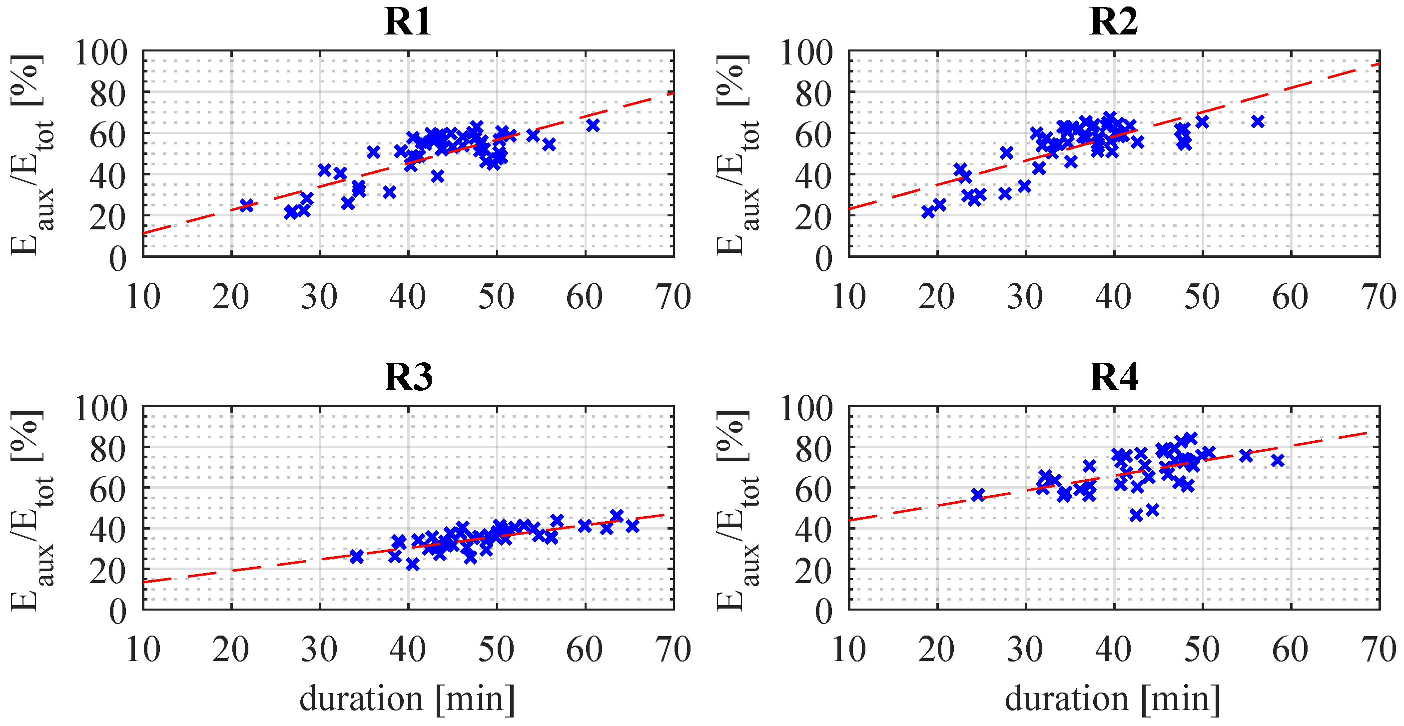
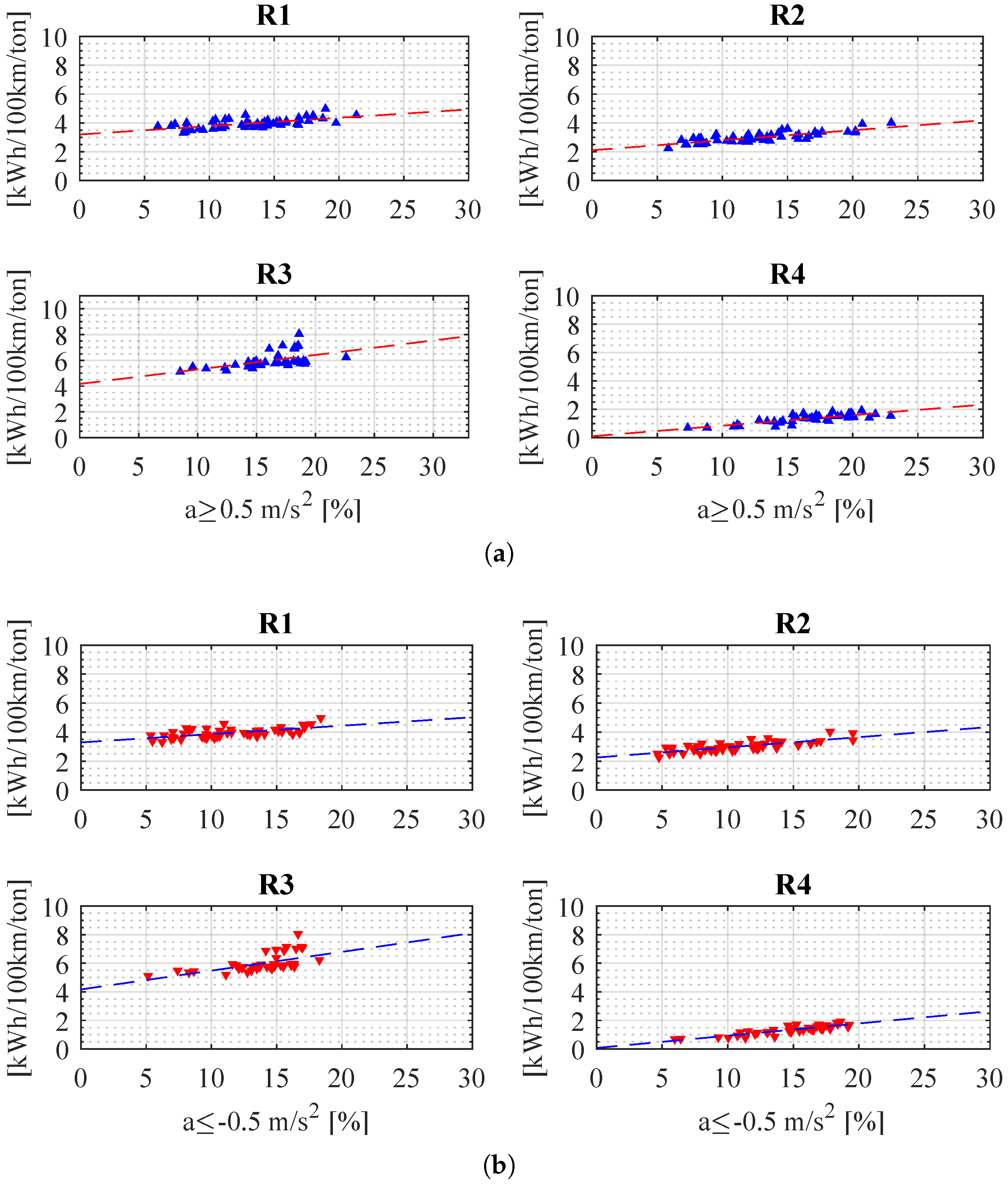
3. Results
- Vehicle mass;
- Route characteristics (particularly elevation changes);
- Traffic;
- Average vehicle speed;
- Vehicle acceleration;
- Driver;
- Driving style;
- Temperature.
4. Discussion
5. Conclusions and Future Developments
Author Contributions
Funding
Data Availability Statement
Conflicts of Interest
References
- Holland, S.; Mansur, E.; Muller, N.; Yates, A. The environmental benefits of transportation electrification: Urban buses. Energy Policy 2021, 148, 111921. [Google Scholar] [CrossRef]
- Manzolli, J.; Trovão, J.; Antunes, C. A review of electric bus vehicles research topics—Methods and trends. Renew. Sustain. Energy Rev. 2022, 159, 112211. [Google Scholar] [CrossRef]
- Zhou, B.; Wu, Y.; Zhou, B.; Wang, R.; Ke, W.; Zhang, S.; Hao, J. Real-world performance of battery electric buses and their life-cycle benefits with respect to energy consumption and carbon dioxide emissions. Energy 2016, 96, 603–613. [Google Scholar] [CrossRef]
- Eliyan, A.F.; Haouari, M.; Sleiti, A. Decarbonizing Public Transportation: A Multi-Criteria Comparative Analysis of Battery Electric Buses and Fuel Cell Electric Buses. Sustainability 2024, 16, 9354. [Google Scholar] [CrossRef]
- Li, X.; Wang, T.; Li, J.; Tian, Y.; Tian, J. Energy Consumption Estimation for Electric Buses Based on a Physical and Data-Driven Fusion Model. Energies 2022, 15, 4160. [Google Scholar] [CrossRef]
- Vepsäläinen, J.; Otto, K.; Lajunen, A.; Tammi, K. Computationally efficient model for energy demand prediction of electric city bus in varying operating conditions. Energy 2019, 169, 433–443. [Google Scholar] [CrossRef]
- El-Taweel, N.; Zidan, A.; Farag, H. Novel Electric Bus Energy Consumption Model Based on Probabilistic Synthetic Speed Profile Integrated with HVAC. IEEE Trans. Intell. Transp. Syst. 2021, 22, 1517–1531. [Google Scholar] [CrossRef]
- Pan, Y.; Fang, W.; Ge, Z.; Li, C.; Wang, C.; Guo, B. A hybrid on-line approach for predicting the energy consumption of electric buses based on vehicle dynamics and system identification. Energy 2024, 290, 130205. [Google Scholar] [CrossRef]
- Hjelkrem, O.; Lervåg, K.; Babri, S.; Lu, C.; Södersten, C.J. A battery electric bus energy consumption model for strategic purposes: Validation of a proposed model structure with data from bus fleets in China and Norway. Transp. Res. Part Transp. Environ. 2021, 94, 102804. [Google Scholar] [CrossRef]
- De Cauwer, C.; Van Mierlo, J.; Coosemans, T. Energy consumption prediction for electric vehicles based on real-world data. Energies 2015, 8, 8573–8593. [Google Scholar] [CrossRef]
- De Cauwer, C.; Verbeke, W.; Coosemans, T.; Faid, S.; Van Mierlo, J. A data-driven method for energy consumption prediction and energy-efficient routing of electric vehicles in real-world conditions. Energies 2017, 10, 608. [Google Scholar] [CrossRef]
- Gao, Y.; Guo, S.; Ren, J.; Zhao, Z.; Ehsan, A.; Zheng, Y. An electric bus power consumption model and optimization of charging scheduling concerning multi-external factors. Energies 2018, 11, 2060. [Google Scholar] [CrossRef]
- Lajunen, A. Energy consumption and cost-benefit analysis of hybrid and electric city buses. Transp. Res. Part Emerg. Technol. 2014, 38, 1–15. [Google Scholar] [CrossRef]
- Al-Ogaili, A.; Al-Shetwi, A.; Al-Masri, H.; Babu, T.; Hoon, Y.; Alzaareer, K.; Phanendra Babu, N. Review of the estimation methods of energy consumption for battery electric buses. Energies 2021, 14, 7578. [Google Scholar] [CrossRef]
- Lim, L.; Muis, Z.; Ho, W.; Hashim, H.; Bong, C. Review of the energy forecasting and scheduling model for electric buses. Energy 2023, 263, 125773. [Google Scholar] [CrossRef]
- Corazza, M.; Conti, V.; Genovese, A.; Ortenzi, F.; Valentini, M. A procedure to estimate air conditioning consumption of urban buses related to climate and main operational characteristics. World Electr. Veh. J. 2021, 12, 29. [Google Scholar] [CrossRef]
- Gao, Z.; Lin, Z.; LaClair, T.; Liu, C.; Li, J.M.; Birky, A.; Ward, J. Battery capacity and recharging needs for electric buses in city transit service. Energy 2017, 122, 588–600. [Google Scholar] [CrossRef]
- Yang, X.; Zheng, S.; Shi, T.; Chen, G.; Huang, Y. Research on Influencing Factors of Driving Behavior Energy Consumption Based on Multi-driving Conditions. In Proceedings of the Seventh International Conference on Traffic Engineering and Transportation System (ICTETS 2023), Dalian, China, 22–24 September 2023; Volume 13064. [Google Scholar] [CrossRef]
- Xu, Z.; Wang, J.; Lund, P.; Zhang, Y. Analysis of energy consumption for electric buses based on low-frequency real-world data. Transp. Res. Part D Transp. Environ. 2023, 122, 103857. [Google Scholar] [CrossRef]
- Zhao, W.H.; Yang, K.X.; Li, Y.H.; Wu, C.N. Study on the Impact on Drivers of Performance Difference Between Pure Electric and Conventional Fuel Bus. Lect. Notes Electr. Eng. 2020, 617, 909–924. [Google Scholar] [CrossRef]
- Estrada Poggio, A.; Balest, J.; Zubaryeva, A.; Sparber, W. Monitored data and social perceptions analysis of battery electric and hydrogen fuelled buses in urban and suburban areas. J. Energy Storage 2023, 72, 108411. [Google Scholar] [CrossRef]
- Mišanović, S.M.; Glišović, J.D.; Blagojević, I.A.; Taranović, D.S. Influencing factors on electricity consumption of electric bus in real operating conditions. Therm. Sci. 2023, 27, 767–784. [Google Scholar] [CrossRef]
- Czapla, Z.; Sierpiński, G. Driving and Energy Profiles of Urban Bus Routes Predicted for Operation with Battery Electric Buses. Energies 2023, 16, 5706. [Google Scholar] [CrossRef]
- Islameka, M.; Dhiya, M.A.; Budiman, B.A. Modeling of Power Flow Systems of Medium Electric Bus to Estimate the Energy Consumption. Lect. Notes Civ. Eng. 2025, 556, 163–171. [Google Scholar] [CrossRef]
- Dong, C.; Xiong, Z.; Li, N.; Yu, X.; Liang, M.; Zhang, C.; Li, Y.; Wang, H. A real-time prediction framework for energy consumption of electric buses using integrated Machine learning algorithms. Transp. Res. Part E Logist. Transp. Rev. 2025, 194, 103884. [Google Scholar] [CrossRef]

















| Utility | Voltage | Current | Power |
|---|---|---|---|
| Traction motor | ✓ | ✓ | |
| mcp | ✓ | ✓ | |
| eam | ✓ | ||
| LVAC | ✓ | ✓ | |
| Services | ✓ | ✓ | |
| Compressor | ✓ | ✓ | |
| Heater | ✓ | ||
| Chiller | ✓ | ||
| HVAC | ✓ | ||
| Battery | ✓ | ✓ |
| Route | Length [km] | Elevation Difference [m] | Number of Stops |
|---|---|---|---|
| R1 | 9.9 | 34 | 13 |
| R2 | 8.9 | −34 | 14 |
| R3 | 13.6 | 114 | 17 |
| R4 | 12.8 | −114 | 14 |
| Driver | R1 | R2 | R3 | R4 | Total |
|---|---|---|---|---|---|
| D1 | 6 | 6 | 10 | 11 | 33 |
| D2 | 12 | 12 | 10 | 11 | 45 |
| D3 | 15 | 15 | 5 | 5 | 40 |
| D4 | 6 | 6 | 3 | 2 | 23 |
| D5 | - | - | 5 | 5 | 10 |
| D6 | 9 | 9 | 3 | 2 | 23 |
| D7 | 4 | 4 | 6 | 5 | 19 |
| Total | 52 | 52 | 42 | 41 | 187 |
Disclaimer/Publisher’s Note: The statements, opinions and data contained in all publications are solely those of the individual author(s) and contributor(s) and not of MDPI and/or the editor(s). MDPI and/or the editor(s) disclaim responsibility for any injury to people or property resulting from any ideas, methods, instructions or products referred to in the content. |
© 2025 by the authors. Licensee MDPI, Basel, Switzerland. This article is an open access article distributed under the terms and conditions of the Creative Commons Attribution (CC BY) license (https://creativecommons.org/licenses/by/4.0/).
Share and Cite
Belloni, M.; Tarsitano, D.; Sabbioni, E. A Comprehensive Analysis of Energy Consumption in Battery-Electric Buses Using Experimental Data: Impact of Driver Behavior, Route Characteristics, and Environmental Conditions. Electronics 2025, 14, 735. https://doi.org/10.3390/electronics14040735
Belloni M, Tarsitano D, Sabbioni E. A Comprehensive Analysis of Energy Consumption in Battery-Electric Buses Using Experimental Data: Impact of Driver Behavior, Route Characteristics, and Environmental Conditions. Electronics. 2025; 14(4):735. https://doi.org/10.3390/electronics14040735
Chicago/Turabian StyleBelloni, Mattia, Davide Tarsitano, and Edoardo Sabbioni. 2025. "A Comprehensive Analysis of Energy Consumption in Battery-Electric Buses Using Experimental Data: Impact of Driver Behavior, Route Characteristics, and Environmental Conditions" Electronics 14, no. 4: 735. https://doi.org/10.3390/electronics14040735
APA StyleBelloni, M., Tarsitano, D., & Sabbioni, E. (2025). A Comprehensive Analysis of Energy Consumption in Battery-Electric Buses Using Experimental Data: Impact of Driver Behavior, Route Characteristics, and Environmental Conditions. Electronics, 14(4), 735. https://doi.org/10.3390/electronics14040735

