Deep Learning-Based Approach for Microscopic Algae Classification with Grad-CAM Interpretability
Abstract
1. Introduction
- Dc-GAN implementation to increase the image count in the dataset.
- Developing a deep learning-based model named Squeezed and Deeply Connected Convolutional Neural Network to classify algae species.
- The explainable artificial intelligence (XAI) technique Grad-CAM was utilized to interpret and explain the proposed model’s outcomes.
- Dc-GAN helps generate synthetic data, catering to the generalizability of the model when trained with real data. The proposed deep learning model helps improve the performance in algae classification. Furthermore, to ensure the trust and transparency of the model, we integrated explainable AI (XAI) in this study.
2. Literature Review
3. Methodology
3.1. Data Description
3.2. Data Preparation
3.3. Data Augmentation
3.4. Deep Learning-Based Classification Model
- Integrated squeeze and dense blocks:
- Training strategies:
4. Results and Discussion
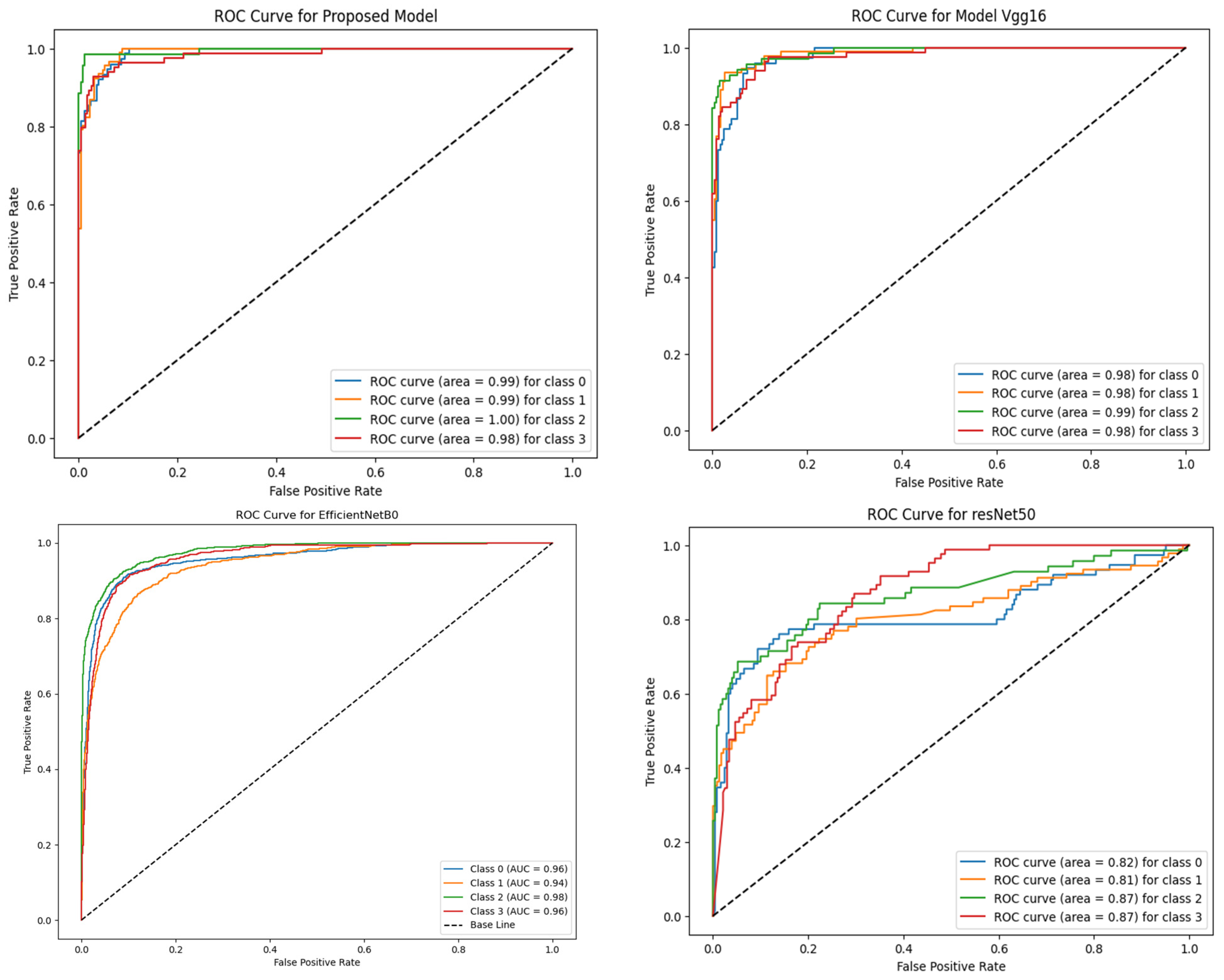
4.1. Comparative Analysis of Classifiers and ROC Curve
4.2. Confusion Matrix of Proposed Model
4.3. Grad-CAM Result
4.4. Experimental Setup
4.5. Discussion
5. Conclusions
Author Contributions
Funding
Data Availability Statement
Conflicts of Interest
Abbreviations
| CNN | Convolutional neural network |
| GAN | Generative adversarial network |
| HAB | Harmful algal bloom |
| SDC-CNN | Squeeze and Deeply Connected Convolutional Neural Network |
| ROC | Receiver Operating Characteristic |
| F1-Score | Harmonic mean of precision and recall |
| Precision | The ratio of true positive observations to the total predicted positives |
| Recall | The ratio of true positive observations to the total actual positives |
| Grad-CAM | Gradient-Weighted Class Activation Mapping |
| ReLU | Rectified linear unit |
| TP | True positives |
| FP | False positives |
| FN | False negatives |
References
- Vasseghian, Y.; Nadagouda, M.M.; Aminabhavi, T.M. Biochar-enhanced bioremediation of eutrophic waters impacted by algal blooms. J. Environ. Manag. 2024, 367, 122044. [Google Scholar] [CrossRef] [PubMed]
- Igwaran, A.; Kayode, A.J.; Moloantoa, K.M.; Khetsha, Z.P.; Unuofin, J.O. Cyanobacteria harmful algae blooms: Causes, impacts, and risk management. Water Air Soil Pollut. 2024, 235, 71. [Google Scholar] [CrossRef]
- Oh, J.W.; Pushparaj, S.S.; Muthu, M.; Gopal, J. Review of harmful algal blooms (HABs) causing marine fish kills: Toxicity and mitigation. Plants 2023, 12, 3936. [Google Scholar] [CrossRef]
- Park, J.; Patel, K.; Lee, W.H. Recent advances in algal bloom detection and prediction technology using machine learning. Sci. Total Environ. 2024, 938, 173546. [Google Scholar] [CrossRef]
- Park, J.; Lee, H.; Park, C.Y.; Hasan, S.; Heo, T.Y.; Lee, W.H. Algal morphological identification in watersheds for drinking water supply using neural architecture search for convolutional neural network. Water 2019, 11, 1338. [Google Scholar] [CrossRef]
- Sawtell, R.W.; Anderson, R.; Tokars, R.; Lekki, J.D.; Shuchman, R.A.; Bosse, K.R.; Sayers, M.J. Real-time HABs mapping using NASA Glenn hyperspectral imager. J. Great Lakes Res. 2019, 45, 596–608. [Google Scholar] [CrossRef] [PubMed]
- Suomalainen, J.; Oliveira, R.A.; Hakala, T.; Koivumäki, N.; Markelin, L.; Näsi, R.; Honkavaara, E. Direct reflectance transformation methodology for drone-based hyperspectral imaging. Remote Sens. Environ. 2021, 266, 112691. [Google Scholar] [CrossRef]
- Lekki, J.; Anderson, R.; Avouris, D.; Becker, R.; Churnside, J.; Cline, M.; Vander Woude, A. Airborne hyperspectral sensing of monitoring harmful algal blooms in the Great Lakes region: System calibration and validation. Tech. Rep. 2017, E-19202. Available online: https://ntrs.nasa.gov/citations/20170002298 (accessed on 19 January 2025).
- Chai, J.; Zeng, H.; Li, A.; Ngai, E.W.T. Deep learning in computer vision: A critical review of emerging techniques and application scenarios. Mach. Learn. Appl. 2021, 6, 100134. [Google Scholar] [CrossRef]
- Fu, J.; Liu, J.; Tian, H.; Li, Y.; Bao, Y.; Fang, Z.; Lu, H. Dual attention network for scene segmentation. In Proceedings of the IEEE/CVF Conference on Computer Vision and Pattern Recognition, Long Beach, CA, USA, 15–20 June 2019; pp. 3146–3154. [Google Scholar]
- Park, J.; Baek, J.; You, K.; Nam, S.W.; Kim, J. Microalgae detection using a deep learning object detection algorithm, YOLOv3. J. Korean Soc. Water Environ. 2021, 37, 275–285. [Google Scholar]
- Qian, P.; Zhao, Z.; Liu, H.; Wang, Y.; Peng, Y.; Hu, S.; Zhang, J.; Deng, Y.; Zeng, Z. Multi-target deep learning for algal detection and classification. In Proceedings of the IEEE Engineering in Medicine and Biology Society (EMBC), Montreal, QC, Canada, 20–24 July 2020; pp. 1954–1957. [Google Scholar]
- Xiao, M.; Zhang, L.; Shi, W.; Liu, J.; He, W.; Jiang, Z. A visualization method based on Grad-CAM for medical image segmentation model. In Proceedings of the International Conference on Electronic Information Engineering and Computer Science (EIECS), Changchun, China, 24–25 September 2021; pp. 242–247. [Google Scholar]
- Selvaraju, R.R.; Cogswell, M.; Das, A.; Vedantam, R.; Parikh, D.; Batra, D. Grad-CAM: Visual explanations from deep networks via gradient-based localization. Int. J. Comput. Vis. 2020, 128, 336–359. [Google Scholar] [CrossRef]
- Hill, P.R.; Kumar, A.; Temimi, M.; Bull, D.R. HABNet: Machine learning, remote sensing-based detection of harmful algal blooms. IEEE J. Sel. Top. Appl. Earth Obs. Remote Sens. 2020, 13, 3229–3239. [Google Scholar] [CrossRef]
- Derot, J.; Yajima, H.; Jacquet, S. Advances in forecasting harmful algal blooms using machine learning models: A case study with Planktothrix rubescens in Lake Geneva. Harmful Algae 2020, 99, 101906. [Google Scholar] [CrossRef]
- Sonmez, M.E.; Eczacıoglu, N.; Gumuş, N.E.; Aslan, M.F.; Sabanci, K.; Aşikkutlu, B. Convolutional neural network-support vector machine-based approach for classification of cyanobacteria and chlorophyta microalgae groups. Algal Res. 2022, 61, 102568. [Google Scholar] [CrossRef]
- Koc, D.G.; Koc, C.; Ekinci, K. Fusion-based machine learning approach for classification of algae varieties exposed to different light sources in the growth stage. Algal Res. 2023, 71, 103087. [Google Scholar]
- Miura, Y.; Imamoto, H.; Asada, Y.; Sagehashi, M.; Akiba, M.; Nishimura, O.; Sano, D. Prediction of algal bloom using a combination of sparse modeling and a machine learning algorithm: Automatic relevance determination and support vector machine. Ecol. Inform. 2023, 78, 102337. [Google Scholar] [CrossRef]
- Jo, B.G.; Jung, W.S.; Nam, S.H.; Kim, Y.D. Prediction of cyanobacteria using decision tree algorithm and sensor monitoring data. Appl. Sci. 2023, 13, 12266. [Google Scholar] [CrossRef]
- Mu, M.; Li, Y.; Bi, S.; Lyu, H.; Xu, J.; Lei, S.; Miao, S.; Zeng, S.; Zheng, Z.; Du, C. Prediction of algal bloom occurrence based on the naive Bayesian model considering satellite image pixel differences. Ecol. Indic. 2021, 124, 107416. [Google Scholar] [CrossRef]
- Bi, X.; Lin, S.; Zhu, S.; Yin, H.; Li, Z.; Chen, Z. Species identification and survival competition analysis of microalgae via hyperspectral microscopic images. Optik 2019, 176, 191–197. [Google Scholar] [CrossRef]
- Baek, S.S.; Pyo, J.; Pachepsky, Y.; Park, Y.; Ligaray, M.; Ahn, C.Y.; Kim, Y.-H.; Chun, J.A.; Cho, K.H. Identification and enumeration of cyanobacteria species using a deep neural network. Ecol. Indic. 2020, 115, 106395. [Google Scholar] [CrossRef]
- Balado, J.; Olabarria, C.; Martínez-Sánchez, J.; Rodriguez-Perez, J.R.; Pedro, A. Semantic segmentation of major macroalgae in coastal environments using high-resolution ground imagery and deep learning. Int. J. Remote Sens. 2021, 42, 1785–1800. [Google Scholar] [CrossRef]
- Salido, J.; Sánchez, C.; Ruiz-Santaquiteria, J.; Cristóbal, G.; Blanco, S.; Bueno, G. A low-cost automated digital microscopy platform for automatic identification of diatoms. Appl. Sci. 2020, 10, 6033. [Google Scholar] [CrossRef]
- Iandola, F. Densenet: Implementing efficient ConvNet descriptor pyramids. arXiv 2014, arXiv:1404.1869. [Google Scholar]
- Iandola, F.N. SqueezeNet: AlexNet-level accuracy with 50x fewer parameters and < 0.5 MB model size. arXiv 2016, arXiv:1602.07360. [Google Scholar]
- Papandrianos, N.I.; Feleki, A.; Moustakidis, S.; Papageorgiou, E.I.; Apostolopoulos, I.D.; Apostolopoulos, D.J. An explainable classification method of SPECT myocardial perfusion images in nuclear cardiology using deep learning and Grad-CAM. Appl. Sci. 2022, 12, 7592. [Google Scholar] [CrossRef]
- Yaseen, M.; Ali, M.; Ali, S.; Hussain, A.; Joo, M.; Kim, H.C. Cervical spine fracture detection and classification using two-stage deep learning methodology. IEEE Access 2024, 12, 72131–72142. [Google Scholar] [CrossRef]










| Parameters | Values |
|---|---|
| Image size | 224 × 224 |
| Learning rate (lr) | 0.001 |
| Epochs | 200 |
| Optimizer | Adam |
| Batch size | 64 |
| Classifier | Accuracy | Precision | Recall | F1-Score |
|---|---|---|---|---|
| ResNet50 | 85.55% | 85.3% | 85.5% | 85.0% |
| Vgg16 | 93.5% | 93.3% | 92.9% | 93.1% |
| EfficientNetB0 | 92.96% | 92.81% | 93.32% | 92.73% |
| Proposed model | 96.7% | 96.4% | 96.6% | 96.5% |
Disclaimer/Publisher’s Note: The statements, opinions and data contained in all publications are solely those of the individual author(s) and contributor(s) and not of MDPI and/or the editor(s). MDPI and/or the editor(s) disclaim responsibility for any injury to people or property resulting from any ideas, methods, instructions or products referred to in the content. |
© 2025 by the authors. Licensee MDPI, Basel, Switzerland. This article is an open access article distributed under the terms and conditions of the Creative Commons Attribution (CC BY) license (https://creativecommons.org/licenses/by/4.0/).
Share and Cite
Ali, M.; Yaseen, M.; Ali, S.; Kim, H.-C. Deep Learning-Based Approach for Microscopic Algae Classification with Grad-CAM Interpretability. Electronics 2025, 14, 442. https://doi.org/10.3390/electronics14030442
Ali M, Yaseen M, Ali S, Kim H-C. Deep Learning-Based Approach for Microscopic Algae Classification with Grad-CAM Interpretability. Electronics. 2025; 14(3):442. https://doi.org/10.3390/electronics14030442
Chicago/Turabian StyleAli, Maisam, Muhammad Yaseen, Sikandar Ali, and Hee-Cheol Kim. 2025. "Deep Learning-Based Approach for Microscopic Algae Classification with Grad-CAM Interpretability" Electronics 14, no. 3: 442. https://doi.org/10.3390/electronics14030442
APA StyleAli, M., Yaseen, M., Ali, S., & Kim, H.-C. (2025). Deep Learning-Based Approach for Microscopic Algae Classification with Grad-CAM Interpretability. Electronics, 14(3), 442. https://doi.org/10.3390/electronics14030442

