Modeling of a Multi-Service System with Finite Compression Mechanism and Stream Traffic
Abstract
1. Introduction
- Streams with a constant bitrate (CBR), which ensure data transmission with minimal latency and high reliability. These stream parameters remain constant over time, and the traffic they generate is called stream traffic. In 5G networks, this traffic is primarily associated with the uRLLC slice, including applications in sectors such as healthcare (remote operations, diagnostics, medical rescue), transportation (autonomous vehicle operation, traffic management), and industry (production process control) [4].
- Streams with a variable bitrate (VBR), which can be categorized as follows:
- –
- Packet streams that require the transmission of their entire data volume to complete a service, utilizing variable bitrates influenced by temporary fluctuations in system load. These fluctuations in transmission rates, which correlate with extended transmission times, result from either specific characteristics of the user application or from the dynamics of the transport layer protocol. These streams are classified as elastic traffic and are generated by applications that are not time-critical, including file transfers, email delivery, smart metering, and industrial monitoring.
- –
- Packet streams that require transmission within specific time intervals, using variable bitrates that depend on temporary variations in system load. These streams are characterized by fixed transmission times and are susceptible to data loss during periods of increased system congestion. The traffic generated by these streams is referred to as adaptive traffic. Applications generating adaptive traffic include online streaming services that require consistent, low-latency data transfer, and have the ability to adjust bitrates at the cost of service quality—such as changing video codec parameters during streaming. This type of traffic is typical of real-time audio and video services, including immersive entertainment, online gaming, and video streaming.
Research Contribution
- This research presents a novel analytical model, based on a reversible two-dimensional Markov process, that accurately represents a system that simultaneously services a mixture of stream traffic (not subject to finite compression mechanism) and elastic and adaptive traffic (subject to finite compression mechanism). The inclusion of stream traffic represents a shift in the approach to determining the compression ratio within the system, given that the resources occupied by stream traffic are not subject to a compression mechanism. Consequently, the maximum compression coefficient is higher than in a system with the same capacity but without stream traffic. To the authors’ knowledge, the model proposed in this paper is the first to offer a coherent and integrated approach to modeling all three of these traffic types that coexist within contemporary network architectures, including 5G networks.
- This paper presents a novel and precise method for determining the compression coefficient, explicitly taking into account the resources occupied by stream services. By employing a two-dimensional occupancy distribution, the proposed method effectively divides the total system resources into those occupied by stream calls and those occupied by elastic or adaptive calls. This division enables the precise determination of the compression ratio for all occupancy states. To the authors’ knowledge, this method for determining the compression ratio has not been previously employed in the analysis of systems servicing a mixture of stream, elastic, and adaptive traffic.
- To ensure the reliable servicing of traffic subject to compression, the proposed model incorporates a dedicated mechanism. This mechanism centers on the introduction of an occupancy limit, denoted as R, for stream calls. This limit serves a dual purpose: first, it provides the resources needed to service compressed traffic; second, it regulates the blocking probability across all traffic classes within the system.
- The service process analysis in the proposed system results in a recursive probability distribution, aligning with the standard analytical techniques for modeling multi-service systems, and validating the theoretical assumptions made.
2. Related Works
3. An Analytical Model of a Multi-Service System with Finite Compression Mechanism and Stream Traffic
3.1. Traffic Parametrization
- m—the number of all call classes offered to the system.
- —intensity of the call of class i .
- —service intensity of a call of class i .
- —demanded bitrate (equivalent CBR) for a call of class i .
- —allocation unit, the greatest common divisor for the demanded bitrates of all traffic classes offered to the system [43]:
- —the number of resources necessary to set up a call of class i :
- —average traffic intensity of a call of class i (determined in relation to calls) :
- —average traffic intensity of a call of class i (determined in relation to AUs):
- V—total bitrate of the system .
- C—total capacity of the system :
3.2. Stream, Elastic, and Adaptive Traffic
- Stream calls are lost when insufficient resources are available for connection establishment. Specifically, a stream call is rejected if, upon admission attempt, either the total resources occupied by stream calls would exceed R, or the total occupied resources would exceed .
- For elastic and adaptive calls, if the available resources are insufficient to admit a new call, the compression mechanism is applied to all currently serviced elastic and adaptive calls, including the incoming call. This process reduces the resource demanded by these calls, enabling the admission of a new call, provided the aggregate uncompressed resource demand for all calls, including the new one, does not exceed . Otherwise, the new call is rejected. In addition to reducing the resource demand of elastic and adaptive calls, activation of the compression mechanism may also lead to an increase in service time. Compression does not affect the service time of adaptive calls; however, for elastic calls, its activation extends the service time.
3.3. Analysis of the Service Process at the Microstate Level
3.4. Analysis of the Service Process at the Macrostate Level
3.5. Blocking Probability
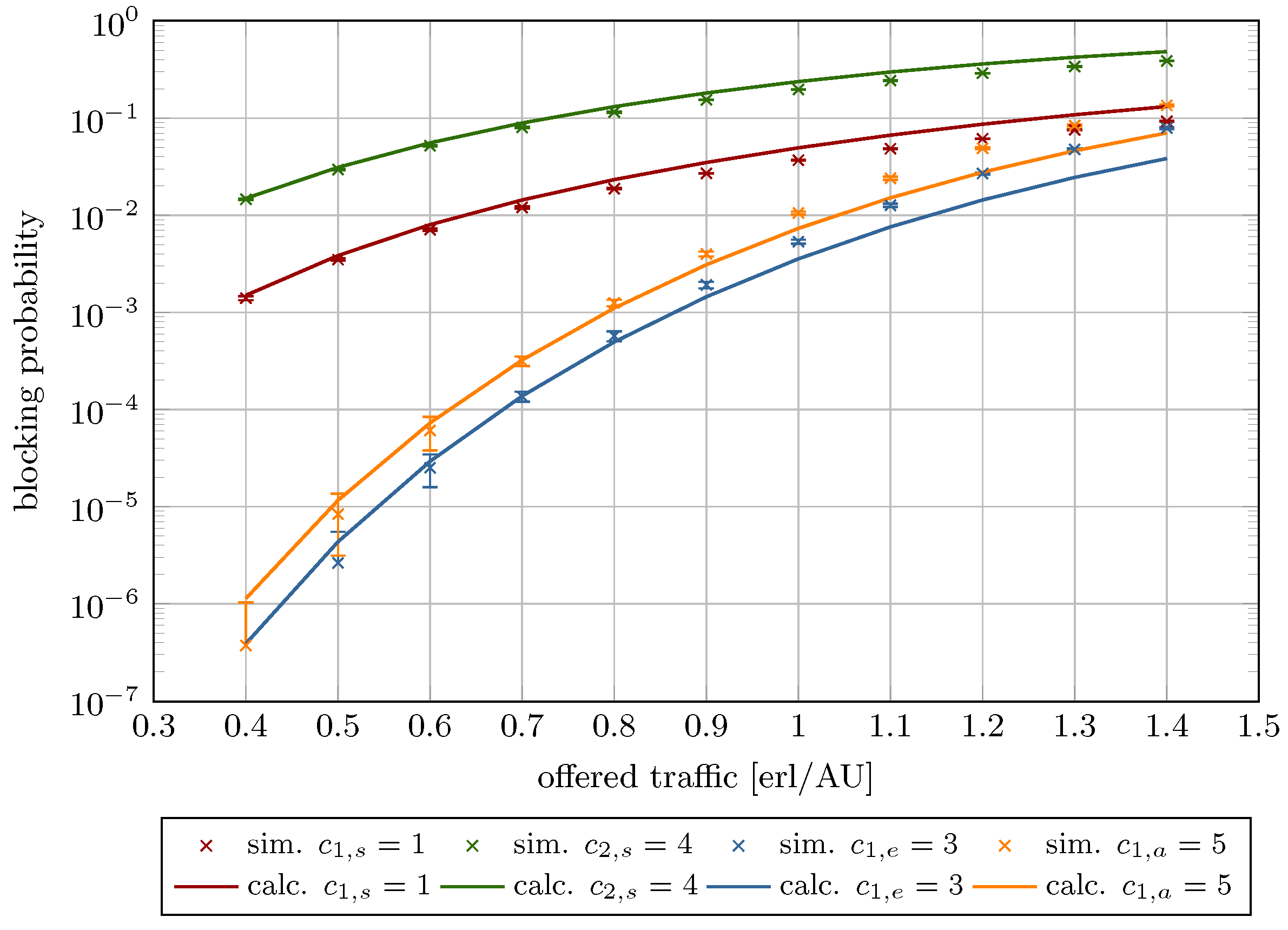
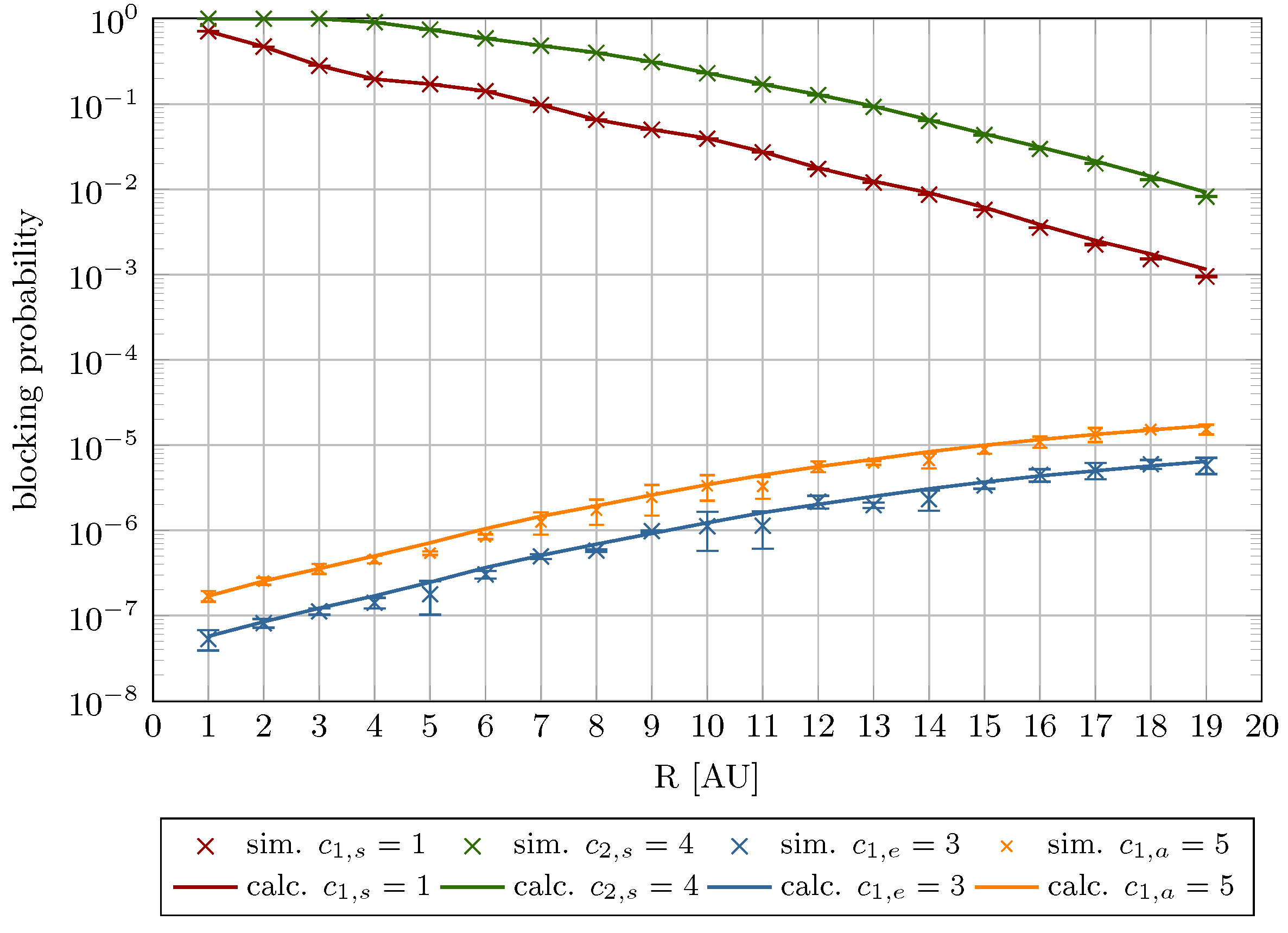
4. Numerical Results
4.1. Parameters of Systems Under Consideration
- Audio transmission requiring a constant bitrate of 256 kbps (stream traffic).
- Data transmission using the TCP protocol with a maximum transmission rate of 2 Mbps (elastic traffic).
- Transmission of video streams with a maximum transmission rate of 4 Mbps (720p) (adaptive traffic).
- System III capacity: 300 AUs.
- Audio transmission (stream traffic): AU.
- Video meeting (elastic traffic): AUs.
- Video streaming (adaptive traffic): AUs.
4.2. Discussion
5. Summary
Author Contributions
Funding
Data Availability Statement
Conflicts of Interest
List of Symbols
| Symbol | Description |
| Real capacity of the system | |
| Virtual capacity of the system | |
| Analytical capacity of the system | |
| R | Maximum amount of resources available for stream call |
| classes | |
| Number of stream call classes offered to the system | |
| Number of elastic call classes offered to the system | |
| Number of adaptiv call classes offered to the system | |
| X | microstate |
| Set of all microstate defined in the system | |
| Number of calls of class i type u being serviced in microstate X | |
| Total number of AUs occupied by stream calls in microstate X | |
| Total number of AUs occupied by elastic calls in microstate X | |
| Total number of AUs occupied by adaptive calls in microstate X | |
| Total number of AUs occupied by calls that are subjected | |
| to compression mechanism in microstate X | |
| Macrostate | |
| Total number of AUs occupied by stream call classes | |
| in macrostate | |
| Total number of AUs occupied by calls that are subjected | |
| to compression mechanism in macrostate | |
| Maximum compression level | |
| Compression level in macrostate | |
| Intensity of the call of class i type u | |
| Intensity of the call of class i type u in microstate X | |
| Intensity of the call of class i type u in macrostate | |
| Service intensity of the call of class i type u | |
| Service intensity of the call of class i type u in microstate X | |
| Service intensity of the call of class i type u in macrostate | |
| Average traffic intensity of the call of class i type u | |
| (determine in relation to calls) | |
| Average traffic intensity of the call of class i type u | |
| in microstate X (determine in relation to calls) | |
| Average traffic intensity of the call of class i type u | |
| in macrostate (determine in relation to calls) | |
| Average traffic intensity of the call of class i type u | |
| (determine in relation to AUs) | |
| Average traffic intensity of the call of class i type u | |
| in microstate X (determine in relation to AUs) | |
| Average traffic intensity of the call of class i type u | |
| in macrostate (determine in relation to AUs) | |
| Demanded number of AUs by call of class i type u | |
| Demanded number of AUs by call of class i type u | |
| in microstate X | |
| Demanded number of AUs by call of class i type u | |
| in macrostate | |
| Mean value of AUs occupied by call of class i type u | |
| in microstate X | |
| Probability of microstate X | |
| Probability of macrostate | |
| The set of blocking macrostate for calls of class i type u | |
| Blocking probability of calls i type u |
List of Acronyms
| Acronym | Full Term |
| ICT | Information and Computation Technology |
| IPv4 | Internet Protocol version 4 |
| IPv6 | Internet Protocol version 6 |
| OSI | Open System Interconnection |
| QoS | Quality of Service |
| eMBB | Enhanced Mobile Broadband |
| uRLLC | Ultra_Reliable Low Latency Communications |
| mMTC | Massive Machine Type Communications |
| SLA | Service Level Agreement |
| V2X | Vehicle-to-Everything |
| IoMT | Internet of Medical Things |
| HD | High Definition |
| CBR | Constant Bitrate |
| VBR | Variable Bitrate |
| ISDN | Integrated Service Digital Network |
| ATM | Asynchronous Transfer Mode |
| C-RAN | Cloud Radio Access Networks |
| PO | Paging Occasions |
| IaaS | Infrastructure as a Service |
| AU | Allocation Unit |
References
- 3GPP. Concepts, Use Cases and Requirements (Release 18); Technical Report; 3rd Generation Partnership Project: Sophia Antipolis, France, 2023. [Google Scholar]
- 3GPP. 5G End to End Key Performance Indicators (KPI) (Release 18); Technical Report; 3rd Generation Partnership Project: Sophia Antipolis, France, 2023. [Google Scholar]
- 3GPP. Service Requirements for V2X Services; Stage 1 (Release 17); Technical Report; 3rd Generation Partnership Project: Sophia Antipolis, France, 2022. [Google Scholar]
- Elayoubi, S.; Ben Jemaa, S.; Altman, Z.; Galindo-Serrano, A. 5G RAN Slicing for Verticals: Enablers and Challenges. IEEE Commun. Mag. 2019, 57, 28–34. [Google Scholar] [CrossRef]
- Gimpelson, L. Analysis of Mixtures of Wide- and Narrow-Band Traffic. IEEE Trans. Commun. Technol. 1965, 13, 258–266. [Google Scholar] [CrossRef]
- Kaufman, J.S. Blocking in a Shared Resource Environment. IEEE Trans. Commun. 1981, 29, 1474–1481. [Google Scholar] [CrossRef]
- Roberts, J.W. A service system with heterogeneous user requirements—Application to multi-service telecommunications systems. In Performance of Data Communications Systems and Their Applications; Pujolle, G., Ed.; North-Holland Publishing Company: Amsterdam, The Netherlands, 1981; pp. 423–431. [Google Scholar]
- Stasiak, M. Blocking probability in a limited-availability group carrying mixture of different multichannel traffic streams. Ann. Des Télécommunications 1993, 48, 71–76. [Google Scholar] [CrossRef]
- Iversen, V.B. Modelling Restricted Accessibility for Wireless Multi-service Systems. In Wireless Systems and Network Architectures in Next Generation Internet; Cesana, M., Fratta, L., Eds.; Springer: Berlin/Heidelberg, Germany, 2006; pp. 93–102. [Google Scholar] [CrossRef]
- Roberts, J.W. Teletraffic Models for the Telecom 1 Integrated Service Network. In Proceedings of the 10th International Teletraffic Congress, Montreal, QC, Canada, 8–15 June 1983; pp. 1–7. [Google Scholar]
- Głąbowski, M.; Kaliszan, A.; Stasiak, M. Asymmetric convolution algorithm for blocking probability calculation in full-availability group with bandwidth reservation. IET Circuits Devices Syst. 2008, 2, 87–94. [Google Scholar] [CrossRef]
- Kaufman, J.S. Blocking with retrials in a completely shared resource environment. Perform. Eval. 1992, 15, 99–116. [Google Scholar] [CrossRef]
- Stasiak, M.; Głąbowski, M.; Wisniewski, A.; Zwierzykowski, P. Modeling and Dimensioning of Mobile Networks: From GSM to LTE; Wiley, Ltd.: Hoboken, NJ, USA, 2010. [Google Scholar] [CrossRef]
- Iversen, V.B. Systems with selective overflow and change of bandwidth. In Proceedings of the 2012 1st IEEE International Conference on Communications in China (ICCC), Beijing, China, 15–17 August 2012; pp. 694–697. [Google Scholar] [CrossRef]
- Głąbowski, M.; Hanczewski, S.; Stasiak, M. Modelling of Cellular Networks with Traffic Overflow. Math. Probl. Eng. 2015, 2015, 15. [Google Scholar] [CrossRef]
- Stamatelos, G.M.; Koukoulidis, V.N. Reservation-based Bandwidth Allocation in a Radio ATM Network. IEEE/ACM Trans. Netw. 1997, 5, 420–428. [Google Scholar] [CrossRef]
- Rácz, S.; Gerő, B.P.; Fodor, G. Flow level performance analysis of a multi-service system supporting elastic and adaptive services. Perform. Eval. 2002, 49, 451–469. [Google Scholar] [CrossRef]
- Moscholios, I.D.; Logothetis, M.D.; Kokkinaki, G. On the calculation of blocking probabilities in the multirate state-dependent loss models for finite sources. Mediterr. J. Comput. Netw. 2007, 3, 100–109. [Google Scholar]
- Logothetis, M.D.; Moscholios, I.D. Efficient Multirate Teletraffic Loss Models Beyond Erlang; John Wiley & Sons, Ltd.: Hoboken, NJ, USA, 2019. [Google Scholar] [CrossRef]
- Sobieraj, M.; Stasiak, M.; Weissenberg, J.; Zwierzykowski, P. Analytical Model of the Single Threshold Mechanism with Hysteresis for Multi-Service Networks. IEICE Trans. Commun. 2012, 95-B, 120–132. [Google Scholar] [CrossRef]
- Bonald, T.; Virtamo, J. A recursive formula for multirate systems with elastic traffic. IEEE Commun. Lett. 2005, 9, 753–755. [Google Scholar] [CrossRef]
- Vassilakis, V.G.; Moscholios, I.D.; Logothetis, M.D. Call-Level Performance Modelling of Elastic and Adaptive Service-Classes with Finite Population. IEICE Trans. Commun. 2010, 91-B, 151–163. [Google Scholar] [CrossRef]
- Moscholios, I.D.; Vardakas, J.; Logothetis, M.D.; Boucouvalas, A. Congestion probabilities in a batched Poisson multirate loss model supporting elastic and adaptive traffic. Ann. Telecommun. 2013, 68, 327–344. [Google Scholar] [CrossRef]
- Hanczewski, S.; Stasiak, M.; Weissenberg, J. A Queueing Model of a Multi-Service System with State-Dependent Distribution of Resources for Each Class of Calls. IEICE Trans. Commun. 2014, E97-B, 1592–1605. [Google Scholar] [CrossRef]
- Hanczewski, S.; Stasiak, M.; Weissenberg, J. Queueing model of a multi-service system with elastic and adaptive traffic. Comput. Netw. 2018, 147, 146–161. [Google Scholar] [CrossRef]
- Younes, S.; Idi, M.; Robbana, R. Discrete-time Markov decision process for performance analysis of virtual machine allocation schemes in C-RAN. J. Netw. Comput. Appl. 2024, 225, 103859. [Google Scholar] [CrossRef]
- Agiwal, M.; Agiwal, A.; Maheshwari, M.K.; Muralidharan, S. Split PO for paging in B5G networks. J. Netw. Comput. Appl. 2022, 205, 103430. [Google Scholar] [CrossRef]
- Kita, N.; Oki, E. Unavailability-aware allocation of backup resources considering failures of virtual and physical machines. Comput. Netw. 2024, 239, 110141. [Google Scholar] [CrossRef]
- Muscariello, L.; Mellia, M.; Meo, M.; Marsan, M.A.; Cigno, R.L. Markov models of Internet traffic and a new hierarchical MMPP model. Comput. Commun. 2005, 28, 1835–1851. [Google Scholar] [CrossRef]
- Aceto, G.; Ciuonzo, D.; Montieri, A.; Pescapè, A. Characterization and Prediction of Mobile-App Traffic Using Markov Modeling. IEEE Trans. Netw. Serv. Manag. 2021, 18, 907–925. [Google Scholar] [CrossRef]
- Domański, A.; Domańska, J.; Filus, K.; Szyguła, J.; Czachórski, T. Self-Similar Markovian Sources. Appl. Sci. 2020, 10, 3727. [Google Scholar] [CrossRef]
- Besenczi, R.; Bátfai, N.; Jeszenszky, P.; Major, R.; Monori, F.; Ispány, M. Large-scale simulation of traffic flow using Markov model. PLoS ONE 2021, 16, e0246062. [Google Scholar] [CrossRef]
- Koksal, O.K.; Temelli, R.; Ozkan, H.; Gurbuz, O. Markov Model Based Traffic Classification with Multiple Features. In Proceedings of the 2022 International Balkan Conference on Communications and Networking (BalkanCom), Sarajevo, Bosnia and Herzegovina, 22–24 August 2022; pp. 173–177. [Google Scholar] [CrossRef]
- Myint, S.H.; Yu, K.; Sato, T. Modeling and Analysis of Error Process in 5G Wireless Communication Using Two-State Markov Chain. IEEE Access 2019, 7, 26391–26401. [Google Scholar] [CrossRef]
- Ghosh, S.; Bhattacharya, A. A Markov Chain-Based Handover Decision Algorithm for Vehicular Networks in 5G. IEEE Trans. Veh. Technol. 2021, 70, 6852–6863. [Google Scholar]
- Chang, X.; Xia, R.; Muppala, J.K.; Trivedi, K.S.; Liu, J. Effective Modeling Approach for IaaS Data Center Performance Analysis under Heterogeneous Workload. IEEE Trans. Cloud Comput. 2018, 6, 991–1003. [Google Scholar] [CrossRef]
- Hanczewski, S.; Stasiak, M.; Weissenberg, J. A Model of a System With Stream and Elastic Traffic. IEEE Access 2021, 9, 7789–7796. [Google Scholar] [CrossRef]
- Bonald, T.; Roberts, J.W. Internet and the Erlang Formula. SIGCOMM Comput. Commun. Rev. 2012, 42, 23–30. [Google Scholar] [CrossRef]
- Hui, J.Y. Resource allocation for broadband networks. IEEE J. Sel. Areas Commun. 1988, 6, 1598–1608. [Google Scholar] [CrossRef]
- Kelly, F. Notes on Effective Bandwidth. In Stochastic Networks: Theory and Applications; Kelly, F., Zachary, S., Ziedins, I., Eds.; Oxford University Press: Oxford, UK, 1996; pp. 141–168. [Google Scholar]
- Sagkriotis, S.G.; Pantelis, S.K.; Moscholios, I.D.; Vassilakis, V.G. Call blocking probabilities in a two-link multirate loss system for Poisson traffic. IET Netw. 2018, 7, 233–241. [Google Scholar] [CrossRef]
- Lin, Y.T.; Bonald, T.; Elayoubi, S.E. Flow-level traffic model for adaptive streaming services in mobile networks. Comput. Netw. 2018, 137, 1–16. [Google Scholar] [CrossRef]
- Roberts, J.W.; Mocci, U.; Virtamo, J.T. (Eds.) Broadband Network Teletraffic-Performance Evaluation and Design of Broadband Multiservice Networks: Final Report of Action COST 242; Lecture Notes in Computer Science; Springer: Berlin/Heidelberg, Germany, 1996; Volume 1155. [Google Scholar] [CrossRef]
- Guerin, R.; Ahmadi, H.; Naghshineh, M. Equivalent capacity and its application to bandwidth allocation in high-speed networks. IEEE J. Sel. Areas Commun. 1991, 9, 968–981. [Google Scholar] [CrossRef]
- Norros, I. On the use of fractional Brownian motion in the theory of connectionless networks. IEEE J. Sel. Areas Commun. 1995, 13, 953–962. [Google Scholar] [CrossRef]
- Pras, A.; Nieuwenhuis, L.; van de Meent, R.; Mandjes, M. Dimensioning Network Links: A New Look at Equivalent Bandwidth. IEEE Netw. 2009, 23, 5–10. [Google Scholar] [CrossRef][Green Version]
- Brown, T.C.; Pollett, P.K. Poisson approximations for telecommunications networks. J. Aust. Math. Soc. Ser. B Appl. Math. 1991, 32, 348–364. [Google Scholar] [CrossRef]
- Hanczewski, S.; Stasiak, M.; Weissenberg, J. The Queueing Model of a Multiservice System with Dynamic Resource Sharing for Each Class of Calls. In Computer Networks; Kwiecień, A., Gaj, P., Stera, P., Eds.; Communications in Computer and Information Science; Springer: Berlin/Heidelberg, Germany, 2013; Volume 370, pp. 436–445. [Google Scholar] [CrossRef]
- Nilsson, A.A.; Perry, M. Provisioning Models for Digital Loop Carriers. In Proceedings of the 13th International Teletraffic Congress (ITC-13), Volume: Discussion Circles, Copenhagen, Denmark, 19–26 June 1991; pp. 271–276. [Google Scholar]
- Tyszer, J. Object-Oriented Computer Simulation of Discrete-Event Systems; Springer: New York, NY, USA, 1999. [Google Scholar]
- Tetcos: NetSim-Network Simulation Software; Tetcos: Bengaluru, India, 2024.



















| No. | System | ||||||
|---|---|---|---|---|---|---|---|
| 1 | 20 | 10 | 12 | 1 | - | 3 | 5 |
| 2 | 20 | 10 | 12 | 1 | 4 | 3 | 5 |
| 3 | 20 | 30 | 12 | 1 | - | 3 | 5 |
| 4 | 20 | 30 | 12 | 1 | 4 | 5 | 3 |
| 5 | 20 | 30 | 16 | 1 | 4 | 3 | 5 |
| 6 | 20 | 30 | 18 | 1 | 4 | 3 | 5 |
| No. | System | |||||
|---|---|---|---|---|---|---|
| I | 20 | 10 | 1 | 4 | 3 | 5 |
| II | 20 | 30 | 1 | 4 | 3 | 5 |
| - | - | Calculations | Simulations | ||||||||||
|---|---|---|---|---|---|---|---|---|---|---|---|---|---|
| No. | a | ||||||||||||
| 1 | 0.4 | 0.00028 | - | 0.00116 | 0.00291 | 0.00026 | 2.82 | - | - | 0.00116 | 8.79 | 0.00291 | 0.00014 |
| 0.8 | 0.01802 | - | 0.04481 | 0.08632 | 0.01685 | 0.00023 | - | - | 0.04413 | 0.00065 | 0.08469 | 0.00142 | |
| 1.2 | 0.10088 | - | 0.17792 | 0.29729 | 0.09084 | 0.00085 | - | - | 0.17773 | 0.00154 | 0.29631 | 0.00182 | |
| 2 | 0.4 | 0.00919 | 0.08166 | 0.00088 | 0.00229 | 0.00914 | 0.00011 | 0.08150 | 0.00091 | 0.00089 | 2.01 | 0.00227 | 3.02 |
| 0.8 | 0.06334 | 0.3129 | 0.02686 | 0.05445 | 0.06063 | 0.00036 | 0.30610 | 0.00209 | 0.02734 | 0.00028 | 0.05489 | 0.00054 | |
| 1.2 | 0.14464 | 0.54628 | 0.10676 | 0.19056 | 0.13463 | 0.00026 | 0.52704 | 0.00125 | 0.11115 | 0.00062 | 0.00062 | 0.00101 | |
| 3 | 0.4 | 1.97 | - | 5.81 | 1.62 | 1.89 | 3.81 | - | - | 5.03 | 1.74 | 1.42 | 1.27 |
| 0.8 | 0.00739 | - | 0.00131 | 0.00274 | 0.00738 | 0.00018 | - | - | 0.00111 | 8.76 | 0.00246 | 0.00019 | |
| 1.2 | 0.09265 | - | 0.0403 | 0.07217 | 0.09065 | 0.00070 | - | - | 0.04336 | 0.00139 | 0.07703 | 0.00183 | |
| 4 | 0.4 | 0.00915 | 0.08147 | 2.20 | 8.40 | 0.00897 | 0.00018 | 0.08098 | 0.00021 | 1.69 | 2.16 | 9.39 | 1.21 |
| 0.8 | 0.06276 | 0.31137 | 0.00115 | 0.00054 | 0.05736 | 0.00067 | 0.29590 | 0.00078 | 0.00135 | 0.00016 | 0.00064 | 7.70 | |
| 1.2 | 0.14780 | 0.55432 | 0.02133 | 0.01120 | 0.12461 | 0.00048 | 0.50839 | 0.00275 | 0.02927 | 0.00110 | 0.01539 | 0.00063 | |
| 5 | 0.4 | 0.00149 | 0.01495 | 3.88 | 1.13 | 0.00143 | 6.78 | 0.01450 | 0.000245 | 3.07 | 1.71 | 1.57 | 6.60 |
| 0.8 | 0.02331 | 0.13160 | 0.00049 | 0.00110 | 0.01882 | 0.00029 | 0.11526 | 0.00143 | 0.00056 | 6.77 | 0.00125 | 9.94 | |
| 1.2 | 0.08674 | 0.36199 | 0.01438 | 0.02778 | 0.06132 | 0.00051 | 0.29085 | 0.00095 | 0.02698 | 0.00062 | 0.04901 | 0.00090 | |
| 6 | 0.4 | 0.00064 | 0.00574 | 5.00 | 1.45 | 0.00058 | 4.00 | 0.00565 | 5.61 | 4.10 | 4.10 | 1.08 | 6.51 |
| 0.8 | 0.01374 | 0.08222 | 0.00067 | 0.00149 | 0.00996 | 0.00017 | 0.06627 | 0.00097 | 0.00084 | 8.24 | 0.00182 | 0.00012 | |
| 1.2 | 0.06748 | 0.29055 | 0.01916 | 0.03638 | 0.04427 | 0.00032 | 0.21545 | 0.00060 | 0.03832 | 0.00064 | 0.06856 | 0.00118 | |
| No. | a | ||||||||
|---|---|---|---|---|---|---|---|---|---|
| 1 | 0.4 | 4.94 | - | 0.05 | 0.02 | 0.00001 | - | 6.5 | 6.9 |
| 0.8 | 6.93 | - | 1.54 | 1.91 | 0.00116 | - | 0.00068 | 0.00162 | |
| 1.2 | 11.05 | - | 0.10 | 0.33 | 0.01004 | - | 0.00019 | 0.00099 | |
| 2 | 0.4 | 0.53 | 0.20 | 0.57 | 1.02 | 4.898 | 0.00016 | 5.168 | 0.00002 |
| 0.8 | 4.47 | 2.22 | 1.77 | 0.81 | 0.00271 | 0.00680 | 0.00048 | 0.00044 | |
| 1.2 | 7.44 | 3.65 | 3.95 | 2.71 | 0.01001 | 0.01924 | 0.00439 | 0.00532 | |
| 3 | 0.4 | 4.23 | - | 15.63 | 14.22 | 8 | - | 7.85 | 2.01 |
| 0.8 | 0.13 | - | 18.32 | 11.39 | 0.00001 | - | 0.00020 | 0.00028 | |
| 1.2 | 2.20 | - | 7.06 | 6.31 | 0.002 | - | 0.00306 | 0.00486 | |
| 4 | 0.4 | 1.91 | 0.61 | 29.93 | 10.53 | 0.00017 | 0.00049 | 5.06 | 9.89 |
| 0.8 | 9.42 | 5.22 | 14.83 | 15.63 | 0.00540 | 0.01547 | 0.00020 | 0.00010 | |
| 1.2 | 18.60 | 9.03 | 27.12 | 27.19 | 0.02318 | 0.04592 | 0.00794 | 0.00418 | |
| 5 | 0.4 | 4.73 | 3.08 | 26.41 | 27.88 | 6.782 | 0.00044 | 8.11 | 4.39 |
| 0.8 | 23.85 | 14.17 | 12.90 | 11.62 | 0.00449 | 0.01633 | 7.35 | 0.00014 | |
| 1.2 | 41.46 | 24.46 | 46.69 | 43.30 | 0.02542 | 0.07114 | 0.01260 | 0.02122 | |
| 6 | 0.4 | 10.02 | 1.64 | 21.95 | 34.43 | 0.00006 | 9.30 | 0.9 | 3.70 |
| 0.8 | 37.89 | 24.06 | 20.04 | 18.24 | 0.00377 | 0.01594 | 0.00017 | 0.00033 | |
| 1.2 | 52.41 | 34.85 | 49.97 | 46.93 | 0.02320 | 0.07509 | 0.01915 | 0.03218 |
Disclaimer/Publisher’s Note: The statements, opinions and data contained in all publications are solely those of the individual author(s) and contributor(s) and not of MDPI and/or the editor(s). MDPI and/or the editor(s) disclaim responsibility for any injury to people or property resulting from any ideas, methods, instructions or products referred to in the content. |
© 2025 by the authors. Licensee MDPI, Basel, Switzerland. This article is an open access article distributed under the terms and conditions of the Creative Commons Attribution (CC BY) license (https://creativecommons.org/licenses/by/4.0/).
Share and Cite
Hanczewski, S.; Mahmoudi, S.; Stasiak, M.; Weissenberg, J. Modeling of a Multi-Service System with Finite Compression Mechanism and Stream Traffic. Electronics 2025, 14, 4376. https://doi.org/10.3390/electronics14224376
Hanczewski S, Mahmoudi S, Stasiak M, Weissenberg J. Modeling of a Multi-Service System with Finite Compression Mechanism and Stream Traffic. Electronics. 2025; 14(22):4376. https://doi.org/10.3390/electronics14224376
Chicago/Turabian StyleHanczewski, Sławomir, Saïd Mahmoudi, Maciej Stasiak, and Joanna Weissenberg. 2025. "Modeling of a Multi-Service System with Finite Compression Mechanism and Stream Traffic" Electronics 14, no. 22: 4376. https://doi.org/10.3390/electronics14224376
APA StyleHanczewski, S., Mahmoudi, S., Stasiak, M., & Weissenberg, J. (2025). Modeling of a Multi-Service System with Finite Compression Mechanism and Stream Traffic. Electronics, 14(22), 4376. https://doi.org/10.3390/electronics14224376

