Machine Learning-Based State-of-Charge Prediction for Electric Bus Fleet: A Critical Analysis
Abstract
1. Introduction
- The capability of MB observers to provide a reliable outcome with reduced margins of error is positively evaluated if reduced complexity in the descriptive part is targeted.
- The ML techniques are considered for their versatility and fast adaptability to produce output results.
- The MB observer is then selected as a benchmark to evaluate the performances of different ML algorithms selected and tested.
- The lack of detailed electrical quantities in the real-world dataset extracted represents the weakest aspect for a robust outcome in ML algorithms.
- Assumptions on the theoretical charging–discharging cycles—the so-called of the battery—and the driving data being aggregated for different drivers operating on each line.
- The clusterization of data for each line, based on the different topographic characteristics of the routes.
- Several ML techniques were affected by overfitting, decreasing the performances of the final estimation of the result.
2. Methodology
- Model-based (MB) techniques: As the most commonly used methods, they depend on detailed mathematical models capturing the non-linear behavior of the battery. In particular, they can be classified based on the type of model involved:
- –
- –
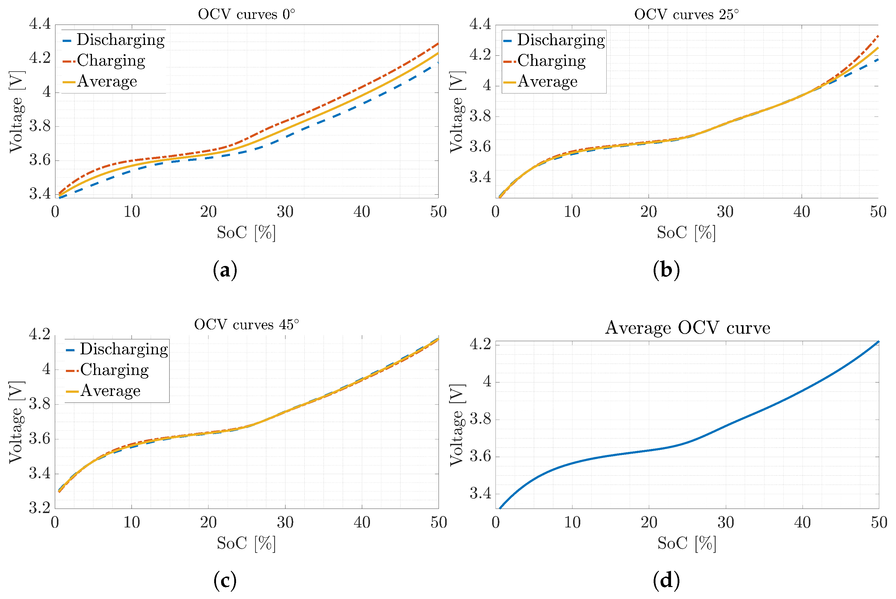
- The electrical dataset exploited for MB observers in the first phase, constituted by the incremental current open-circuit voltage (OCV) test, the Dynamic Stress Test (DST) and the Federal Urban Driving Schedule (FUDS) provided by the Center for Advanced Life Cycle Engineering (CALCE, University of Maryland, USA) [28].
- A real-world dataset composed by operative quantities related to the normal service operations collected from the bus fleet in a given time window.
2.1. Implementation of Traditional Methods
- (a)
- Estimation accuracy;
- (b)
- Rise time;
- (c)
- Computational costs.
- Time in [s];
- Load current in [A];
- Battery voltage in [V];
- External temperature in [°C];
- State of Charge (SoC) in [%].
2.2. Implementation of Machine Learning Methods
- Predictors, such as
- –
- Time in [s];
- –
- Load current in [A];
- –
- Battery voltage in [V],
- –
- Environmental temperature in [°C].
- A response variable (SoC).
- For the Decision Tree models, the minimum leaf size and the surrogate decision splits.
- For the Ensemble Tree models, the minimum leaf size, the number of learners and, specifically for the Ensemble Boosted Tree, the learning rate.
- For the Neural Network models, the number of fully connected layers, the size of the layers and the activation function.
- Time in [s],
- Vehicle speed in [km/h] and
- Instantaneous SoC.
- Small-sized buses: 8-m long vehicles each equipped with a 268.7 kWh battery pack;
- Medium-sized buses: 10-m long vehicles each equipped with a 383.4 kWh battery pack.
2.2.1. Whole Dataset
- (a)
- The first step involved a cleaned dataset with a more homogeneous data distribution; however, this did not produce any notable improvements in accuracy.
- (b)
- Next, the number of cross-validation folds within the Regression Learner was increased in an attempt to strengthen the model’s generalization capability, but the results remained essentially unchanged.
- (c)
- Lastly, testing subsets that incorporated data from multiple working days were assembled, but this approach also failed to produce any meaningful improvement.
2.2.2. Whole Dataset with Additional Information
- Elapsed time [s];
- Vehicle speed [km/h];
- Vehicle acceleration [m/s2];
- Mean external ambient temperature [°C];
- Mean wind speed [km/h].
3. Discussion
- (a)
- The unavailability of electrical quantities during the observation period can influence the quality of the outcome. In fact, the prediction of RUL is necessarily based on kinematic quantities only (elapsed time, speed, acceleration and environmental data), given the availability of disclosed data. This limits the field from which the prediction is assessed.
- (b)
- The lack of electrical data also leads us to discard non-linearities of battery cells, which are considerable during normal transportation activity [16]. As a matter of fact, the energy is discharged differently when the SoC is higher than 90% and lower than 30%. Between these threshold values, the behavior of the battery can be assumed as linear. This phenomenon also impacts the battery’s own efficiency in providing a current through electrochemical processes.
- (c)
- In addition, the missing information about the passenger load onboard is a strong limitation for understanding the load level that the driver is requesting of the battery for public service deployment. The different topography of each line route must also be considered, since a flat path requires less energy to displace the same EV than a steep route. In this wake, the dataset was clustered based on the different line served, as reported by Table 6.
- (d)
- The driving data are here considered in an aggregated way. This means that the driver shift is neglected. This simplification step is questionable because each driver can adopt a different driving style, with more or less energy requested to the battery.
- (e)
- The real charging–discharging cycle can significantly impact battery performances, aging and degradation phenomena [43]. Given the lack of data as aforementioned, the C-rate was defined analytically based on the maximum rated power for the motor (representing the most demanding discharging condition) and for the charging spot (assuming an overnight constant-power charging operation). Both maximum conditions reach C-rate values below 0.9. However, the real motor power demand due to slope, payload due to onboard passengers and the driving style can be different from this assumption, therefore leading to instantaneous values of C-rate sensibly far from the threshold value computed [44,45].
- (f)
- All exposed considerations can play a non-negligible role in enhancing the aging mechanism of battery cells, leading to the early degradation of performance [46]. The assumptions made here thus lead to the potential overestimation of RUL for the whole fleet, with the lack of detailed data.
4. Conclusions
Author Contributions
Funding
Informed Consent Statement
Data Availability Statement
Conflicts of Interest
References
- International Energy Agency. Global EV Outlook 2024: Moving Towards Increased Affordability; OECD Publishing: Paris, France, 2024. [Google Scholar]
- International Energy Agency. Global EV Outlook 2025: Expanding Sales in Diverse Markets; OECD Publishing: Paris, France, 2025. [Google Scholar]
- Mavlonov, J.; Ruzimov, S.; Tonoli, A.; Amati, N.; Mukhitdinov, A. Sensitivity Analysis of Electric Energy Consumption in Battery Electric Vehicles with Different Electric Motors. World Electr. Veh. J. 2023, 14, 36. [Google Scholar] [CrossRef]
- Unione Nazionale Rappresentanti Autoveicoli Esteri. Statistical Data of Vehicle Enrollment. 2024. Available online: https://unrae.it/files/AnnualReportUNRAE_2024_68628e8314caf.pdf (accessed on 20 October 2025).
- Azienda Trasporti Milanesi, S.p.A. Relazione Annuale Integrata 2023. 2024. Available online: https://www.atm.it/it/IlGruppo/Financial_information/Documents/relazione%20Annuale%20Integrata%20Gruppo%20ATM%202023.pdf (accessed on 20 October 2025).
- X, E. Torino, in Collina il Bus è Elettrico con GTT, Cavourese ed Enel X. 2024. Available online: https://www.enelx.com/it/it/comunicati-stampa/2023/04/nuovi-bus-elettrici-torino (accessed on 17 February 2025).
- Sanguesa, J.A.; Torres-Sanz, V.; Garrido, P.; Martinez, F.J.; Marquez-Barja, J.M. A review on electric vehicles: Technologies and challenges. Smart Cities 2021, 4, 372–404. [Google Scholar] [CrossRef]
- Siemens Mobility. e-Highway—Electrification of Road Freight Transport. 2023. Available online: https://assets.new.siemens.com/siemens/assets/api/uuid:760942b4-5661-43c1-b9f8-079741d12e6e/smo-Factsheet-Road-Freight-Transport-eHighway.pdf (accessed on 20 October 2025).
- Colombo, C.G.; Ota, R.; Longo, M. Optimized Electric Vehicles Wireless Charging: Applicative Models for Supporting Decision Makers. IEEE Open J. Veh. Technol. 2025, 6, 897–911. [Google Scholar] [CrossRef]
- Enge, P.; Enge, N.; Zoepf, S. Electric Vehicle Engineering, 2nd ed.; McGraw Hill: New York, NY, USA, 2021. [Google Scholar]
- A35 BreBeMi-Aleatica. Comunicato Stampa—Arena del Futuro: La Ricarica ad Induzione Pronta a Sviluppi Commerciali, 2022. Available online: https://www.brebemi.it/wp-content/uploads/2022/06/Comunicato_ERS_100622.pdf (accessed on 20 October 2025).
- Kumar, R.R.; Bharatiraja, C.; Udhayakumar, K.; Devakirubakaran, S.; Sekar, S.; Mihet-Popa, L. Advances in batteries, battery modeling, battery management system, battery thermal management, SOC, SOH, and charge/discharge characteristics in EV applications. IEEE Access 2023, 11, 105761–105809. [Google Scholar] [CrossRef]
- Saqli, K.; Bouchareb, H.; M’sirdi, K.N.; Naamane, A.; Oudghiri, M. Electric and Thermal Model of Li-ion battery pack with cylindrical components. In Proceedings of the 2020 5th International Conference on Renewable Energies for Developing Countries (REDEC), Marrakech, Morocco, 29–30 June 2020; IEEE: Piscataway, NJ, USA, 2020; pp. 1–6. [Google Scholar]
- Zhou, W.; Zheng, Y.; Pan, Z.; Lu, Q. Review on the battery model and SOC estimation method. Processes 2021, 9, 1685. [Google Scholar] [CrossRef]
- Hu, J.; Hu, J.; Lin, H.; Li, X.; Jiang, C.; Qiu, X.; Li, W. State-of-charge estimation for battery management system using optimized support vector machine for regression. J. Power Sources 2014, 269, 682–693. [Google Scholar] [CrossRef]
- Park, S.J.; Song, Y.W.; Kang, B.S.; Kim, W.J.; Choi, Y.J.; Kim, C.; Hong, Y.S. Depth of discharge characteristics and control strategy to optimize electric vehicle battery life. J. Energy Storage 2023, 59, 106477. [Google Scholar] [CrossRef]
- Xiong, R.; Cao, J.; Yu, Q.; He, H.; Sun, F. Critical review on the battery state of charge estimation methods for electric vehicles. IEEE Access 2017, 6, 1832–1843. [Google Scholar] [CrossRef]
- Clemente, A.; Cecilia, A.; Costa-Castelló, R. SOC and diffusion rate estimation in redox flow batteries: An I&I-based high-gain observer approach. In Proceedings of the 2021 European Control Conference (ECC), Virtual, 29 June–2 July 2021; pp. 1640–1644. [Google Scholar] [CrossRef]
- Bouchareb, H.; Saqli, K.; M’Sirdi, N.K.; Oudghiri, M. Observer Design for SOC Estimation of Li-ion Batteries Based on Electro-Thermal Coupled Model. In Proceedings of the 2021 9th International Renewable and Sustainable Energy Conference (IRSEC), Virtual, 23–27 November 2021; pp. 1–6. [Google Scholar] [CrossRef]
- Saeed, M.; Khalatbarisoltani, A.; Deng, Z.; Liu, W.; Altaf, F.; Lu, S.; Hu, X. Comparative Analysis of Control Observer-Based Methods for State Estimation of Lithium-Ion Batteries in Practical Scenarios. IEEE/ASME Trans. Mechatronics 2024, 30, 1–13. [Google Scholar] [CrossRef]
- Gholizadeh, M.; Yazdizadeh, A.; Rahmati, M.; Aliabadi, A. SOC estimation for a lithium-ion battery by designing a nonlinear observer based on an equivalent circuit model. In Proceedings of the 2017 IEEE 15th International Conference on Industrial Informatics (INDIN), Emden, Germany, 24–26 July 2017; pp. 628–632. [Google Scholar] [CrossRef]
- Hu, X.; Sun, F.; Zou, Y. Estimation of state of charge of a lithium-ion battery pack for electric vehicles using an adaptive Luenberger observer. Energies 2010, 3, 1586–1603. [Google Scholar] [CrossRef]
- Lagraoui, M.; Doubabi, S.; Rachid, A. SOC estimation of Lithium-ion battery using Kalman filter and Luenberger observer: A comparative study. In Proceedings of the 2014 International renewable and sustainable energy conference (IRSEC), Ouarzazate, Morocco, 17–19 October 2014; IEEE: Piscataway, NJ, USA, 2014; pp. 636–641. [Google Scholar]
- Wei, J.; Dong, G.; Chen, Z. On-board adaptive model for state of charge estimation of lithium-ion batteries based on Kalman filter with proportional integral-based error adjustment. J. Power Sources 2017, 365, 308–319. [Google Scholar] [CrossRef]
- Korkmaz, M. SoC estimation of lithium-ion batteries based on machine learning techniques: A filtered approach. J. Energy Storage 2023, 72, 108268. [Google Scholar] [CrossRef]
- Chandran, V.; Patil, C.K.; Karthick, A.; Ganeshaperumal, D.; Rahim, R.; Ghosh, A. State of charge estimation of lithium-ion battery for electric vehicles using machine learning algorithms. World Electr. Veh. J. 2021, 12, 38. [Google Scholar] [CrossRef]
- Liu, F.; Liu, T.; Fu, Y. An improved SoC estimation algorithm based on artificial neural network. In Proceedings of the 2015 8th International Symposium on Computational Intelligence and Design (ISCID), Hangzhou, China, 12–13 December 2015; IEEE: Piscataway, NJ, USA, 2015; Volume 2, pp. 152–155. [Google Scholar]
- Center for Advanced Life Cycle Engineering CALCE Battery Data. 2016. Available online: https://calce.umd.edu/battery-data (accessed on 1 March 2025).
- Zou, Z.; Xu, J.; Mi, C.; Cao, B.; Chen, Z. Evaluation of model based state of charge estimation methods for lithium-ion batteries. Energies 2014, 7, 5065–5082. [Google Scholar] [CrossRef]
- Huang, H.; Zhang, Z.; Guo, C.; Ge, L. SOC Estimation of Lithium Battery Based on Extended Kalman Filter Optimized by Recurrent Neural Network. In Proceedings of the 2022 China International Conference on Electricity Distribution (CICED), Changsha, China, 7–8 September 2022; IEEE: Piscataway, NJ, USA, 2022; pp. 41–46. [Google Scholar]
- Hussein, A.A.; Salih, S.S.; Ghasm, Y.G. Implementation of proportional-integral-observer techniques for load frequency control of power system. Procedia Comput. Sci. 2017, 109, 754–762. [Google Scholar] [CrossRef]
- Kim, I.S. The novel state of charge estimation method for lithium battery using sliding mode observer. J. Power Sources 2006, 163, 584–590. [Google Scholar] [CrossRef]
- Chaoui, H.; Sicard, P. Accurate state of charge (SOC) estimation for batteries using a reduced-order observer. In Proceedings of the 2011 IEEE International Conference on Industrial Technology, Auburn, AL, USA, 14–16 March 2011; pp. 39–43. [Google Scholar] [CrossRef]
- Xu, J.; Mi, C.C.; Cao, B.; Deng, J.; Chen, Z.; Li, S. The state of charge estimation of lithium-ion batteries based on a proportional-integral observer. IEEE Trans. Veh. Technol. 2013, 63, 1614–1621. [Google Scholar] [CrossRef]
- Baccouche, I.; Jemmali, S.; Manai, B.; Omar, N.; Essoukri Ben Amara, N. Improved OCV model of a Li-ion NMC battery for online SOC estimation using the extended Kalman filter. Energies 2017, 10, 764. [Google Scholar] [CrossRef]
- Zhao, T.; Jiang, J.; Zhang, C.; Zheng, L.; Wen, F. Error analysis of SOC estimation based on PI observer. In Proceedings of the 2014 IEEE Conference and Expo Transportation Electrification Asia-Pacific (ITEC Asia-Pacific), Beijing, China, 31 August–3 September 2014; pp. 1–5. [Google Scholar] [CrossRef]
- Matlab, M. Machine Learning—Matlab Tools. 2025. Available online: https://it.mathworks.com/solutions/machine-learning.html (accessed on 22 March 2025).
- iLMeteo s.r.l. Archivio Meteo Storico. 2025. Available online: https://www.ilmeteo.it/portale/archivio-meteo (accessed on 14 April 2025).
- Jawaad, H.M.; Saeed, M.; Malik, A.N.; Khalatbarisoltani, A.; Elahi, H.; Khan, U.S. Physics-Informed Machine Learning for State of Charge Estimation of Lithium-Ion Batteries. In Proceedings of the 2024 International Conference on Robotics and Automation in Industry (ICRAI), Nagoya, Japan, 19–21 December 2024; pp. 1–6. [Google Scholar] [CrossRef]
- Cheng Lam, D.H.; Seng Lim, Y.; Hau, L.C.; Wong, J. Long Short-Term Memory Recurrent Neural Network for Estimating State of Charge of Energy Storage System for Grid Services. In Proceedings of the 2022 4th International Conference on Smart Power & Internet Energy Systems (SPIES), Beijing, China, 27–30 October 2022; pp. 1887–1894. [Google Scholar] [CrossRef]
- Reza, M.; Mannan, M.; Mansor, M.; Ker, P.J.; Mahlia, T.I.; Hannan, M. Recent advancement of remaining useful life prediction of lithium-ion battery in electric vehicle applications: A review of modelling mechanisms, network configurations, factors, and outstanding issues. Energy Rep. 2024, 11, 4824–4848. [Google Scholar] [CrossRef]
- Rauf, H.; Khalid, M.; Arshad, N. Machine learning in state of health and remaining useful life estimation: Theoretical and technological development in battery degradation modelling. Renew. Sustain. Energy Rev. 2022, 156, 111903. [Google Scholar] [CrossRef]
- Saxena, S.; Xing, Y.; Kwon, D.; Pecht, M. Accelerated degradation model for C-rate loading of lithium-ion batteries. Int. J. Electr. Power Energy Syst. 2019, 107, 438–445. [Google Scholar] [CrossRef]
- Qu, J.; Jiang, Z.; Zhang, J. Investigation on lithium-ion battery degradation induced by combined effect of current rate and operating temperature during fast charging. J. Energy Storage 2022, 52, 104811. [Google Scholar] [CrossRef]
- Yüksek, G.; Alkaya, A. Effect of the Depth of Discharge and C-Rate on Battery Degradation and Cycle Life. In Proceedings of the 2023 14th International Conference on Electrical and Electronics Engineering (ELECO), Bursa, Turkey, 30 November–2 December 2023; IEEE: Piscataway, NJ, USA, 2023; pp. 1–5. [Google Scholar]
- Guo, Z.; Chen, Z. Aging property for LiFePO4/graphite cell with different temperature and DODs. Russ. J. Electrochem. 2016, 52, 546–554. [Google Scholar] [CrossRef]










| Model Number | ML Model | Type |
|---|---|---|
| 2.1 | Linear Regression | Linear |
| 2.2 | Linear Regression | Interaction linear |
| 2.4 | Linear Regression | Stepwise linear |
| 2.5 | Tree | Fine |
| 2.6 | Tree | Medium |
| 2.7 | Tree | Coarse |
| 2.10 | SVM | Cubic |
| 2.11 | SVM | Fine Gaussian |
| 2.12 | SVM | Medium Gaussian |
| 2.13 | SVM | Coarse Gaussian |
| 2.16 | Ensemble | Boosted tree |
| 2.17 | SVM | Bagged tree |
| 2.18 | Gaussian Process Regression | Squared exponential |
| 2.19 | Gaussian Process Regression | Matern 5/2 |
| 2.20 | Gaussian Process Regression | Exponential |
| 2.21 | Gaussian Process Regression | Rational quadratic |
| 2.22 | Neural Network | Narrow-layered |
| 2.23 | Neural Network | Medium-layered |
| 2.24 | Neural Network | Wide-layered |
| 2.25 | Neural Network | Bilayered |
| 2.26 | Neural Network | Trilayered |
| 2.28 | Kernel | Least square regression |
| Model Preset | Min. Leaf Size | Surrogate Decision Splits |
|---|---|---|
| Fine Tree | 4 | Off |
| Medium Tree | 12 | Off |
| Coarse Tree | 36 | Off |
| Model Preset | Min. Leaf Size | Learners | Learning Rate |
|---|---|---|---|
| Boosted | 8 | 30 | 0.1 |
| Bagged | 12 | 30 | - |
| Model Preset | No. of Layers | Layer Size | Activation Function |
|---|---|---|---|
| Narrow | 1 | 10 | ReLU |
| Medium | 1 | 25 | ReLU |
| Wide | 1 | 100 | ReLU |
| Bilayered | 2 | 10 | ReLU |
| Trilayered | 3 | 10 | ReLU |
| Line | Val. RMSE | Test RMSE |
|---|---|---|
| L02C 10m | 0.09848 | 0.99129 |
| L02C 8m | 0.05555 | 1.4655 |
| L01C | L02C 10m | L02C 8m | L79B | |
|---|---|---|---|---|
| Whole dataset | 2.0502 | 0.89979 | 0.13472 | 3.0099 |
| Cleaned dataset | 1.6662 | 0.73546 | 0.13629 | 0.60018 |
| Acceleration dataset | 1.1161 | 0.57974 | 0.10299 | 0.45739 |
| Weather dataset | 0.28177 | 0.16704 | 0.04861 | 0.11049 |
Disclaimer/Publisher’s Note: The statements, opinions and data contained in all publications are solely those of the individual author(s) and contributor(s) and not of MDPI and/or the editor(s). MDPI and/or the editor(s) disclaim responsibility for any injury to people or property resulting from any ideas, methods, instructions or products referred to in the content. |
© 2025 by the authors. Licensee MDPI, Basel, Switzerland. This article is an open access article distributed under the terms and conditions of the Creative Commons Attribution (CC BY) license (https://creativecommons.org/licenses/by/4.0/).
Share and Cite
Volturno, S.; Di Martino, A.; Longo, M. Machine Learning-Based State-of-Charge Prediction for Electric Bus Fleet: A Critical Analysis. Electronics 2025, 14, 4147. https://doi.org/10.3390/electronics14214147
Volturno S, Di Martino A, Longo M. Machine Learning-Based State-of-Charge Prediction for Electric Bus Fleet: A Critical Analysis. Electronics. 2025; 14(21):4147. https://doi.org/10.3390/electronics14214147
Chicago/Turabian StyleVolturno, Simone, Andrea Di Martino, and Michela Longo. 2025. "Machine Learning-Based State-of-Charge Prediction for Electric Bus Fleet: A Critical Analysis" Electronics 14, no. 21: 4147. https://doi.org/10.3390/electronics14214147
APA StyleVolturno, S., Di Martino, A., & Longo, M. (2025). Machine Learning-Based State-of-Charge Prediction for Electric Bus Fleet: A Critical Analysis. Electronics, 14(21), 4147. https://doi.org/10.3390/electronics14214147

