Enhancing Substation Protection Reliability Through Economical Redundancy Schemes
Abstract
1. Introduction
2. Reliability Analysis and Proposed Scheme
2.1. Fault Tree Analysis
2.2. Redundancy with IEC 61850
2.3. Fault Tree Analysis for a System with No Redundancy
2.4. Fault Tree Analysis for Proposed Redundancy
3. Modeling and Simulation
3.1. RTDS Model and Testbed
3.2. Case Study
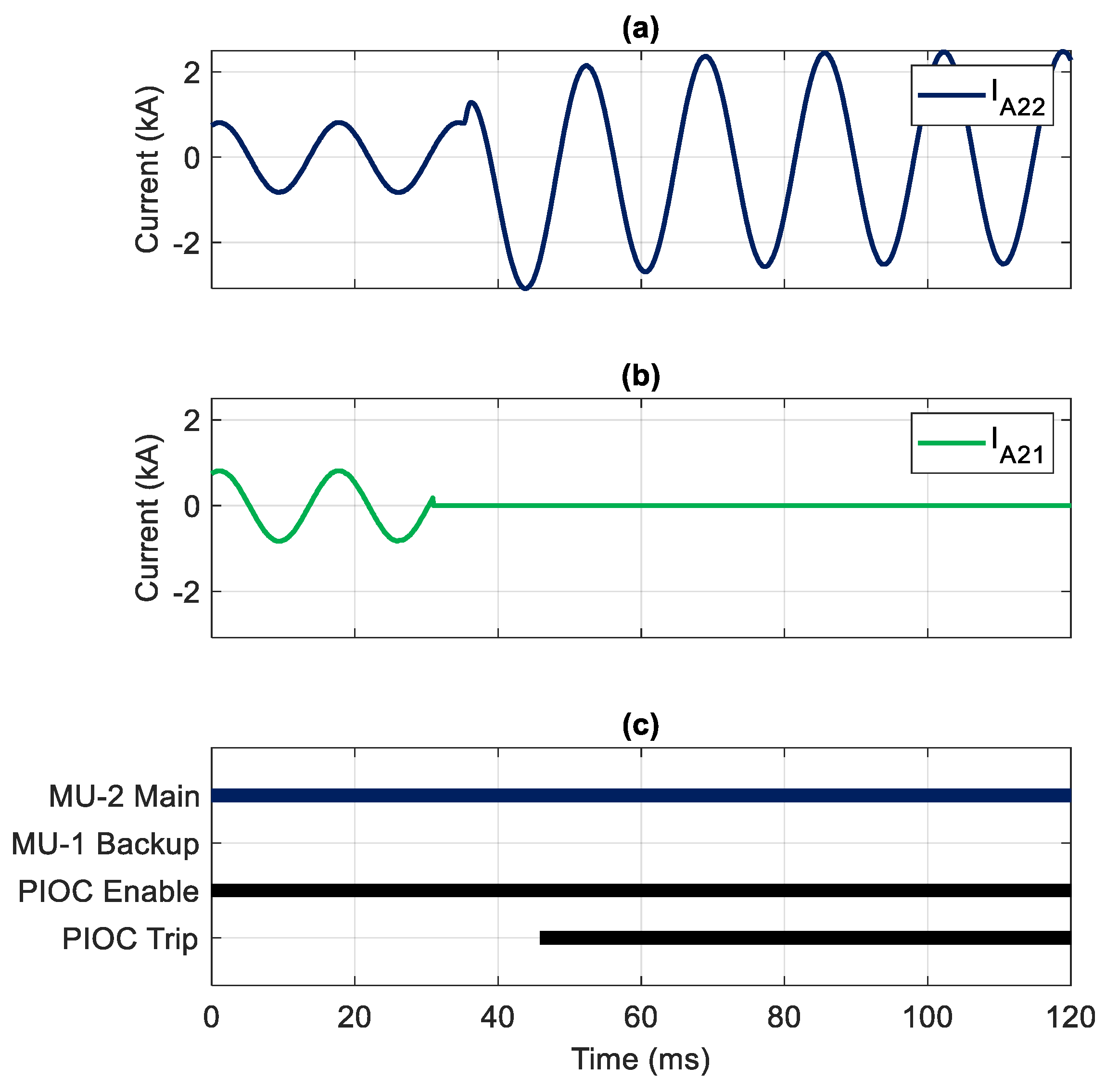
4. Results and Discussion
5. Conclusions
Funding
Data Availability Statement
Acknowledgments
Conflicts of Interest
Abbreviations
| CB | Circuit Breaker |
| COMTRADE | Common Format for Transient Data Exchange |
| CT | Current Transformer |
| DC | Direct Current |
| DFTA | Dynamic Fault Tree Analysis |
| FFTA | Fuzzy Fault Tree Analysis |
| FTA | Fault Tree Analysis |
| FW | Firmware |
| GOOSE | Generic Object-Oriented Substation Event |
| GTAO | Gigabit Transceiver Analog Output |
| GTFPI | Gigabit-Transceiver Front Panel Interface |
| HIL | Hardware-in-the-Loop |
| HW | Hardware |
| IA | Current (phase designation in RTDS simulation) |
| IEC | International Electrotechnical Commission |
| IED | Intelligent Electronic Device |
| KLOC | Thousands of Lines of Code |
| MIL-HDBK-217F | U.S. Department of Defense Military Handbook |
| MU | Merging Unit |
| MTBF | Mean Time Between Failures |
| NERC | North American Electric Reliability Corporation |
| PDIF | Bus Bar Differential Element |
| PIOC | Instantaneous Overcurrent Element |
| PTP | Precision Time Protocol |
| RTDS | Real-Time Digital Simulator |
| SFTA | Static Fault Tree Analysis |
| SLG | Single Line-to-Ground (fault) |
| SV | Sampled Values |
| VT | Voltage Transformer |
| WECC | Western Electricity Coordinating Council |
References
- Kasztenny, B.; Hunt, R.; Vaziri, M. Protection and Control Redundancy Considerations in Medium Voltage Distribution Systems. In Proceedings of the 2007 60th Annual Conference for Protective Relay Engineers, College Station, TX, USA, 27–29 March 2007. [Google Scholar]
- North American Electric Reliability Corporation (NERC). Available online: https://www.nerc.com/ (accessed on 6 August 2024).
- Western Electricity Coordinating Council (WECC). Available online: https://www.wecc.org/ (accessed on 6 August 2024).
- Saleh, A.; Harris, R.B. Application of the Fault Tree Analysis for Assessment of Power System Reliability. Int. J. Electr. Power Energy Syst. 2015, 67, 613–626. [Google Scholar] [CrossRef]
- Pan, K.; Liu, H.; Gou, X.; Huang, R.; Ye, D.; Wang, H.; Glowacz, A.; Kong, J. Towards a Systematic Description of Fault Tree Analysis Studies Using Informetric Mapping. Sustainability 2022, 14, 11430. [Google Scholar] [CrossRef]
- Andrews, J.; Dunnett, T. Fault Tree Analysis: A Survey of the State-of-the-Art in Modeling, Analysis, and Tools. Reliab. Eng. Syst. Saf. 2009, 94, 503–508. [Google Scholar] [CrossRef]
- International Electrotechnical Commission (IEC). Communication Networks and Systems for Power Utility Automation—All Parts; IEC 61850:2025 SER; IEC: Geneva, Switzerland, 2025; Available online: https://webstore.iec.ch/en/publication/6028 (accessed on 18 October 2025).
- Mackiewicz, R.E. Overview of IEC 61850 and benefits. In Proceedings of the IEEE Power Engineering Society General Meeting, Montreal, QC, Canada, 18–22 June 2006. [Google Scholar]
- Apostolov, A. IEC 61850-based bus protection—Principles and benefits. In Proceedings of the IEEE Power & Energy Society General Meeting, Calgary, AB, Canada, 26–30 July 2009. [Google Scholar]
- Scheer, G.; Dolezilek, D. Comparing the Reliability of Ethernet Network Topologies in Substation Control and Monitoring Networks. In Proceedings of the 2nd Annual Western Power Delivery Automation Conference, Spokane, WA, USA, 27–30 July 2000. [Google Scholar]
- Kanabar, M.G.; Sidhu, T.S. Performance of IEC 61850-9-2 Process Bus and Corrective Measure for Digital Relaying. IEEE Trans. Power Deliv. 2011, 26, 725–735. [Google Scholar] [CrossRef]
- Lim, I.; Sidhu, T.S. Design of a Backup IED for IEC 61850-Based Substation. IEEE Trans. Power Deliv. 2013, 28, 2048–2055. [Google Scholar] [CrossRef]
- García-Gracia, M.; Borroy, S.; de Urtasun, L.G.; Comech, M. Novel protection scheme based on IEC61850. Electr. Power Syst. Res. 2011, 81, 2178–2187. [Google Scholar] [CrossRef]
- Chawla, A.; Aftab, M.A.; Hussain, S.S.; Panigrahi, B.; Ustun, T.S. Cyber–physical testbed for Wide Area Measurement System employing IEC 61850 and IEEE C37.118 based communication. Energy Rep. 2022, 8 (Suppl. S10), 570–578. [Google Scholar] [CrossRef]
- Ahmad, S.; Asar, A.U. Reliability Enhancement of Electric Distribution Network Using Optimal Placement of Distributed Generation. Sustainability 2021, 13, 11407. [Google Scholar] [CrossRef]
- Kumar, S.; Abu-Siada, A.; Das, N.; Islam, S. Toward a Substation Automation System Based on IEC 61850. Electronics 2021, 10, 310. [Google Scholar] [CrossRef]
- Cai, Y.; Chen, Y.; Li, Y.; Cao, Y.; Zeng, X. Reliability Analysis of Cyber-Physical Systems: Case of the Substation Based on the IEC 61850 Standard in China. Energies 2018, 11, 2589. [Google Scholar] [CrossRef]
- Schweitzer, E.; Fleming, B.; Lee, T.; Anderson, P. Reliability Analysis of Transmission Protection Using Fault Tree Methods. In Proceedings of the Western Protective Relay Conference, Spokane, WA, USA, 21–23 October 1997. [Google Scholar]
- Anderson, P.M.; Henville, C.; Rifaat, R.; Johnson, B.; Meliopoulos, S. (Eds.) Fault Tree Analysis of Protective Systems. In Power System Protection; Wiley: Hoboken, NJ, USA, 2022; pp. 1261–1310. [Google Scholar] [CrossRef]
- Chen, Y. Risk Assessment of Rail Transit System with Photovoltaic and Energy Storage Based on Operation Characteristics. CSEE J. Power Energy Syst. 2020, 6, 750–759. [Google Scholar] [CrossRef]
- Shooman, M.L. An Overview of Fault Tree Analysis and Its Application in Model-Based Approaches. Reliab. Eng. Syst. Saf. 2009, 94, 677–698. [Google Scholar] [CrossRef]
- Schweitzer, E.O., III; Whitehead, D.E. Resetting Protection System Complexity. In Proceedings of the Western Protective Relay Conference, Spokane, WA, USA, 21–24 October 2019. [Google Scholar]
- Byerly, J.; Thakur, M.; Hostetler, J.; Burger, C.; Wenke, S. Distribution Digital Substation—Consolidated Protection and Digital Secondary Systems. In Proceedings of the Western Protective Relay Conference, Spokane, WA, USA, 9–12 October 2023. [Google Scholar]
- Silos, Á.; Señís, A.; De Pozuelo, R.M.; Zaballos, A. Using IEC 61850 GOOSE Service for Adaptive ANSI 67/67N Protection in Ring Main Systems with Distributed Energy Resources. Energies 2017, 10, 1685. [Google Scholar] [CrossRef]
- Oens, M.; Lange, C. Improvements in Feeder Protection Providing a Primary and Backup Relay System Utilizing One Relay per Feeder. In Proceedings of the 33rd Annual Western Protective Relay Conference, Spokane, WA, USA, 17–19 October 2006. [Google Scholar]
- Kim, M.-S.; Kang, S.-H. Centralized Multiple Back-Up Protection Scheme with Sharing Data between Adjacent Substations Based on IEC 61850. Energies 2022, 15, 4195. [Google Scholar] [CrossRef]
- Chen, X.; Jin, L. Study on Reliability of PACSs with Integrated Consideration of Both Basic and Mission Reliability. Energies 2024, 17, 365. [Google Scholar] [CrossRef]
- Wang, L.; Xie, L.; Yang, Y.; Zhang, Y.; Wang, K.; Cheng, S.-J. Distributed Online Voltage Control with Fast PV Power Fluctuations and Imperfect Communication. IEEE Trans. Smart Grid 2023, 14, 3681–3695. [Google Scholar] [CrossRef]
- Real-Time Digital Simulator (RTDS). Available online: https://www.rtds.com/ (accessed on 6 August 2024).
- SEL-401 Protection, Automation, and Control Merging Unit. Available online: https://selinc.com/products/401/ (accessed on 6 August 2024).
- SEL-451 Protection, Automation, and Bay Control System. Available online: https://selinc.com/products/451/ (accessed on 6 August 2024).
- SEL-487B Bus Differential and Breaker Failure Relay. Available online: https://selinc.com/products/487B/ (accessed on 6 August 2024).



















| Component | KLOC | Unavailability × 10−6 |
|---|---|---|
| Relay hardware | - | 100 |
| Relay firmware | 800 | 282 |
| Merging unit hardware | - | 100 |
| Merging unit firmware | 500 | 232 |
| DC Power System | - | 50 |
| Circuit breaker | - | 300 |
| Current transformer (three-phase) | - | 30 |
| Fiber channel | - | 100 |
| Clock hardware | - | 100 |
| Clock firmware | 4000 | 632 |
| Switch hardware | - | 100 |
| Switch firmware | 4000 | 632 |
| System | No Redundancy Unavailability × 10−6 | Proposed Redundancy Unavailability × 10−6 | Unavailability Reduced by |
|---|---|---|---|
| Feeder | 1094 | 732.1111 | 33% |
| Bus | 1456 | 732.1138 | 49% |
| Feeder and communication | 2658 | 2294.1111 | 13% |
| Bus and communication | 3020 | 2294.1138 | 24% |
| Relay | Main Source | Alternative Source |
|---|---|---|
| Relay-1—Feeder 1 | MU-1 (IA11) | MU-3 (IA13) |
| Relay-2—Feeder 2 | MU-2 (IA22) | MU-1 (IA21) |
| Relay-3—Feeder 3 | MU-3 (IA33) | MU-2 (IA32) |
| Relay-B—Feeder 1 | MU-3 (IA13) | MU-1 (IA11) |
| Relay-B—Feeder 2 | MU-1 (IA21) | MU-2 (IA22) |
| Relay-B—Feeder 3 | MU-2 (IA32) | MU-3 (IA33) |
Disclaimer/Publisher’s Note: The statements, opinions and data contained in all publications are solely those of the individual author(s) and contributor(s) and not of MDPI and/or the editor(s). MDPI and/or the editor(s) disclaim responsibility for any injury to people or property resulting from any ideas, methods, instructions or products referred to in the content. |
© 2025 by the author. Licensee MDPI, Basel, Switzerland. This article is an open access article distributed under the terms and conditions of the Creative Commons Attribution (CC BY) license (https://creativecommons.org/licenses/by/4.0/).
Share and Cite
Samkari, H.S. Enhancing Substation Protection Reliability Through Economical Redundancy Schemes. Electronics 2025, 14, 4097. https://doi.org/10.3390/electronics14204097
Samkari HS. Enhancing Substation Protection Reliability Through Economical Redundancy Schemes. Electronics. 2025; 14(20):4097. https://doi.org/10.3390/electronics14204097
Chicago/Turabian StyleSamkari, Husam S. 2025. "Enhancing Substation Protection Reliability Through Economical Redundancy Schemes" Electronics 14, no. 20: 4097. https://doi.org/10.3390/electronics14204097
APA StyleSamkari, H. S. (2025). Enhancing Substation Protection Reliability Through Economical Redundancy Schemes. Electronics, 14(20), 4097. https://doi.org/10.3390/electronics14204097
