You are currently viewing a new version of our website. To view the old version click .
Electronics
  • Article
  • Open Access

14 January 2025

Analysis and Applications of Magnetically Coupled Resonant Circuits

,
and
Department of Electrical, Electronic, Computer and Control Engineering, Lodz University of Technology, Stefanowskiego 18, 90-537 Łódź, Poland
*
Author to whom correspondence should be addressed.
This article belongs to the Section Industrial Electronics

Abstract

Magnetically coupled resonant circuits have been utilized in radio engineering for many years. Recently, these circuits have found new applications, particularly in supplying low- and medium-power devices through medium-range wireless power transmission technology based on magnetic resonance coupling. There is also a growing need to analyze magnetically coupled resonant circuits in the design of metamaterials, which exhibit specific electromagnetic properties within certain frequency bands. This paper provides a coherent and concise overview of the phenomena associated with magnetically coupled resonant circuits. The results encompass numerous established relations as well as new ones. They can be helpful in the design phase of magnetically coupled resonant circuits. The outcomes include equations for determining the coupling resonant frequencies and some parameters of resonance curves. These analytical results are accompanied by 3D and cross-sectional (contour) graphs for better visualization. Moreover, a lumped-element circuit model that includes magnetically coupled resonant circuits is proposed for the resonators used in metamaterials. Formulas for resonant frequencies are derived in the specific case of exciting such resonators. To validate the accuracy of the derived equations, the analytical results are compared with simulations from SPICE (IsSPICE4 ver. 8.1) and COMSOL 5.4 software, which are widely used tools for circuit analysis and electromagnetic simulations. The results of these comparative analyses indicate that the assumptions employed in the analytical solutions introduce only tiny errors.

1. Introduction

Resonant circuits play an important role in radio engineering [1,2,3,4]. In addition to single resonant circuits, coupled resonant circuits are widely used. Two circuits are called coupled when the resonant oscillations occurring in one circuit affect the resonant oscillations in the other circuit. Using such circuits makes it possible to develop resonant characteristics with parameters that are impossible or difficult to achieve in circuits without coupling [1,2,3,4,5]. The most common circuits consist of two magnetically coupled circuits; one of the circuits to which the power supply is connected is called the primary circuit, and one circuit coupled to it is called the secondary circuit. When two resonant circuits at the same frequency are coupled, the resulting behavior depends heavily on the coupling. If the coupling coefficient is small, the curve in the primary current as a function of frequency is close to the curve corresponding to the characteristics of the current in the primary circuit only. The current in the secondary circuit is small in this case and varies with frequency according to a curve with a shape close to the product of the resonance curves of the primary and secondary circuits considered separately [4]. With further increased coupling, the double humps in the primary current curve become more prominent, and the peaks spread further apart. The secondary current curve starts to show double humps, with the peaks becoming more pronounced and further apart as the coupling ratio increases. When the frequencies of the primary and secondary circuits are slightly different and the circuits are coupled, the behavior depends on the coupling coefficient and the Q-factors of both circuits [4,5].
Recently, the interest in using coupled resonant circuits has increased. These circuits have found new applications, particularly in powering low- and medium-power devices via wireless technology [6,7,8,9,10,11,12,13,14,15,16,17,18,19], modeling metamaterials [20,21,22,23,24,25,26,27], using the resonators coupled to transmission lines fabricated in planar technology [28,29,30,31,32], active implantable medical devices [33], designing RF and microwave filters [34,35], antennas [22,36,37], radio frequency identification devices [38], and the fabrication of sensors using resonators [39,40,41,42,43].
Inductive power has been a reliable and straightforward method for wireless power transfer (WPT) over short distances [44]. The concept of wireless energy transfer is attributed to Nikola Tesla, who published two patents for wireless power transmission in 1900 and 1914 [18]. Short-distance power and charging systems are commercially available and have been used to power electric vehicles, implantable medical devices, and consumer electronics [6,12]. The crucial advantages of these systems are that they eliminate power cables, can charge multiple devices simultaneously, and have a wide power range [6]. Recently, there has been a strong interest in efficient wireless power transfer to power and charge personal electronic devices. The challenges include extending the range and improving the power transfer efficiency [12]. Research has led to the development of magnetically coupled resonant wireless power transfer (MCR WPT) systems [6,7,8,9,10,12,13,14,15,16,17,18,19,33]. Inductive coupling between low-loss resonant circuits has been shown to transmit significant power with high efficiency over distances of several times the radius of the transmitting coil [12]. Suppose resonance occurs in both the primary and secondary circuits. In that case, power can be transmitted with low losses, even when the secondary coil links only a relatively small part of the magnetic field induced by the primary coil [7]. In the MCR WPT system, inserting additional intermediate coils effectively improves the transmission characteristics, including output power and efficiency, when the transmission distance is increased [8,9]. During the operation of the system, changes in the operating frequency may occur due to system control and different distances between the coils [15]. Research is also being conducted in wireless power transfer to use resonant electrical coupling systems as an alternative to resonant magnetic coupling ones [10].
Since the beginning of the 21st century, there has been a growing interest in designing artificial structures known as metamaterials [21,22,23,24,25,26,27,28,29,30,31,32,37,38,39,40,41,42,43,45,46]. Metamaterials are artificially designed materials that exhibit properties that do not exist in nature. They consist of periodic arrays of resonant metallic elements, with the size of each resonant cell being significantly smaller than the wavelength of the electromagnetic waves they interact with [26]. The unique electromagnetic properties of metamaterials are observed within specific frequency bands. There exist different shapes of the individual elements forming metamaterials [24,26]. One of the earliest units in electromagnetics was the split-ring resonator, which Pendry and Smith introduced. The split-ring resonator (SRR) has become the workhorse of metamaterials research. The resonant frequencies in metamaterials depend on various factors, including the size, shape, and dielectric properties of the metal, as well as the dielectric properties of the surrounding environment. The inductive coupling between two magnetic dipoles is crucial in shaping the resonance characteristics [24]. To accurately reproduce the most significant features of wave propagation in metamaterials, it is often sufficient to consider the coupling to the nearest neighboring resonators. If higher accuracy is required, coupling between more distant resonators must also be considered [25,26]. An incident plane wave or separate voltage sources can excite the metamaterial. Based on the relationship between the element size and the wavelength, resonators can be modeled as LC circuits. When two resonators are situated close together, they become magnetically coupled. This form of coupling results in magneto-inductive waves [25]. Studies have shown that the coupling between two SRRs can be influenced by their relative position and orientation, with the coupling being dominated either by electrical or magnetic interactions [23,27,37]. Electrical coupling becomes significant when the resonators are very close to each other and oriented in a specific manner. Furthermore, both electrical and magnetic coupling coefficients can be complex due to retardation effects. A review article [38] discusses the classification of metamaterials and their applications, particularly in radio frequency identification antennas and devices. Resonator arrays that support electro- and magneto-inductive waves at short wavelengths show potential for developing super-directional antennas. A theoretical model was proposed to explain the radiation properties of small SRR-coupled dimers, assuming one resonator is excited [37]. Many studies focus on using SRRs and complementary SRRs in planar structures, where resonators are connected to transmission lines to achieve desired characteristics [22,28,29,30,31,32]. In [40], a tool for modeling, designing, and manufacturing sensors using resonators was developed. The possibility of realizing devices for glucose measurement, cancer stage detection, water content recognition, and blood oxygen level analysis is demonstrated. Paper [42] discusses applications of metamaterial sensors in medical diagnostics, detection of biomolecules, viruses, bacteria, fungi, etc. The sensors can be easily adapted to the desired mode of operation as the geometry of the metamaterial sensor determines the detection characteristics. A comprehensive review of sensors operating in the terahertz band using resonators of different geometries, dimensions, and materials is provided in [43]. The authors identify possible medical and security applications. Three different types of biochemical absorption sensors using metasurfaces, all-dielectric, all-metallic, and hybrid, are discussed in [39]. Paper [41] provides the classification of biosensors related to metamaterials and metasurfaces. The main criterion for classification was the frequency domain of operation. It was shown that the differences in biosensor applications at different frequencies are mainly due to unique interaction mechanisms and properties in specific frequency ranges.
Coupled resonant circuits are particularly relevant to the design of narrow-band RF and microwave filters [34,35]. The works discuss a general technique for the design of coupled resonator filters. This technique can be used to design waveguide filters, dielectric resonator filters, ceramic comb filters, microstrip filters, and superconducting filters.
The literature review highlights that resonant magnetically coupled circuits play a crucial role in many applications and are present during the modeling phase of specific structures. Therefore, a mathematical description of these systems is essential for determining the key parameters that influence the characteristics of resonant circuits. The magnetically coupled resonant loops can be analyzed using coupled mode theory or an equivalent model that incorporates these circuits [14]. In [34,35], a general coupling matrix and a comprehensive approach to coupling asynchronously tuned microwave resonators are introduced. Formulas are developed to calculate the coupling coefficients based on four characteristic frequencies, which can be easily obtained through numerical or experimental methods. In [20], an original representation of the coupling coefficient of resonators using an integral of the overlap of the electric field and the magnetic field is proposed to explain the physical aspects of coupling. While theoretical considerations often involve simplifying assumptions, these assumptions must not significantly impact the results. Resonant circuits are often considered LC resonant tanks [28,29,30,31,32]. The parameters of models are usually determined by geometry and material properties. Some parameters can be found using full-wave simulation [30]. In some cases, it is crucial to identify selected coupled circuit parameters from measurements of the coupling frequency or the frequency at which circuit currents reach their peaks. Identification of these parameters enables correct modeling of the structure under study.
The paper addresses issues related to the analysis of magnetically coupled resonant circuits. Section 2 provides a clear and concise overview of these circuits, which include a classical primary circuit and a secondary circuit. A voltage source serves as the power supply for the primary circuit. The configuration is commonly used in RF engineering, filters, specific SRR applications, and MCR WPT systems. Section 3 discusses some aspects of modeling SRRs, mainly how excitation influences the resonators. In this scenario, a voltage source is incorporated into each resonant circuit. Section 4 presents the results of the simulations and analytical calculations based on the formulas introduced in Section 2 and Section 3. This section also includes some comparisons and a discussion of the findings. The last section summarizes the conclusions of the study.

2. Magnetically Coupled Resonant Circuits—Standard Case

2.1. Fundamental Relationships

The circuit depicted in Figure 1 (see [1,2,4,5,13,18,36]) consists of two linear resonant circuits. The coils in the circuit are magnetically coupled. A variable-frequency sinusoidal waveform generator supplies the first resonant circuit. Since the circuit operates linearly, the phasor method is used for analysis. The starting point for the analysis is Kirchhoff’s laws, which are applied to both the primary and secondary circuits. These laws take the following form:
E = R 1 I 1 + j ω L 1 I 1 j 1 ω C 1 I 1 + j ω M I 2 ,
0 = R 2 I 2 + j ω L 2 I 2 j 1 ω C 2 I 2 + j ω M I 1 .
Figure 1. Schematic diagram of two magnetically coupled resonant circuits with mutual inductance M. The configuration is used to analyze coupling effects in wireless power transfer and RF and microwave filters.
Let X 1 = ω L 1 1 ω C 1 and X 2 = ω L 2 1 ω C 2 denote the reactance of the primary and secondary circuits, and let Z 1 = R 1 + j X 1 and Z 2 = R 2 + j X 2 be the impedances of these circuits. By calculating the current I 2 from Equation (2) and substituting it into Equation (1), one obtains after rearrangements [1]
E = R 1 + j X 1 + ω 2 M 2 R 2 | Z 2 | 2 j ω 2 M 2 X 2 | Z 2 | 2 I 1 .
Let
Z 1 = R 1 + j X 1 + ω 2 M 2 R 2 | Z 2 | 2 j ω 2 M 2 X 2 | Z 2 | 2 = R 1 + j X 1 .
denote the equivalent impedance of the primary circuit considering the effect of the secondary circuit on it. The equivalent resistance R 1 is expressed as R 1 = R 1 + R 1 ^ , where R 1 ^ = ω 2 M 2 R 2 | Z 2 | 2 represents the additional resistance introduced by the secondary circuit into the primary circuit ( R 1 > R 1 ). The equivalent reactance X 1 is provided by X 1 = X 1 + X 1 ^ , where X 1 ^ = ω 2 M 2 X 2 | Z 2 | 2 indicates the reactance contribution from the secondary circuit to the primary circuit. Depending on the frequency of the generator, the relationship holds that X 1 < X 1 or X 1 > X 1 . Similar terminology is used for the secondary circuit, where the equivalent resistance R 2 = R 2 + R 2 ^ and the equivalent reactance X 2 = X 2 + X 2 ^ are defined.

2.2. Resonance in Coupled Circuits

When the parameters of the coupled circuits are altered or the frequency of the generator signal changes, different resonant frequencies may arise in the primary circuit, the secondary circuit, or both simultaneously [1,2]. Resonance can occur in the equivalent circuit of the primary circuit when the condition X 1 = 0 is met. If this condition is fulfilled, a phenomenon known as first partial resonance is present in the coupled circuit system. Similarly, resonance can occur in the equivalent circuit of the secondary circuit when X 2 = 0 , referred to as second partial resonance. Furthermore, resonance can also occur when both the primary and secondary circuits resonate at the same frequency, resulting in what is known as complete resonance (both partial resonances are simultaneously present). When the conditions X 1 = 0 and R 1 = R 1 ^ are satisfied (simultaneously X 2 = 0 and R 2 = R 2 ^ are satisfied), a complex resonance occurs in the circuit, leading to the highest possible current in the secondary circuit (as will be demonstrated below).

2.3. Determination of Resonant Frequencies in the Primary Circuit

The equation
Im ( Z 1 ) = 0 X 1 = 0 ,
provides the mathematical condition for resonance in a primary circuit, where Im() denotes the imaginary part of the complex number. Let k represent the coupling coefficient ( 0 k 1 ) and ξ 1 and ξ 2 denote the relative detuning coefficient in the primary and secondary circuits, respectively. The following formulas define the quantities:
k = | M | L 1 L 2 , ξ 1 = ω L 1 1 ω C 1 ω L 1 = 1 ω 1 2 ω 2 , ξ 2 = ω L 2 1 ω C 2 ω L 2 = 1 ω 2 2 ω 2 ,
where ω 1 = 1 L 1 C 1 and ω 2 = 1 L 2 C 2 are the angular frequencies of the oscillations of the primary and secondary circuits (without coupling), respectively. For the sake of simplicity, the ratio R 2 ω L 2 is denoted by q 2 , and σ = 1 k 2 = 1 M 2 L 1 L 2 is introduced. It is important to note that the value of q 2 depends on the frequency. However, since the relative changes in the frequency are usually small compared to the self-angular frequency of the circuit, q 2 is typically treated as a constant. The value of q 2 is determined using the frequency that corresponds to the self-frequency of the uncoupled secondary circuit. From relation (5), considering (4), the resonant angular frequencies of the primary circuit can be determined. Let ω 1 = ω 2 = ω 0 . If k > q 2 , then the coupling is considered as strong coupling. In this case, the resonant angular frequencies, referred to as coupling angular frequencies, are [1]
ω c 1 = ω 0 1 k 2 q 2 2 , ω c 2 = ω 0 1 + k 2 q 2 2 .
The resonance curve has two peaks at angular frequencies ω c 1 and ω c 2 . If k q 2 , then
ω c 1 = ω 0 1 k , ω c 2 = ω 0 1 + k
holds. If k < q 2 , the coupling is referred to as weak (sub-critical) coupling and the circuits have only one resonant angular frequency equal to ω 0 . Figure 2 shows the trend of angular frequency changes for two values of q 2 when varying the coupling coefficient k. It can be observed that the characteristics for k > q 2 are not symmetrical with respect to the straight line passing through ω 0 , and ω c 1 deviates from this straight line much faster than ω c 2 .
Figure 2. Plot of coupling resonance angular frequencies versus coupling factor for two values of q 2 .
Equations (7) and (8) can be, after rearrangements, used to calculate the mutual inductance from the measurement of the coupling frequencies. From Equations (6) and (7), it follows that
| M | = L 1 L 2 q 2 2 + 1 f 0 f c 1 2 2 , | M | = L 1 L 2 q 2 2 + f 0 f c 2 2 1 2 ,
which for k q 2 simplifies to the form
| M | = L 1 L 2 1 f 0 f c 1 2 , | M | = L 1 L 2 f 0 f c 2 2 1 .
In the case of strong coupling, the current in the primary circuit reaches peaks at frequencies other than those determined by the dependencies (7). These frequencies are now to be determined. By finding I 1 from Equation (3), assuming ω 1 = ω 2 = ω 0 (in the case ξ 1 = ξ 2 = ξ also holds), denoting q 1 = R 1 ω L 1 , and taking into account
X 1 = ω L 1 1 ω C 1 = ω L 1 ξ , X 2 = ω L 2 1 ω C 2 = ω L 2 ξ
one obtains the current phasor in the primary circuit defined by the equation
I 1 = E ω L 1 1 q 1 + k 2 q 2 2 + ξ 2 q 2 + j ξ ( 1 k 2 q 2 2 + ξ 2 ) .
Thus, the RMS value of the current I 1 equals
| I 1 | = | E | ω L 1 q 2 2 + ξ 2 q 1 q 2 2 + q 2 k 2 + q 1 ξ 2 2 + ξ 3 + ξ q 2 2 ξ k 2 2 .
If the generator signal angular frequency ω = ω 1 = ω 2 = ω 0 (complete resonance), then ξ = 0 , and | I 1 | at resonant frequency is
| I 1 | r = | E | q 2 ω L 1 q 1 q 2 + k 2 .
It is evident from (14) that the global maximum of | I 1 | r (i.e., | I 1 | r max ) is achieved when k = 0 and equals
| I 1 | r max = | E | R 1 .
Thus, the maximum of current exits the system without coupling. To determine at which value of ξ and, on this basis, at which frequency | I 1 | reaches its peak, the derivative d | I 1 | d ξ was calculated and equals zero. After rejecting the complex roots, the three real roots
ξ ( 0 ) = 0 , ξ ( 1 ) = k k 2 + 2 q 2 2 + 2 q 1 q 2 q 2 2 , ξ ( 2 ) = k k 2 + 2 q 2 2 + 2 q 1 q 2 q 2 2 .
are found. Hence, taking into account the equation for relative detuning, the angular frequencies Ω 1 ( 1 ) and Ω 2 ( 1 ) at which | I 1 | reaches peaks can be calculated,
Ω 1 ( 1 ) = ω 0 1 k k 2 + 2 q 2 2 + 2 q 1 q 2 q 2 2 , Ω 2 ( 1 ) = ω 0 1 + k k 2 + 2 q 2 2 + 2 q 1 q 2 q 2 2 .
If q 1 = q 2 = q , then the equations take the form
Ω 1 ( 1 ) = ω 0 1 k k 2 + 4 q 2 q 2 , Ω 2 ( 1 ) = ω 0 1 + k k 2 + 4 q 2 q 2 .
Based of the determined values of ξ ( i ) , the corresponding frequencies, and the updated values of q 1 and q 2 , | I 1 | can be calculated by means of Equation (13). Equations (17) and (18), after transformation, can be used to calculate the mutual inductance based on the measurement of the frequencies f 1 ( 1 ) and f 2 ( 1 ) corresponding to Ω 1 ( 1 ) and Ω 2 ( 1 ) . However, in this case, the equations are very complex.
The scenario in which the self-angular frequencies of the primary and secondary circuits are not identical is examined; i.e., ω 1 ω 2 . In resonant circuits, | X 2 |   R 2 usually holds, except at frequencies near the resonant frequency. Thus, resistance R 2 can be omitted to simplify the subsequent analysis. On the basis of (3), (5), and (6), the coupling angular frequencies are defined by the formulas [1]
ω c 1 , 2 = ω 1 2 + ω 2 2 ± ω 1 2 + ω 2 2 2 4 σ ω 1 2 ω 2 2 2 σ .
The frequencies satisfy the conditions ω c 1 > max { ω 1 , ω 2 } and ω c 2 < min { ω 1 , ω 2 } .

2.4. Resonant Curves in Secondary Circuit

Let ξ = ξ 2 , R 1 ω L 1 = q 1 , R 2 ω L 2 = q 2 , and Δ ω = ω ω 0 . Then, considering that near angular frequency ω 0 holds ω + ω 0 2 ω , the relation ξ 2 Δ ω ω is obtained. Consequently, using (2) and after some rearrangements, the current in the secondary circuit ( I 2 ) can be found. If ω 1 = ω 2 = ω 0 , the RMS value of the current I 2 in the secondary circuit is [1]
| I 2 | = k | E | ω L 1 L 2 ( q 1 q 2 + k 2 ) 2 + ξ 2 ( q 1 2 + q 2 2 2 k 2 ) + ξ 4 .
If the angular frequency of the generator ω = ω 0 (complete resonance), then ξ = 0 and the RMS value of the current I 2 at the resonant angular frequency, | I 2 | r , equals
| I 2 | r = k | E | ω L 1 L 2 ( q 1 q 2 + k 2 ) .
Thus,
| I 2 | | I 2 | r = ( q 1 q 2 + k 2 ) 2 ( q 1 q 2 + k 2 ) 2 + ξ 2 ( q 1 2 + q 2 2 2 k 2 ) + ξ 4 .
From (22), it follows that | I 2 | equals | I 2 | r if and only if ξ equals 0. However, even when | I 2 | | I 2 | r = 1 , | I 2 | r can achieve different values because it depends on the coupling coefficient, k. It can be shown that the global maximum of the current ( | I 2 | r max ) is reached when the critical (optimum) coupling condition is fulfilled [1,4], i.e.,
k r = q 1 q 2 .
If ω = ω 1 = ω 2 = ω 0 , X 1 = X 2 = 0 , and the coupling coefficient is equal to k r , the complex resonance occurs. Then, | I 2 | r defined by Equation (21) reaches the peak
| I 2 | r max = | E | 2 ω | M r | = | E | 2 R 1 R 2 .
If ω 1 = ω 2 = ω 0 , q 1 = q 2 = q , and k k r , the resonance curves of the secondary current have a single maximum (Figure 3a).
Figure 3. Plots of the RMS value of the secondary circuit current | I 2 | as a function of the relative detuning coefficient ξ under varying coupling conditions: (a) single-peak resonance curves for coupling k k r ; (b) emergence of dual peaks for over-critical coupling k > k r .
Next, the frequencies at which | I 2 | reach peaks will be determined. Following the same schema used to analyze the primary circuit current, the angular frequencies at which | I 2 | reaches maximum values (if k 2 > 0.5 q 1 2 + q 2 2 ),
Ω 1 ( 2 ) = ω 0 1 k 2 0.5 q 1 2 + q 2 2 , Ω 2 ( 2 ) = ω 0 1 + k 2 0.5 q 1 2 + q 2 2
were found. If k 2 0.5 q 1 2 + q 2 2 , the angular frequency at which | I 2 | reaches a peak equals Ω 0 ( 2 ) = ω 0 . Based on the determined values and the updated values of q 1 and q 2 , | I 2 | can be calculated from Equation (20).
If q 1 = q 2 = q , then the relations (25) simplify to the form that can be found, e.g., in [1]. If k q , then the maximum | I 2 | occurs at ω = ω 0 . If k > q , then | I 2 | has two peaks. If k q , the angular frequencies are
Ω 1 ( 2 ) = ω 0 1 k , Ω 2 ( 2 ) = ω 0 1 + k .
Equations (25) and (26) can be used to calculate the mutual inductance based on the measurement of frequencies f 1 ( 2 ) and f 2 ( 2 ) corresponding to Ω 1 ( 2 ) and Ω 2 ( 2 ) . Equation (25) leads to
| M | = L 1 L 2 0.5 q 1 2 + q 2 2 + 1 f 0 f 1 ( 2 ) 2 2 ,
| M | = L 1 L 2 0.5 q 1 2 + q 2 2 + f 0 f 2 ( 2 ) 2 1 2 ,
Using Formula (26) leads to the relations analogous to (10).
Equation (22) is only valid for k k r . Otherwise, it cannot be used since | I 2 | r , at ω = ω 0 , is not the maximum value of I 2 . In this case, | I 2 | r is the saddle of the two-vertex curve. In order to determine the resonant curve if k > k r , | I 2 | r in the denominator of Equation (22) is replaced by | I 2 | r max defined by Equation (24). In such a case, the plot of | I 2 | (for q 1 = q 2 = q ) is shown in Figure 3b.

2.5. Resonant Characteristics in Coupled Circuits—General Cases

The general case of resonant phenomena in coupled circuits is now under consideration concerning changes in angular frequency from a generator that involves both resonant angular frequencies, ω 1 and ω 2 [2]. The frequency range is assumed to be small enough to consider | ω M | const . The following approximate equations for the absolute detuning parameters, ζ 1 and ζ 2 , in both the primary and secondary circuits
ζ 1 = Q 1 ξ 1 Q 1 2 ω ω 1 ω 1 , ζ 2 = Q 2 ξ 2 Q 2 2 ω ω 2 ω 2 ,
hold, where Q 1 and Q 2 are quality factors (Q-factors) in primary and secondary circuits, respectively. In order to simplify further considerations, a parameter A (index of coupling [2,5]) defined by
A = ω | M | R 1 R 2 .
is introduced. A = 1 corresponds to the critical coupling condition. Under the simplifying assumption, A does not depend on frequency and is constant at fixed circuit parameters. Equation (29) leads to the formula [2]
ζ 2 = ω 1 ω 2 Q 2 Q 1 ζ 1 + 2 Q 2 ω 1 ω 2 ω 2 .
Relationship (31) defines a straight line in the ζ 1 ζ 2 coordinate system. Coefficient ω 1 ω 2 Q 2 Q 1 determines the slope of the line, and 2 Q 2 ω 1 ω 2 ω 2 the ζ 2 -intercept. It can be shown [2] that
| Y 12 | Y 12 mm = 2 A ( 1 + A 2 ζ 1 ζ 2 ) 2 + ( ζ 1 + ζ 2 ) 2 ,
where Y 12 is the admittance defined by Y 12 = I 2 E , and Y 12 mm is the global maximum of | Y 12 | . Equation (32) enables the creation of 3D and contour plots illustrating the dependence of | Y 12 | Y 12 mm on ζ 1 and ζ 2 for various values of parameter A. The plots, for values of A = 0.5 , A = 1 , and A = 2 , are shown in Figure 4, Figure 5 and Figure 6.
Figure 4. Plots of | Y 12 | Y 12 mm for A = 0.5 : (a) 3D plot; (b) contour plot; the straight lines correspond to the considered cases. The plots show how circuit quality factors Q 1 , Q 2 and resonant frequency tuning ω 1 , ω 2 influence resonance characteristics.
Figure 5. Plots of | Y 12 | Y 12 mm for A = 1 : (a) 3D plot; (b) contour plot; the straight lines correspond to the considered cases. The plots show how circuit quality factors Q 1 , Q 2 and resonant frequency tuning ω 1 , ω 2 influence resonance characteristics.
Figure 6. Plots of | Y 12 | Y 12 mm for A = 2 : (a) 3D plot; (b) contour plot; the straight lines correspond to the considered cases. The plots show how circuit quality factors Q 1 , Q 2 and resonant frequency tuning ω 1 , ω 2 influence resonance characteristics.
Utilizing the contour plots, one can examine how changes in reactance X 1 affect the plots while keeping the secondary circuit parameters constant. In this case, ζ 1 is a varying quantity, and ζ 2 remains constant, leading to a movement along a straight line parallel to the abscissa axis. Complete resonance occurs at the origin of the coordinate system, while complex resonance is observed at the points where | Y 12 | Y 12 mm = 1 . Four special cases are described below [2]. They correspond to the four straight lines marked in Figure 4b, Figure 5b and Figure 6b.
  • Case 1: Q 1 = Q 2 and ω 1 = ω 2 . Thus, ζ 1 = ζ 2 , and the equation describes a straight line passing through the origin of the coordinate system at an angle of 45°. For A 1 , a characteristic with a single peak is found. A symmetrical characteristic with two peaks is obtained for any A > 1 .
  • Case 2: Q 1 Q 2 and ω 1 = ω 2 . In this case, ζ 2 = Q 2 Q 1 ζ 1 (it was assumed that Q 2 = 2 Q 1 in Figure 4, Figure 5, Figure 6, Figure 7, Figure 8 and Figure 9). A straight line that passes through the origin of the coordinate system at an angle different from 45 degrees is obtained. The characteristic exhibits a single peak for any value A R 1 2 + R 2 2 2 R 1 R 2 (see [5]). Otherwise, a symmetrical characteristic with two peaks exists. The current at these frequencies is lower when in case 1.
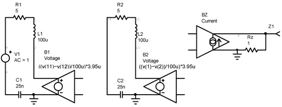
    Figure 7. Dependence of normalized admittance | Y 12 | Y 12 mm on detuning parameters ζ 1 and ζ 2 for coupling parameter A = 0.5 : (a) variation along ζ 1 ; (b) variation along ζ 2 . The plots reflect the effects of coupling on resonance behavior.
    Figure 8. Dependence of normalized admittance | Y 12 | Y 12 mm on detuning parameters ζ 1 and ζ 2 for coupling parameter A = 1 : (a) variation along ζ 1 ; (b) variation along ζ 2 . The plots reflect the effects of coupling on resonance behavior.
    Figure 9. Dependence of normalized admittance | Y 12 | Y 12 mm on detuning parameters ζ 1 and ζ 2 for coupling parameter A = 2 : (a) variation along ζ 1 ; (b) variation along ζ 2 . The plots reflect the effects of coupling on resonance behavior.
  • Case 3: Q 1 ω 1 = Q 2 ω 2 and ω 1 ω 2 . Equation (31) leads to relation ζ 2 = ζ 1 + 2 Q 2 ω 1 ω 2 ω 2 (it was assumed that Q 2 = 31.5 and ω 2 = 1.05 ω 1 in Figure 4, Figure 5, Figure 6, Figure 7, Figure 8 and Figure 9). A straight line that does not pass through the origin and has a slope corresponding to 45 degrees is obtained. The curves are symmetrical and always | Y 12 | Y 12 mm < 1 . Even for A < 1 , a characteristic may have two peaks.
  • Case 4: Q 1 ω 1 Q 2 ω 2 and ω 1 ω 2 . General Equation (31) applies (it was assumed that Q 1 = 20 , Q 2 = 31.5 , and ω 2 = 1.05 ω 1 in Figure 4, Figure 5, Figure 6, Figure 7, Figure 8 and Figure 9). A straight line is obtained that does not pass through the origin, and the slope does not correspond to 45 degrees. The resonance curves are asymmetrical and peaks have different values; for A < 1 , the characteristic may have two peaks, and it is asymmetrical.
Figure 7, Figure 8 and Figure 9 show the plots of | Y 12 | Y 12 mm (for the considered cases) as functions of ζ 1 and ζ 2 for values A = 0.5 , A = 1 , and A = 2 .

3. Some Aspects of Modeling Structures Containing SRRs

The derivations above concerned the two-circuit resonant system shown in Figure 1, in which only one circuit is supplied. The case is typical in radio engineering and WPT systems. However, in systems containing resonators, the excitation in the form of an electromagnetic wave typically affects all resonators. Different cases are possible depending on the geometrical configuration and the location of the wave source. Therefore, an accurate theoretical analysis is much more difficult in the general case. In order to model the effect of an electromagnetic wave on individual resonators, a voltage source has to be introduced into each resonant circuit model. Structures containing two and three single-split single-ring resonators (SRRs) in the planar configuration, as shown in Figure 10, were considered. The wave falls upon the surface at normal incidence. The resonators were represented using lumped-element circuit models, which led to a circuit analogous to that shown in Figure 1 but with voltage sources of the same value in both circuits.
Figure 10. Considered structures containing SRR-type resonators: (a) an SRR with dimensions marked; (b) two resonators; (c) three resonators.

3.1. Two Resonators

Two SRRs located at a distance d are considered (Figure 10b). The equations
E 1 = R 1 + j X 1 I 1 + j ω M I 2 ,
E 2 = R 2 + j X 2 I 2 + j ω M I 1
are satisfied, and E 1 = E 2 = E . If the resonators are identical, then R 1 = R 2 , X 1 = X 2 , and I 1 = I 2 = I hold. Taking any of Equations (33)–(34) and considering I 1 = I 2 = I , the impedance Z is obtained,
Z = R + j X + j ω M .
The resonant angular frequency ω c is determined by equating the imaginary part of the impedance to zero and taking into account the formula defining the reactance. As a result,
ω c = 1 L + M C
is found. The frequency characteristics of both resonant circuits exhibit the same resonant frequency. In the case of negative coupling, M < 0 , the resonant frequency is higher than that of a resonant circuit without coupling. Conversely, when the coupling is positive ( M > 0 ), the resonant frequency is lower than the resonant frequency of the circuits without coupling.

3.2. Three Resonators

It was assumed that three identical SRRs are positioned as shown in Figure 10c. Due to the weak magnetic coupling between the outer resonators, the coupling was neglected in further analysis. The following equations apply:
E 1 = R + j X I 1 + j ω M I 2 ,
E 2 = R + j X I 2 + j ω M I 1 + j ω M I 3 ,
E 3 = R + j X I 3 + j ω M I 2 ,
and E 1 = E 2 = E 3 = E . Comparing the right-hand sides of Equations (37) and (39), one obtains
I 1 = I 3 .
Comparison of the right-hand sides of Equations (37) and (38), and using (40), equation
I 2 = R + j X j 2 ω M R + j X j ω M I 1 .
holds. By substituting (41) into Equations (37) and (39), the equivalent impedances of the first and third resonant circuits (corresponding to extreme SRRs)
Z 1 , 3 = R + j ω L 1 ω C + j ω M R + j ω L 1 ω C j 2 ω M R + j ω L 1 ω C j ω M .
were found. Similarly, the equivalent impedance of the second resonant circuit (middle SRR)
Z 2 = R + j ω L 1 ω C + j 2 ω M R + j ω L 1 ω C j ω M R + j ω L 1 ω C j 2 ω M ,
was determined. Using notations q = R ω L , ξ = ω L 1 ω C ω L = 1 ω 0 2 ω 2 , and k ˜ = M L ( k ˜ can be a positive or negative number depending on the sign of M; in the considered configuration k ˜ < 0 holds), Equations (42) and (43) take the form
Z 1 , 3 = ω L q + j ξ + j k ˜ q + j ξ 2 k ˜ q + j ξ k ˜ ,
Z 2 = ω L q + j ξ + j 2 k ˜ q + j ξ k ˜ q + j ξ 2 k ˜ .
In order to determine the resonant angular frequencies, the imaginary parts of the impedances defined by Equations (44) and (45) were equated to zero, leading to equations
ξ 3 k ˜ ξ 2 + q 2 2 k ˜ 2 ξ + k ˜ q 2 + 2 k ˜ 2 = 0 ,
and
ξ 3 2 k ˜ ξ 2 + q 2 2 k ˜ 2 ξ + 2 k ˜ q 2 + 2 k ˜ 2 = 0 ,
respectively. The general formulas for the roots of these equations are complicated and, therefore, not included in the paper. However, with the parameters of the resonators fixed, the roots and the resonant angular frequencies can be easily determined from Equations (46) and (47). If q | k ˜ | (the resistances R have very small values), it is reasonable to assume q = 0 , and then the roots of Equation (46) become
ξ ( 1 ) = k ˜ , ξ ( 2 ) = 2 k ˜ , ξ ( 3 ) = 2 k ˜ ,
and the roots of Equation (47) are
ξ ( 1 ) = 2 k ˜ , ξ ( 2 ) = 2 k ˜ , ξ ( 3 ) = 2 k ˜ .
Based on the roots, the resonant frequencies can be found from the following equation:
ω c i = ω 0 1 ξ ( i ) , i = 1 , 2 , 3 .
Figure 11 shows the trend of coupling angular frequency changes corresponding to ξ ( i ) defined by (48) when varying coefficient k ˜ . It can be observed that the characteristics are not symmetrical with respect to the straight line passing through ω 0 , and ω c 3 deviates from this straight line much faster than ω c 1 and ω c 2 .
Figure 11. Plot of the coupling resonance angular frequencies versus coefficient k ˜ = M L for M < 0 .
Using (50) and taking into account (48) or (49), it is possible, after transformation, to determine the value of the mutual inductance based on the measurement of the respective frequencies.

4. Results and Discussion

This section describes the results of the simulation studies and analytical calculations. Two resonant systems containing magnetically coupled coils are considered. The first one is a classical primary–secondary system. The second example concerns calculating simple systems containing SRRs modeled using coupled circuits.

4.1. Example 1

As a first example, a system of two resonant circuits with magnetic coupling will be considered. Models with parameters corresponding to the cases considered were built using the Analog Behavioral Model capabilities in IsSPICE [47,48] (the nonlinear dependent source—keyletter B). The RMS value of the voltage from the generator was assumed to be 1 V (Figure 12).
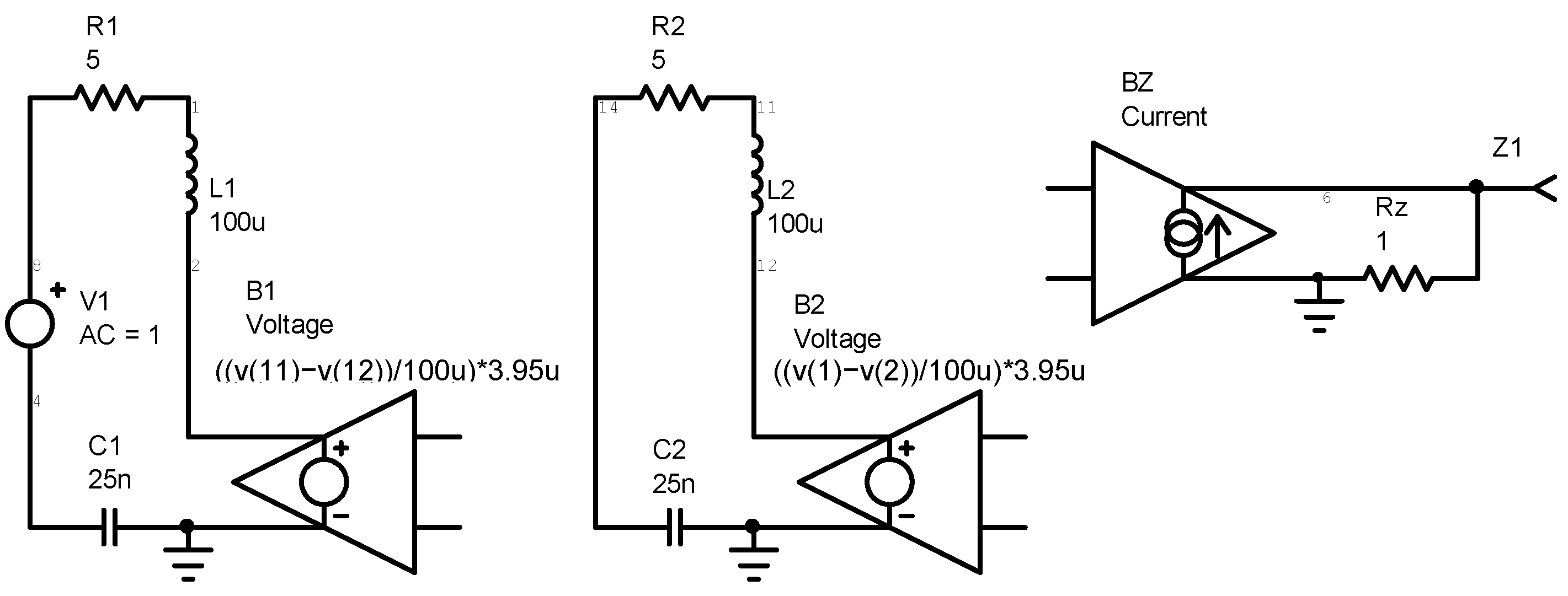
Figure 12. Lumped -element circuit model of two magnetically coupled resonant circuits.
A current source BZ was additionally included in the model. The current of this source corresponds to the equivalent impedance of the primary circuit. The coupling frequencies can be easily identified by calculating the voltage across the unit resistor Rz and generating a plot of the imaginary part of the voltage in IsSPICE. The circuit parameters were chosen to illustrate cases 1 and 2 discussed in Section 2 for three values of parameter A: A = 0.5 , A = 1 , and A = 2 . Case 1 assumes R 1 = 5 Ω , R 2 = 5 Ω , L 1 = 100 μ H , L 2 = 100 μ H , C 1 = 25 nF , and C 2 = 25 nF . To obtain the desired values of A, the values of the mutual inductance were set to M = 3.953 μ H , M = 7.906 μ H , and M = 15.811 μ H , respectively. The frequency characteristics of the RMS values of the currents in both resonant circuits are shown in Figure 13. In addition, Figure 14 shows the plot of the imaginary part of the equivalent impedance. The figure confirms the trend in the coupled resonance frequencies shown in Figure 2. In the second case, R 1 = 10 Ω , R 2 = 5 Ω , L 1 = 100 μ H , L 2 = 100 μ H , C 1 = 25 nF , C 2 = 25 nF , M = 5.590 μ H , M = 11.180 μ H , and M = 22.361 μ H were taken. The frequency characteristics of the RMS values of the currents are shown in Figure 15.
Figure 13. Frequency characteristics of resonant circuits (case 1), showing the RMS values of currents in (a) the primary circuit ( | I 1 | ) and (b) the secondary circuit ( | I 2 | ) under various coupling conditions ( A = 0.5 , A = 1 , and A = 2 ). Markers corresponding to the theoretical calculations have been placed on the plots.
Figure 14. Plot of the imaginary part of equivalent impedance Z 1 . Markers corresponding to the theoretical calculations have been placed on the plots.
Figure 15. Frequency characteristics of resonant circuits (case 2), showing the RMS values of currents in (a) the primary circuit ( | I 1 | ) and (b) the secondary circuit ( | I 2 | ) under various coupling conditions ( A = 0.5 , A = 1 , and A = 2 ). Markers corresponding to the theoretical calculations have been placed on the plots.
Table 1 and Table 2 summarize the results of the analytical calculations based on Equations (7), (17) and (25) after converting angular frequency to frequency, and the results of the simulations in SPICE. Markers corresponding to the theoretical calculations have been placed in Figure 13, Figure 14 and Figure 15. In addition, the relative errors in percentage ( δ ) were calculated with respect to the SPICE simulation results. The absolute value of these errors does not exceed 1%. The most significant errors occur in determining the frequencies for which the RMS value of the | I 2 | current reaches extremes.
Table 1. The comparison results of the theoretical calculations and simulations in SPICE; R 1 = 5 Ω , R 2 = 5 Ω , L 1 = 100 μ H , L 2 = 100 μ H , C 1 = 25 nF , C 2 = 25 nF , and k r = 0.07906 .
Table 2. The comparison results of the theoretical calculations and simulations in SPICE; R 1 = 10 Ω , R 2 = 5 Ω , L 1 = 100 μ H , L 2 = 100 μ H , C 1 = 25 nF , C 2 = 25 nF , and k r = 0.1118 .
The following case illustrates the process of identification of the mutual inductance value. It was assumed that two coupling frequencies were measured: f c 1 = 108.5 kHz and f c 2 = 94.53 kHz (corresponding to the values provided in Table 1 for A = 2 ). The circuits were built using the same components as in case 1. The two resonant coupling frequencies indicate that k > k r , enabling us to apply Equations (9) and (10). Using Formula (9), M = 15.96 μ H ( δ = 0.9 %) and M = 15.63 μ H ( δ = 1.1 %) were found, and, from approximate Formula (10), M = 13.86 μ H ( δ = 12.3 %) and M = 13.48 μ H ( δ = 14.7 %) were calculated. The more accurate values are close to the assumed value M = 15.81 μ H . The need to use a more precise formula arises because k = 0.158 and q 2 = 0.073 . Thus, condition k q 2 is not satisfied.
In order to plot the resonant characteristics in the general case, R 1 = 5.2 Ω , R 2 = 4.5 Ω , L 1 = 100 μ H , L 2 = 98 μ H , C 1 = 25 nF , C 2 = 23 nF , and M = 22.0 μ H were assumed. The frequency characteristics are shown in Figure 16. Figure 17 shows a graph of the imaginary part of the equivalent impedance. From the graph, the resonant coupling frequencies f c 1 = 116.3 kHz and f c 2 = 93.53 kHz were determined. The frequencies are then determined using (19). As a result, f c 1 = 117.5 kHz ( δ = 1.0 %) and f c 2 = 93.16 kHz ( δ = 0.4 %) were obtained. Thus, at strong coupling, Equation (19) leads to results close to those obtained in SPICE.
Figure 16. Frequency characteristics of resonant circuits in the general case, illustrating RMS currents in (a) the primary circuit ( | I 1 | ) and (b) the secondary circuit ( | I 2 | ) as a function of frequency.
Figure 17. Plot of the imaginary part of equivalent impedance Z 1 with coupling resonance frequencies marked.
Comparative tests were performed for several variants of circuit parameters operating at different resonant, synchronous, and asynchronous frequencies. The determined resonant frequencies and the obtained characteristics of the currents in the individual resonant circuits correspond to the theoretical results, confirming that the simplifying assumptions were correctly chosen.

4.2. Example 2

An SRR with parameters r = 25 μ m , g = 1.5 μ m , w = 5 μ m (see Figure 10), and thickness h = 2 μ m shows resonance at 866 GHz (analysis in COMSOL Multiphysics software environment [45,49]). The following lumped-element circuit model parameters were obtained: L = 77.671 pH and C = 0.4354 fF using the method proposed in [45]. Next, the resonant frequency 865 GHz was determined via the SPICE software [47,48]. The resistance of the resonator was determined. The value depends on the actual frequency considering the skin effect. For example, at a frequency equal to 600 GHz, the resistance is R = 2.07 Ω , and, at 900 GHz, the resistance equals R = 2.52 Ω . In the analysis, R = 2.45 Ω was assumed. In addition, d = 55 μ m was chosen (see Figure 10). Using the procedure provided in [50], the mutual inductance M = 2.5957 pH was calculated. A lumped-element circuit model was built analogously to the previous section. The only difference is that a voltage source of equal amplitude is included in each resonant circuit. Based on the plot of the | S 21 | parameter in COMSOL, one resonant frequency ( f c ) C = 878 GHz was obtained. The resonance characteristics obtained via AC analysis of the circuit model in SPICE, shown in Figure 18, lead to the determination of the resonant frequency ( f c ) S = 880 GHz . The frequency is very close to the result obtained in the full-wave analysis in the COSMOL environment. The analytical calculation (Equation (36)) leads to a frequency of f c = 880.3 GHz ( δ = 0.0 %). The study confirms the literature reports that capacitive coupling must be considered for specific orientations of resonators forming a pair and their close relative position. In such a case, a more complex lumped-element circuit model has to be created. If d > 53 μ m for the CC-type orientation, capacitive coupling does not significantly affect the resonant frequencies.
Figure 18. Resonance curves obtained in the model of two resonators (RMS curves of both currents overlap).
The lumped-element circuit model of three SRRs, considering only the closest couplings, yielded the characteristics of the currents in the individual resonators shown in Figure 19a and the imaginary part of the impedance for the resonators shown in Figure 19b.
Figure 19. Resonance curves obtained by analysis of the circuit model of the three resonators: (a) RMS values of the currents in the resonators; (b) imaginary parts of the impedances of the resonators with coupling resonance frequencies marked.
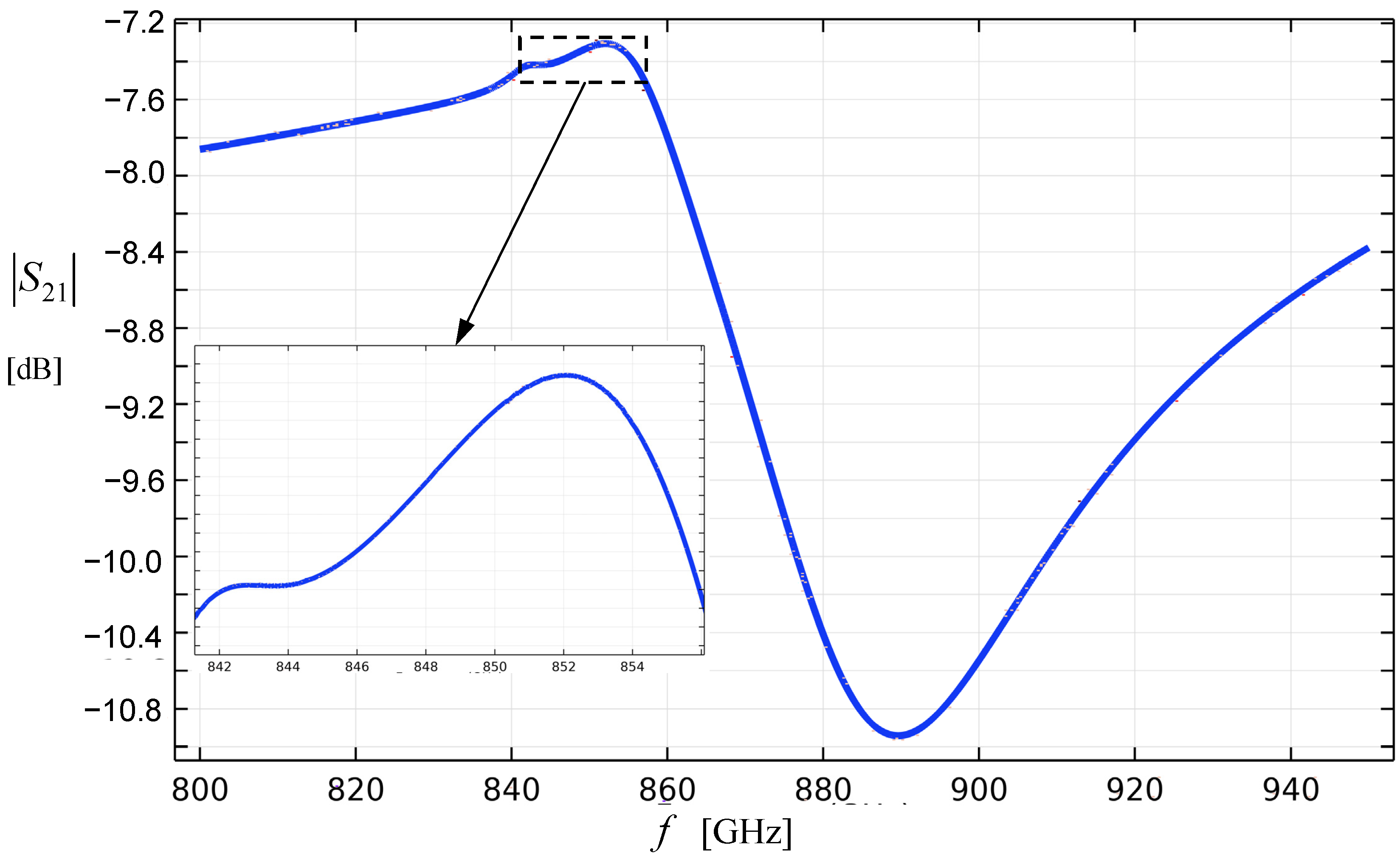
For the first and third SRRs, resonant frequencies ( f c 1 ) S = 846.8 GHz (first maximum), ( f c 2 ) S = 850.3 GHz (minimum), and ( f c 3 ) S = 886.7 GHz (second maximum) were determined using the SPICE simulator. The analytical calculations neglecting the resistance of the resonators (Equations (48)–(50)) led to frequencies f c 1 = 851.3 GHz (minimum, δ = 0.1 %), f c 2 = 845.7 GHz (first maximum, δ = 0.1 %), and f c 3 = 886.7 GHz (second maximum, δ = 0.0 %). For the second SRR, resonant frequencies ( f c 1 ) S = 838.9 GHz , ( f c 2 ) S = 844.7 GHz , and ( f c 3 ) S = 886.7 GHz were determined. The analytical calculations led in this case to frequencies f c 1 = 837.9 GHz ( δ = 0.1 %), f c 2 = 845.7 GHz ( δ = 0.1 %), and f c 3 = 886.7 GHz ( δ = 0.0 %). In the case under consideration, parameters k ˜ and q are 0.03342 and 0.0058 , respectively. Solving Equations (46) and (47) at these parameter values resulted in frequencies identical to those obtained in SPICE. The characteristics of | S 21 | obtained in COMSOL (Figure 20) show a minimum at frequency f c C = 888 GHz . The frequency is close to the resonant frequency ( f c 3 ) of all the resonators. However, because the frequency corresponding to the minimum in the second SRR has almost the same value as the frequency corresponding to the maximum in the first and third SRRs, regarding characteristic | S 21 | , which is the result of the influence of all the resonators, these frequencies (even in the zoomed-in part shown in Figure 20) are not observable.
Figure 20. Transmission coefficient ( | S 21 | ) obtained via COMSOL simulations, showing a resonance dip at circa 888 GHz. The zoomed-in region represents the frequency range corresponding to the minimum value, reflecting resonator coupling effects.
The following case illustrates the determination of the mutual induction value. It was assumed that the coupling frequency f c = f c 3 was measured, and three SRRs were considered. Using (50) taking into account (48) or (49) corresponding to ξ ( 3 ) , M = 2.69 pH ( δ = 3.5 %) was determined. The value is close to the assumed one ( M = 2.60 pH ).

4.3. Discussion

The proposed approach makes it possible to quickly determine the coupled resonant frequencies, the frequencies at which the maximum currents in the primary and secondary circuits occur, and the values of these currents based on the known parameters of the resonant circuit model. Determining the resonant frequencies and current values in SPICE simulations with accuracy comparable to the analytical results involves performing an AC analysis with very small-frequency steps, estimating the frequency band of interest, and then extracting the desired quantities. A similar challenge arises in full-wave simulations using COMSOL software. Therefore, applying the provided formulas during the design stage can significantly reduce the time required for this process. Thus, using the dependencies provided in the paper at the design stage makes it possible to reduce the execution time of this stage significantly. For example, the simulation time (disregarding the time to create the model, select the frequency range, and search for interesting values) at A = 2 in Table 1 in SPICE is about 2 s (in the frequency range of 70 to 140 kHz, and step 1 Hz) on a computer with an i7-6700 processor (64 GB RAM). Reducing the step increases the analysis time. Any change in parameters requires the calculation to be repeated. Results based on analytical relationships are obtained almost immediately. Therefore, using these dependencies, e.g., in iterative numerical optimization procedures, reduces design time significantly. The benefits are even more apparent when the coupling frequencies are determined using full-wave simulations in the COMSOL environment. On the same computer, the time to determine the characteristics in the frequency range of 800 to 950 GHz and with a step of 1 GHz is about 51 min (excluding the time to create the model).
In the case of a misaligned position of the SRRs or a different distance between the individual dimers, the mutual inductance values will change. The inductance can be determined using the method provided in [50]. The lumped-element circuit model remains valid and can be used instead of full-wave simulations in the COMSOL environment. However, the different mutual inductance values make the theoretical derivations considerably more complicated.

5. Conclusions

Magnetically coupled resonant circuits are fundamental components in contemporary electronic systems, playing an important role in wireless power transfer, radio frequency engineering, and the modeling of electromagnetic metamaterials. A detailed derivation and compilation of the formulas to design magnetically coupled resonant circuits were presented. These formulas facilitate the determination of coupling frequencies, resonant current peaks, and root mean square (RMS) current values for both primary and secondary circuits. The results include both established relationships found in the literature and new formulas developed during this study. Although some initial assumptions introduce tiny errors compared to exact solutions, the results remain accurate. The three-dimensional and contour plots generated from these formulas enable qualitative analyses of how variations in circuit parameters influence a circuit’s characteristics. Our comparative studies with SPICE and COMSOL simulations demonstrated that the analytical results closely align with the numerical simulations, validating the derived formulas as accurate and reliable for practical applications.
The equations presented in the paper can be utilized during the design phase of resonant circuits, providing a faster alternative to the more time-consuming numerical simulations. This approach is especially beneficial during optimization processes, where objective function calculations may need to be repeated multiple times to achieve the desired circuit performance. Similar to SPICE-type simulators, these equations enable considering variations in component manufacturing by recalculating the desired parameters using different randomized values for the circuit components based on a specific probability distribution. The method enables the statistical analysis of the results to be executed much more efficiently than the traditional Monte Carlo analyses used in SPICE. Moreover, specific environmental factors, such as temperature, can be accounted for, e.g., by implementing thermal models for the circuit’s resistances.
The limitations mainly concern the determination of resonant frequencies in structures containing SRRs. The equations provided in the paper are valid only for the CC configuration and selected resonator arrangement. A different arrangement of resonators and/or an increase in the number of resonators leads to the need to repeat the analysis, which, in a general case, can be complicated or impossible to perform. Changing to a different configuration or rotating the resonators can lead to the influence of capacitive couplings becoming apparent, especially in the case of close resonator placement. Capacitive couplings require model modification, leading to implicit analytical relationships even for two resonators. Research to develop such lumped-element circuit models and to derive some analytical relationships (under certain simplifying assumptions) will be the subject of future studies. Further experimental studies are also scheduled.

Author Contributions

Conceptualization, S.H. (Stanisław Hałgas) and S.H. (Sławomir Hausman); methodology, S.H. (Stanisław Hałgas); software, S.H. (Stanisław Hałgas) and Ł.J.; validation, S.H. (Stanisław Hałgas), S.H. (Sławomir Hausman) and Ł.J.; formal analysis, S.H. (Sławomir Hausman); investigation, S.H. (Stanisław Hałgas) and S.H. (Sławomir Hausman); resources, S.H. (Stanisław Hałgas) and Ł.J.; writing—original draft preparation, S.H. (Stanisław Hałgas); writing—review and editing, S.H. (Stanisław Hałgas) and S.H. (Sławomir Hausman); visualization, S.H. (Stanisław Hałgas) and Ł.J.; supervision, S.H. (Stanisław Hałgas). All authors have read and agreed to the published version of the manuscript.

Funding

This research received no external funding.

Data Availability Statement

No additional data available.

Conflicts of Interest

The author declares no conflicts of interest.

Abbreviations

The following abbreviations are used in this manuscript:
fFrequency
IPhasor of current i
| I | RMS value of current i
kCoupling coefficient
MMutual inductance
MCR WPTMagnetically coupled resonant wireless power transfer
SRRSingle-split single-ring resonator
S 21 Transmission coefficient
UPhasor of voltage u
XReactance
YAdmittance
WPTWireless power transmission
ZImpedance
ω Angular frequency
ω c Resonant coupling angular frequency
ξ Relative detuning coefficient
ζ Absolute detuning coefficient

References

  1. Asiejew, B. Fundamentals of Radio Engineering; PWN: Warsaw, Poland, 1955. (In Polish) [Google Scholar]
  2. Kotielnikow, W.; Nikolajew, A. Principles of Radio Engineering; PWT: Warsaw, Poland, 1958. (In Polish) [Google Scholar]
  3. Purington, E. Single- and coupled-circuit systems. Proc. Inst. Radio Eng. 1930, 18, 983–1016. [Google Scholar] [CrossRef]
  4. Terman, F.E. Radio Engineers Handbook; McGraw-Hill Book Company, Inc.: New York, NY, USA; London, UK, 1943. [Google Scholar]
  5. Aiken, C. Two-mesh tuned coupled circuit filters. Proc. Inst. Radio Eng. 1937, 25, 230–272. [Google Scholar] [CrossRef]
  6. Abou Houran, M.; Yang, X.; Chen, W. Magnetically coupled resonance WPT: Review of compensation topologies, resonator structures with misalignment, and EMI diagnostics. Electronics 2018, 7, 296. [Google Scholar] [CrossRef]
  7. Cannon, B.L.; Hoburg, J.F.; Stancil, D.D.; Goldstein, S.C. Magnetic resonant coupling as a potential means for wireless power transfer to multiple small receivers. IEEE Trans. Power Electron. 2009, 24, 1819–1825. [Google Scholar] [CrossRef]
  8. Chen, X.; Chen, L.; Ye, W.; Zhang, W. Three-coil magnetically coupled resonant wireless power transfer system with adjustable-position intermediate coil for stable transmission characteristics. J. Power Electron. 2019, 19, 211–219. [Google Scholar] [CrossRef]
  9. Chen, Z.; Sun, X.; Ren, B.; Wang, Z.; Liu, J. Analysis of four-coil magnetic resonance coupling wireless power transfer system based on LCC-SSS compensation network. Energy Rep. 2023, 9, 419–427. [Google Scholar] [CrossRef]
  10. Dias Fernandes, R.; Matos, J.N.; Borges Carvalho, N. Resonant electrical coupling: Circuit model and first experimental results. IEEE Trans. Microw. Theory Tech. 2015, 63, 2983–2990. [Google Scholar] [CrossRef]
  11. He, L.; Lu, P.; Liu, H. Modeling and analysis of magnetic resonance wireless transmission coil. AIP Adv. 2024, 14, 055005. [Google Scholar] [CrossRef]
  12. Johari, R.; Krogmeier, J.V.; Love, D.J. Analysis and practical considerations in implementing multiple transmitters for wireless power transfer via coupled magnetic resonance. IEEE Trans. Ind. Electron. 2014, 61, 1774–1783. [Google Scholar] [CrossRef]
  13. Rezmerita, G.; Bobaru, L.; Stanculescu, M.; Iordache, M.; Niculae, D. A self and mutual inductance calculation resonators with finite element analysis. In Proceedings of the 2017 International Conference on Modern Power Systems (MPS), Cluj-Napoca, Romania, 6–9 June 2017; pp. 1–4. [Google Scholar] [CrossRef]
  14. Sis, S. A circuit model-based analysis of magnetically coupled resonant loops in wireless power transfer systems. Istanb. Univ.-J. Electr. Electron. Eng. 2018, 18, 159–166. [Google Scholar] [CrossRef]
  15. Trivino-Cabrera, A.; Sanchez, J.A.A. A review on the fundamentals and practical implementation details of strongly coupled magnetic resonant technology for wireless power transfer. Energies 2018, 11, 2844. [Google Scholar] [CrossRef]
  16. Wang, J.; Shen, C.; Zhao, P.; Ou, S.; Xu, Z.; Zhang, R.; Song, Z. A design method for magnetically coupled resonant coils considering transmission objectives and dimension constraints. Energies 2020, 13, 4144. [Google Scholar] [CrossRef]
  17. Wang, S.; Wei, B.; He, H.; Mu, J.; Cai, C. Research on mutual inductance prediction of resonant magnetic coupling wireless power transmission system based on recursive least square method. IOP Conf. Ser. Mater. Sci. Eng. 2020, 719, 012039. [Google Scholar] [CrossRef]
  18. Yasar, I.; Shi, L.; Bai, K.; Rong, X.; Liu, Y.; Wang, X. Mobile phone mid-range wireless charger development via coupled magnetic resonance. In Proceedings of the 2016 IEEE Transportation Electrification Conference and Expo (ITEC), Dearborn, MI, USA, 27–29 June 2016; pp. 1–8. [Google Scholar] [CrossRef]
  19. Zhu, B.; Li, J.; Hu, W.; Gao, X. Review of magnetic coupling resonance wireless energy transmission. Int. J. U- E-Serv. Sci. Technol. 2015, 8, 257–272. [Google Scholar] [CrossRef]
  20. Awai, I.; Zhang, Y. Coupling coefficient of resonators—An intuitive way of its understanding. Electron. Commun. Jpn. Part II Electron. 2007, 90, 11–18. [Google Scholar] [CrossRef]
  21. Chen, A.; Kodigala, A.; Lepetit, T.; Kante, B. Multipoles of even/odd split-sing resonators. Photonics 2015, 2, 883–892. [Google Scholar] [CrossRef]
  22. Duran-Sindreu, M.; Naqui, J.; Paredes, F.; Bonache, J.; Martin, F. Electrically small resonators for planar metamaterial, microwave circuit and antenna design: A comparative analysis. Appl. Sci. 2012, 2, 375–395. [Google Scholar] [CrossRef]
  23. Hesmer, F.; Tatartschuk, E.; Zhuromskyy, O.; Radkovskaya, A.A.; Shamonin, M.; Hao, T.; Stevens, C.J.; Faulkner, G.; Edwards, D.J.; Shamonina, E. Coupling mechanisms for split ring resonators: Theory and experiment. Phys. Status Solidi (B) 2007, 244, 1170–1175. [Google Scholar] [CrossRef]
  24. Liu, N.; Giessen, H. Coupling Effects in Optical Metamaterials. Angew. Chem. Int. Ed. 2010, 49, 9838–9852. [Google Scholar] [CrossRef]
  25. Shamonina, E.; Kalinin, V.; Ringhofer, K.; Solymar, L. Magnetoinductive waves in one, two, and three dimensions. J. Appl. Phys. 2002, 92, 6252–6261. [Google Scholar] [CrossRef]
  26. Solymar, L.; Shamonina, E. Waves in Metamaterials; Oxford University Press, Inc.: New York, NY, USA, 2009. [Google Scholar]
  27. Tatartschuk, E.; Gneiding, N.; Hesmer, F.; Radkovskaya, A.; Shamonina, E. Mapping inter-element coupling in metamaterials: Scaling down to infrared. J. Appl. Phys. 2012, 111, 094904. [Google Scholar] [CrossRef]
  28. Aznar, F.; Gil, M.; Bonache, J.; Jelinek, L.; Baena, J.D.; Marques, R.; Martin, F. Characterization of miniaturized metamaterial resonators coupled to planar transmission lines through parameter extraction. J. Appl. Phys. 2008, 104, 114501. [Google Scholar] [CrossRef]
  29. Baena, J.; Bonache, J.; Martin, F.; Marques, R.; Falcone, F.; Lopetegi, T.; Laso, M.; Garcia-Garcia, J.; Gil, I.; Portillo, M.; et al. Equivalent-circuit models for split-ring resonators and complementary split-ring resonators coupled to planar transmission lines. Microw. Theory Tech. IEEE Trans. 2005, 53, 1451–1461. [Google Scholar] [CrossRef]
  30. Bojanic, R.; Milosevic, V.; Jokanovic, B.; Medina-Mena, F.; Mesa, F. Enhanced modelling of split-ring resonators couplings in printed circuits. IEEE Trans. Microw. Theory Tech. 2014, 62, 1605–1615. [Google Scholar] [CrossRef]
  31. Naqui, J.; Duran-Sindreu, M.; Martin, F. Modeling split-ring resonator (SRR) and complementary split-ring resonator (CSRR) loaded transmission lines exhibiting cross-polarization effects. IEEE Antennas Wirel. Propag. Lett. 2013, 12, 178–181. [Google Scholar] [CrossRef]
  32. Su, L.; Naqui, J.; Mata-Contreras, J.; Martin, F. Modeling metamaterial transmission lines loaded with pairs of coupled split-ring resonators. IEEE Antennas Wirel. Propag. Lett. 2015, 14, 68–71. [Google Scholar] [CrossRef]
  33. Gruenwald, W.; Bhattacharrya, M.; Jansen, D.; Reindl, L. Electromagnetic analysis, characterization and discussion of inductive transmission parameters for titanium based housing materials in active medical implantable devices. Materials 2018, 11, 2089. [Google Scholar] [CrossRef]
  34. Hong, J.S. Coupling of asynchronously tuned coupled microwave resonators. Microwaves Antennas Propag. IEE Proc. 2000, 147, 354–358. [Google Scholar] [CrossRef]
  35. Hong, J.S.; Lancaster, M. Microstrip Filters for RFMicrowave Applications; John Wiley & Sons, Ltd.: Hoboken, NJ, USA, 2001; Volume Chapter 8, pp. 235–272. [Google Scholar] [CrossRef]
  36. Tal, N.; Morag, Y.; Levron, Y. Magnetic induction antenna arrays for MIMO and multiple-frequency communication systems. Prog. Electromagn. Res. C 2017, 75, 155–167. [Google Scholar] [CrossRef]
  37. Vallecchi, A.; Radkovskaya, A.; Li, L.; Faulkner, G.; Stevens, C.; Shamonina, E. Superdirective dimers of coupled self-resonant split ring resonators: Analytical modelling and numerical and experimental validation. Sci. Rep. 2020, 10, 274. [Google Scholar] [CrossRef]
  38. Abdullah, S.; Xiao, G.; Amaya, R.E. A Review on the history and current literature of metamaterials and its applications to antennas & radio frequency identification (RFID) devices. IEEE J. Radio Freq. Identif. 2021, 5, 427–445. [Google Scholar] [CrossRef]
  39. Kazanskiy, N.L.; Khonina, S.N.; Butt, M.A. Recent development in metasurfaces: A focus on sensing applications. Nanomaterials 2023, 13, 118. [Google Scholar] [CrossRef] [PubMed]
  40. La Spada, L. Metasurfaces for advanced sensing and diagnostics. Sensors 2019, 19, 355. [Google Scholar] [CrossRef]
  41. Shamim, S.; Mohsin, A.; Rahman, M.; Bhuian, B. Recent advances in the metamaterial and metasurface-based biosensor in the gigahertz, terahertz, and optical frequency domains. Heliyon 2024, 10, e33272. [Google Scholar] [CrossRef] [PubMed]
  42. Tabassum, S.; Nayemuzzaman, S.; Kala, M.; Kumar Mishra, A.; Mishra, S.K. Metasurfaces for sensing applications: Gas, bio and chemical. Sensors 2022, 22, 6896. [Google Scholar] [CrossRef] [PubMed]
  43. Wang, Q.; Chen, Y.; Mao, J.; Yang, F.; Wang, N. Metasurface-assisted terahertz sensing. Sensors 2023, 23, 5902. [Google Scholar] [CrossRef]
  44. Van Schuylenbergh, K.; Puers, R. Inductive Powering Basic Theory and Application to Biomedical Systems; Springer: Dordrecht, The Netherlands, 2009. [Google Scholar]
  45. Hałgas, S. Singly split single ring resonator: Fitting of lumped-element circuit model parameters and some aspects of resonator analysis and design. AIP Adv. 2022, 12, 085213. [Google Scholar] [CrossRef]
  46. Pendry, J.; Holden, A.; Robbins, D.; Stewart, W. Magnetism from conductors and enhanced nonlinear phenomena. IEEE Trans. Microw. Theory Tech. 1999, 47, 2075–2084. [Google Scholar] [CrossRef]
  47. ICAP4. Working with Model Libraries; Intusoft: San Pedro, CA, USA, 2000.
  48. IsSPICE4 Users Guides, rev 04/08; Intusoft: San Pedro, CA, USA, 2008; Volume 1–2.
  49. COMSOL Multiphysics Software. Available online: https://www.comsol.com/ (accessed on 21 November 2024).
  50. Babic, S.; Sirois, F.; Akyel, C.; Girardi, C. Mutual inductance calculation between circular filaments arbitrarily positioned in space: Alternative to Grover’s formula. IEEE Trans. Magn. 2010, 46, 3591–3600. [Google Scholar] [CrossRef]
Disclaimer/Publisher’s Note: The statements, opinions and data contained in all publications are solely those of the individual author(s) and contributor(s) and not of MDPI and/or the editor(s). MDPI and/or the editor(s) disclaim responsibility for any injury to people or property resulting from any ideas, methods, instructions or products referred to in the content.

Article Metrics

Citations

Article Access Statistics

Multiple requests from the same IP address are counted as one view.