Dynamical Investigation of a Modified Cubic Map with a Discrete Memristor Using Microcontrollers
Abstract
1. Introduction
- For the first time, a discrete memristor was utilized in the active region and integrated with microcontrollers.
- A newer generation of STM32 microcontrollers, featuring an increased CPU speed and a larger RAM capacity, was used to implement discrete-time memristive systems.
- Two different types of microcontrollers were used to generate bifurcation diagrams. From the comparison, the STM32 demonstrated greater clarity and more detailed results in high-resolution bifurcation diagrams. This superior performance is attributed to its larger RAM capacity and higher processing speed, which allows for the storage of more points, in contrast to the bifurcation diagrams produced using the PIC32 [39].
2. The Mathematical Model
Stability Analysis and Symmetry
3. Numerical Results
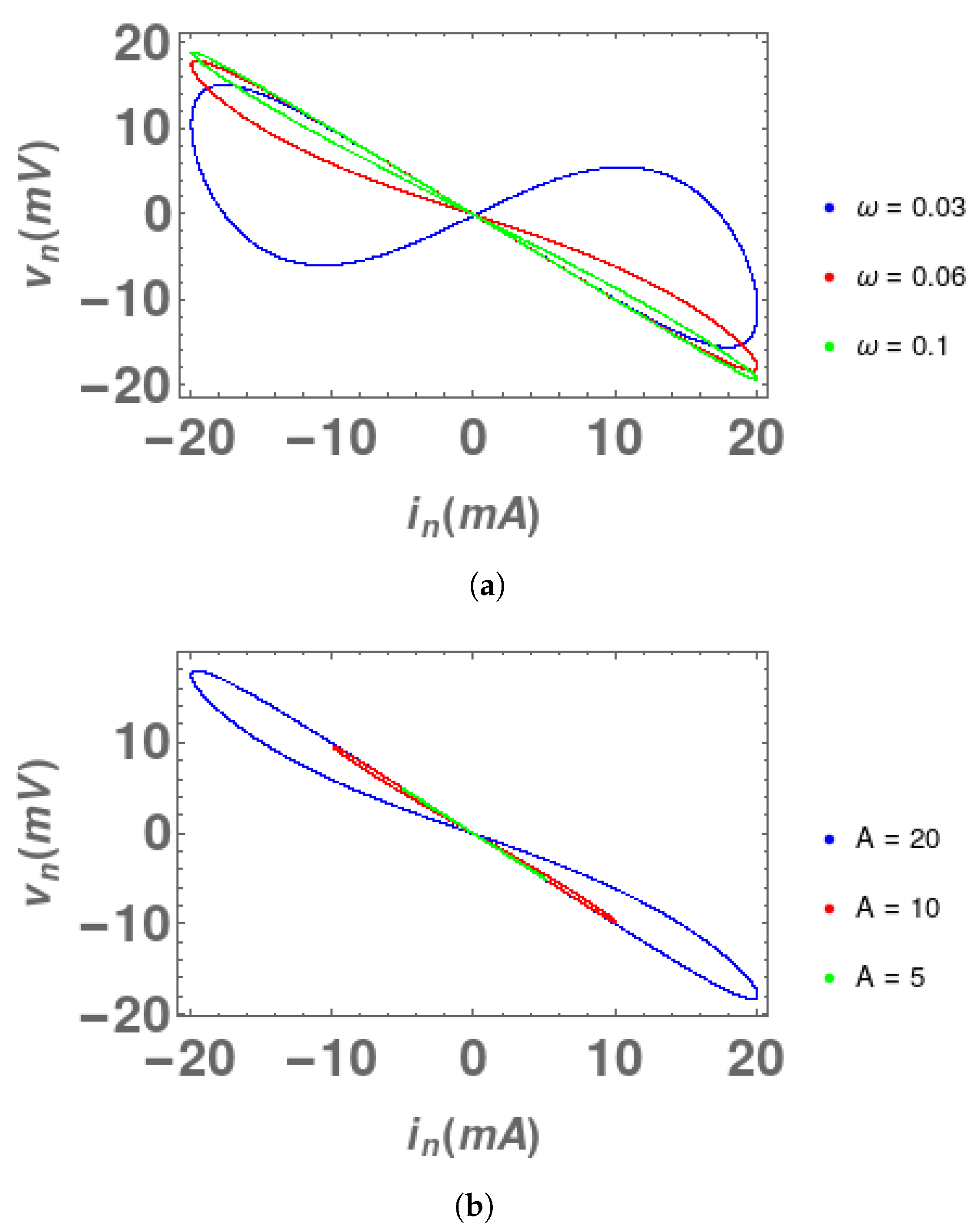
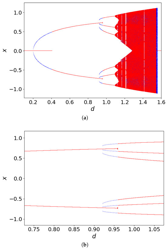
3.1. Response of the System with Respect to the Parameter D
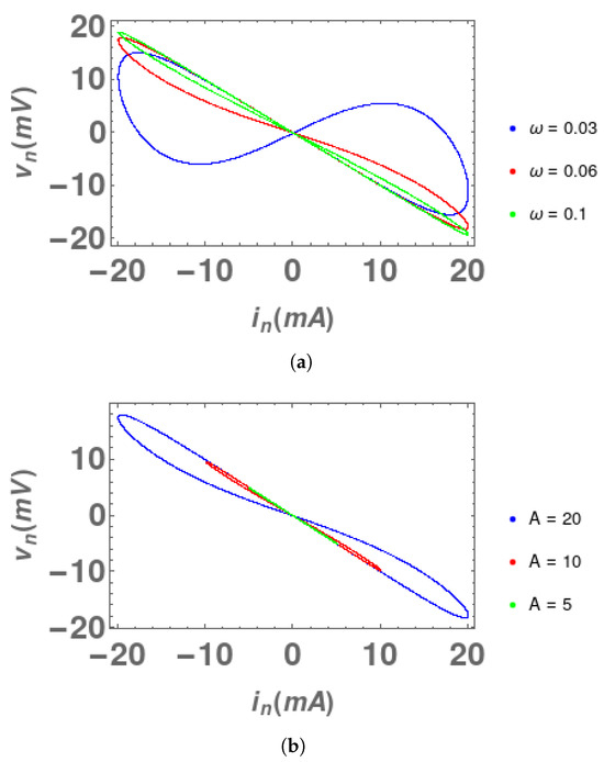
3.2. Response of the System with Respect to the Parameter K
4. Implementation with Microcontrollers
- (1)
- A USB socket serving as both a power source and a link to a PC;
- (2)
- Two 16-bit R2R DAC channels for generating analog signals;
- (3)
- A memory card slot with two decoupling capacitors for storing logged data;
- (4)
- A connector designed for the PIC32 microcontroller;
- (5)
- Interface headers for an LCD, a keypad, analog output signals, and a reset button.
- (A)
- A 4 × 4 keypad for selecting diagrams;
- (B)
- A 2-line, 16-character LCD for displaying messages;
- (C)
- A pair of BNC sockets for analog output signals;
- (D)
- A reset button enabling system restart.
- (1)
- An Arm Cortex-M7 core;
- (2)
- An operating frequency of 550 MHz;
- (3)
- A double-precision FPU;
- (4)
- Flash size = 1024 kB;
- (5)
- RAM size = 564 kB;
- (6)
- One D/A converter, 12-bit, and two A/D converters, 16-bit;
- (7)
- A minimum supply voltage at 1.62 V and the maximum at 3.6 V;
- (8)
- Board connectors such as USB and Ethernet RJ45 connectors;
- (9)
- Two user and reset push-buttons.
5. Conclusions
Author Contributions
Funding
Data Availability Statement
Conflicts of Interest
References
- Chen, M.; Sun, M.; Bao, H.; Hu, Y.; Bao, B. Flux–charge analysis of two-memristor-based Chua’s circuit: Dimensionality decreasing model for detecting extreme multistability. IEEE Trans. Ind. Electron. 2019, 67, 2197–2206. [Google Scholar] [CrossRef]
- Meng, X.; Rozycki, P.; Qiao, J.F.; Wilamowski, B.M. Nonlinear system modeling using RBF networks for industrial application. IEEE Trans. Ind. Inform. 2017, 14, 931–940. [Google Scholar] [CrossRef]
- Eshraghian, K.; Kavehei, O.; Cho, K.R.; Chappell, J.M.; Iqbal, A.; Al-Sarawi, S.F.; Abbott, D. Memristive device fundamentals and modeling: Applications to circuits and systems simulation. Proc. IEEE 2012, 100, 1991–2007. [Google Scholar] [CrossRef]
- Wang, F.Z. A triangular periodic table of elementary circuit elements. IEEE Trans. Circuits Syst. I Regul. Pap. 2013, 60, 616–623. [Google Scholar] [CrossRef]
- Corinto, F.; Forti, M. Memristor circuits: Bifurcations without parameters. IEEE Trans. Circuits Syst. I Regul. Pap. 2017, 64, 1540–1551. [Google Scholar] [CrossRef]
- Guo, T.; Pan, K.; Jiao, Y.; Sun, B.; Du, C.; Mills, J.P.; Chen, Z.; Zhao, X.; Wei, L.; Zhou, Y.N.; et al. Versatile memristor for memory and neuromorphic computing. Nanoscale Horizons 2022, 7, 299–310. [Google Scholar] [CrossRef] [PubMed]
- Chua, L. Five non-volatile memristor enigmas solved. Appl. Phys. A 2018, 124, 1–43. [Google Scholar] [CrossRef]
- Jaafar, A.H.; Gee, A.; Kemp, N. Printed and flexible organic and inorganic memristor devices for non-volatile memory applications. J. Phys. D Appl. Phys. 2023, 56, 503002. [Google Scholar] [CrossRef]
- Pyo, J.; Jang, J.; Ju, D.; Lee, S.; Shim, W.; Kim, S. Amorphous BN-Based Synaptic Device with High Performance in Neuromorphic Computing. Materials 2023, 16, 6698. [Google Scholar] [CrossRef]
- Li, Y.; Wang, Z.; Midya, R.; Xia, Q.; Yang, J.J. Review of memristor devices in neuromorphic computing: Materials sciences and device challenges. J. Phys. D Appl. Phys. 2018, 51, 503002. [Google Scholar] [CrossRef]
- Yang, Y.; Mathew, J.; Pradhan, D.K. Matching in memristor based auto-associative memory with application to pattern recognition. In Proceedings of the 2014 12th International Conference on Signal Processing (ICSP), Hangzhou, China, 19–23 October 2014; pp. 1463–1468. [Google Scholar]
- Bao, H.; Hua, Z.; Wang, N.; Zhu, L.; Chen, M.; Bao, B. Initials-boosted coexisting chaos in a 2-D sine map and its hardware implementation. IEEE Trans. Ind. Inform. 2020, 17, 1132–1140. [Google Scholar] [CrossRef]
- Li, C.; Feng, B.; Li, S.; Kurths, J.; Chen, G. Dynamic analysis of digital chaotic maps via state-mapping networks. IEEE Trans. Circuits Syst. I Regul. Pap. 2019, 66, 2322–2335. [Google Scholar] [CrossRef]
- Hua, Z.; Zhou, Y.; Bao, B. Two-dimensional sine chaotification system with hardware implementation. IEEE Trans. Ind. Inform. 2019, 16, 887–897. [Google Scholar] [CrossRef]
- Hua, Z.; Zhou, Y.; Pun, C.M.; Chen, C.P. 2D Sine Logistic modulation map for image encryption. Inf. Sci. 2015, 297, 80–94. [Google Scholar] [CrossRef]
- Hénon, M. A two-dimensional mapping with a strange attractor. In The Theory of Chaotic Attractors; Springer: Berlin/Heidelberg, Germany, 2004; pp. 94–102. [Google Scholar]
- Chen, S.; Yu, S.; Lü, J.; Chen, G.; He, J. Design and FPGA-based realization of a chaotic secure video communication system. IEEE Trans. Circuits Syst. Video Technol. 2017, 28, 2359–2371. [Google Scholar] [CrossRef]
- Bao, B.; Li, H.; Zhu, L.; Zhang, X.; Chen, M. Initial-switched boosting bifurcations in 2D hyperchaotic map. Chaos Interdiscip. J. Nonlinear Sci. 2020, 30, 033107. [Google Scholar] [CrossRef] [PubMed]
- Deng, W.; Ma, M. Analysis of the dynamical behavior of discrete memristor-coupled scale-free neural networks. Chin. J. Phys. 2024, 91, 966–976. [Google Scholar] [CrossRef]
- Bao, H.; Hua, Z.; Li, H.; Chen, M.; Bao, B. Discrete memristor hyperchaotic maps. IEEE Trans. Circuits Syst. I Regul. Pap. 2021, 68, 4534–4544. [Google Scholar] [CrossRef]
- Gu, Y.; Bao, H.; Xu, Q.; Zhang, X.; Bao, B. Cascaded Bi-Memristor Hyperchaotic Map. IEEE Trans. Circuits Syst. II Express Briefs 2023, 70, 3109–3113. [Google Scholar] [CrossRef]
- Zhang, S.; Wang, C.; Zhang, H. Four Novel Dual Discrete Memristor-Coupled Hyperchaotic Maps. Int. J. Bifurc. Chaos 2024, 34, 2430001. [Google Scholar] [CrossRef]
- Zhang, S.; Li, Y.; Lu, D.; Wang, X.; Zeng, Z. A universal discrete memristor with application to multi-attractor generation. IEEE Trans. Circuits Syst. Regul. Pap. 2024, 71, 3764–3774. [Google Scholar] [CrossRef]
- Li, H.; Hua, Z.; Bao, H.; Zhu, L.; Chen, M.; Bao, B. Two-dimensional memristive hyperchaotic maps and application in secure communication. IEEE Trans. Ind. Electron. 2020, 68, 9931–9940. [Google Scholar] [CrossRef]
- Bao, B.C.; Li, H.; Wu, H.; Zhang, X.; Chen, M. Hyperchaos in a second-order discrete memristor-based map model. Electron. Lett. 2020, 56, 769–770. [Google Scholar] [CrossRef]
- Daoui, A.; Yamni, M.; Pławiak, P.; Alfarraj, O.; Abd El-Latif, A.A. A New Chaotic Memristor-Based Cryptosystem for Secure Bio-Signal Transmission on Low-Cost Hardware. IEEE Access 2024, 12, 78939–78958. [Google Scholar] [CrossRef]
- Tamba, V.K.; Biamou, A.L.M.; Pham, V.T.; Grassi, G. Multistable Memristor Synapse-Based Coupled Bi-Hopfield Neuron Model: Dynamic Analysis, Microcontroller Implementation and Image Encryption. Electronics 2024, 13, 2414. [Google Scholar] [CrossRef]
- Mou, J.; Han, Z.; Cao, Y.; Banerjee, S. Discrete second-order memristor and its application to chaotic map. IEEE Trans. Circuits Syst. II Express Briefs 2024, 71, 2824–2828. [Google Scholar] [CrossRef]
- Xiang, Q.; Shen, Y.; Peng, S.; Liu, M. A Two-Dimensional Discrete Memristor Map: Analysis and Implementation. Int. J. Bifurc. Chaos 2024, 34, 2450124. [Google Scholar] [CrossRef]
- Çiçek, S. Microcontroller-based random number generator implementation by using discrete chaotic maps. Sak. Univ. J. Sci. 2020, 24, 832–844. [Google Scholar] [CrossRef]
- Stoyanov, B.; Ivanova, T. CHAOSA: Chaotic map based random number generator on Arduino platform. In Proceedings of the AIP Conference Proceedings, Sozopol, Bulgaria, 13 November 2019; AIP Publishing LLC.: Sozopol, Bulgaria, 2019; Volume 2172, p. 090001. [Google Scholar]
- Joshi, P.; Rahaman, H. Memristor based In-Memory Computing for Edge AI Applications. In Proceedings of the 2023 International Symposium on Devices, Circuits and Systems (ISDCS), Higashihiroshima, Japan, 29–31 May 2023; Volume 1, pp. 1–6. [Google Scholar]
- Hu, M.; Graves, C.E.; Li, C.; Li, Y.; Ge, N.; Montgomery, E.; Davila, N.; Jiang, H.; Williams, R.S.; Yang, J.J.; et al. Memristor-based analog computation and neural network classification with a dot product engine. Adv. Mater. 2018, 30, 1705914. [Google Scholar] [CrossRef] [PubMed]
- Li, K.; Bao, B.; Ma, J.; Chen, M.; Bao, H. Synchronization transitions in a discrete memristor-coupled bi-neuron model. Chaos Solitons Fractals 2022, 165, 112861. [Google Scholar] [CrossRef]
- Lai, Q.; Yang, L. Discrete memristor applied to construct neural networks with homogeneous and heterogeneous coexisting attractors. Chaos Solitons Fractals 2023, 174, 113807. [Google Scholar] [CrossRef]
- Wang, J.; Gu, Y.; Rong, K.; Xu, Q.; Zhang, X. Memristor-based Lozi map with hidden hyperchaos. Mathematics 2022, 10, 3426. [Google Scholar] [CrossRef]
- Testa, J.; Held, G. Study of a one-dimensional map with multiple basins. Phys. Rev. A 1983, 28, 3085. [Google Scholar] [CrossRef]
- Yesil, A.; Gokyildirim, A.; Babacan, Y.; Calgan, H. A novel memristive chaotic jerk circuit and its microcontroller-based sliding mode control. J. Vib. Control. 2024. [Google Scholar] [CrossRef]
- Giakoumis, A.E.; Volos, C.K.; Stouboulos, I.N.; Polatoglou, H.M.; Kyprianidis, I.M. Chaos generator device based on a 32 bit microcontroller embedded system. In Proceedings of the 2018 7th International Conference on Modern Circuits and Systems Technologies (MOCAST), Thessaloniki, Greece, 7–9 May 2018; pp. 1–4. [Google Scholar] [CrossRef]
- Chua, L. If it’s pinched it’sa memristor. Semicond. Sci. Technol. 2014, 29, 104001. [Google Scholar] [CrossRef]
- Shankar Muni, S. Torus and hyperchaos in 3D Lotka-Volterra map. arXiv 2024, arXiv:2408.15054. [Google Scholar]
- Nordmark, A.B. Non-periodic motion caused by grazing incidence in an impact oscillator. J. Sound Vib. 1991, 145, 279–297. [Google Scholar] [CrossRef]

















| Reference | Type of Microcontroller | CPU Speed (MHz) | Flash Memory (Kb) | SRAM (Kb) | Bifurcation Diagram |
|---|---|---|---|---|---|
| [26] | ATmega328P | 20 | 32 | 2 | No |
| [27] | Arduino Duo | 84 | 512 | 96 | No |
| [28] | TM532OF28335 | 150 | 512 | 68 | No |
| [30] | Arduino Uno | 16 | 32 | 2 | No |
| [31] | Arduino Uno | 16 | 32 | 2 | No |
| [34] | STM32F407 | 168 | 512 | 192 | No |
| [36] | STM32F407VET6 | 168 | 512 | 192 | No |
| [38] | STM32F411RE | 100 | 512 | 128 | No |
| [39] | PIC32MZ2048EFH144 | 252 | 2048 | 512 | Yes |
| This work | STM32H723ZG | 550 | 1024 | 564 | Yes |
Disclaimer/Publisher’s Note: The statements, opinions and data contained in all publications are solely those of the individual author(s) and contributor(s) and not of MDPI and/or the editor(s). MDPI and/or the editor(s) disclaim responsibility for any injury to people or property resulting from any ideas, methods, instructions or products referred to in the content. |
© 2025 by the authors. Licensee MDPI, Basel, Switzerland. This article is an open access article distributed under the terms and conditions of the Creative Commons Attribution (CC BY) license (https://creativecommons.org/licenses/by/4.0/).
Share and Cite
Laskaridis, L.; Volos, C.; Giakoumis, A.E.; Meletlidou, E.; Stouboulos, I. Dynamical Investigation of a Modified Cubic Map with a Discrete Memristor Using Microcontrollers. Electronics 2025, 14, 311. https://doi.org/10.3390/electronics14020311
Laskaridis L, Volos C, Giakoumis AE, Meletlidou E, Stouboulos I. Dynamical Investigation of a Modified Cubic Map with a Discrete Memristor Using Microcontrollers. Electronics. 2025; 14(2):311. https://doi.org/10.3390/electronics14020311
Chicago/Turabian StyleLaskaridis, Lazaros, Christos Volos, Aggelos Emmanouil Giakoumis, Efthymia Meletlidou, and Ioannis Stouboulos. 2025. "Dynamical Investigation of a Modified Cubic Map with a Discrete Memristor Using Microcontrollers" Electronics 14, no. 2: 311. https://doi.org/10.3390/electronics14020311
APA StyleLaskaridis, L., Volos, C., Giakoumis, A. E., Meletlidou, E., & Stouboulos, I. (2025). Dynamical Investigation of a Modified Cubic Map with a Discrete Memristor Using Microcontrollers. Electronics, 14(2), 311. https://doi.org/10.3390/electronics14020311

