Design and Temperature Control of a Novel Aeroponic Plant Growth Chamber
Abstract
1. Introduction
- Real-time fresh weight tracking of plants: Load cells were placed on the growing tray inside the chamber to monitor the fresh weight of the plants in real time.
- Modeling plant growth: Cameras were installed inside the chamber to model the relationship between the plant’s fresh weight and growth.
- Modular design: Both the chamber frame and body were assembled with connecting fittings, producing a modular structure for the novel aeroponic chamber. This design is open to development and facilitates fault detection and repairs.
- Flexibility: In the proposed chamber design, the user can adjust the growing tray according to the plants they wish to cultivate. Additionally, the user can define the number and position of the nozzles based on the number of plants grown. The nozzles inside the chamber are adjustable, allowing for changes in the particle size and spraying pattern according to the plant species.
- Adaptive lighting: In the proposed chamber, the light intensity and spectrum of each RGB LED block were adjusted using pulse-width modulation (PWM). This ensures an appropriate lighting intensity and spectrum for the cultivated plant species, leading to increased yield and energy savings. Additionally, the designed chamber can support academic studies aimed at determining the optimum light intensity and spectrum for plant species grown using aeroponic farming.
- Nutrient solution temperature control: The temperature of the nutrient solution was controlled in the proposed chamber to accelerate plant growth.
- Temperature control model: The temperature model for the upper and lower chambers of the chamber was obtained, and the controllability of the model was demonstrated through simulation results.
2. Materials and Methods
2.1. Aeroponic Plant-Growing Chamber
2.1.1. Mechanical Design of the Aeroponic Plant-Growing Chamber
2.1.2. Electronic Design of a Plant Growth Chamber
- Plant stem height [cm]–time [s] curve
- Root length [cm]–time [s] curve
- Leaf area [cm2]–time [s] curve
- Plant stem three-dimensional growth (stem volume [cm3])–time [s] curve
- Plant root three-dimensional growth (root volume [cm3])–time [s] curve
- Fresh weight [g]–time [s] curve
- Plant volume [cm3]–fresh weight [g] curve
2.1.3. Industrial Control Hardware and Integration into the Plant Growth Chamber
2.2. Derivation of the Transfer Function for Temperature Control of Plant Growth Chamber
2.2.1. Transfer Function of Upper Chamber of Aeroponic Plant Growth Cabinet
2.2.2. Transfer Function of Lower Chamber of Aeroponic Plant Growth Cabinet
2.3. Optimization Algorithms
2.3.1. Particle Swarm Optimization
2.3.2. Radial Movement Optimization
2.3.3. Differential Evolution Algorithm
2.3.4. Mayfly Optimization Algorithm
2.3.5. Error-Area-Based Performance Criteria
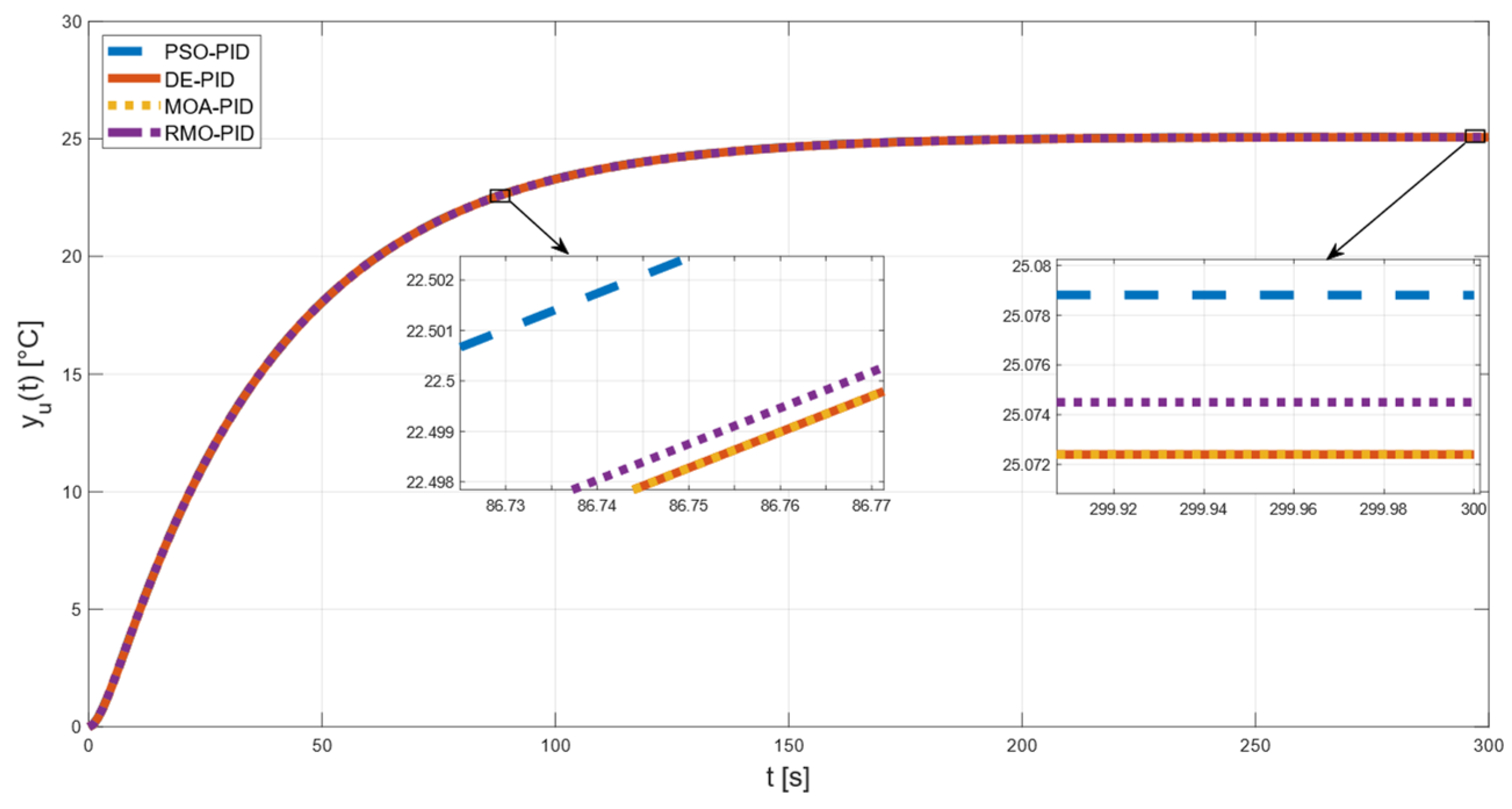
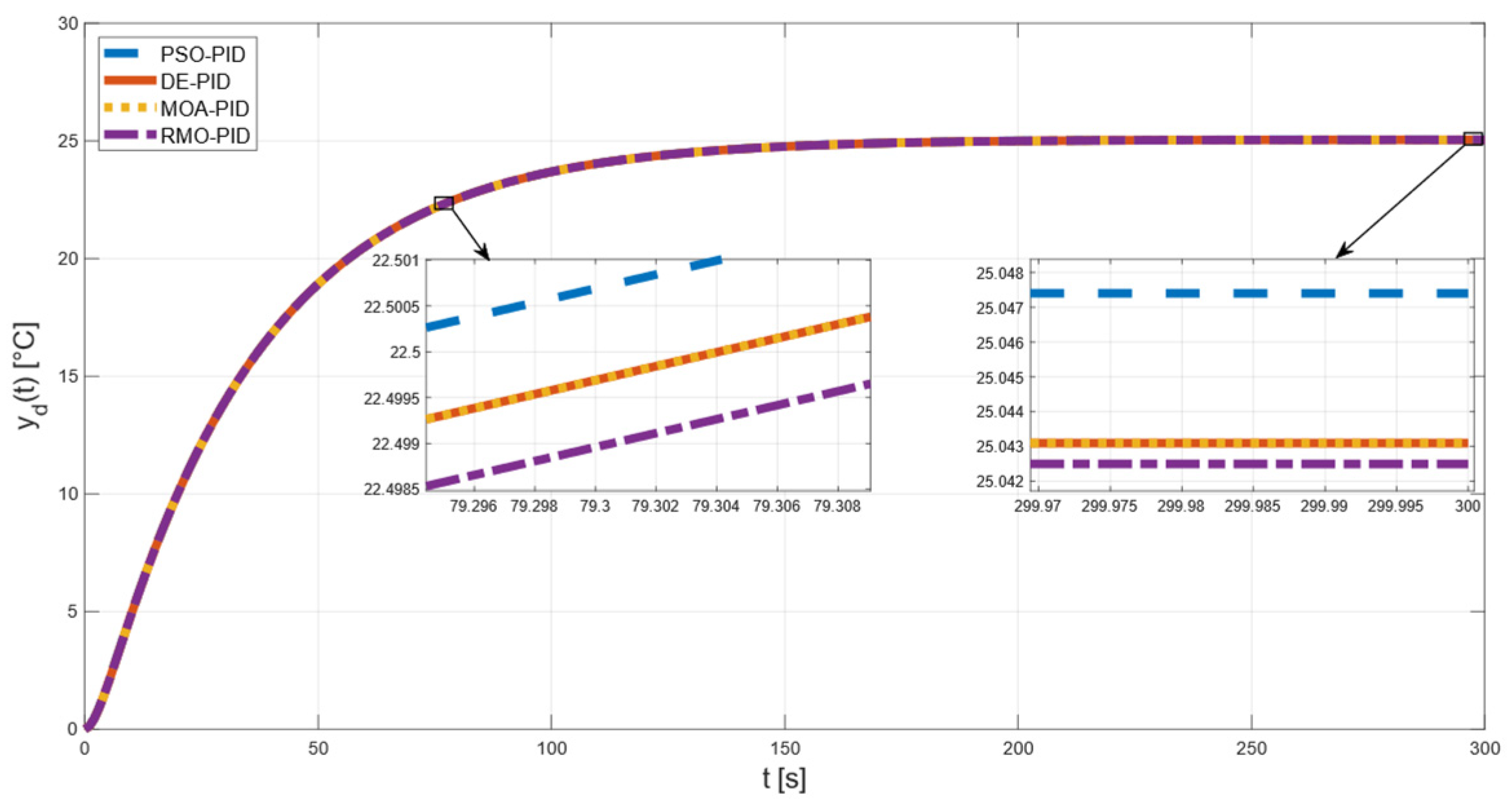
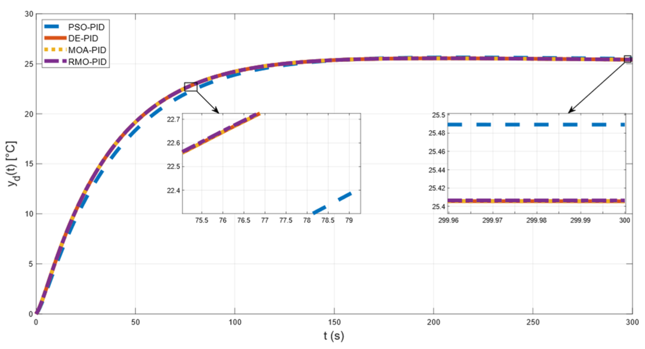
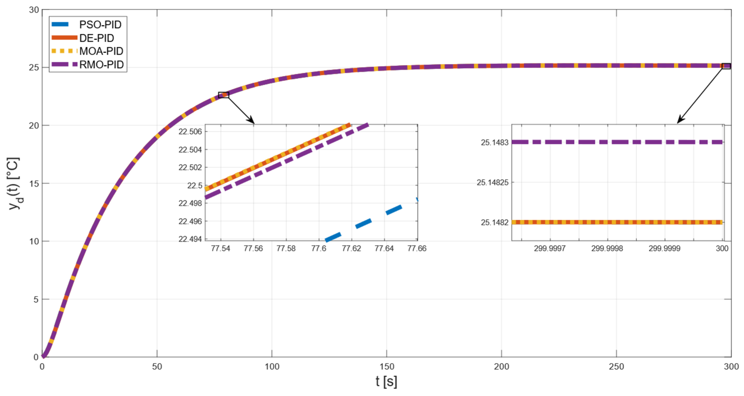
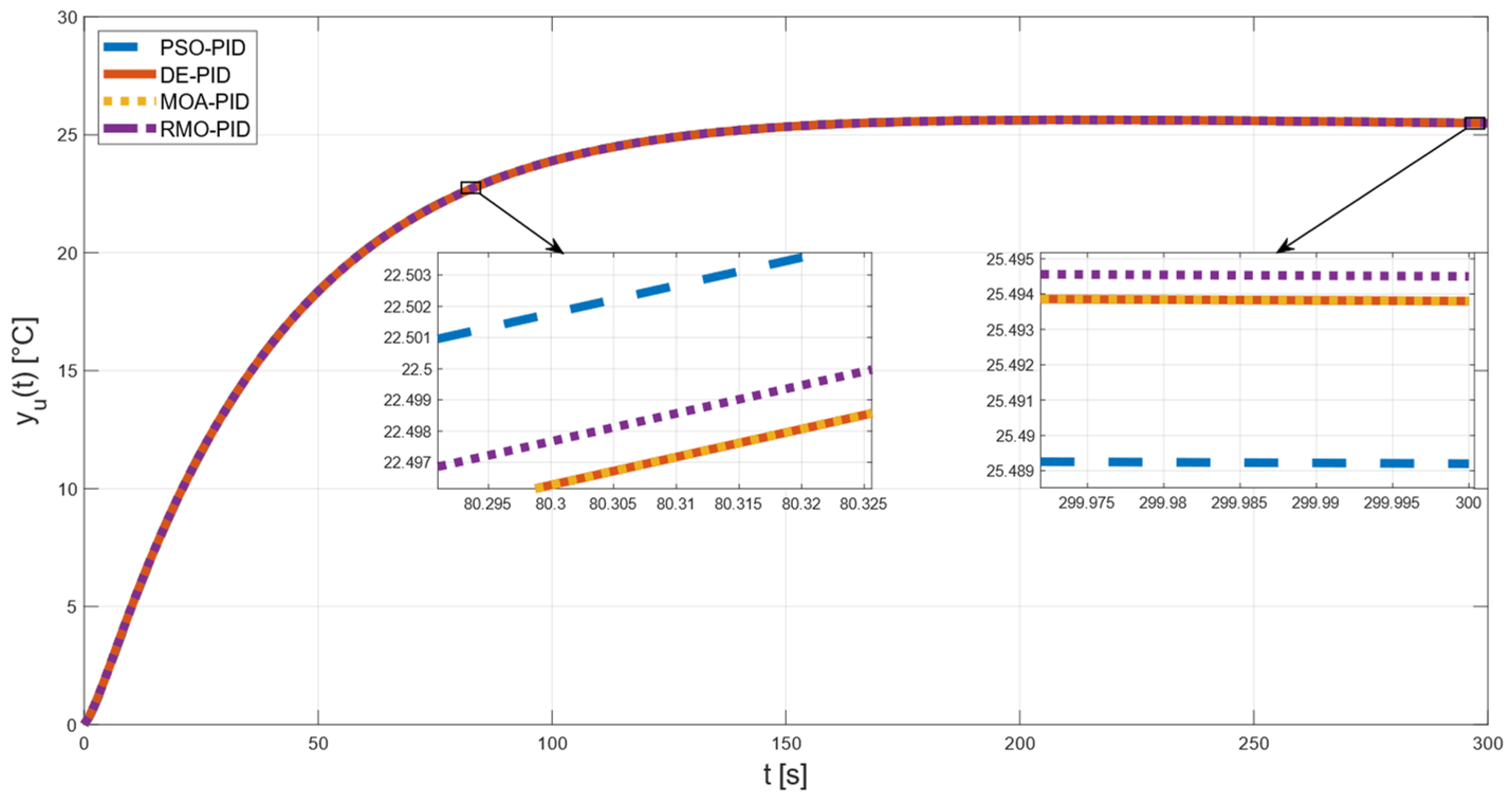
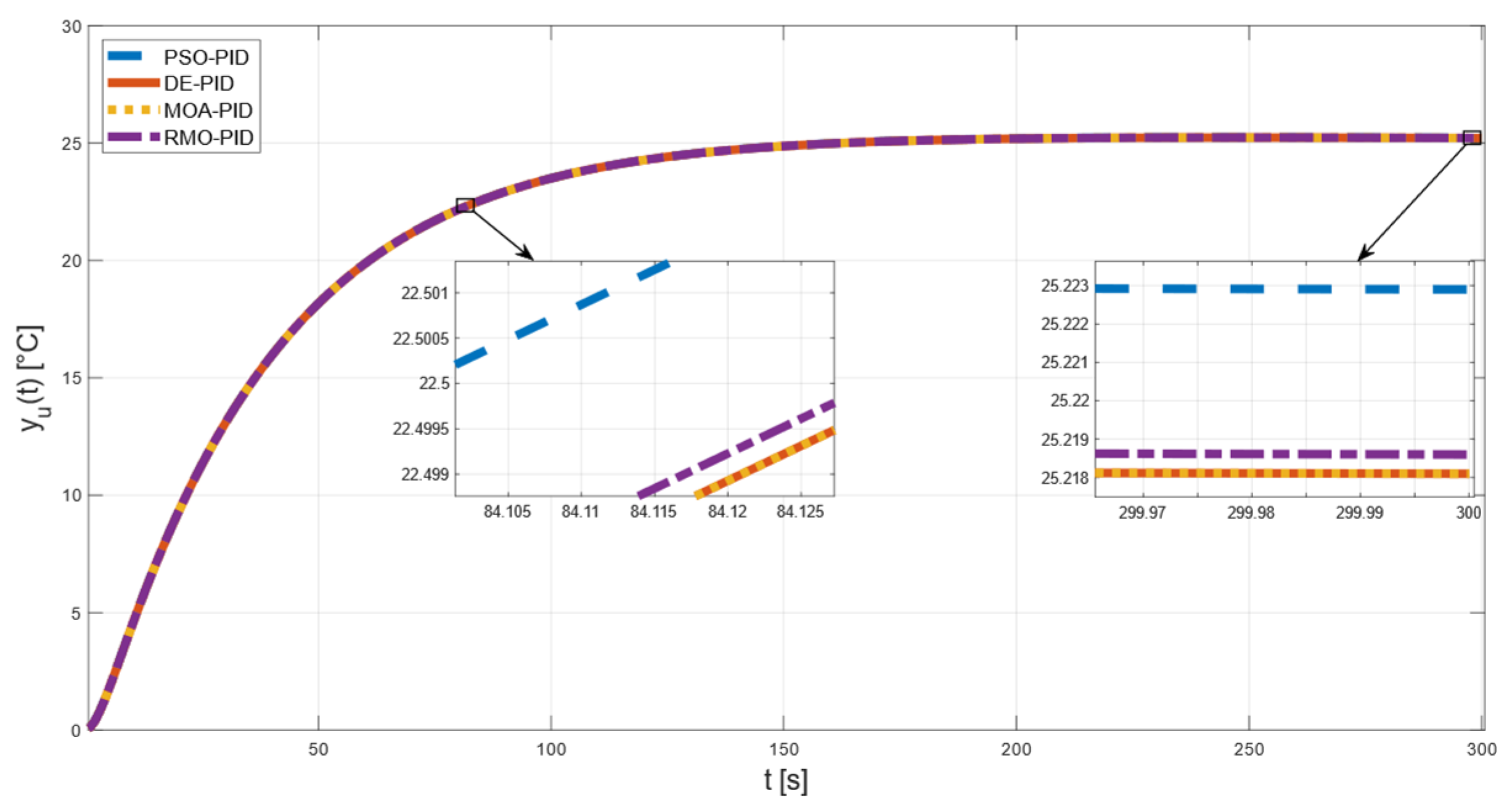
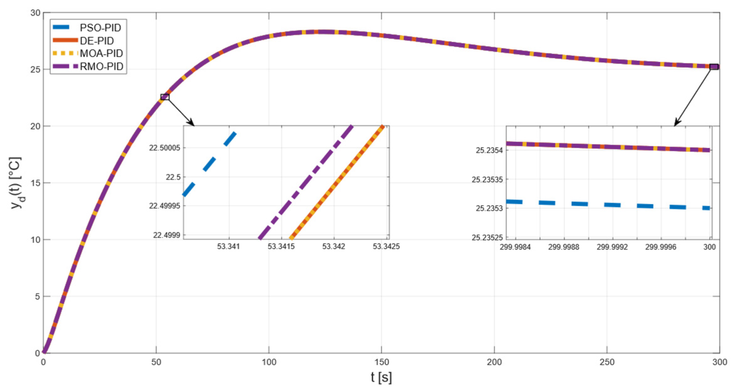
3. Results
3.1. Simulation Results of Temperature Control for the Upper Chamber
3.2. Simulation Results of Temperature Control for the Lower Chamber
4. Conclusions
Author Contributions
Funding
Data Availability Statement
Conflicts of Interest
References
- United Nations. World Urbanization Prospects the 2009 Revision; United Nations: New York City, NY, USA, 2010; pp. 1–47. [Google Scholar]
- Alexandrates, N.; Burinsma, J. World agriculture towards 2030/2050: The 2012 revision. Glob. Perspect. Stud. 2012, 12, 1–154. [Google Scholar]
- Pimentel, D.; Berger, B.; Filiberto, D. Water resources agricultural and environmental issues. Bioscience 2004, 54, 909–918. [Google Scholar] [CrossRef]
- Popp, J.; Lakner, Z.; Harangirakos, M.; Fari, M. The effect of bioenergy expansion food energy and environment. Renew. Sust. Energy Rev. 2014, 32, 559–578. [Google Scholar] [CrossRef]
- Garzón, J.; Montes, L.; Garzón, J.; Lampropoulos, G. Systematic Review of Technology in Aeroponics: Introducing the Technology Adoption and Integration in Sustainable Agriculture Model. Agronomy 2023, 13, 2517. [Google Scholar] [CrossRef]
- Zhao, J.; Huang, Q.; Li, J.; Zhuang, T.; Zhan, R.; Ma, X. Development of an aeroponic system for the rare tree species Phoebe zhennan: Aeroponic root production and resource assessment. Ind. Crops Prod. 2025, 232, 121318. [Google Scholar] [CrossRef]
- Hasrak, S.; Zarghami, R. Comparison of minituber production in designed aeroponic system and soil cultivation. Acta Physiol. Plant 2023, 45, 57. [Google Scholar] [CrossRef]
- Kim, J.; Park, H.; Seo, C.; Kim, H.; Choi, G.; Kim, M.; Kim, B.; Lee, W. Sustainable and Inflatable Aeroponics Smart Farm System for Water Efficiency and High-Value Crop Production. Appl. Sci. 2024, 14, 4931. [Google Scholar] [CrossRef]
- Lakhiar, I.A.; Gao, J.; Syed, T.N.; Chandio, F.A.; Buttar, N.A. Modern plant cultivation technologies in agriculture under controlled environment a review on aeroponics. J. Plant Interact. 2018, 13, 338–352. [Google Scholar] [CrossRef]
- Zhao, J.; Ma, L.; Zayed, M.E.; Elsheikh, A.H.; Li, W.; Yan, Q.; Wang, J. Industrial reheating furnaces: A review of energy efficiency assessments, waste heat recovery potentials, heating process characteristics and perspectives for steel industry. Process Saf. Environ. Prot. 2021, 147, 1209–1228. [Google Scholar] [CrossRef]
- Lakhiar, I.A.; Gao, J.; Syed, T.N.; Chandio, F.A.; Buttar, N.A.; Qureshi, A. Monitoring and control systems in agriculture using intelligent sensor techniques: A review of the aeroponic system. J. Sens. 2018, 1, 1–18. [Google Scholar] [CrossRef]
- Montoya, A.P.; Obando, F.A.; Morales, J.G.; Vargas, G. Automatic aeroponic irrigation system based on Arduino’s platform. J. Phys. Conf. Ser. 2016, 5, 1–11. [Google Scholar] [CrossRef]
- Sani, M.I.; Siregar, S.; Kurniawan, A.P.; Jauhari, R.; Mandalahi, C.N. Web-based monitoring and control system for aeroponics growing chamber. In Proceedings of the 2016 International Conference on Control Electronics Renewable Energy and Communications, Bandung, Indonesia, 13–15 September 2016. [Google Scholar]
- Kerns, S.C.; Lee, F.L. Automated aeroponics system using IoT for smart farming. In Proceedings of the 8th International Scientific Forum, Prague, Czech Republic, 28–30 August 2017. [Google Scholar]
- Idris, I.; Sani, M.I. Monitoring and control of aeroponic growing system for potato production. In Proceedings of the 2012 IEEE Conference on Control Systems and Industrial Informatics, Bandung, Indonesia, 18–20 December 2012. [Google Scholar]
- Jonas, P.; Maskara, A.; Salguero, A.; Truong, A. Garduino a cyber-physical aeroponics system. J. Phys. Conf. Ser. 2017, 1, 1–11. [Google Scholar]
- Lucero, L.; Lucero, D.; Mejia, E.O.; Collaguazo, G. Automated aeroponics vegetable growing system case study lettuce. In Proceedings of the 2020 IEEE ANDESCON, Quito, Ecuador, 13–16 October 2020. [Google Scholar]
- Setiawan, A.; Albright, L.D.; Phelan, R.M. Application of pseudo-derivative-feedback algorithm in greenhouse air temperature control. Comput. Electron. Agric. 2000, 26, 283–302. [Google Scholar] [CrossRef]
- Salgado, P.; Cunha, J.B. Greenhouse climate hierarchical fuzzy modelling. Control Eng. Pract. 2005, 13, 613–628. [Google Scholar] [CrossRef]
- Jun, X.; Linli, Z. Design of fuzzy PID control algorithm facing to greenhouse. In Proceedings of the 9th International Conference on Intelligent Human Machine Systems and Cybernetics, Hangzhou, China, 26–27 August 2017. [Google Scholar]
- Heidari, M.; Khodadadi, H. Climate control of an agricultural greenhouse by using fuzzy logic self-tuning PID approach. In Proceedings of the 23rd International Conference on Automation Computing, Huddersfield, UK, 7–8 September 2017. [Google Scholar]
- Min, A.; Nguyen, N.; Howatt, L.; Tavares, M.; Seo, J. Aeroponic systems design: Considerations and challenges. J. Agric. Eng. 2023, 54, 1–12. [Google Scholar] [CrossRef]
- Kim, K.; Huh, J.; Ko, H. Research on crop growing factory focusing on lighting and environmental control with technological proposal. Energies 2021, 14, 2624. [Google Scholar] [CrossRef]
- Chowdhury, M.; Gulandaz, A.; Islam, S.; Reza, N.; Ali, M.; Islam, N.; Park, S.; Chung, S. Lighting conditions affect the growth and glucosinolate contents of Chinese kale leaves grown in an aeroponic plant factory. Hortic. Environ. Biotechnol. 2023, 64, 97–113. [Google Scholar] [CrossRef]
- Rahman, M.H.; Islam, M.J.; Mumu, U.H.; Ryu, B.R.; Lim, J.-D.; Azad, M.O.K.; Cheong, E.J.; Lim, Y.-S. Effect of Light Quality on Seed Potato (Solanum tuberose L.) Tuberization When Aeroponically Grown in a Controlled Greenhouse. Plants 2024, 13, 737. [Google Scholar] [CrossRef]
- Kuncoro, D.B.C.; Sutandi, T.; Adristi, C.; Kuan, Y. Aeroponics root chamber temperature conditioning design for smart mini-tuber potato seed cultivation. Sustainability 2021, 13, 5140. [Google Scholar] [CrossRef]
- Díaz, F.G.; Santibañez, J.M.; Sánchez, L.S.; Meléndez, D.G.; Villalobos, I.T.; Bañuelos, H.G.; Esquivel, M.A.; García, G.E.; Escalante, J.G.; Olvera, C.O. Modeling and simulation of temperature and relative humidity inside a growth chamber. Energies 2019, 12, 4056. [Google Scholar] [CrossRef]
- Shen, P.; Wang, L.; Qureshi, W.A.; Gao, J. Influence of Rhizosphere Temperature and Humidity Regulation on Rooting, Mortality, and Transplant Survival of Aeroponically Rapid Growth Mulberry Cutting. Agronomy 2025, 15, 583. [Google Scholar] [CrossRef]
- Amankwaa-Yeboah, P.; Yeboah, S.; Kyei-Baffour, N.; Agyare, W.A.; Otoo, E. The design and technical performance of two aeroponic systems in Ghana. J. Agric. Sci. 2022, 14, 104–115. [Google Scholar] [CrossRef]
- Yang, X.; Luo, Y.; Jiang, P. Sustainable soilless cultivation mode: Cultivation study on droplet settlement of plant roots under ultrasonic aeroponic cultivation. Sustainability 2022, 14, 13705. [Google Scholar] [CrossRef]
- Qureshi, W.A.; Gao, J.; Elsherbiny, O.; Mosha, A.H.; Tunio, M.H.; Qureshi, J.A. Boosting Aeroponic System Development with Plasma and High-Efficiency Tools: AI and IoT—A Review. Agronomy 2025, 15, 546. [Google Scholar] [CrossRef]
- Tang, L.; Syed, A.-u.-A.; Otho, A.R.; Junejo, A.R.; Tunio, M.H.; Hao, L.; Asghar Ali, M.N.H.; Brohi, S.A.; Otho, S.A.; Channa, J.A. Intelligent Rapid Asexual Propagation Technology—A Novel Aeroponics Propagation Approach. Agronomy 2024, 14, 2289. [Google Scholar] [CrossRef]
- Irawan, M.S.; Arifuddin, R.; Setiawan, A.B. Kontrol pH sistem aeroponik pada tanaman strawberry menggunakan metode fuzzy logic. Cyclotron 2021, 4, 51–54. [Google Scholar]
- Rincón, A.; Candelo-Becerra, J.E.; Hoyos, F.E. Modelling of phosphorus accumulation in an aeroponic coriander crop. Int. J. Agric. Biol. Eng. 2022, 15, 73–79. [Google Scholar]
- Mehra, M.; Saxena, S.; Sankaranarayanan, S.; Tom, R.J.; Veeramanikandan, M. IoT based hydroponics system using deep neural networks. Comput. Electron. Agric. 2018, 155, 473–486. [Google Scholar] [CrossRef]
- Mohagheghi, A.; Moallem, M. IoT based plant identification using multi-level classification. IEEE Access 2024, 12, 146366–146375. [Google Scholar] [CrossRef]
- Turner, J.S. New directions in communications. IEEE J. Sel. Areas Commun. 1995, 13, 11–23. [Google Scholar]
- Risk, W.P.; Kino, G.S.; Shaw, H.J. Fiber-optic frequency shifter using a surface acoustic wave incident at an oblique angle. Opt. Lett. 1986, 11, 115–117. [Google Scholar] [CrossRef] [PubMed]
- Kennedy, J.; Eberhart, R.C. Particle swarm optimization. In Proceedings of the IEEE International Conference on Neural Networks IV, Perth, Australia, 27 November–1 December 1995; pp. 1942–1948. [Google Scholar]
- Kennedy, J.; Eberhart, R.C. A discrete binary version of the particle swarm algorithm. In Proceedings of the Conference on Systems, Man and Cybernetics, Orlando, FL, USA, 12–15 October 1997; pp. 4104–4109. [Google Scholar]
- Eberhart, R.C.; Kennedy, J. A new optimizer using particle swarm theory. In Proceedings of the Sixth International Symposium on Micro Machine and Human Science, Nagoya, Japan, 4–6 October 1995; pp. 39–43. [Google Scholar]
- Rahmani, R.; Yusof, R. A new simple, fast and efficient algorithm for global optimization over continuous search-space problems radial movement optimization. Appl. Math. Comput. 2014, 248, 287–300. [Google Scholar] [CrossRef]
- Rahmani, R.; Yusof, R.; Ismail, N. A new metaheuristic algorithm for global optimization over continuous search space. ICIC Express Lett. 2015, 9, 1335–1340. [Google Scholar]
- Price, K.; Storn, R.; Lampinen, J. Differential Evolution: A practical Approach to Global Optimization; Springer: Berlin/Heidelberg, Germany, 2005. [Google Scholar]
- Price, K.; Storn, R. Differential evolution: Numerical optimization made easy. Dr. Dobb’s J. 1997, 220, 18–24. [Google Scholar]
- Hu, H.; Li, H.; Liang, G.; Zhao, L.; Yang, J.; Wei, X. Phase-Only Pattern Synthesis for Spaceborne Array Antenna Based on Improved Mayfly Optimization Algorithm. Electronics 2023, 12, 895. [Google Scholar] [CrossRef]
- Xu, Y.; Jin, Y.; Sun, Z.; Xue, X. PSO-Based System Identification and Fuzzy-PID Control for EC Real-Time Regulation in Fertilizer Mixing System. Agronomy 2025, 15, 1259. [Google Scholar] [CrossRef]
- Zishan, F.; Akbari, E.; Montoya, O.D.; Giral-Ramírez, D.A.; Molina-Cabrera, A. Efficient PID Control Design for Frequency Regulation in an Independent Microgrid Based on the Hybrid PSO-GSA Algorithm. Electronics 2022, 11, 3886. [Google Scholar] [CrossRef]
- Feleke, S.; Satish, R.; Tatek, W.; Abdelaziz, A.Y.; El-Shahat, A. DE-Algorithm-Optimized Fuzzy-PID Controller for AGC of Integrated Multi Area Power System with HVDC Link. Energies 2022, 15, 6174. [Google Scholar] [CrossRef]
- Boopathi, D.; Jagatheesan, K.; Anand, B.; Samanta, S.; Dey, N. Frequency Regulation of Interlinked Microgrid System Using Mayfly Algorithm-Based PID Controller. Sustainability 2023, 15, 8829. [Google Scholar] [CrossRef]
- Ouyang, P.; Pano, V. Comparative Study of DE, PSO and GA for Position Domain PID Controller Tuning. Algorithms 2015, 8, 697. [Google Scholar] [CrossRef]
























| Specification | Proposed Chamber | Nukleon (Ankara, Turkey) NIT250 | Nuve (Ankara, Turkey) TK252 | MMM Medcenter (Planegg, Germany) Climacell 404 EVO |
|---|---|---|---|---|
| Plant cultivation | Aeroponic | Conventional | Conventional | Conventional |
| Nutrient transfer | Automatic | None | None | None |
| Nutrient solution pH, EC and temperature control | Automatic | None | None | None |
| Light spectrum control | Yes | None | None | None |
| Plant weight monitoring | Real time | None | None | None |
| Maximum light intensity | 64,680 lm | 6000 lm | 12,000 lm | 21,000 lm |
| Temperature and humidity control method | PID | PID | PID | PID |
| Type of lighting | LED (RGB) | Fluorescent | Fluorescent | LED (White) |
| Type of controller | PLC | Microcontrol. | Microcontroller | Microcontroller |
| Remote access | Yes | None | None | None |
| Maximum power consumption | 2685.18 W | 2000 W | 2000 W | 2700 W |
| Plant | Root Length (cm) | Stem Length (cm) |
|---|---|---|
| Lettuce | 15–20 | 25–30 |
| Basil | 10–20 | 30–50 |
| Spinach | 20–30 | 30–45 |
| Tomato | 30–40 | 100–150 |
| Cucumber | 30–50 | 100–200 |
| Pepper | 20–40 | 40–100 |
| Strawberry | 20–30 | 30–50 |
| Coriander | 15–25 | 25–35 |
| Cauliflower | 30–40 | 50–60 |
| Broccoli | 30–40 | 60–80 |
| Lettuce | 15–20 | 25–30 |
| Basil | 10–20 | 30–50 |
| Spinach | 20–30 | 30–45 |
| Tomato | 30–40 | 100–150 |
| Cucumber | 30–50 | 100–200 |
| Liquid | Nutrient Solution pH Value | Nutrient Solution EC Value |
|---|---|---|
| Nutrient A | Decreases | Increases |
| Nutrient B | Decreases | Increases |
| pH Increaser | Increases | Increases |
| pH Decreaser | Decreases | Increases |
| Water | Increases | Decreases |
| Category | Specification |
|---|---|
| Height | 31.91 mm |
| Width | 72.91 mm |
| Depth | 66.64 mm |
| Weight | 75 g |
| Image resolutions | 1920 × 1080 pixels or 1280 × 720 pixels |
| Video resolutions | 1080 p/30 fps or 720 p/30 fps |
| Camera megapixel | 2 MP |
| Focus type | Fixed focus |
| Lens type | Four element plastic lenses with anti-reflective coating |
| Diagonal field of view | 58° |
| Component | Maximum Power (W) | Quantity | Total Power (W) | |
|---|---|---|---|---|
![]() | PLC processor module (Siemens (Munich, Germany) CPU 1212C DC/DC/DC) | 9.00 | 1 | 9.00 |
![]() | PLC digital output module (Siemens SM 1222) | 2.50 | 1 | 2.50 |
![]() | PLC analog input module (Siemens SM 1231) | 1.50 | 1 | 1.50 |
![]() | PLC communication module (Siemens CM1241) | 1.10 | 1 | 1.10 |
![]() | PLC Human–machine interface (Siemens TP700) | 12.00 | 1 | 12.00 |
![]() | Relay and socket (Wago (Minden, Germany) 788-312 DC 24 V 2x8A) | 0.50 | 10 | 5.00 |
![]() | RGB power LED (Foryard (Ningbo, China) 3 W RGB power LED) | 3.00 | 462 | 1386.00 |
![]() | PCB heat bed array (Prusa Research (Prague, Czech Republic) MK2A PCB Heatbed 216 × 216 × 2) | 120.00 | 7 | 840.00 |
![]() | Ultrasonic mist maker (Suntek (Shenzhen, China) 350 mL/H) | 24.00 | 1 | 24.00 |
![]() | Peltier array (Adafruit Industries (New York City, NY, USA) TEC1-12706) | 56.00 | 6 | 336.00 |
![]() | Peristaltic Pump (Grothen (Düsseldorf, Germany) G328) | 1.00 | 6 | 6.00 |
![]() | Diaphragm Pump (Seaflo (Xiamen, China) SFDP2-016-100-34) | 36.00 | 1 | 36.00 |
![]() | Load cell and 24-bit ADC (Sparkfun (Niwot, CO, USA) HX711) | 0.05 | 4 | 0.20 |
![]() | Temperature and humidity sensor (HiLetgo (Shenzhen, China) RS485 SHT20) | 0.20 | 6 | 1.20 |
![]() | pH sensor kit (DFRobot (Shanghai, China) Gravity Meter Pro Kit V2) | 0.50 | 1 | 0.50 |
![]() | EC sensor kit (DFRobot (Shanghai, China) Gravity Analog EC) | 0.50 | 1 | 0.50 |
![]() | DC Fan (Marxlow (Guangzhou, China) 24 V Fan 80 × 80 × 25) | 1.08 | 21 | 22.68 |
![]() | Adjustable Voltage Regulator (XLSEMI (Shenzhen, China) LM2596 Power Module) | 1.00 | 1 | 1.00 |
| Maximum Power Consumption of the Chamber | 2685.18 | |||
| Parameter | Value |
|---|---|
| Insulating material | FR4 |
| Thermal conductivity coefficient () | 0.294 W/m2 °C |
| Density () | 1.9 × 103 kg/m3 |
| Specific heat capacity () | 1.15 × 103 J/kg °C |
| Width () | 214 mm |
| Length () | 214 mm |
| Thickness () | 1.7 mm |
| Parameter | Value |
|---|---|
| Thermal conductivity coefficient of air () | 20 W/m2 °C |
| Density of air () | 1.2 kg/m3 |
| Specific heat capacity of air () | 1000 J/kg °C |
| Width () | 600 mm |
| Length () | 900 mm |
| Depth () | 600 mm |
| Parameter | Value |
|---|---|
| Thermal conductivity coefficient of air () | 20 W/m2 °C |
| Density of air () | 1.2 kg/m3 |
| Specific heat capacity of air () | 1000 J/kg °C |
| Width () | 600 mm |
| Length () | 600 mm |
| Depth () | 600 mm |
| Algorithm | Parameter | Value |
|---|---|---|
| PSO | 2 | |
| 2 | ||
| Number of particles | 50 | |
| RMO | 0.7 | |
| 0.8 | ||
| 1 | ||
| 0 | ||
| Number of particles | 50 | |
| DE | 0.8 | |
| 0.9 | ||
| Number of agents | 50 | |
| MOA | 50 | |
| 50 | ||
| 0.8 | ||
| 1 | ||
| 1 | ||
| 1.5 | ||
| 1.5 | ||
| 2 | ||
| 5 | ||
| 1 | ||
| 0.8 | ||
| 0.99 | ||
| 20 | ||
| 0.01 |
| Parameters and Indices | PSO-PID | RMO-PID | DE-PID | MOA-PID |
|---|---|---|---|---|
| KP | 100.000000 | 100.000000 | 100.000000 | 100.000000 |
| KI | 0.380388 | 0.379340 | 0.379203 | 0.379203 |
| KD | 3.305454 | 0.365442 | 0.000000 | 0.000000 |
| Rise Time | 80.357476 | 80.314130 | 80.308950 | 80.308950 |
| Settling Time | 139.030332 | 139.100385 | 139.110253 | 139.110253 |
| Maximum Error | 0.086812 | 0.083163 | 0.082682 | 0.082682 |
| IAE | 984.411902 | 984.387662 | 984.384534 | 984.384534 |
| Parameters and Indices | PSO-PID | RMO-PID | DE-PID | MOA-PID |
|---|---|---|---|---|
| KP | 100.000000 | 100.000000 | 100.000000 | 100.000000 |
| KI | 1.340381 | 1.343214 | 1.343209 | 1.343210 |
| KD | 100.000000 | 100.000000 | 100.000000 | 100.000000 |
| Rise Time | 51.009745 | 50.951832 | 50.951927 | 50.951924 |
| Settling Time | 257.767743 | 257.728283 | 257.728348 | 257.728347 |
| Maximum Error | 14.028406 | 14.076040 | 14.075962 | 14.075964 |
| ISE | 12422.3280 | 12,422.3269 | 12,422.3269 | 12,422.3269 |
| Parameters and Indices | PSO-PID | RMO-PID | DE-PID | MOA-PID |
|---|---|---|---|---|
| KP | 100.000000 | 100.000000 | 100.000000 | 100.000000 |
| KI | 0.345990 | 0.345046 | 0.344597 | 0.344598 |
| KD | 3.410020 | 1.856802 | 0.000000 | 0.000000 |
| Rise Time | 81.335115 | 81.319598 | 81.283569 | 81.283567 |
| Settling Time | 144.510275 | 144.607973 | 144.617174 | 144.617160 |
| Maximum Error | 0.001413 | 0.000868 | 0.000663 | 0.000663 |
| ITAE | 35,341.9723 | 35,322.4702 | 35,304.1684 | 35,304.1683 |
| Parameters and Indices | PSO-PID | RMO-PID | DE-PID | MOA-PID |
|---|---|---|---|---|
| KP | 100.000000 | 100.000000 | 100.000000 | 100.000000 |
| KI | 0.459426 | 0.461050 | 0.460796 | 0.460796 |
| KD | 89.737010 | 99.942198 | 100.000000 | 100.000000 |
| Rise Time | 79.819737 | 80.014467 | 80.025589 | 80.025589 |
| Settling Time | 129.651247 | 129.732526 | 129.771576 | 129.771578 |
| Maximum Error | 0.528997 | 0.536919 | 0.534969 | 0.534969 |
| ITSE | 23,2124.565 | 232,086.351 | 232,086.092 | 232,086.092 |
| Parameters and Indices | PSO-PID | RMO-PID | DE-PID | MOA-PID |
|---|---|---|---|---|
| KP | 100.000000 | 100.000000 | 100.000000 | 100.000000 |
| KI | 0.356984 | 0.357098 | 0.357092 | 0.357095 |
| KD | 8.948512 | 0.756296 | 0.000000 | 0.000000 |
| Rise Time | 73.448136 | 73.233688 | 73.214251 | 73.214181 |
| Settling Time | 128.761109 | 128.471194 | 128.446665 | 128.446265 |
| Maximum Error | 0.066266 | 0.067479 | 0.067531 | 0.067541 |
| IAE | 903.860319 | 903.783245 | 903.776167 | 903.776167 |
| Parameters and Indices | PSO-PID | RMO-PID | DE-PID | MOA-PID |
|---|---|---|---|---|
| KP | 100.000000 | 100.000000 | 100.000000 | 100.000000 |
| KI | 1.232768 | 1.232692 | 1.232685 | 1.232685 |
| KD | 100.000000 | 100.000000 | 100.000000 | 100.000000 |
| Rise Time | 49.269673 | 49.271201 | 49.271350 | 49.271345 |
| Settling Time | 251.498601 | 251.499348 | 251.499420 | 251.499418 |
| Maximum Error | 12.145286 | 12.144060 | 12.143940 | 12.143944 |
| ISE | 11,451.3380 | 11,451.3380 | 11,451.3380 | 11,451.3380 |
| Parameters and Indices | PSO-PID | RMO-PID | DE-PID | MOA-PID |
|---|---|---|---|---|
| KP | 100.000000 | 100.000000 | 100.000000 | 100.000000 |
| KI | 0.331541 | 0.330398 | 0.330532 | 0.330532 |
| KD | 3.632394 | 0.000000 | 0.000000 | 0.000000 |
| Rise Time | 73.912527 | 73.844398 | 73.841506 | 73.841506 |
| Settling Time | 132.287018 | 132.330305 | 132.310774 | 132.310775 |
| Maximum Error | 0.002028 | 0.001128 | 0.001226 | 0.001226 |
| ITAE | 29,673.9172 | 29,637.7721 | 29,637.5548 | 29,637.5548 |
| Parameters and Indices | PSO-PID | RMO-PID | DE-PID | MOA-PID |
|---|---|---|---|---|
| KP | 100.000000 | 100.000000 | 100.000000 | 100.000000 |
| KI | 0.437902 | 0.437483 | 0.437115 | 0.437115 |
| KD | 88.376475 | 98.270733 | 100.000000 | 100.000000 |
| Rise Time | 73.074401 | 73.335318 | 73.390482 | 73.390482 |
| Settling Time | 119.870885 | 120.241049 | 120.346524 | 120.346524 |
| Maximum Error | 0.527761 | 0.520812 | 0.517336 | 0.517336 |
| ITSE | 195,114.219 | 195,078.084 | 195,071.840 | 195,071.840 |
Disclaimer/Publisher’s Note: The statements, opinions and data contained in all publications are solely those of the individual author(s) and contributor(s) and not of MDPI and/or the editor(s). MDPI and/or the editor(s) disclaim responsibility for any injury to people or property resulting from any ideas, methods, instructions or products referred to in the content. |
© 2025 by the authors. Licensee MDPI, Basel, Switzerland. This article is an open access article distributed under the terms and conditions of the Creative Commons Attribution (CC BY) license (https://creativecommons.org/licenses/by/4.0/).
Share and Cite
Guney, A.; Cakir, O. Design and Temperature Control of a Novel Aeroponic Plant Growth Chamber. Electronics 2025, 14, 2801. https://doi.org/10.3390/electronics14142801
Guney A, Cakir O. Design and Temperature Control of a Novel Aeroponic Plant Growth Chamber. Electronics. 2025; 14(14):2801. https://doi.org/10.3390/electronics14142801
Chicago/Turabian StyleGuney, Ali, and Oguzhan Cakir. 2025. "Design and Temperature Control of a Novel Aeroponic Plant Growth Chamber" Electronics 14, no. 14: 2801. https://doi.org/10.3390/electronics14142801
APA StyleGuney, A., & Cakir, O. (2025). Design and Temperature Control of a Novel Aeroponic Plant Growth Chamber. Electronics, 14(14), 2801. https://doi.org/10.3390/electronics14142801



















