A Compact Monopole Wideband Antenna Based on DGS
Abstract
1. Introduction
2. Antenna Design Methodology and Optimization Process
2.1. Initial Antenna Design
2.2. Reconfiguration and Characterization of Antenna
2.3. Evolution of the Proposed Antenna Design
2.4. The Proposed Antenna Designs
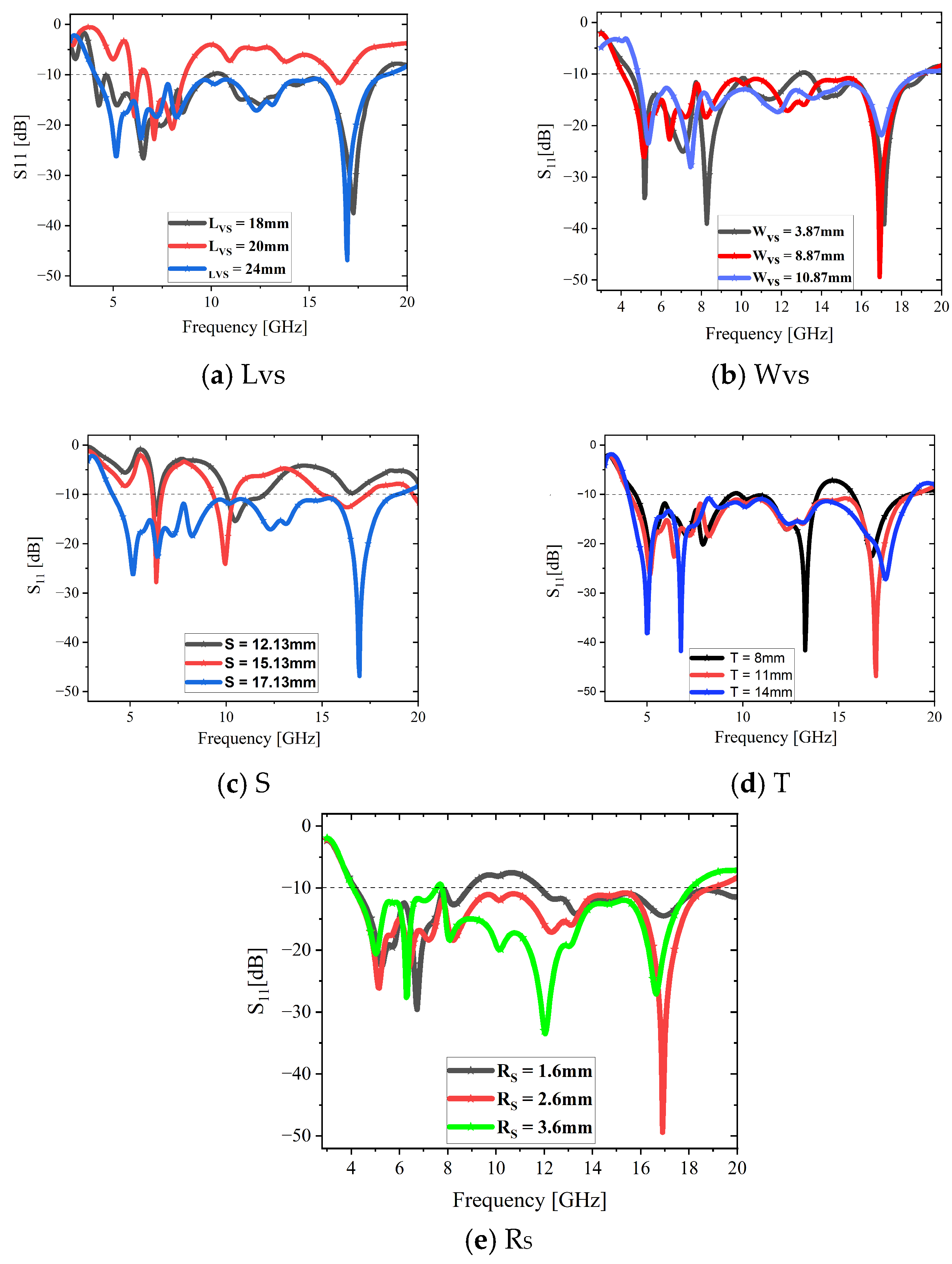
2.5. Parametric Analysis
2.5.1. Effect of Length of L-Slot Vertical (Lvs)
2.5.2. Effect of Width of L-Slot Vertical (WVS)
2.5.3. Effect of Spacing of L-Slot Horizontal (S)
2.5.4. Effect of Thickness of L-Slot Horizontal (T)
2.5.5. Effect of Radius of Semi-Circular Slot (RS)
3. Simulation Results and Analysis
3.1. Reflection Coefficient (S11) and Voltage Standing Wave Ratio (VSWR)
3.2. Surface Current Distribution
3.3. Peak Gain
3.4. Total Efficiency
3.5. Radiation Pattern
3.6. Parametric Analysis on G-Shaped Patch Antenna
3.6.1. Effect of Variation of Lt
3.6.2. Effect of Variation of VW
3.6.3. Variation of K
4. Fabrication, Measurements, and Comparison
4.1. The Measured Radiation Patterns
4.2. The Impedance Plot Analysis of the Antenna
4.3. Performance Comparison of the Antenna
5. Conclusions
Author Contributions
Funding
Data Availability Statement
Conflicts of Interest
References
- Sarkar, T.; Ghosh, A.; Singh, L.L.; Chattopadhyay, S. DGS-integrated air-loaded wideband microstrip antenna for X- and Ku-band. IEEE Antennas Wirel. Propag. Lett. 2019, 19, 114–118. [Google Scholar] [CrossRef]
- Srinivasu, G.; Anveshkumar, N.; Sharma, V.K. A Compact Octagon Slotted Circular UWB Antenna for RF Energy Harvesting. In Proceedings of the 2020 International Conference on Emerging Trends in Information Technology and Engineering (ic-ETITE), Vellore, India, 24–25 February 2020; IEEE: New York, NY, USA, 2020; pp. 1–5. [Google Scholar]
- Gireesh, N.; Damodaram, D.; Venkataramanan, C. Design and Performance Enhancement of DGS Based Planar Antenna for UWB Wireless Communication. In Proceedings of the 2023 International Conference on Ambient Intelligence, Knowledge Informatics and Industrial Electronics (AIKIIE), Ballari, India, 2–3 November 2023; IEEE: New York, NY, USA, 2023; pp. 1–5. [Google Scholar]
- Singh, A.K.; Dwivedi, A.K.; Singh, V.; Yadav, R.S. A miniaturized planar antenna with optimized slots and DGS for UWB applications. In Proceedings of the 2021 International Conference Engineering and Telecommunication (En&T), Shenzhen, China, 27–29 November 2021; IEEE: New York, NY, USA, 2023; pp. 1–5. [Google Scholar]
- Kalpana, M.; Kishore, K.L.; Reddy, R.R. Circular Patch Antenna with Rectangular Slots and DGS for UWB and Multiband Applications. In Proceedings of the 2022 International Conference on Computing, Communication and Power Technology (IC3P), Visakhapatnam, India, 7–8 January 2022; IEEE: New York, NY, USA, 2023; pp. 157–160. [Google Scholar]
- Suneeyamu, M.; Darimireddy, N.K.; Reddy, R.R.; Rajasekhar, N. Modified plus-Shaped Microstrip Patch Antenna with DGS for Ultra Wide-Band Applications. In Proceedings of the 2023 IEEE Wireless Antenna and Microwave Symposium (WAMS), Ahmedabad, India, 7–10 June 2023; IEEE: New York, NY, USA, 2023; pp. 1–5. [Google Scholar]
- Parveen, R.; Debnath, A.; Abir, F.S.; Rahman, M.A. Slotted Monopole Patch Antenna Design for Ultra-Wideband Wireless Applications. In Proceedings of the 2023 IEEE International Conference on Telecommunications and Photonics (ICTP), Dhaka, Bangladesh, 21–23 December 2023; IEEE: New York, NY, USA, 2023; pp. 1–5. [Google Scholar]
- Zehra, S.W.; Zahid, M.; Amin, Y. A compact 2 element MIMO antenna for UWB applications. In Proceedings of the 2021 IEEE Asia Pacific Conference on Wireless and Mobile (APWiMob), Bandung, Indonesia, 8–9 April 2021; IEEE: New York, NY, USA, 2023; pp. 247–252. [Google Scholar]
- Pradeep, P.; Kottareddygari, J.S.; Paidimarry, C.S. Design of a novel compact L-slotted monopole antenna for 5G applications in sub-6 GHz band. In Proceedings of the 2022 3rd International Conference on Electronics and Sustainable Communication Systems (ICESC), Coimbatore, India, 17–19 August 2022; IEEE: New York, NY, USA, 2023; pp. 394–397. [Google Scholar]
- Panda, N.K.; Panda, J.R.; Dash, S.K.; Bakshi, A.; Behera, B.K. A Compact CPW fed Band-notched Antenna with Semi-Elliptical Radiating Structure and a Slot of U-shape for Ultra-wideband Applications. In Proceedings of the 2022 IEEE 2nd Mysore Sub Section International Conference (MysuruCon), Mysuru, India, 16–17 October 2022; IEEE: New York, NY, USA, 2023; pp. 1–4. [Google Scholar]
- Mohanty, P.; Pandav, S.; Behera, S.K. Defected Ground Structure (DGS)-Based Koch Fractal Antenna for S and C-Band Applications. In Proceedings of the 2023 2nd International Conference on Futuristic Technologies (INCOFT), Karnataka, India, 24–26 November 2023; IEEE: New York, NY, USA, 2023; pp. 1–5. [Google Scholar]
- Nan, J.; Zhao, J.; Gao, M.; Yang, W.; Wang, M.; Xie, H. A compact 8-states frequency reconfigurable UWB antenna. IEEE Access 2021, 9, 144257–144263. [Google Scholar] [CrossRef]
- Chakradhar, K.S.; Rao, V.M. Three Different Compact Elliptical Slot Ultra-Wide band Antennas for Wireless Communication Applications. J. Commun. 2021, 16, 52–59. [Google Scholar] [CrossRef]
- Let, G.S.; John, M.S.; Pratap, C.B. Development of stepped microstrip fed Triangular-slot DGS antenna for UWB Applications. In Proceedings of the 2023 IEEE Wireless Antenna and Microwave Symposium (WAMS), Ahmedabad, India, 7–10 June 2023; IEEE: New York, NY, USA, 2023; pp. 1–4. [Google Scholar]
- Hossain, A.; Islam, M.A. Design and analysis of a DGS based UWB monopole antenna for brain tumor detection. In Proceedings of the 2021 5th International Conference on Electrical Engineering and Information Communication Technology (ICEEICT), Dhaka, Bangladesh, 18–20 November 2021; IEEE: New York, NY, USA, 2023; pp. 1–5. [Google Scholar]
- Nagrale, N.B.; Manhas, P.; Verma, J.; Thakral, S. Design of broadband DGS based antenna for RMSS application. In Proceedings of the 2023 2nd International Conference on Applied Artificial Intelligence and Computing (ICAAIC), Salem, India, 4–6 May 2023; IEEE: New York, NY, USA, 2023; pp. 1468–1471. [Google Scholar]
- Maurya, A.; Verma, S.; Singh, S. Compact Hexagon open Slot Inverted-L Shaped Printed Monopole Antenna for UWB Communications. In Proceedings of the 2022 IEEE Delhi Section Conference (DELCON), New Delhi, India, 11–13 February 2022; IEEE: New York, NY, USA, 2023; pp. 1–4. [Google Scholar]
- Okramcha, M.; Tripathy, M.R. Coplanar slotted Circular Patch Antenna with Loaded Periodic Structure for RFID/WLAN/Wi-MAX/Satellite Communication. In Proceedings of the 2023 2nd Edition of IEEE Delhi Section Flagship Conference (DELCON), Punjab, India, 24–26 February 2023; IEEE: New York, NY, USA, 2023; pp. 1–4. [Google Scholar]
- Hossen, M.R.; Ramzan, M.; Sen, P. Defected Ground Structure-based Compact Wideband Monopole Antenna Design with Equivalent Circuit Modeling for Communication and Sensing Applications. In Proceedings of the 2023 IEEE 3rd International Symposium on Joint Communications & Sensing (JC&S), Seefeld, Austria, 5–7 March 2023; IEEE: New York, NY, USA, 2023; pp. 1–6. [Google Scholar]
- Gopi, D.; Vadaboyina, A.R.; Dabbakuti, J.K. DGS based monopole circular-shaped patch antenna for UWB applications. SN Appl. Sci. 2021, 3, 198. [Google Scholar] [CrossRef]
- Singh, G.; Singh, U. Analysis of triple band rejected compact planar octagon shape monopole antenna for UWB applications. In Proceedings of the 2020 International Symposium on Networks, Computers and Communications (ISNCC), Montreal, QC, Canada, 20–22 October 2020; IEEE: New York, NY, USA, 2023; pp. 1–6. [Google Scholar]
- Prasetyo, A.D.; Yunita, T.; Hamdani, D.; Munir, A. Control Points Rearrangement of Spline-based CPW-fed Spearhead Monopole Antenna Using Particle Swarm Optimizer. In Proceedings of the 2024 Photonics and Electromagnetics Research Symposium (PIERS), Chengdu, China, 21–25 April 2024; IEEE: New York, NY, USA, 2023; pp. 1–5. [Google Scholar]
- Alqahtani, A.; Islam, M.T.; Talukder, M.S.; Samsuzzaman, M.; Bakouri, M.; Mansouri, S.; Almoneef, T.; Dokos, S.; Alharbi, Y. Slotted monopole patch antenna for microwave-based head imaging applications. Sensors 2022, 22, 7235. [Google Scholar] [CrossRef] [PubMed]

















| Stages of Evolution | Type of Shaped Slots to DGS | Obtained Frequencies (GHz) | 3D Gain Plot (dBi) | Bandwidth (GHz) | Total Bandwidth (GHz) | Total Bandwidth (%) |
|---|---|---|---|---|---|---|
| 1 | Standard ground plane | 8.85 | 6.8 | 8.79–8.93 | 2.71 | 20.5 |
| 15.57 | 15.03–17.60 | |||||
| 2 | L-slot | 6.77 | 4.32 | 4.18–7.64 | 9.35 | 77.8 |
| 8.2 | 8.12–8.37 | |||||
| 13.57 | 12.9–17.45 | |||||
| 19.51 | 18.77–19.86 | |||||
| 3 | Semi-circular segment | 16.90 | 4.18 | 4.08–18.92 | 14.84 | 129.04 |
| Symbol | Dimension (mm) | Symbol | Dimension (mm) | Symbol | Dimension (mm) | Symbol | Dimension (mm) |
|---|---|---|---|---|---|---|---|
| Ls | 34 | d | 9 | Lt | 4 | T | 11 |
| Ws | 28 | a | 1 | LVS | 24 | S | 17.13 |
| f1 | 3 | b | 1 | c | 1 | U | 13 |
| Lf1 | 10 | K | 6 | e | 6 | WVS | 8.87 |
| f2 | 4.5 | Pv | 20 | Q | 8 | Hp | 23 |
| f3 | 6 | VW | 6 | RS | 2.6 | m | 1 |
| Reference | Antenna Size (mm3) | Bandwidth (GHz) | Gain dB | Year |
|---|---|---|---|---|
| [1] | 60 × 60 × 1.575 | 8.3–15.2 | 5–6.5 | 2020 |
| [2] | 36 × 30 × 1.6 | 1.73–12.73 | 4.47 | 2020 |
| [3] | 50 × 30 × 3.2 | 1.3086 | 5.366 | 2023 |
| [6] | 38 × 48 × 1.6 | 6.39–14.73 | 5.75 | 2023 |
| [11] | 58 × 38 × 1.6 | 1.76–4.29 | 4.06 | 2023 |
| [12] | 22 ×13 × 0.8 | 2.82–13.25 | 5 | 2021 |
| [13] | 45 × 45 × 1.575 | 2.5–14 | 6.82 | 2021 |
| [14] | 34 × 38 × 1.6 | 2.68–10.39 | (0.5–4.5) | 2023 |
| [15] | 50 × 50 × 1.5 | 2.94–6.96 | 3.93 | 2021 |
| [18] | 43 × 33 × 1.6 | 2.45–11.3 | 3.96 | 2023 |
| [20] | 38 × 48 × 1.6 | 2.5–10.6 | 8.3 | 2021 |
| [23] | 73.84 × 64.6 × 1.6 | 1.3–3.7 | 6.15 | 2022 |
| Proposed antenna | 34 × 28 × 1.524 | 4.08–18.92 | 7.4 | 2025 |
Disclaimer/Publisher’s Note: The statements, opinions and data contained in all publications are solely those of the individual author(s) and contributor(s) and not of MDPI and/or the editor(s). MDPI and/or the editor(s) disclaim responsibility for any injury to people or property resulting from any ideas, methods, instructions or products referred to in the content. |
© 2025 by the authors. Licensee MDPI, Basel, Switzerland. This article is an open access article distributed under the terms and conditions of the Creative Commons Attribution (CC BY) license (https://creativecommons.org/licenses/by/4.0/).
Share and Cite
Tsegaye, A.; Lin, X.-Q.; Liu, H.; Abubakar, H.S. A Compact Monopole Wideband Antenna Based on DGS. Electronics 2025, 14, 2311. https://doi.org/10.3390/electronics14122311
Tsegaye A, Lin X-Q, Liu H, Abubakar HS. A Compact Monopole Wideband Antenna Based on DGS. Electronics. 2025; 14(12):2311. https://doi.org/10.3390/electronics14122311
Chicago/Turabian StyleTsegaye, Assefa, Xian-Qi Lin, Hao Liu, and Hassan Sani Abubakar. 2025. "A Compact Monopole Wideband Antenna Based on DGS" Electronics 14, no. 12: 2311. https://doi.org/10.3390/electronics14122311
APA StyleTsegaye, A., Lin, X.-Q., Liu, H., & Abubakar, H. S. (2025). A Compact Monopole Wideband Antenna Based on DGS. Electronics, 14(12), 2311. https://doi.org/10.3390/electronics14122311
